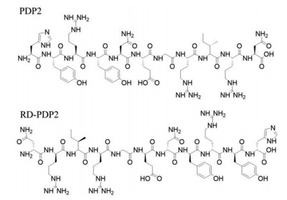
Citation: Qi Luo, Yunwei Zhang, Zihua Wang, Yining Sun, Linqing Shi, Yue Yu, Jiyun Shi, Zhiyuan Hu, Fan Wang. A novel peptide-based probe 99mTc-PEG6-RD-PDP2 for the molecular imaging of tumor PD-L2 expression[J]. Chinese Chemical Letters, ;2022, 33(7): 3497-3501. doi: 10.1016/j.cclet.2022.02.068 shu

A novel peptide-based probe 99mTc-PEG6-RD-PDP2 for the molecular imaging of tumor PD-L2 expression

    * Corresponding authors.
    E-mail addresses: shijiyun@ibp.ac.cn ((J. Shi), huzy@nanoctr.cn (Z. Hu), wangfan@bjmu.edu.cn (F. Wang).
    1 These authors contributed equally to this work.
  • Received Date: 23 December 2021
    Revised Date: 25 February 2022
    Accepted Date: 25 February 2022
    Available Online: 1 March 2022

Figures(5)

Metrics
  • PDF Downloads(2)
  • Abstract views(1832)
  • HTML views(49)

通讯作者: 陈斌, bchen63@163.com
  • 1. 

    沈阳化工大学材料科学与工程学院 沈阳 110142

  1. 本站搜索
  2. 百度学术搜索
  3. 万方数据库搜索
  4. CNKI搜索
Address:Zhongguancun North First Street 2,100190 Beijing, PR China Tel: +86-010-82449177-888
Powered By info@rhhz.net

/

DownLoad:  Full-Size Img  PowerPoint
Return