Citation: Mohebat Razieh, Yazdani-Elah-Abadi Afshin, Maghsoodlou Malek-Taher, Hazeri Nourallah. DABCO-catalyzed multi-component domino reactions for green and efficient synthesis of novel 3-oxo-3H-benzo[a]pyrano[2, 3-c] phenazine-1-carboxylate and 3-(5-hydroxybenzo[a]phenazin-6-yl) acrylate derivatives in water[J]. Chinese Chemical Letters, ;2017, 28(5): 943-948. doi: 10.1016/j.cclet.2016.12.042 shu

DABCO-catalyzed multi-component domino reactions for green and efficient synthesis of novel 3-oxo-3H-benzo[a]pyrano[2, 3-c] phenazine-1-carboxylate and 3-(5-hydroxybenzo[a]phenazin-6-yl) acrylate derivatives in water

Figures(4)

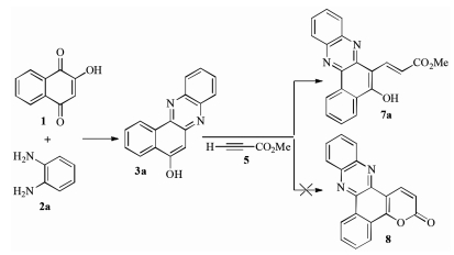
  • An efficient, convenient and environmentally benign procedure for the synthesis of novel 3-oxo-3H-benzo[a]pyrano[2, 3-c]phenazine-1-carboxylate and 3-(5-hydroxybenzo[a]phenazin-6-yl)acrylate derivatives has been developed by domino three-component condensation reaction between 2-hydroxynaphthalene-1, 4-dione, benzene-1, 2-diamines and acetylenic esters in the presence of a catalytic amount of DABCO as an expedient, eco-friendly and reusable base catalyst in water. This green process produces biologically and pharmacologically significant heterocycles in a one-pot single operation and offers considerable advantages such as:operational simplicity, short reaction time, high yields, reusability of catalyst, absence of any tedious workup or purification and avoids hazardous reagents/solvents.
  • 加载中
    1. [1]

      Yu J., Shi F., Gong L.Z.. Brønsted-acid-catalyzed asymmetric multicomponent reactions for the facile synthesis of highly enantioenriched structurally diverse nitrogenous heterocycles[J]. Acc. Chem. Res., 2011(44):1156-1171.  

    2. [2]

      Singh M.S., Nandi G.C., Chanda T.. β-Oxodithioesters:a new frontier for diverse heterocyclic architectures[J]. RSC Adv., 2013(3):14183-14198.  

    3. [3]

      Xu Z., Ayaz M., Cappelli A.A., Hulme C.. General one-pot, two-step protocol accessing a range of novel polycyclic heterocycles with high skeletal diversity[J]. ACS Comb. Sci., 2012(14):460-464.  

    4. [4]

      Jiang B., Tu S.J., Kaur P., Wever W., Li G.. Four-component domino reaction leading to multifunctionalized quinazolines[J]. J. Am. Chem. Soc., 2009(131):11660-11661.  

    5. [5]

      Knapp J.M., Zhu J.S., Tantillo D.J., Kurth M.J.. Multicomponent assembly of highly substituted indoles by dual palladium-catalyzed coupling reactions[J]. Angew. Chem. Int. Ed., 2012(51):10588-10591.  

    6. [6]

      Li M., Cao H., Wang Y., Lv X.L., Wen L.R.. One-pot multicomponent cascade reaction of N S-ketene acetal:solvent-free synthesis of imidazo[1, 2-a] thiochromeno[3.2-e]pyridines[J]. Org. Lett., 2012(14):3470-3473.  

    7. [7]

      Khurana J.M., Chaudhary A., Lumb A., Nand B.. An expedient four-component domino protocol for the synthesis of novel benzo[a] phenazine annulated heterocycles and their photophysical studies[J]. Green Chem., 2012(14):2321-2327.

    8. [8]

      McNulty J., Das P.. Highly stereoselective and general synthesis of (E)-stilbenes and alkenes by means of an aqueous Wittig reaction[J]. Eur. J. Org. Chem., 2009:4031-4035.  

    9. [9]

      McNulty J., Das P., McLeod D.. Microwave-assisted, aqueous wittig reactions:organic-solvent-and protecting-group-free chemoselective synthesis of functionalized alkenes[J]. Chem. Eur. J., 2010(16):6756-6760.  

    10. [10]

      Narayan S., Muldoon J., Finn M.G.. On water:unique reactivity of organic compounds in aqueous suspension[J]. Angew. Chem. Int. Ed., 2005(44):3275-3279.  

    11. [11]

      Smith M.B., March J.. March's advanced organic chemistry:reactions, mechanisms, and structure[J]. John Wiley & Sons, 2007.  

    12. [12]

      R. Breslow, in: M. Lindstrom (Ed. ), In Organic Reactions in Water, Blackwell, Oxford, 2007, pp. 1-28.

    13. [13]

      Rideout D.C., Breslow R.. Hydrophobic acceleration of Diels-Alder reactions[J]. J. Am. Chem. Soc., 1980(102):7816-7817.  

    14. [14]

      Breslow R.. Hydrophobic effects on simple organic reactions in water[J]. Acc. Chem. Res., 1991(24):159-164.  

    15. [15]

      Dömling A., Ugi I.. Multicomponent reactions with isocyanides[J]. Angew. Chem. Int. Ed., 2000(39):3168-3210.  

    16. [16]

      Dömling A.. Recent developments in isocyanide based multicomponent reactions in applied chemistry[J]. Chem. Rev., 2006(106):17-89.  

    17. [17]

      de Witte N.V., Stoppani A.O., Dubin M.. 2-Phenyl-β-lapachone can affect mitochondrial function by redox cycling mediated oxidation[J]. Arch. Biochem. Biophys., 2004(432):129-135.  

    18. [18]

      Lopez L.M., Pellegrino de Iraldi A., Carrizo P.H., Dubin M., Stoppani A.O.M.. Effect of the lipophilic o-naphthoquinone CG 10-248 on rat liver mitochondria structure and function[J]. Biocell, 2002(26):237-245.  

    19. [19]

      Ferreira S.B., Salom K., da Silva F.C.. Synthesis and anti-trypanosoma cruzi activity of β-lapachone analogues[J]. Eur. J. Med. Chem., 2011(46):3071-3077.  

    20. [20]

      Bloxham J., Dell C.P., Smith C.. Preparation of some new benzylidenemalononitriles by an SNAr reaction:application to naphtho[1, 2-b] pyran synthesis[J]. Heterocycles, 1994(38):399-408.

    21. [21]

      Makgatho M.E., Anderson R., sullivan J.F. O'. Tetramethylpiperidinesubstituted phenazines as novel anti-plasmodial agents[J]. Drug Develop. Res., 2000(50):195-202.  

    22. [22]

      de Andrade-Neto V.F., Goulart M.O., da Silva Filho J.F.. β-lapachone and its derivatives against Plasmodium falciparum in vitro and Plasmodium berghei in vivo[J]. Bioorg. Med. Chem. Lett., 2004(14):1145-1149.

    23. [23]

      Neves-Pinto C., Malta V., Pinto M.. A trypanocidal phenazine derived from β-lapachone[J]. J. Med. Chem., 2002(45):2112-2115.  

    24. [24]

      Cartwright D.K., Chilton W.S., Benson D.M.. Benson, Pyrrolnitrin and phenazine production by Pseudomonas cepacia strain 5.5 B, a biocontrol agent of Rhizoctonia solani[J]. Appl. Microbiol. Biotechnol., 1995(43):211-216.  

    25. [25]

      Ligon J.M., Hill D.S., Hammer P.E.. Natural products with antifungal activity from Pseudomonas biocontrol bacteria[J]. Pest. Manag. Sci., 2000(56):688-695.  

    26. [26]

      Muller M., Sorrell T.C.. Inhibition of the human platelet cyclooxygenase response by the naturally occurring phenazine derivative, 1-hydroxyphenazine[J]. Prostaglandins, 1995(50):301-311.  

    27. [27]

      Rewcastle G.W., Denny W.A., Baguley B.C.. Potential antitumor agents. 51. Synthesis and antitumor activity of substituted phenazine-1-carboxamides[J]. J. Med. Chem., 1987(30):843-851.  

    28. [28]

      Lee H.J., Kim J.S., Park S.Y.. Synthesis and cytotoxicity evaluation of 6, 11-dihydro-pyridazo-and 6, 11-dihydro-pyrido[2, 3-b]phenazine-6, 11-diones[J]. Bioorg. Med. Chem., 2004(12):1623-1628.  

    29. [29]

      Kim J.S., Rhee H.K., Park H.J.. Synthesis of 6-chloroisoquinoline-58-diones and pyrido[3, 4-b]phenazine-5, 12-diones and evaluation of their cytotoxicity and DNA topoisomerase Ⅱ inhibitory activity[J]. Bioorg. Med. Chem., 2007(15):451-457.  

    30. [30]

      Maghsoodlou M.T., Habibi S.M., Khorassani -, Moradi A.. One-pot threecomponent synthesis of functionalized spirolactones by means of reaction between aromatic ketones, dimethyl acetylenedicarboxylate, and Nheterocycles[J]. Tetrahedron, 2011(67):8492-8495.

    31. [31]

      Dastoorani P., Maghsoodlou M.T., Khalilzadeh M.A., Sarina E.. Synthesis of new dibenzofuran derivatives via Diels-Alder reaction of euparin with activated acetylenic esters[J]. Tetrahedron Lett., 2016(57):314-316.  

    32. [32]

      Maghsoodlou M.T., Khorassani S.M.H., Heydari R.. Highly stereoselective construction of functionalized cyclopropanes from the reaction between acetylenic esters and C-H acids in the presence of triphenylarsine[J]. Tetrahedron Lett., 2009(50):4439-4442.  

    33. [33]

      Rostami Charati F., Maghsoodlou M.T., Habibi-Khorassani S.M., Makha M.. Green diastereoselective synthesis of highly functionalised trifluoromethylated γ-lactone phosphonate esters bearing a thioester or ketothiophene[J]. Tetrahedron Lett., 2008(49):343-347.  

    34. [34]

      Doostmohammadi R., Maghsoodlou M.T., Hazeri N., Habibi-Khorassani S.M.. Acetic acid as an efficient catalyst for the one-pot preparation of 3, 4, 5-substituted furan-2(5H)-ones[J]. Res. Chem. Intermed., 2013(39):4061-4066.  

    35. [35]

      Doostmohammadi R., Maghsoodlou M.T., Hazeri N., Habibi-Khoras S.M.. An efficient one-pot multi-component synthesis of 3, 4, 5-substituted furan-2(5H)-ones catalyzed by tetra-n-butylammonium bisulphate[J]. Chin. Chem. Lett., 2013(24):901-903.

    36. [36]

      Sajadikhah S.S., Maghsoodlou M.T., Hazeri N.. A simple and efficient approach to one-pot synthesis of mono-and bis-N-aryl-3-aminodihydropyrrol-2-one-4-carboxylates catalyzed by InCl3[J]. Chin. Chem. Lett., 2014(25):58-60.  

    37. [37]

      Bita B.. 1, 4-Diazabicyclo[2.2.2] octane (DABCO) as a useful catalyst in organic synthesis[J]. Eur. J. Chem., 2010(1):54-60.  

  • 加载中
    1. [1]

      Ke WuXiuqin RuanShuolei JiaEnyuan WangQingfa Zhou . DABCO-catalyzed [3+4] annulations of Schiff bases with α-substituted allenes: Construction of functionalized benzazepine derivatives. Chinese Chemical Letters, 2025, 36(7): 110646-. doi: 10.1016/j.cclet.2024.110646

    2. [2]

      Liyang Qin Luna Wu Jinlin Long . Advancements in photocatalytic hydrogen peroxide synthesis: overcoming challenges for a sustainable future. Chinese Journal of Structural Chemistry, 2025, 44(4): 100545-100545. doi: 10.1016/j.cjsc.2025.100545

    3. [3]

      Jia-Cheng HouHong-Tao JiYu-Han LuJia-Sheng WangYao-Dan XuYan-Yan ZengWei-Min He . Sustainable and practical semi-heterogeneous photosynthesis of 5-amino-1,2,4-thiadiazoles over WS2/TEMPO. Chinese Chemical Letters, 2024, 35(8): 109514-. doi: 10.1016/j.cclet.2024.109514

    4. [4]

      Yunchao Li Shanying Chen Ke Qi Kangning Huo Shuxin Li Jingyi Li Ying Wei Louzhen Fan . A New Colloid Electrophoresis Experiment Incorporating Characteristics of Inquiry Learning and Ideological and Political Education. University Chemistry, 2024, 39(2): 47-51. doi: 10.3866/PKU.DXHX202308063

    5. [5]

      Haoyu TianXiaolin CuiGuiwei YaoWenyan WeiJunchao LuSenyao ZhengXingjian WangXun ChenGuangkuan ZhaoDulin Kong . The sulfenylation of enamine esters with heterocyclic thiols or disulfides in water and application to DNA-compatible chemistry. Chinese Chemical Letters, 2025, 36(12): 111006-. doi: 10.1016/j.cclet.2025.111006

    6. [6]

      Shifang SongChenyu WuLi ZhangDezhi YangYang LuZhengzheng Zhou . Unpacking phase transitions in multi-component drug systems: A case study. Chinese Chemical Letters, 2025, 36(7): 110911-. doi: 10.1016/j.cclet.2025.110911

    7. [7]

      Zhi-Peng BaoHefei YangRu-Han AYuanrui WangXiao-Feng Wu . Carbonylative five-component synthesis of amides and esters with α-quaternary carbon center. Chinese Chemical Letters, 2025, 36(11): 111150-. doi: 10.1016/j.cclet.2025.111150

    8. [8]

      Zhilian Liu Wengui Wang Hongxiao Yang Yu Cui Shoufeng Wang . Ideological and Political Education Design for the Synthesis of Irinotecan Drug Intermediate 7-Ethyl Camptothecin. University Chemistry, 2024, 39(2): 89-93. doi: 10.3866/PKU.DXHX202306012

    9. [9]

      Ling Liu Haibin Wang Genrong Qiang . Curriculum Ideological and Political Design for the Comprehensive Preparation Experiment of Ethyl Benzoate Synthesized from Benzyl Alcohol. University Chemistry, 2024, 39(2): 94-98. doi: 10.3866/PKU.DXHX202304080

    10. [10]

      Yinwu Su Xuanwen Zheng Jianghui Du Boda Li Tao Wang Zhiyan Huang . Green Synthesis of 1,3-Dibromoacetone Using Halogen Exchange Method: Recommending a Basic Organic Synthesis Teaching Experiment. University Chemistry, 2024, 39(5): 307-314. doi: 10.3866/PKU.DXHX202311092

    11. [11]

      Zijian Zhao Yanxin Shi Shicheng Li Wenhong Ruan Fang Zhu Jijun Jiang . A New Exploration of the Preparation of Polyacrylic Acid by Free Radical Polymerization Based on the Concept of Green Chemistry. University Chemistry, 2024, 39(5): 315-324. doi: 10.3866/PKU.DXHX202311094

    12. [12]

      Yinuo Wang Siran Wang Yilong Zhao Dazhen Xu . Selective Synthesis of Diarylmethyl Anilines and Triarylmethanes via Multicomponent Reactions: Introduce a Comprehensive Experiment of Organic Chemistry. University Chemistry, 2024, 39(8): 324-330. doi: 10.3866/PKU.DXHX202401063

    13. [13]

      Yiming Lu Xiang Xie Xiaoqing Qiu Yang Liu Xinyuan Cheng . The New Year’s Eve of the Aviation Brake Material Family. University Chemistry, 2024, 39(9): 203-207. doi: 10.12461/PKU.DXHX202403061

    14. [14]

      Yihao Zhao Jitian Rao Jie Han . Synthesis and Photochromic Properties of 3,3-Diphenyl-3H-Naphthopyran: Design and Teaching Practice of a Comprehensive Organic Experiment. University Chemistry, 2024, 39(10): 149-155. doi: 10.3866/PKU.DXHX202402050

    15. [15]

      Jihua Deng Xinshi Wu Dichang Zhong . Exploration of Green Teaching and Ideological and Political Education in Chemical Experiment of “Preparation of Ammonium Ferrous Sulfate”. University Chemistry, 2024, 39(10): 325-329. doi: 10.12461/PKU.DXHX202405046

    16. [16]

      Tingting Yu Si Chen Lianglong Sun Tongtong Shi Kai Sun Xin Wang . Comprehensive Experimental Design for the Photochemical Synthesis, Analysis, and Characterization of Difluoropyrroles. University Chemistry, 2024, 39(11): 196-203. doi: 10.3866/PKU.DXHX202401022

    17. [17]

      Zihan Lin Wanzhen Lin Fa-Jie Chen . Electrochemical Modifications of Native Peptides. University Chemistry, 2025, 40(3): 318-327. doi: 10.12461/PKU.DXHX202406089

    18. [18]

      Feng Han Fuxian Wan Ying Li Congcong Zhang Yuanhong Zhang Chengxia Miao . Comprehensive Organic Chemistry Experiment: Phosphotungstic Acid-Catalyzed Direct Conversion of Triphenylmethanol for the Synthesis of Oxime Ethers. University Chemistry, 2025, 40(3): 342-348. doi: 10.12461/PKU.DXHX202405181

    19. [19]

      Yongjian Zhang Fangling Gao Hong Yan Keyin Ye . Electrochemical Transformation of Organosulfur Compounds. University Chemistry, 2025, 40(5): 311-317. doi: 10.12461/PKU.DXHX202407035

    20. [20]

      Xue DongXiaofu SunShuaiqiang JiaShitao HanDawei ZhouTing YaoMin WangMinghui FangHaihong WuBuxing Han . Electrochemical CO2 Reduction to C2+ Products with Ampere-Level Current on Carbon-Modified Copper Catalysts. Acta Physico-Chimica Sinica, 2025, 41(3): 100024-0. doi: 10.3866/PKU.WHXB202404012

Metrics
  • PDF Downloads(4)
  • Abstract views(1527)
  • HTML views(56)

通讯作者: 陈斌, bchen63@163.com
  • 1. 

    沈阳化工大学材料科学与工程学院 沈阳 110142

  1. 本站搜索
  2. 百度学术搜索
  3. 万方数据库搜索
  4. CNKI搜索
Address:Zhongguancun North First Street 2,100190 Beijing, PR China Tel: +86-010-82449177-888
Powered By info@rhhz.net

/

DownLoad:  Full-Size Img  PowerPoint
Return