Citation: Shuang Zhao, Fei Jia, Kaibei Zhan, Rui-Xi Wang, Pengfei Tan, Lin Shen, Li-Ming Wu, Ling Chen. Amino substitution strategy achieves significant blue shift while preserving high optical anisotropy: A2(H3C3N4S2)2•H2O (A =NH4, K, Rb, Cs)[J]. Chinese Chemical Letters, ;2026, 37(3): 110625. doi: 10.1016/j.cclet.2024.110625 shu

Amino substitution strategy achieves significant blue shift while preserving high optical anisotropy: A2(H3C3N4S2)2•H2O (A =NH4, K, Rb, Cs)

    * Corresponding authors.
    E-mail addresses: wlm@bnu.edu.cn (L.-M. Wu), chenl@bnu.edu.cn (L. Chen).
  • Received Date: 5 October 2024
    Revised Date: 1 November 2024
    Accepted Date: 7 November 2024
    Available Online: 10 November 2024

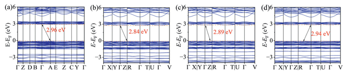
Figures(4)

Metrics
  • PDF Downloads(0)
  • Abstract views(19)
  • HTML views(2)

通讯作者: 陈斌, bchen63@163.com
  • 1. 

    沈阳化工大学材料科学与工程学院 沈阳 110142

  1. 本站搜索
  2. 百度学术搜索
  3. 万方数据库搜索
  4. CNKI搜索
Address:Zhongguancun North First Street 2,100190 Beijing, PR China Tel: +86-010-82449177-888
Powered By info@rhhz.net

/

DownLoad:  Full-Size Img  PowerPoint
Return