Citation: Juan He, Jiao-Xian Du, Meng Wang, Xiao-Dong Luo, Tao Feng. Irpexlactones A and B, a pair of ring-rearranged tremulane sesquiterpenoids from the basidiomycete Irpex lacteus and their anti-inflammatory activity[J]. Chinese Chemical Letters, ;2025, 36(10): 110769. doi: 10.1016/j.cclet.2024.110769 shu

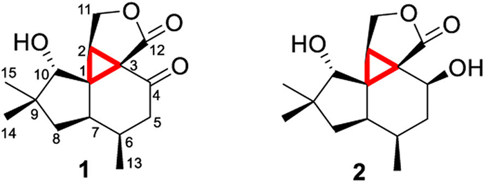
Irpexlactones A and B, a pair of ring-rearranged tremulane sesquiterpenoids from the basidiomycete Irpex lacteus and their anti-inflammatory activity

    * Corresponding authors.
    E-mail addresses: xdluo@ynu.edu.cn (X.-D. Luo), tfeng@mail.scuec.edu.cn (T. Feng).
    1 These authors contributed equally to this work.
  • Received Date: 30 September 2024
    Revised Date: 12 December 2024
    Accepted Date: 17 December 2024
    Available Online: 19 December 2024

Figures(7)

Metrics
  • PDF Downloads(0)
  • Abstract views(392)
  • HTML views(5)

通讯作者: 陈斌, bchen63@163.com
  • 1. 

    沈阳化工大学材料科学与工程学院 沈阳 110142

  1. 本站搜索
  2. 百度学术搜索
  3. 万方数据库搜索
  4. CNKI搜索
Address:Zhongguancun North First Street 2,100190 Beijing, PR China Tel: +86-010-82449177-888
Powered By info@rhhz.net

/

DownLoad:  Full-Size Img  PowerPoint
Return