Citation: Tian-Yue ZUO, Lan ZHANG, Hong-Yi WANG, Wu-Xiu DING. Hydrophobic metal-organic framework material based on fluorosilane-modified UIO-66-OH: Preparation and application in the conservation of limestone cultural relics[J]. Chinese Journal of Inorganic Chemistry, ;2023, 39(9): 1817-1831. doi: 10.11862/CJIC.2023.142 shu

Hydrophobic metal-organic framework material based on fluorosilane-modified UIO-66-OH: Preparation and application in the conservation of limestone cultural relics

  • Corresponding author: Wu-Xiu DING, wuxiu-ding@163.com
  • Received Date: 25 December 2022
    Revised Date: 9 June 2023

Figures(15)

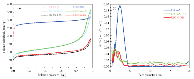
  • The development of hydrophobic materials has always been a difficult issue in the protection of stone cultural relics. In this work, a new hydrophobic metal-organic framework material was synthesized by modifying the Zr-based MOFs containing 2-hydroxyterephthalic acid linkers with fluorosilane to obtain UIO-O-FS material, and characterization tests such as FTIR, X-ray diffraction, N2 adsorption-desorption, thermogravimetry, scanning electron microscope, and transmission electron microscope, as well as erosion resistance tests, were carried out on the material. Based on the results, the material possesses good hydrophobicity, consolidation ability, acid resistance, and salt resistance, and is a new type of stone heritage conservation material.
  • 加载中
    1. [1]

      Castro N F, Becerra J E, Bellopede R, Marini P, Dino G A. Introduction to 'natural stones and cultural heritage promotion and preservation'[J]. Resour. Policy, 2022,78102775. doi: 10.1016/j.resourpol.2022.102775

    2. [2]

      Orlowsky J, Groh M, Braun F. About the effectiveness of a hydrophobic surface treatment of Baumberger Sandstones[J]. Environ. Earth Sci., 2022,8190. doi: 10.1007/s12665-022-10186-2

    3. [3]

      LIU Y, LV X Y, YANG F W, ZHANG K, YANG L, SUN M L, WANG L Q. Application of inorganic materials in consolidation of bone relics[J]. Chinese J. Inorg. Chem., 2022,38(5):777-786.  

    4. [4]

      Graziani G, Sassoni E, Scherer G W, Franzoni E. Resistance to simulated rain of hydroxyapatite- and calcium oxalate-based coatings for protection of marble against corrosion[J]. Corros. Sci., 2017,127:168-174. doi: 10.1016/j.corsci.2017.08.020

    5. [5]

      Tesser E, Lazzarini L, Bracci S. Investigation on the chemical structure and ageing transformations of the cycloaliphaticepoxy resin EP2101 used as stone consolidant[J]. J. Cult. Herit., 2017,31:72-82.

    6. [6]

      Shu H, Song Y J, Liu Q, Luo M B. The study of rod-shaped TiO2 composite material in the protection of stone cultural relics[J]. Green Process. Synth., 2020,9:359-365. doi: 10.1515/gps-2020-0034

    7. [7]

      Liu Q, Zhu Z, Zhang J, Zhang B. Application of TiO2 photocatalyst to the stone conservation[J]. Mater. Res. Innov., 2015,19:51-54. doi: 10.1179/1433075X14Y.0000000209

    8. [8]

      Aldoasri M A, Darwish S S, Adam M A, Elmarzugi N A, Ahmed S M. Protecting of marble stone facades of historic buildings using multifunctional TiO2 nanocoatings[J]. Sustainability, 2017,92002. doi: 10.3390/su9112002

    9. [9]

      Shu H, Yang M, Liu Q, Luo M B. Study of TiO2-modified sol coating material in the protection of stone-built cultural heritage[J]. Coatings, 2020,10:179-190. doi: 10.3390/coatings10020179

    10. [10]

      Tokarsky J, Martinec P, Kutláková K M, Ovcacikova H, Studentova S, Scucka J. Photoactive and hydrophobic nano-ZnO/poly(alkyl siloxane) coating for the protection of sand-stone[J]. Constr. Build. Mater., 2019,199:549-559. doi: 10.1016/j.conbuildmat.2018.12.045

    11. [11]

      Aslanidou D, Karapanagiotis I, Lampakis D. Waterborne superhydrophobic and superoleophobic coatings for the protection of marble and sandstone[J]. Materials, 2018,11585. doi: 10.3390/ma11040585

    12. [12]

      Al-Dosari M A, Darwish S S, Adam M A, Elmarzugi N A, Al-Mouallimi N, Ahmed S M. Ca(OH)2 nanoparticles based on acrylic copolymers for the consolidation and protection of ancient Egypt calcareous stone monuments[J]. Journal of Physics Conference Series, 2017,829012009. doi: 10.1088/1742-6596/829/1/012009

    13. [13]

      Fadwa J, Mara S, Encarnacionón R, Kerstin E, Inés M, María T G, Carlos R. Protection and consolidation of stone heritage by self-inoculation with indigenous carbonatogenic bacterial communities[J]. Nat. Commun., 2017,8279. doi: 10.1038/s41467-017-00372-3

    14. [14]

      DONG T L, YANG F W, LIU Y. Research progress on calcium alkoxide material for the conservation of stone cultural relic[J]. New Chemical Materials, 2022,50(10):27-30.  

    15. [15]

      YANG W, WANG C Y, LIU J M, WANG Y Y, YANG G P. Studies on inorganic nanomaterials for restoration and protection of cultural heritages[J]. Chinese J. Inorg. Chem., 2021,37(8):1345-1352.  

    16. [16]

      Zhu J M, Jia C, Li Y K, Zhang P Y, Ding J H, Xu G, Zhao X C, Li X H. Polydopamine-modified nanolime with high kinetic stability in water for the consolidation of stone relics[J]. ACS Appl. Mater. Interfaces, 2022,14:13622-13630. doi: 10.1021/acsami.1c24699

    17. [17]

      Zhu J M, Ding J H, Zhang P Y, Dong W Q, Zhao X C, Camaiti M, Li X H. In-situ growth synthesis of nanolime/kaolin nanocomposite for strongly consolidating highly porous dinosaur fossil[J]. Constr. Build. Mater., 2021,300124312. doi: 10.1016/j.conbuildmat.2021.124312

    18. [18]

      Chai Y M, Wang G, Shi P, Luo H J, Zhao X C, Zhang B, Zhu J F. Nanosized ZnO/SiO2-based amphiphobic coatings for stone heritage protection[J]. ACS Appl. Nano Mater., 2022,5:18708-18717. doi: 10.1021/acsanm.2c04463

    19. [19]

      Sun D G, Adiyala P R, Yim S J, Kim D P. Pore-surface engineering by decorating metal-oxo nodes with phenylsilane to give versatile super-hydrophobic metal-organic frameworks (MOFs)[J]. Angew. Chem., 2019,131:7483-7487. doi: 10.1002/ange.201902961

    20. [20]

      Fakhri H, Bagheri H. Two novel sets of UIO-66@metal oxide/graphene oxide Z-scheme heterojunction: Insight into tetracycline and malathion photodegradation[J]. J. Environ. Sci., 2020,91:222-236. doi: 10.1016/j.jes.2020.01.013

    21. [21]

      XU C J, WANG C, HUANG Y M. Cu-MOFs-derived flake-like CuO to activate PMS for degrading levofloxacin antibiotics pollutant[J]. Journal of Southwest University (Natural Science Edition), 2023,45(4):178-188. doi: 10.13718/j.cnki.xdzk.2023.04.017

    22. [22]

      LIU H T, DING L, ZHOU C C, ZOU H Q, LU J, WANG S N, LI Y W. Synthesis, structure, and proton conductivity of a Co-MOF based on 3-(3',5'-dicarboxyphenyl)-6-carboxylic pyridine[J]. Chinese J. Inorg. Chem., 2023,39(4):596-606.  

    23. [23]

      Wang H, Wang X L, Kong R M, Xia L, Qu F L. Metal-organic framework as a multi-component sensor for detection of Fe3+, ascorbic acid and acid phosphatase[J]. Chin. Chem. Lett., 2020,32:198-202.

    24. [24]

      Shi L H, Zou X, Wang T F, Wang D M, Fan M K. Sunlight photocatalytic degradation of ofloxacin using UIO-66/wood composite photocatalysts[J]. Chin. Chem. Lett., 2021,33:442-446.

    25. [25]

      QIN C, WANG B, WANG Y D. Applications of metal-organic frameworks and their derived metal oxides in resistive gas sensors[J]. Chinese J. Inorg. Chem., 2022,38(3):377-398.  

    26. [26]

      BAI Y F, YANG Z H, FENG Y, LIU F L, CHEN X T, CHANG J Y. Preparation and electrocatalytic performance of Zn/N co-doped carbon catalyst derived from MOF[J]. Chinese J. Inorg. Chem., 2021,37(6):1055-1061.  

    27. [27]

      LI S X, HUANG F L, BIN Y J, WEI Y C, TANG X L, LIAO B L. Effect of ions on photocatalytic performance of UIO-66-2OH[J]. Chinese J. Inorg. Chem., 2021,37(8):1465-1474.  

    28. [28]

      Wang L, Zheng M, Xie Z G. Nanoscale metal-organic frameworks for drug delivery: A conventional platform with new promise[J]. J. Mater. Chem. B, 2018,6:707-717. doi: 10.1039/C7TB02970E

    29. [29]

      YU J Y, HE Z Z, CAO W, ZHANG J J, WEI Y F, GAO Y, QIAN S. Research progress of bio-metal organic frameworks in drug delivery system[J]. J. China Pharm. Univ., 2023,54(1):23-33.  

    30. [30]

      GUO H, LI X, QU D, CHEN Y. Research progress on Fe-based metal-organic frameworks in antitumor drug delivery[J]. Acta Pharmaceutica Sinica, 2022,57(5):1252-1262.  

    31. [31]

      Vo T K, Nguyen V C, Quang D T, Park B J, Kim J. Formation of structural defects within UIO-66(Zr)-(OH)2 framework for MOF-74 CO2 adsorption using a microwave assisted continuous-flow tubular reactor[J]. Microporous Mesoporous Mat., 2021,312:110746-1107556.

    32. [32]

      LI Z H, LIU H, SONG L Y, HUANG T H. Synthesis of dual-metal functionalized MOF-74 and its adsorption properties[J]. Chinese J. Inorg. Chem., 2017,33(2):237-242.  

    33. [33]

      DONG W, ZHOU S A, TANG G, XIANG T F, LONG H M, DING L, ZHANG K, QIAN F P, LI G. Ultra-superhydrophobic Ti-MOF coated PET composite filter media for efficient removal of fine particulate matter[J]. China Environmental Science, 2023,43(5):2171-2181.  

    34. [34]

      ZHANG Z M, YANG J F, WANG Y, LI J P. Effect of water molecules on structure and properties of metal-organic frameworks[J]. Chinese J. Inorg. Chem., 2015,31(4):637-634.  

    35. [35]

      Jayaramulu K, Geyer F, Schneemann A, Otyepka S K M, Zboril R, Vollmer D, Fischer R A. Hydrophobic metal-organic frameworks[J]. Adv. Mater., 2019,31e1900820.

    36. [36]

      Yoon Y, Lee T S. Preparation of liquid marbles using an azobenzene-based metal-organic framework particles[J]. Mol. Cryst. Liquid Cryst., 2018,660:90-97.

    37. [37]

      Antwi-Baah R, Liu H Y. Recent hydrophobic metal-organic frameworks and their applications[J]. Materials, 2018,112225.

    38. [38]

      Fakhri H, Bagheri H. Highly efficient Zr-MOF@WO3/graphene oxide photocatalyst: Synthesis, characterization and photodegradation of tetracycline and malathion[J]. Mater. Sci. Semicond. Process, 2020,107104815.

    39. [39]

      Zhang X W, Yang Y X, Qin P G, Han L Z, Zhu W L, Duan S F, Lu M H, Cai Z W. Facile preparation of Nano-g-C3N4/UIO-66-NH2 composite as sorbent for high-efficient extraction and preconcentration of food colorants prior to HPLC analysis[J]. Chin. Chem. Lett., 2021,33:903-906.

    40. [40]

      Xue R X, Liu N, Bao L Y, Lai C, Su Y F, Lu Y, Dong J Y, Chen S, Wu F. UIO-66 type metal-organic framework as a multifunctional additive to enhance the interfacial stability of Ni-rich layered cathode material[J]. J. Energy. Chem., 2020,50:378-386.

    41. [41]

      Ichrafa C, Ounisb D Y, Slimc S. X-ray diffraction analysis by modified Scherrer, Williamson-Hall and size-strain plot methods of ZnO nanocrystals synthesized by oxalate route: A potential antimicrobial candidate against foodborne pathogens[J]. J. Clust. Sci., 2022,34:623-638.

    42. [42]

      Xu T T, Shehzad M A, Wang X, Wu B, Ge L, Xu T W. Engineering leaf-like UIO-66-SO3H membranes for selective transport of cations[J]. Nano-Micro Lett., 2020,12:65-75.

    43. [43]

      ZHANG J H, LI Z X, GE Y Y, TANG J J, ZHOU Z, SUN L L, ZHANG H W, ZHOU D Y. Highly efficient synthesis of medium-chain structured phospholipids using HPMo@UiO-66-SO3H[J]. Fine Chemicals, 2023. doi: 10.13550/j.jxhg.20221093

    44. [44]

      HE Y P, JIN X Y, LI W Z, YANG S J, LÜ B L. Synthesis and photocatalytic properties of Bi2WO6/UiO-66 composite[J]. Chinese J. Inorg. Chem., 2019,35(6):996-1004.  

    45. [45]

      Hu Z G, Peng Y W, Kang Z X, Qian Y H, Zhao D. A modulated hydrothermal (MHT) approach for the facile synthesis of UIO-66-type MOFs[J]. Inorg. Chem., 2015,54:4862-4868.

    46. [46]

      LI H L, WU J H, LIU M Z, PENG Y, ZHAO J M, QIU Y, WU J H, GAO Z X. Removal of lincomycin from water by magnetic metalorganic framework materials[J]. Journal of Food Safety & Quality, 2022,13(17):5656-5663.  

  • 加载中
    1. [1]

      Jie ZHANGXin LIUZhixin LIYuting PEIYuqi YANGHuimin LIZhiqiang LIU . Assembling a luminescence silencing system based on post-synthetic modification strategy: A highly sensitive and selective turn-on metal-organic framework probe for ascorbic acid detection. Chinese Journal of Inorganic Chemistry, 2024, 40(4): 823-833. doi: 10.11862/CJIC.20230310

    2. [2]

      Huan ZHANGJijiang WANGGuang FANLong TANGErlin YUEChao BAIXiao WANGYuqi ZHANG . A highly stable cadmium(Ⅱ) metal-organic framework for detecting tetracycline and p-nitrophenol. Chinese Journal of Inorganic Chemistry, 2024, 40(3): 646-654. doi: 10.11862/CJIC.20230291

    3. [3]

      Hongzhe GUOSen WANGLu YANGFucheng LIUJiongpeng ZHAOZhaoquan YAO . Highly selective acetylene capture by a pacs-type metal-organic framework constructed using metal-formate complexes as pore partition units. Chinese Journal of Inorganic Chemistry, 2025, 41(10): 2157-2164. doi: 10.11862/CJIC.20250179

    4. [4]

      Haoying ZHAILanzong WENWenjie LIAOQin LIWenjun ZHOUKun CAO . Metal-organic framework-derived sulfur-doped iron-cobalt tannate nanorods for efficient oxygen evolution reaction performance. Chinese Journal of Inorganic Chemistry, 2025, 41(5): 1037-1048. doi: 10.11862/CJIC.20240320

    5. [5]

      Xinnan XIEBoyu ZHANGJianxun YANGYi ZHONGYounis OsamaJianxiao YANGXinchun YANG . Ultrafine platinum clusters achieved by metal-organic framework derived cobalt nanoparticle/porous carbon: Remarkable catalytic performance in dehydrogenation of ammonia borane. Chinese Journal of Inorganic Chemistry, 2025, 41(10): 2095-2102. doi: 10.11862/CJIC.20250025

    6. [6]

      Ruiyan CHENYanping HEJian ZHANG . Synthesis and third-order nonlinear optical property of Ti4L6 cage-based metal-organic framework. Chinese Journal of Inorganic Chemistry, 2025, 41(10): 2149-2156. doi: 10.11862/CJIC.20250177

    7. [7]

      Huaihao CHENLingwen ZHANGYukun CHENJianjun ZHANG . A water-stable metal-organic framework probe for Al3+/Ga3+/In3+ detection. Chinese Journal of Inorganic Chemistry, 2025, 41(12): 2601-2608. doi: 10.11862/CJIC.20250184

    8. [8]

      Shanqing YANGLulu WANGQiang ZHANGJiajia LIYilong LITongliang HU . A propane-selective metal-organic framework for inverse selective adsorption propane/propylene separation. Chinese Journal of Inorganic Chemistry, 2025, 41(10): 2138-2148. doi: 10.11862/CJIC.20250154

    9. [9]

      Yukun CHENKexin FENGBolun ZHANGWentao SONGJianjun ZHANG . Syntheses, crystal structures, and diametrically opposed mechanically-stimulated luminescence response of two Mg(Ⅱ) metal-organic frameworks. Chinese Journal of Inorganic Chemistry, 2025, 41(6): 1227-1234. doi: 10.11862/CJIC.20240448

    10. [10]

      Weichen WANGChunhua GONGJunyong ZHANGYanfeng BIHao XUJingli XIE . Construction of two metal-organic frameworks by rigid bis(triazole) and carboxylate mixed-ligands and their catalytic properties for CO2 cycloaddition reaction. Chinese Journal of Inorganic Chemistry, 2024, 40(7): 1377-1386. doi: 10.11862/CJIC.20230415

    11. [11]

      Xue-Zhi WangYi-Tong LiuChuang-Wei ZhouBei WangDong LuoMo XieMeng-Ying SunYong-Liang HuangJie LuoYan WuShuixing ZhangXiao-Ping ZhouDan Li . Amplified circularly polarized luminescence of chiral metal-organic frameworks via post-synthetic installing pillars. Chinese Chemical Letters, 2024, 35(10): 109380-. doi: 10.1016/j.cclet.2023.109380

    12. [12]

      Tian TIANMeng ZHOUJiale WEIYize LIUYifan MOYuhan YEWenzhi JIABin HE . Ru-doped Co3O4/reduced graphene oxide: Preparation and electrocatalytic oxygen evolution property. Chinese Journal of Inorganic Chemistry, 2025, 41(2): 385-394. doi: 10.11862/CJIC.20240298

    13. [13]

      Min ZHUYuxin WANGXiao LIYaxu XUJunwen ZHUZihao WANGYu ZHUXiaochen HUANGDan XUMonsur Showkot Hossain Abul . Construction of AgVO3/ZIF-8 composites for enhanced degradation of tetracycline. Chinese Journal of Inorganic Chemistry, 2025, 41(5): 994-1006. doi: 10.11862/CJIC.20240392

    14. [14]

      Ri PENGYingxiang BAIYuxin XIEDunru ZHUcis/trans-Octahedral configuration induced topologically different MOFs: Syntheses, structures, and Hirshfeld surface analyses. Chinese Journal of Inorganic Chemistry, 2025, 41(8): 1650-1660. doi: 10.11862/CJIC.20250143

    15. [15]

      Bangdi GEXiaowei SONGZhiqiang LIANG . A bifunctional three-dimensional Eu-MOF fluorescent probe for highly sensitive detection of 2, 4, 6-trinitrophenol and tetracycline. Chinese Journal of Inorganic Chemistry, 2025, 41(10): 2165-2174. doi: 10.11862/CJIC.20250190

    16. [16]

      Ruolin CHENGHaoran WANGJing RENYingying MAHuagen LIANG . Efficient photocatalytic CO2 cycloaddition over W18O49/NH2-UiO-66 composite catalyst. Chinese Journal of Inorganic Chemistry, 2024, 40(3): 523-532. doi: 10.11862/CJIC.20230349

    17. [17]

      Ruowen Liang Chao Zhang Guiyang Yan . Enhancing CO2 cycloaddition through ligand functionalization: A case study of UiO-66 metal-organic frameworks. Chinese Journal of Structural Chemistry, 2024, 43(2): 100211-100211. doi: 10.1016/j.cjsc.2023.100211

    18. [18]

      Hao WangMeng-Qi PanYa-Fei WangChao ChenJian XuYuan-Yuan GaoChuan-Song QiWei LiXian-He Bu . Post-synthetic modifications of MOFs by different bolt ligands for controllable release of cargoes. Chinese Chemical Letters, 2024, 35(10): 109581-. doi: 10.1016/j.cclet.2024.109581

    19. [19]

      Zixu XiePengfei ZhangZiyao ZhangChen ChenXing Wang . The choice of antimicrobial polymers: Hydrophilic or hydrophobic?. Chinese Chemical Letters, 2024, 35(9): 109768-. doi: 10.1016/j.cclet.2024.109768

    20. [20]

      Ziyi Zhu Yang Cao Jun Zhang . CO2-switched porous metal-organic framework magnets. Chinese Journal of Structural Chemistry, 2024, 43(2): 100241-100241. doi: 10.1016/j.cjsc.2024.100241

Metrics
  • PDF Downloads(25)
  • Abstract views(1905)
  • HTML views(202)

通讯作者: 陈斌, bchen63@163.com
  • 1. 

    沈阳化工大学材料科学与工程学院 沈阳 110142

  1. 本站搜索
  2. 百度学术搜索
  3. 万方数据库搜索
  4. CNKI搜索
Address:Zhongguancun North First Street 2,100190 Beijing, PR China Tel: +86-010-82449177-888
Powered By info@rhhz.net

/

DownLoad:  Full-Size Img  PowerPoint
Return