Citation: Ying-Xin ZHAO, Hao HU, Xin ZHOU, Shui-Jin YANG, Yun YANG. Preparation and photocatalytic degradation performance of MOF-808/BiOCl composites[J]. Chinese Journal of Inorganic Chemistry, ;2023, 39(8): 1553-1563. doi: 10.11862/CJIC.2023.114 shu

Preparation and photocatalytic degradation performance of MOF-808/BiOCl composites

Figures(13)

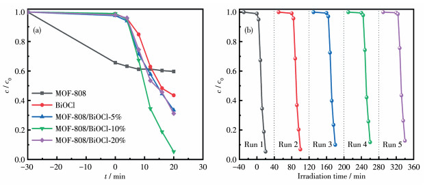
  • A novel MOF-808/BiOCl composite heterojunction material was prepared by combining highly stable MOF-808 with BiOCl by simple hydrothermal method. The photocatalytic performance of composite MOF-808/BiOCl on ciprofloxacin (CIP) was investigated using CIP as a contaminant. Compared with pure BiOCl, the performance of composite materials has been improved. Among them, composites containing 10% MOF-808 (MOF-808/BiOCl-10%) showed the best photocatalytic activity. Within 20 min of UV light irradiation, the photocatalytic degradation efficiency of CIP by MOF-808/BiOCl-10% was as high as 94.7%. X-ray powder diffraction (XRD), scanning electron microscopy (SEM), infrared spectroscopy (FT-IR), fluorescence spectroscopy, ultraviolet-visible diffuse reflection spectroscopy (UV-Vis DRS), photocurrent, electrochemical impedance, and other characterization techniques were performed to analyze the phase composition, morphology and photoelectrochemical properties of materials. The formation of MOF-808 and BiOCl heterojunctions is beneficial to suppress the compounding efficiency of photogenerated carriers and improving photocatalytic activity. The UV-Vis diffuse reflectance spectroscopy results show that the light absorption range of MOF-808/BiOCl-10% material is improved. At the same time, radical trapping experiments were carried out. It indicates that ·O2- and h+ are the active species that play a major role in the degradation of CIP by MOF-808/BiOCl-10%. Based on the above experimental data, the possible photocatalytic mechanism of MOF-808/BiOCl composites was proposed.
  • 加载中
    1. [1]

      Saini G, Kalra S, Kaur U. The purification of wastewater on a small scale by using plants and sand filter[J]. Appl. Water Sci., 2021,11(4)68. doi: 10.1007/s13201-021-01406-4

    2. [2]

      Russell J N, Yost C K. Alternative, environmentally conscious approaches for removing antibiotics from wastewater treatment systems[J]. Chemosphere, 2021,263128177. doi: 10.1016/j.chemosphere.2020.128177

    3. [3]

      ZHOU X, ZHANG Z, CHEN P, YANG S J, YANG Y. Preparation and photocatalytic degradation performance of Br-doped Br2WO6 microsphere[J]. Chinese J. Inorg. Chem., 2022,38(9):1716-1728.  

    4. [4]

      Zewde A, Zhang L, Li Z, Odey E A. A review of the application of sonophotocatalytic process based on advanced oxidation process for degrading organic dye[J]. Rev. Environ. Health, 2019,34(4):365-375. doi: 10.1515/reveh-2019-0024

    5. [5]

      Qi K M, Song M X, Xie X Y, Wen Y, Wang Z R, Wei B, Wang Z W. CQDs/biochar from reed straw modified Z-scheme MgIn2S4/BiOCl with enhanced visible-light photocatalytic performance for carbamazepine degradation in water[J]. Chemosphere, 2021,287(2)132192.

    6. [6]

      XU Q S, SONG Y J, LIU J X, WANG X C, LI C Q, WANG H. Effect of Si to Al ratio of Cu/HZSM-5 catalyst on the catalytic decomposition of N2O[J]. Chinese Journal of Environmental Engineering, 2020,14(6):1579-1591.  

    7. [7]

      García-Montaño J, Domènech X, García-Hortal J A, Torrades F, Peral J. The testing of several biological and chemical coupled treatments for Cibacron Red FN-R azo dye removal[J]. J. Hazard Mater., 2008,154(3):484-490.

    8. [8]

      Wang J, Wang S. Reactive species in advanced oxidation processes: Formation, identification and reaction mechanism[J]. Chem. Eng. J., 2020,401126158. doi: 10.1016/j.cej.2020.126158

    9. [9]

      Yan X, Anguille S, Bendahan M, Moulin P. Ionic liquids combined with membrane separation processes: A review[J]. Sep. Purif. Technol., 2019,222:230-253. doi: 10.1016/j.seppur.2019.03.103

    10. [10]

      Sanghamitra P, Mazumder D, Mukherjee S. J. Treatment of wastewater containing oil and grease by biological method—A review. J. Environ. Sci. Health Part A-Toxic/Hazard[J]. Subst. Environ. Eng., 2021,56(4):394-412. doi: 10.1080/10934529.2021.1884468

    11. [11]

      LIANG M J, DENG N, XIANG X Y, MEI Y, YANG Z Y, YANG Y, YANG S J. Bi/BiVO4 & Bi4V2O11 Composite catalysts: Preparation and photocatalytic performance[J]. Chinese J. Inorg. Chem., 2019,35(2):263-270.  

    12. [12]

      Wang Q, Gao Q, Al-Enizi A M, Nafady A, Ma S. Recent advances in MOF-based photocatalysis: Environmental remediation under visible light[J]. Inorg. Chem. Front., 2020,7(2):300-339. doi: 10.1039/C9QI01120J

    13. [13]

      ZOU C T, ZHANG Z, LIAO W J, YANG S J. Enhancement of photocatalytic performance of layered Bi2MoO6 by ferroelectric polarization[J]. Chinese J. Inorg. Chem., 2020,36(9):1717-1727.  

    14. [14]

      Byrne C, Subramanian G, Pillai C S. Recent advances in photocatalysis for environmental applications[J]. J. Environ. Chem. Eng., 2018,6(3):3531-3555. doi: 10.1016/j.jece.2017.07.080

    15. [15]

      ZHANG Z, ZOU C T, YANG Z Y, YANG S J. One-step preparation and photocatalytic activity of Bi2MoO6/CoMoO4 embroidery ball structure[J]. Chinese J. Inorg. Chem., 2020,36(8):1446-1456.  

    16. [16]

      Liu C, Ren Y H, Wang Z W, Shi Y Z, Guo B B, Yu Y, Wu L. Flowerlike BiOCl nanospheres fabricated by an in situ self-assembly strategy for efficiently enhancing photocatalysis[J]. J. Colloid Interface Sci., 2022,607(1):423-430.

    17. [17]

      Liu M Y, Zhu H Q, Zhu N L, Yu Q L. Vacancy engineering of BiOCl microspheres for efficient removal of multidrug-resistant bacteria and antibiotic-resistant genes in wastewater[J]. Chem. Eng. J., 2021,426130710. doi: 10.1016/j.cej.2021.130710

    18. [18]

      Kato D, Hongo K, Maezono R, Higashi M, Kunioku H, Yabuuchi M, Suzuki H, Okajima H, Zhong C, Nakano K, Abe R, Kageyama H. Valence band engineering of layered bismuth oxyhalides toward stable visible-light water splitting: Madelung site potential analysis[J]. J. Am. Chem. Soc., 2017,139(51):18725-18731. doi: 10.1021/jacs.7b11497

    19. [19]

      Liang Y, Zhou X H, Li W, Peng H L. Preparation of two-dimensional [Bi2O2]- based layered materials: Progress and prospects[J]. APL Mater., 2021,9(6)060905. doi: 10.1063/5.0052300

    20. [20]

      Xiong D Z, Zhao W, Guo J J, Li S B, Ye Y, E L, Yang X F. Highly efficient and reusable BiOCl photocatalyst modulating by hydrogel immobilization and oxygen vacancies engineering[J]. Sep. Purif. Technol., 2021,277119628. doi: 10.1016/j.seppur.2021.119628

    21. [21]

      Zhao H, Liu X, Dong Y M, Xia Y M, Wang H J. A special synthesis of BiOCl photocatalyst for efficient pollutants removal: New insight into the band structure regulation and molecular oxygen activation[J]. Appl. Catal. B-Environ., 2019,256117872. doi: 10.1016/j.apcatb.2019.117872

    22. [22]

      YANG B Y, LI H, SHANG N Z, FENG C, GAO S T, WANG C. Visible-light responsive photocatalyst g-C3N4@BiOCl with hollow flower-like structure: Preparation and photocatalytic performance[J]. Chinese J. Inorg. Chem., 2017,33(3):396-404.  

    23. [23]

      Nafradi M, Hernadi K, Konya Z, Alapi T. Investigation of the efficiency of BiOI/BiOCl composite photocatalysts using UV, cool and warm white LED light sources—Photon efficiency, toxicity, reusability, matrix effect, and energy consumption[J]. Chemosphere, 2021,280130636. doi: 10.1016/j.chemosphere.2021.130636

    24. [24]

      Long Z Q, Wang H L, Huang K W, Zhang G M, Xie H J. Di-functional Cu2+-doped BiOCl photocatalyst for degradation of organic pollutant and inhibition of cyanobacterial growth[J]. J. Hazard. Mater., 2021,424127554.

    25. [25]

      Liu M Y, Lin G L, Liu Y M, Lin X Y, Wang L J, Xu Y F, Song X C. Ternary heterojunction Ag/AgIO3/BiOCl(CMC) by a biomass template for photodegradation of tetracycline hydrochloride and gaseous formaldehyde[J]. Solid State Sci., 2021,112106517. doi: 10.1016/j.solidstatesciences.2020.106517

    26. [26]

      Wang H X, Liao B, Lu T, Ai Y L, Liu G. Enhanced visible-light photocatalytic degradation of tetracycline by a novel hollow BiOCl@CeO2 heterostructured microspheres: Structural characterization and reaction mechanism[J]. J. Hazard. Mater., 2020,385121552. doi: 10.1016/j.jhazmat.2019.121552

    27. [27]

      Jiang D N, Chen M, Wang H, Zeng G M, Huang D L, Cheng M, Liu Y, Xue W J, Wang Z W. The application of different typological and structural MOFs-based materials for the dyes adsorption[J]. Coord. Chem. Rev., 2018,380:471-483.

    28. [28]

      NIU B T, XIA W N, LAI Z Q, GUO H X, CHEN Z X. Metal organic skeleton Ni-BTC and Ni-BDC solvent effect morphology control and supercapacitor performance[J]. Chinese J. Inorg. Chem., 2022,38(8):1643-1654.  

    29. [29]

      Safaei M, Foroughi M M, Ebrahimpoor N, Jahani S, Omidi A, Khatamia M. A review on metal-organic frameworks: Synthesis and applications[J]. Trac-Trends Anal. Chem., 2019,118:401-425. doi: 10.1016/j.trac.2019.06.007

    30. [30]

      Voorde B, Bueken B, Denayer J, Vos D. Adsorptive separation on metal-organic frameworks in the liquid phase[J]. Chem. Soc. Rev., 2014,43:5766-5788. doi: 10.1039/C4CS00006D

    31. [31]

      Arora C, Soni S, Sahu S, Mittal J, Kumar P, Bajpaid P. Iron based metal organic framework for efficient removal of methylene blue dye from industrial waste[J]. J. Mol. Liq., 2019,284:343-352. doi: 10.1016/j.molliq.2019.04.012

    32. [32]

      Shanahan J, Kissel D S, Sullivan E. PANI@UiO-66 and PANI@UiO-66-NH2 polymer-MOF hybrid composites as tunable semiconducting materials[J]. ACS Omega, 2020,5(12):6395-6404. doi: 10.1021/acsomega.9b03834

    33. [33]

      Rodríguez N A, Parra R, Grela M A. Structural characterization, optical properties and photocatalytic activity of MOF-5 and its hydrolysis products: Implications on their excitation mechanism[J]. RSC Adv., 2015,5(89):73112-73118. doi: 10.1039/C5RA11182J

    34. [34]

      Pattappan D, Kavya K V, Vargheese S, Rajendra Kumar R T, Haldorai Y. Graphitic carbon nitride/NH2-MIL-101(Fe) composite for environmental remediation: Visible-light-assisted photocatalytic degradation of acetaminophen and reduction of hexavalent chromium[J]. Chemosphere, 2022,286(3)131875.

    35. [35]

      Alvaro M, Carbonell E, Ferrer B, Llabrés F X, Xamena I, Garcia H. Semiconductor behavior of a metal-organic framework (MOF)[J]. Chem. Eur. J., 2007,13(18):5106-5112. doi: 10.1002/chem.200601003

    36. [36]

      HU H. Construction of zirconium-based metal-organic framework composites and study on adsorption and degradation of ciprofloxacin. Huangshi: Hubei Normal University. 2022: 1-70

    37. [37]

      Ding J, Yang Z Q, He C, Tong X W, Li Y, Niu X J, Zhang H G. UiO-66(Zr) coupled with Bi2MoO6 as photocatalyst for visible-light promoted dye degradation[J]. J. Colloid Interface Sci., 2017,497:126-133. doi: 10.1016/j.jcis.2017.02.060

    38. [38]

      Sun J Y, Li D Y, Li Y R, Cai Y J, Sun L, Yuan X J, Cao G, Xu H M, Xia D S. CMC/BiOCl 3D hierarchical nanostructures with exposed {001} facets and its enhanced photocatalytic activity[J]. ChemistrySelect, 2018,3(16):4463-4470. doi: 10.1002/slct.201703167

    39. [39]

      Chen X Y, Chen D Y, Li N J, Xu Q F, Li H, He J H, Lu J M. Modified-MOF-808-loaded polyacrylonitrile membrane for highly efficient, simultaneous emulsion separation and heavy metal ion removal[J]. ACS Appl. Mater. Interfaces, 2020,12(35):39227-39235. doi: 10.1021/acsami.0c10290

    40. [40]

      Dai S, Simms C, Dovgaliuk I, Patriarche G, Tissot A, Parac-Vogt T N, Serre C. Monodispersed MOF-808 nanocrystals synthesized via a scalable room-temperature approach for efficient heterogeneous peptide bond hydrolysis[J]. Chem. Mater., 2021,33(17):7057-7066. doi: 10.1021/acs.chemmater.1c02174

    41. [41]

      Yu Z M, Lv Y K, Zhang F, Shi Q, An K, Huang F, Fan T T, Li G, Wang J. Catalytic degradation of organic pollutants in water under visible light by BiOCl@NH2-MIL-125(Ti-Zr) composite photocatalyst[J]. J. Mater. Sci.-Mater. Electron., 2021,33:19599-19611.

    42. [42]

      Xu J, Liu J, Li Z, Wang X B, Wang Z. Synthesis, structure and properties of Pd@ MOF-808[J]. J. Mater. Sci., 2019,54(19):12911-12924. doi: 10.1007/s10853-019-03786-0

    43. [43]

      Qin H L, Zhang Y S, He S J, Guan Z Y, Shi Y T, Xie X Y, Xia D S, Li D Y, Xu H M. Increasing the migration and separation efficiencies of photogenerated carriers in CQDs/BiOCl through the point discharge effect[J]. Appl. Surf. Sci., 2021,562150214. doi: 10.1016/j.apsusc.2021.150214

    44. [44]

      Hou J H, Tu X Y, Wu X G, Shen M, Wang X Z, Wang C Y, Cao C B, Peng H, Wang G X. Remarkable cycling durability of lithium-sulfur batteries with interconnected mesoporous hollow carbon nanospheres as high sulfur content host[J]. Chem. Eng. J., 2020,401126141. doi: 10.1016/j.cej.2020.126141

    45. [45]

      Kong L C, Wang Y, Andrews C B, Zheng C M. One-step construction of hierarchical porous channels on electrospun MOF/polymer/graphene oxide composite nanofibers for effective arsenate removal from water[J]. Chem. Eng. J., 2022,435(1)134830.

    46. [46]

      Tong X W, Yang Z Q, Feng J N, Li Y, Zhang H G. BiOCl/UiO-66 composite with enhanced performance for photo-assisted degradation of dye from water[J]. Appl. Organometal. Chem., 2017,32(2)e4049.

    47. [47]

      Xu C, Wang J, Gao B R, Dou M M, Chen R. Synergistic adsorption and visible-light catalytic degradation of RhB from recyclable 3D mesoporous graphitic carbon nitride/reduced graphene oxide aerogels[J]. J. Mater. Sci., 2019,54(12):8892-8906. doi: 10.1007/s10853-019-03531-7

    48. [48]

      Tang X L, Liu H H, Yang C, Jin X Y, Zhong J B, Li J Z. In-situ fabrication of Z-scheme CdS/BiOCl heterojunctions with largely improved photocatalytic performance[J]. Colloid Surf. A-Physicochem. Eng. Asp., 2020,599124880. doi: 10.1016/j.colsurfa.2020.124880

  • 加载中
    1. [1]

      Zehui JIABin WENShuting ZHANGZhengliang ZHAOHongfei HANChuntao WANGCaimei FAN . Mechanism of carbon quantum dots-modified BiOCl/diatomite composites for ciprofloxacin degradation under visible light irradiation. Chinese Journal of Inorganic Chemistry, 2026, 42(2): 317-330. doi: 10.11862/CJIC.20250199

    2. [2]

      Chunchun WangChangjun YouKe RongChuqi ShenFang YangShijie Li . An S-Scheme MIL-101(Fe)-on-BiOCl Heterostructure with Oxygen Vacancies for Boosting Photocatalytic Removal of Cr(Ⅵ). Acta Physico-Chimica Sinica, 2024, 40(7): 2307045-0. doi: 10.3866/PKU.WHXB202307045

    3. [3]

      Yongxin LIUXingchen LIHongjia LIUDanni LITao ZHANGXi CHEN . Enhancement effect of Fe3O4 conversion to MIL-100(Fe) on activation of persulfate for degradation of antibiotic. Chinese Journal of Inorganic Chemistry, 2025, 41(12): 2503-2513. doi: 10.11862/CJIC.20250169

    4. [4]

      Shijie LiKe RongXiaoqin WangChuqi ShenFang YangQinghong Zhang . Design of Carbon Quantum Dots/CdS/Ta3N5 S-scheme Heterojunction Nanofibers for Efficient Photocatalytic Antibiotic Removal. Acta Physico-Chimica Sinica, 2024, 40(12): 2403005-0. doi: 10.3866/PKU.WHXB202403005

    5. [5]

      Xia ZHANGYushi BAIXi CHANGHan ZHANGHaoyu ZHANGLiman PENGShushu HUANG . Preparation and photocatalytic degradation performance of rhodamine B of BiOCl/polyaniline. Chinese Journal of Inorganic Chemistry, 2025, 41(5): 913-922. doi: 10.11862/CJIC.20240255

    6. [6]

      Jijun Sun Qianlang Wang Qian Chen Quanqin Zhao Shumei Zhai . The Antibiotic Legion’s Manifesto to Human Allies. University Chemistry, 2025, 40(4): 307-321. doi: 10.12461/PKU.DXHX202405206

    7. [7]

      Deyun MaFenglan LiangQingquan XueYanping LiuChunqiang ZhuangShijie Li . Interfacial engineering of Cd0.5Zn0.5S/BiOBr S-scheme heterojunction with oxygen vacancies for effective photocatalytic antibiotic removal. Acta Physico-Chimica Sinica, 2025, 41(12): 100190-0. doi: 10.1016/j.actphy.2025.100190

    8. [8]

      Xiaofei ZhangShanhao XuZhiyuan WangLong HeTiangcheng HuangYongming XuYucui BianYike LiHaijun ChenZhongjun Li . Surface doping of graphene into BiOCl for efficient photocatalytic amine coupling under visible light. Acta Physico-Chimica Sinica, 2026, 42(5): 100202-0. doi: 10.1016/j.actphy.2025.100202

    9. [9]

      Yingqi BAIHua ZHAOHuipeng LIXinran RENJun LI . Perovskite LaCoO3/g-C3N4 heterojunction: Construction and photocatalytic degradation properties. Chinese Journal of Inorganic Chemistry, 2025, 41(3): 480-490. doi: 10.11862/CJIC.20240259

    10. [10]

      Yadan LuoHao ZhengXin LiFengmin LiHua TangXilin She . Modulating reactive oxygen species in O, S co-doped C3N4 to enhance photocatalytic degradation of microplastics. Acta Physico-Chimica Sinica, 2025, 41(6): 100052-0. doi: 10.1016/j.actphy.2025.100052

    11. [11]

      Bowen LiuJianjun ZhangHan LiBei ChengChuanbiao Bie . MOF-derived ZnO/PANI S-scheme heterojunction for efficient photocatalytic phenol mineralization coupled with H2O2 generation. Acta Physico-Chimica Sinica, 2025, 41(10): 100121-0. doi: 10.1016/j.actphy.2025.100121

    12. [12]

      Yanping QiuJiatong ZhangLinping LiYangqin GaoNing LiLei Ge . MOF-derived g-C3N4/ZnIn2S4 S-scheme heterojunction: interface-engineering enhanced photocatalytic NO conversion. Acta Physico-Chimica Sinica, 2026, 42(4): 100175-0. doi: 10.1016/j.actphy.2025.100175

    13. [13]

      Shiyi ChenJialong FuJianping QiuGuoju ChangShiyou Hao . Waste medical mask-derived carbon quantum dots enhance the photocatalytic degradation of polyethylene terephthalate (PET) over BiOBr/g-C3N4 S-scheme heterojunction. Acta Physico-Chimica Sinica, 2026, 42(1): 100135-0. doi: 10.1016/j.actphy.2025.100135

    14. [14]

      Yichang Liu Li An Dan Qu Zaicheng Sun . “双碳”背景下的综合设计实验——以PbCrO4催化甲基蓝的光降解速率常数测定为例. University Chemistry, 2025, 40(6): 222-229. doi: 10.12461/PKU.DXHX202407105

    15. [15]

      Yuanqing WangYusong PanHongwu ZhuYanlei XiangRong HanRun HuangChao DuChengling Pan . Enhanced Catalytic Activity of Bi2WO6 for Organic Pollutants Degradation under the Synergism between Advanced Oxidative Processes and Visible Light Irradiation. Acta Physico-Chimica Sinica, 2024, 40(4): 2304050-0. doi: 10.3866/PKU.WHXB202304050

    16. [16]

      Changjun YouChunchun WangMingjie CaiYanping LiuBaikang ZhuShijie Li . Improved Photo-Carrier Transfer by an Internal Electric Field in BiOBr/N-rich C3N5 3D/2D S-Scheme Heterojunction for Efficiently Photocatalytic Micropollutant Removal. Acta Physico-Chimica Sinica, 2024, 40(11): 2407014-0. doi: 10.3866/PKU.WHXB202407014

    17. [17]

      Menglan WeiXiaoxia OuYimeng WangMengyuan ZhangFei TengKaixuan Wang . S-scheme heterojunction g-C3N4/Bi2WO6 highly efficient degradation of levofloxacin: performance, mechanism and degradation pathway. Acta Physico-Chimica Sinica, 2025, 41(9): 100105-0. doi: 10.1016/j.actphy.2025.100105

    18. [18]

      Peiling Li Qing Feng Hongling Yuan Qin Wang . Live Interview Recording about the Penicillin Family. University Chemistry, 2024, 39(9): 122-127. doi: 10.3866/PKU.DXHX202311022

    19. [19]

      Yongzhi LIHan ZHANGGangding WANGYanwei SUILei HOUYaoyu WANG . A two-dimensional metal-organic framework for the determination of nitrofurantoin and nitrofurazone in aqueous solution. Chinese Journal of Inorganic Chemistry, 2025, 41(2): 245-253. doi: 10.11862/CJIC.20240307

    20. [20]

      Junjie TANGYunting ZHANGZhengjiang LIUJiani WU . Preparation of CeO2 by starch template method for photo-Fenton degradation of methyl orange. Chinese Journal of Inorganic Chemistry, 2025, 41(8): 1617-1631. doi: 10.11862/CJIC.20240420

Metrics
  • PDF Downloads(21)
  • Abstract views(5438)
  • HTML views(499)

通讯作者: 陈斌, bchen63@163.com
  • 1. 

    沈阳化工大学材料科学与工程学院 沈阳 110142

  1. 本站搜索
  2. 百度学术搜索
  3. 万方数据库搜索
  4. CNKI搜索
Address:Zhongguancun North First Street 2,100190 Beijing, PR China Tel: +86-010-82449177-888
Powered By info@rhhz.net

/

DownLoad:  Full-Size Img  PowerPoint
Return