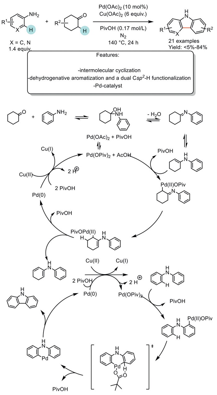
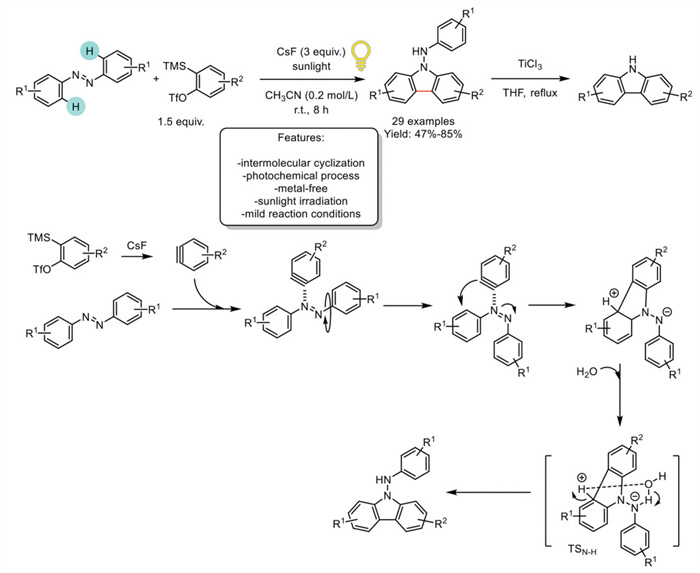
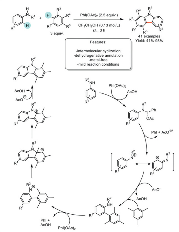
Citation: Giulia Brufani, Edoardo Bazzica, Yanlong Gu, Francesco Mauriello, Luigi Vaccaro. Csp2–H functionalization as an efficient catalytic route to carbazoles[J]. Chinese Chemical Letters, ;2026, 37(1): 111545. doi: 10.1016/j.cclet.2025.111545 shu

Csp2–H functionalization as an efficient catalytic route to carbazoles

    * Corresponding author.
    E-mail address: luigi.vaccaro@unipg.it (L. Vaccaro).
    1 These authors contributed equally to this work.
  • Received Date: 21 April 2025
    Revised Date: 17 June 2025
    Accepted Date: 3 July 2025
    Available Online: 11 July 2025

Figures(40)

Metrics
  • PDF Downloads(0)
  • Abstract views(5)
  • HTML views(1)

通讯作者: 陈斌, bchen63@163.com
  • 1. 

    沈阳化工大学材料科学与工程学院 沈阳 110142

  1. 本站搜索
  2. 百度学术搜索
  3. 万方数据库搜索
  4. CNKI搜索
Address:Zhongguancun North First Street 2,100190 Beijing, PR China Tel: +86-010-82449177-888
Powered By info@rhhz.net

/

DownLoad:  Full-Size Img  PowerPoint
Return