Citation: Arshad Mohammad, Roouf Bhat Abdul, Kang Hoi Kwon, Choi Inho, Athar Fareeda. Synthesis, characterization and antibacterial screening of some novel 1, 2, 4-triazine derivatives[J]. Chinese Chemical Letters, ;2017, 28(7): 1559-1565. doi: 10.1016/j.cclet.2016.12.037 shu

Synthesis, characterization and antibacterial screening of some novel 1, 2, 4-triazine derivatives

  • Corresponding author: Athar Fareeda, fathar@jmi.ac.in
  • Received Date: 23 August 2016
    Revised Date: 1 November 2016
    Accepted Date: 28 November 2016
    Available Online: 9 July 2017

Figures(3)

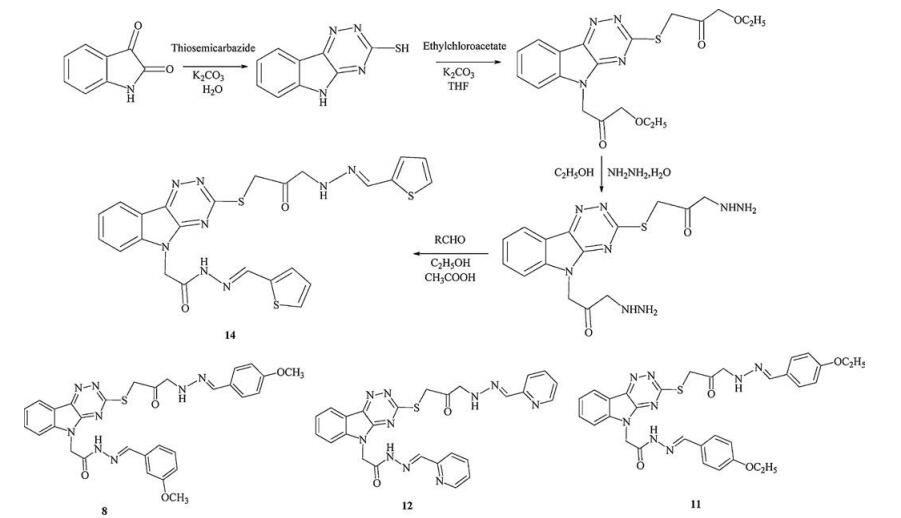
  • A new series of 1, 2, 4-triazine derivatives possessing indole nucleus were synthesized with an aim to explore their effect on in vitro growth of microorganisms causing microbial infection. In vitro antimicrobial activity was performed against S. aureus, S. epidermidis, P. mirabilis and E. coli using disk diffusion method. The MIC was detected using the double dilution method. The results were compared by calculating percent inhibition area/μg of the compounds with the standard drug "Ciprofloxacin". Selected compounds were evaluated for toxic effects using human hepatocellular carcinoma (HepG2) cell line by MTT-assay. Results revealed that some compounds of the series were found to exhibit better activity with less toxicity than Ciprofloxacin.
  • 加载中
    1. [1]

      Gastmeier P., Sohr D., Geffers C.. Mortality risk factors with nosocomial Staphylococcus aureus infections in intensive care units: results from the German Nosocomial Infection Surveillance System (KISS)[J]. Infection, 2005,33:50-55.  

    2. [2]

      Neu H.C.. The crisis in antibiotic resistance[J]. Science, 1992,257:1064-1073. doi: 10.1126/science.257.5073.1064

    3. [3]

      Babu K.R., Eeshwaraiah B., Aravind D.. Synthesis of quinoline analogs: search for antimalarial agents[J]. Monatsh. Chem., 2008,139:179-181. doi: 10.1007/s00706-007-0772-5

    4. [4]

      Dalhoff A.. Quinolone resistance in Pseudomonas aeruginosa and Staphylococcus aureus. Development during therapy and clinical significance[J]. Infection, 1994,22:S111-S121. doi: 10.1007/BF01793575

    5. [5]

      von Nussbaum F., Brands M., Hinzen B., Weigand S., Häbich D.. Antibacterial natural products in medicinal chemistry-exodus or revival[J]. Angew. Chem. Int. Ed., 2006,45:5072-5129. doi: 10.1002/(ISSN)1521-3773

    6. [6]

      Guo X., Li Y.L., Liu Y.F., Guo H.Y., Wang Y.C.. Synthesis and in vitro antibacterial activities of 7-(3-aminopyrrolo [3, 4-c] pyrazol-5(2H, 4H, 6H)-yl) quinolone derivatives[J]. Chin. Chem. Lett., 2010,21:1141-1144. doi: 10.1016/j.cclet.2010.06.011

    7. [7]

      Narasimha Murthy Y.L., Karthikeyan N., Boddeti G., Diwakar B.S., Singh E.R.. Design, synthesis and in vitro antibacterial activities of methy-l4((substituted phenyl) [6H-indolo (2, 3-b) quinoxalin-6-yl] methyl-amino)benzoate derivatives[J]. Chin. Chem. Lett., 2011,22:567-570. doi: 10.1016/j.cclet.2010.10.055

    8. [8]

      Akhaja T.N., Raval J.P.. Design, synthesis, in vitro evaluation of tetrahydropyrimidine-isatin hybrids as potential antibacterial, antifungal and anti-tubercular agents[J]. Chin. Chem. Lett., 2012,23:446-449. doi: 10.1016/j.cclet.2012.01.040

    9. [9]

      Rostamizadeh S., Nojavan M., Aryan R., Sadeghian H., Davoodnejad M.. A novel and efficient synthesis of pyrazolo[3, 4-d]pyrimidine derivatives and the study of their anti-bacterial activity[J]. Chin. Chem. Lett., 2013,24:629-632. doi: 10.1016/j.cclet.2013.04.035

    10. [10]

      Asghari S., Ramezani S., Mohseni M.. Synthesis and antibacterial activity of ethyl-2-amino-6-methyl-5-oxo-4-aryl-56-dihydro-4H-pyrano[3, 2-c]quin oline-3-carboxylate[J]. Chin. Chem. Lett., 2014,25:431-434. doi: 10.1016/j.cclet.2013.12.010

    11. [11]

      Nagarajan S., Shanmugavelan P., Sathishkumar M.. An eco-friendly water mediated synthesis of 1, 2, 3-triazolyl-2-aminopyrimidine hybrids as highly potent anti-bacterial agents[J]. Chin. Chem. Lett., 2014,25:419-422. doi: 10.1016/j.cclet.2013.12.017

    12. [12]

      Asghari S., Malekian N., Esmaeilpour R., Ahmadipour M., Mohseni M.. Threecomponent synthesis and antibacterial evaluation of some novel 1, 2-dihydroisoquinoline derivatives[J]. Chin. Chem. Lett., 2014,25:1441-1444. doi: 10.1016/j.cclet.2014.05.047

    13. [13]

      Tehrani K.H.M.E., Hashemi M., Hassan M., Kobarfard F., Mohebbi S.. Synthesis and antibacterial activity of Schiff bases of 5-substituted isatins[J]. Chin. Chem. Lett., 2016,27:221-225. doi: 10.1016/j.cclet.2015.10.027

    14. [14]

      Sarva S., Harinath J.S., Sthanikam S.P.. Synthesis, antibacterial and antiinflammatory activity of bis(indolyl)methanes[J]. Chin. Chem. Lett., 2016,27:16-20. doi: 10.1016/j.cclet.2015.08.012

    15. [15]

      Gao L.Z., Xie Y.S., Li T.. Synthesis and antibacterial activity of novel [1, 2, 4] triazolo[3, 4-h][1, 8]naphthyridine-7-carboxylic acid derivatives[J]. Chin. Chem. Lett., 2015,26:149-151. doi: 10.1016/j.cclet.2014.09.017

    16. [16]

      Abdel-Rahman R.M.. Role of uncondensed 1, 2, 4-triazine compounds and related heterobicyclic systems as therapeutic agents-a review[J]. Pharmazie, 2001,56:18-22.

    17. [17]

      El-Gendy Z., Morsy J.M., Allimony H.A., Abdel-Monem W.R., AbdelRahman R.M.. Synthesis of heterobicyclic nitrogen systems bearing a 1, 2, 4-triazine moiety as anticancer drugs: part Ⅳ[J]. Phosph. Sulfur Silicon Relat. Elem., 2003,178:2055-2071. doi: 10.1080/10426500390228738

    18. [18]

      Ali T.E.S.. Synthesis and fungicidal activity of some new 4h-chromen-4-ones containing some 1, 3-thiazole, 1, 3-thiazine, 1, 2, 4-triazole and 1, 2, 4-triazine moieties[J]. Phosph. Sulfur Silicon Relat. Elem., 2007,182:1717-1726. doi: 10.1080/10426500701313896

    19. [19]

      Ali T.E., Abdel-Monem W.R.. Synthesis of some new 9-heteroarylcarbazole derivatives with expected biological activity[J]. Int. J. Chem., 2007,17:303-314.  

    20. [20]

      Ali T.E., Abdel-Aziz S.A., El-Shaaer H.M., Hanafy F.I., El-Fauomy A.Z.. Synthesis of bioactive 4-oxo-4H-chromenes bearing heterocyclic systems from hydrazonecarbodithioic acid and thiocarbohydrazone[J]. Phosph. Sulfur Silicon Relat. Elem., 2008,183:2139-2160. doi: 10.1080/10426500701851291

    21. [21]

      El-Mariah F., Hosny M., Deeb A.. Pyridazine derivative and related compound, part 18: 1 pyridazino [3', 4': 3, 4]pyrazolo [5, 1-c]-1, 2, 4-triazine-3-carboxylic acid: synthesis, reactions, and antimicrobial activity[J]. Phosph. Sulfur Silicon Relat. Elem., 2006,181:2505-2517. doi: 10.1080/10426500600754786

    22. [22]

      Al-Adiwish W.M., Tahir M.I.M., Siti-Noor-Adnalizawati A.. Synthesis antibacterial activity and cytotoxicity of new fused pyrazolo [5, 1-c][1, 2, 4] triazine derivatives from new 5-aminopyrazoles[J]. Eur. J. Med. Chem., 2013,64:464-476. doi: 10.1016/j.ejmech.2013.04.029

    23. [23]

      Ali T.E.S.. Synthesis of some novel pyrazolo[3, 4-d] pyrimidine derivatives bearing 5, 6-diphenyl-1, 2, 4-triazine moiety as potential antimicrobial agents[J]. Eur. J. Med. Chem., 2009,44:4385-4392. doi: 10.1016/j.ejmech.2009.05.031

    24. [24]

      Pandey S.K., Singh A., Singh A.. Nizamuddin, Antimicrobial studies of some novel quinazolinones fused with[1, 2, 4]-triazole, [1, 2, 4]-triazine and [1, 2, 4, 5]-tetrazine rings[J]. Eur. J. Med. Chem., 2009,44:1188-1197. doi: 10.1016/j.ejmech.2008.05.033

    25. [25]

      Lv W., Banerjee B., Molland K.L.. Synthesis of 3-(3-aryl-pyrrolidin-1-yl)-5-aryl-1, 2, 4-triazines that have antibacterial activity and also inhibit inorganic pyrophosphatase[J]. Bioorg. Med. Chem., 2014,22:406-418. doi: 10.1016/j.bmc.2013.11.011

    26. [26]

      Sztanke K., Markowski W., Świeboda R., Polak B.. Lipophilicity of novel antitumour and analgesic active 8-aryl-2, 6, 7, 8-tetrahydroimidazo[2, 1-c] [1, 2, 4]triazine-3, 4-dione derivatives determined by reversed-phase HPLC and computational methods[J]. Eur. J. Med. Chem., 2010,45:2644-2649. doi: 10.1016/j.ejmech.2010.01.068

    27. [27]

      Sztanke K., Pasternak K., Rzymowska J., Sztanke M., Kandefer-Szerszeń M.. Synthesis, structure elucidation and identification of antitumoural properties of novel fused 1, 2, 4-triazine aryl derivatives[J]. Eur. J. Med. Chem., 2008,43:1085-1094. doi: 10.1016/j.ejmech.2007.07.009

    28. [28]

      Ashour H.M., Shaaban O.G., Rizk O.H., El-Ashmawy I.M.. Synthesis and biological evaluation of thieno[2', 3': 45]pyrimido[1, 2-b][1, 2, 4]triazines and thieno[2, 3-d][1, 2, 4]triazolo[1, 5-a]pyrimidines as anti-inflammatory and analgesic agents[J]. Eur. J. Med. Chem., 2013,62:341-351. doi: 10.1016/j.ejmech.2012.12.003

    29. [29]

      Gucký T., Fryšová I., Slouka J., Hajdúch M., Džubák P.. Cyclocondensation reaction of heterocyclic carbonyl compounds, Part ⅩⅢ: synthesis and cytotoxic activity of some 3, 7-diaryl-5-(3, 4, 5-trimethoxyphenyl)pyrazolo[4, 3-e][1, 2, 4] triazines[J]. Eur. J. Med. Chem., 2009,44:891-900. doi: 10.1016/j.ejmech.2008.05.026

    30. [30]

      Stýskala J., Stýskalová L., Slouka J., Hajdúch M.. Synthesis of 2-aryl-4-(benzimidazol-2-yl)-12-dihydro[1, 2, 4]triazino-[4, 5-a]benzimidazol-1-one derivatives with preferential cytotoxicity against carcinoma cell lines[J]. Eur. J. Med. Chem., 2008,43:449-455. doi: 10.1016/j.ejmech.2007.01.008

    31. [31]

      Gupta L., Sunduru N., Verma A.. Synthesis and biological evaluation of new [1, 2, 4]triazino[5, 6-b]indol-3-ylthio-1, 3, 5-triazines and [1, 2, 4]triazino [5, 6-b]indol-3-ylthio-pyrimidines against Leishmania donovani[J]. Eur. J. Med. Chem., 2010,45:2359-2365. doi: 10.1016/j.ejmech.2010.02.015

    32. [32]

      Diana P., Barraja P., Lauria A.. Pyrrolo[2, 1-c][1, 2, 4]triazines from 2-diazopyrroles: synthesis and antiproliferative activity[J]. Eur. J. Med. Chem., 2002,37:267-272. doi: 10.1016/S0223-5234(02)01339-9

    33. [33]

      Krauth F., Dahse H.M., Rüttinger H.H., Frohberg P.. Synthesis and characterization of novel 1, 2, 4-triazine derivatives with antiproliferative activity[J]. Bioorg. Med. Chem., 2010,18:1816-1821. doi: 10.1016/j.bmc.2010.01.053

    34. [34]

      Sztanke K., Fidecka S., Kędzierska E.. Antinociceptive activity of new imidazolidine carbonyl derivatives.: part 4. Synthesis and pharmacological activity of 8-aryl-34-dioxo-2H. 8H-6, 7-dihydroimidazo[2, 1-c] [1, 2, 4]triazines[J]. Eur. J. Med. Chem., 2005,40:127-134. doi: 10.1016/j.ejmech.2004.09.020

    35. [35]

      Khoshneviszadeh M., Ghahremani M.H., Foroumadi A.. Design, synthesis and biological evaluation of novel anti-cytokine 1, 2, 4-triazine derivatives[J]. Bioorg. Med. Chem., 2013,21:6708-6717. doi: 10.1016/j.bmc.2013.08.009

    36. [36]

      Irannejad H., Kebriaieeadeh A., Zarghi A.. Synthesis, docking simulation, biological evaluations and 3D-QSAR study of 5-Aryl-6-(4-methylsulfonyl)-3-(metylthio)-1, 24-triazine as selective cyclooxygenase-2 inhibitors[J]. Bioorg. Med. Chem., 2014,22:865-873. doi: 10.1016/j.bmc.2013.12.002

    37. [37]

      Irannejad H., Amini M., Khodagholi F.. Synthesis and in vitro evaluation of novel 1, 2, 4-triazine derivatives as neuroprotective agents[J]. Bioorg. Med. Chem., 2010,18:4224-4230. doi: 10.1016/j.bmc.2010.04.097

    38. [38]

      Sztanke K., Pasternak K., Rajtar B.. Identification of antibacterial and antiviral activities of novel fused 1, 2, 4-triazine esters[J]. Bioorg. Med. Chem., 2007,15:5480-5486. doi: 10.1016/j.bmc.2007.05.048

    39. [39]

      Ban K., Duffy S., Khakham Y.. 3-Alkylthio-1, 24-triazine dimers with potent antimalarial activity[J]. Bioorg. Med. Chem. Lett., 2010,20:6024-6029. doi: 10.1016/j.bmcl.2010.08.065

    40. [40]

      Kumar A., Srivastava K., Kumar S.R., Puri S.K., Chauhan P.M.S.. Synthesis and bioevaluation of hybrid 4-aminoquinoline triazines as a new class of antimalarial agents[J]. Bioorg. Med. Chem. Lett., 2008,18:6530-6533. doi: 10.1016/j.bmcl.2008.10.049

    41. [41]

      Abele E., Abele R., Dzenitis O., Lukevics E.. Indole and isatin oximes: synthesis, reactions, and biological activity[J]. Chem. Heterocycl. Compd., 2003,39:3-35. doi: 10.1023/A:1023008422464

    42. [42]

      Radwan M.A.A., Ragab E.A., Sabry N.M., El-Shenawy S.M.. Synthesis and biological evaluation of new 3-substituted indole derivatives as potential antiinflammatory and analgesic agents[J]. Bioorg. Med. Chem., 2007,15:3832-3841. doi: 10.1016/j.bmc.2007.03.024

    43. [43]

      Kalaskar G.P., Girisha M., Purohit M.G., Thippeswamy B.S., Patil B.M.. Synthesis and evaluation of in vivo antiinflammatory activity of indole-3-aceetic acids[J]. Indian J. Heterocycl. Chem., 2007,16:325-328.

    44. [44]

      Rani P., Srivastava V.K., Kumar A.. Synthesis and antiinflammatory activity of heterocyclic indole derivatives[J]. Eur. J. Med. Chem., 2004,39:449-452. doi: 10.1016/j.ejmech.2003.11.002

    45. [45]

      Amir M., Dhar N., Tiwari S.K.. Synthesis and anti-inflammatory activity of some new indole and indazole derivatives[J]. Indian J. Chem., 1997,36:96-98.

    46. [46]

      Przheval'skii N.M., Magedov I.V., Drozd V.N.. New derivatives of indole. Synthesis of s-(indolyl-3) diethyl dithiocarbamates[J]. Chem. Heterocycl. Compd., 1997,33:1475-1476. doi: 10.1007/BF02291655

    47. [47]

      Panwar H., Verma R.S., Srivastava V.K., Kumar A.. Synthesis of some substituted azetidinonyl and thiazolidinonyl-1, 3, 4-thiadiazino[6, 5-b]indoles as prospective antimicrobial agents[J]. Indian J. Chem., 2006,45B:2014-2099.

    48. [48]

      Al-Hiari Y.M., Qaisi A.M., El-Abadelah M.M., Voelter W.. Synthesis and antibacterial activity of some substituted 3-(aryl)-and 3-(heteroaryl) indoles[J]. Monatsh. Chem., 2006,137:243-248. doi: 10.1007/s00706-005-0424-6

    49. [49]

      Sharma K., Jain R., Joshi K.C.. Synthesis and insecticidal activity of some novel indole derivatives[J]. Indian J. Heterocycl. Chem., 1992,1189.  

    50. [50]

      Hong B.C., Jiang Y.F., Chang Y.L., Lee S.J.. Synthesis and cytotoxicity studies of cyclohepta[b]indoles Benzo[6, 7]cyclohepta[1, 2-b]indoles, indeno[1, 2-b] indoles, and Benzo[a]carbazoles[J]. J. Chin. Chem. Soc., 2006,53:647-662. doi: 10.1002/jccs.v53.3

    51. [51]

      Chacón-Garcı'a L., Martı'nez R.. Synthesis and in vitro cytotoxic activity of pyrrolo [2, 3-e] indole derivatives and a dihydro benzoindole analogue[J]. Eur. J. Med. Chem., 2002,37:261-266. doi: 10.1016/S0223-5234(01)01328-9

    52. [52]

      Rossiter S., Folkes L.K., Wardman P.. Halogenated indole-3-acetic acids as oxidatively activated prodrugs with potential for targeted cancer therapy[J]. Bioorg. Med. Chem. Lett., 2002,12:2523-2526. doi: 10.1016/S0960-894X(02)00505-X

    53. [53]

      Queiroz M.J.R.P., Abreu A.S., Carvalho M.S.D.. Synthesis of new heteroaryl and heteroannulated indoles from dehydrophenylalanines: antitumor evaluation[J]. Bioorg. Med. Chem., 2008,16:5584-5589. doi: 10.1016/j.bmc.2008.04.004

    54. [54]

      Zheng M.F., Zheng M.Y., Ye D.J.. Indole derivatives as potent inhibitors of 5-lipoxygenase: design, synthesis, biological evaluation, and molecular modeling[J]. Bioorg. Med. Chem. Lett., 2007,17:2414-2420. doi: 10.1016/j.bmcl.2007.02.038

    55. [55]

      Merino I., Monge A., Font M.. Synthesis and anti-HIV-1 activities of new pyrimido[5, 4-b]indoles[J]. Farmaco, 1999,54:255-264. doi: 10.1016/S0014-827X(99)00035-X

    56. [56]

      Aboul-Enein H.Y., Kruk I., Lichszteld K.. Scavenging of reactive oxygen species by N-substituted indole-2 and 3-carboxamides[J]. Luminescence, 2004,19:1-7. doi: 10.1002/(ISSN)1522-7243

    57. [57]

      Talaz O., Gülçin I., Göksu S., Saracoglu N.. Antioxidant activity of 510-dihydroindeno[1, 2-b]indoles containing substituents on dihydroindeno part[J]. Bioorg. Med. Chem., 2009,17:6583-6589. doi: 10.1016/j.bmc.2009.07.077

    58. [58]

      Karalı N., Gürsoy A., Kandemirli F.. Synthesis and structureantituberculosis activity relationship of 1H-indole-2, 3-dione derivatives[J]. Bioorg. Med. Chem., 2007,15:5888-5904. doi: 10.1016/j.bmc.2007.05.063

    59. [59]

      Battaglia S., Boldrini E., Settimo F.D.. Indole amide derivatives: synthesis, structure-activity relationships and molecular modelling studies of a new series of histamine H1-receptor antagonists[J]. Eur. J. Med. Chem., 1999,34:93-105. doi: 10.1016/S0223-5234(99)80044-0

    60. [60]

      Yu H., Prisinzano T., Dersch C.M.. Synthesis and biological activity of 8bsubstituted hydrocodone indole and hydromorphone indole derivatives[J]. Bioorg. Med. Chem., 2002,12:165-168. doi: 10.1016/S0960-894X(01)00689-8

    61. [61]

      Barraja P., Sciabica L., Diana P.. Synthesis and photochemotherapeutic activity of thiopyrano[2, 3-e]indol-2-ones[J]. Bioorg. Med. Chem. Lett., 2005,15:2291-2294. doi: 10.1016/j.bmcl.2005.03.016

    62. [62]

      Li Y.Y., Wu H.S., Tang L.. The potential insulin sensitizing and glucose lowering effects of a novel indole derivative in vitro and in vivo[J]. Pharmacol. Res., 2007,56:335-343. doi: 10.1016/j.phrs.2007.08.002

    63. [63]

      Kher S., Lake K., Sircar I.. 2-Aryl-N-acyl indole derivatives as liver X receptor (LXR) agonists[J]. Bioorg. Med. Chem. Lett., 2007,17:4442-4446. doi: 10.1016/j.bmcl.2007.06.017

    64. [64]

      Bellemin R., Decerprit A., Festal D.. New indole derivatives as ACAT inhibitors: synthesis and structure-activity relationships[J]. Eur. J. Med. Chem., 1996,31:123-132. doi: 10.1016/0223-5234(96)80445-4

    65. [65]

      Rollas S., Gulerman N., Edeniz H.. Synthesis and antimicrobial activity of some new hydrazones of 4-fluorobenzoic acid hydrazide and 3-acetyl-2, 5-disubstituted-1, 34-oxadiazolines[J]. Farmaco, 2002,57:171-174. doi: 10.1016/S0014-827X(01)01192-2

    66. [66]

      Imramovsky, Polanc, Vinšová. A new modification of anti-tubercular active molecules[J]. Bioorg. Med. Chem., 2007,15:2551-2559. doi: 10.1016/j.bmc.2007.01.051

    67. [67]

      Janin Y.L.. Antituberculosis drugs: ten years of research[J]. Bioorg. Med. Chem., 2007,15:2479-2513. doi: 10.1016/j.bmc.2007.01.030

    68. [68]

      Dimmock J.R., Vashishtha S.C., Stables J.P.. Anticonvulsant properties of various acetylhydrazones, oxamoylhydrazones and semicarbazones derived from aromatic and unsaturated carbonyl compounds[J]. Eur. J. Med. Chem., 2000,35:241-248. doi: 10.1016/S0223-5234(00)00123-9

    69. [69]

      Lima P.C., Lima L.M., da Silva K.C.. Synthesis and analgesic activity of novel N-acylarylhydrazones and isosters, derived from natural safrole[J]. Eur. J. Med. Chem., 2000,35:187-203. doi: 10.1016/S0223-5234(00)00120-3

    70. [70]

      Salgin-Göksen U., Gökham-Keleçi N., Göstaş O.. 1-Acylthiosemicarbazides, 1, 2, 4-triazole-5(4H)-thiones, 1, 3, 4-thiadiazoles and hydrazones containing 5-methyl-2-benzoxazolinones: Synthesis, analgesic-anti-inflammatory and antimicrobial activities[J]. Bioorg. Med. Chem., 2007,15:5738-5751. doi: 10.1016/j.bmc.2007.06.006

    71. [71]

      Kalsi R., Shrimali M., Bhalla T.N., Barthwal J.P.. Synthesis and antiinflammatory activity of indolyl azetidinones[J]. Indian J. Pharm. Sci., 1990,52:129-134.

    72. [72]

      Silva G.A., Costa L.M.M., Brito F.C.F.. New class of potent antinociceptive and antiplatelet 10H-phenothiazine-1-acylhydrazone derivatives[J]. Bioorg. Med. Chem., 2004,12:3149-3158. doi: 10.1016/j.bmc.2004.04.009

    73. [73]

      Savini L., Chiasserini L., Travagli V.. New α-(N)-heterocyclichydrazones: evaluation of anticancer, anti-HIV and antimicrobial activity[J]. Eur. J. Med. Chem., 2004,39:113-122. doi: 10.1016/j.ejmech.2003.09.012

    74. [74]

      Bijev A.. New heterocyclic hydrazones in the search for antitubercular agents: synthesis and in vitro evaluations[J]. Lett. Drug Design Discov., 2006,3:506-512. doi: 10.2174/157018006778194790

    75. [75]

      Arshad M., Bhat A.R., Pokharel S.. Synthesis, characterization and anticancer screening of some novel piperonyl-tetrazole derivatives[J]. Eur. J. Med. Chem., 2014,71:229-236. doi: 10.1016/j.ejmech.2013.11.008

    76. [76]

      Loncle C., Brunel J.M., Vidal N., Dherbomez M., Letourneux Y.. Synthesis and antifungal activity of cholesterol-hydrazone derivatives[J]. Eur. J. Med. Chem., 2004,39:1067-1071. doi: 10.1016/j.ejmech.2004.07.005

    77. [77]

      Abdel-Aal M.T., El-sayed W.A., El-Ashry E.H.. Synthesis and antiviral evaluation of some sugar arylglycinoylhydrazones and their oxadiazoline derivatives[J]. Arch. Pharm. Chem. Life Sci., 2006,339:656-663. doi: 10.1002/(ISSN)1521-4184

    78. [78]

      El-Hawash S.A.M., Abdel Wahab A.E., El-Dewellawy M.A.. Cyanoacetic acid hydrazones of 3-(and 4-)acetylpyridine and some derived ring systems as potential antitumor and anti-HCV agents[J]. Arch. Pharm. Chem. Life Sci., 2006,339:14-23. doi: 10.1002/(ISSN)1521-4184

    79. [79]

      Cocco M.T., Congiu C., Lilliu V., Onnis V.. Synthesis and in vitro antitumoral activity of new hydrazinopyrimidine-5-carbonitrile derivatives[J]. Bioorg. Med. Chem., 2006,14:366-372. doi: 10.1016/j.bmc.2005.08.012

    80. [80]

      Capilla J., Serena C., Javier Pastor F., Ortoneda M., Guarro J.. Efficacy of voriconazole in treatment of systemic scedosporiosis in neutropenic mice[J]. Antimicrob. Agents Chemother., 2003,47:3976-3978. doi: 10.1128/AAC.47.12.3976-3978.2003

    81. [81]

      Walcourt A., Loyevsky M., Lovejoy D.B., Gordeuk V.R., Richardson D.R.. Novel aroylhydrazone and thiosemicarbazone iron chelators with anti-malarial activity against chloroquine-resistant and -sensitive parasites[J]. Int. J. Biochem. Cell Biol., 2004,36:401-407. doi: 10.1016/S1357-2725(03)00248-6

    82. [82]

      Garn H., Krause H., Enzmann V., Dröβler K.. An improved MTT assay using the electron-coupling agent menadione[J]. J. Immunol. Methods, 1994,168:253-256. doi: 10.1016/0022-1759(94)90062-0

    83. [83]

      Thom S.M., Horobin R.W., Seidler E., Barer M.R.. Factors affecting the selection and use of tetrazolium salts as cytochemical indicators of microbial viability and activity[J]. J. Appl. Bacteriol., 1993,74:433-443. doi: 10.1111/jam.1993.74.issue-4

    84. [84]

      Kim S.R., Park M.J., Lee M.K.. Flavonoids of Inula britannica protect cultured cortical cells from necrotic cell death induced by glutamate[J]. Free Radic. Biol. Med., 2002,32:596-604. doi: 10.1016/S0891-5849(02)00751-7

    85. [85]

      Kim S.H., Zo J.H., Kim M.A.. Naringin suppresses the mitogenic effect of lysophosphatidylcholine on vascular smooth muscle cells[J]. Nutr. Res., 2003,23:1671-1683. doi: 10.1016/j.nutres.2003.08.001

    86. [86]

      Lin H.Y., Juan S.H., Shen S.C., Hsu F.L., Chen Y.C.. Inhibition of lipopolysaccharide-induced nitric oxide production by flavonoids in RAW264.7 macrophages involves heme oxygenase-1[J]. Biochem. Pharmacol., 2003,66:1821-1832. doi: 10.1016/S0006-2952(03)00422-2

    87. [87]

      Gupta M.K., Neelakantan T.V., Sanghamitra M.. An assessment of the role of reactive oxygen species and redox signaling in norepinephrine-induced apoptosis and hypertrophy of H9c2 cardiac myoblasts[J]. Antioxid. Redox Signal., 2006,8:1081-1093. doi: 10.1089/ars.2006.8.1081

    88. [88]

      Mosmann T.. Rapid colorimetric assay for cellular growth and survival: application to proliferation and cytotoxicity assays[J]. J. Immunol. Methods, 1983,65:55-63. doi: 10.1016/0022-1759(83)90303-4

  • 加载中
    1. [1]

      Xingyu ChenSihui ZhuangWeiyao YanZhengli ZengJianguo FengHongen CaoLei Yu . Synthesis, antibacterial evaluation, and safety assessment of Se@PLA as a potent bactericide against Xanthomonas oryzae pv. oryzae. Chinese Chemical Letters, 2024, 35(10): 109635-. doi: 10.1016/j.cclet.2024.109635

    2. [2]

      Yanye FanJingjing ChenBichun ChenJinyu BaiBowen YangFeng LiangLijing Fang . Design, synthesis and biological evaluation of Leu10-teixobactin analogues. Chinese Chemical Letters, 2025, 36(4): 110075-. doi: 10.1016/j.cclet.2024.110075

    3. [3]

      Yulong ShiFenbei ChenMengyuan WuXin ZhangRunze MengKun WangYan WangYuheng MeiQionglu DuanYinghong LiRongmei GaoYuhuan LiHongbin DengJiandong JiangYanxiang WangDanqing Song . Chemical construction and anti-HCoV-OC43 evaluation of novel 10,12-disubstituted aloperine derivatives as dual cofactor inhibitors of TMPRSS2 and SR-B1. Chinese Chemical Letters, 2024, 35(5): 108792-. doi: 10.1016/j.cclet.2023.108792

    4. [4]

      Huiju CaoLei Shi . sp1-Hybridized linear and cyclic carbon chain. Chinese Chemical Letters, 2025, 36(4): 110466-. doi: 10.1016/j.cclet.2024.110466

    5. [5]

      Jiaxi WangZhiwei GaoHao LiangQianyue LiuWeiqian JinHuyang GaoBailei WangRuikai ZhuJiahao HuangXiaowen LiXingmou WuWeijiu MoYinhan LiaoMing GaoXiaojie LiCuiping Li . NIR stimulated epigallocatechin gallate loaded polydopamine with enhanced antibacterial and ROS scavenging abilities for improved infectious wound healing. Chinese Chemical Letters, 2025, 36(7): 110569-. doi: 10.1016/j.cclet.2024.110569

    6. [6]

      Peipei CUIYawen ZHENGPan LIPeiyan GUANZhaohong QIAN . Praseodymium-organic framework with 4, 4′-oxybis(benzoic acid): Rare broken layer structure, antibacterial activity, and sensing for Cd2+ ions. Chinese Journal of Inorganic Chemistry, 2025, 41(8): 1641-1649. doi: 10.11862/CJIC.20250152

    7. [7]

      Yingyue ZHANGLiuqing KANGYating YANGXiaofen GUANWenmin WANG . Crystal structure and antibacterial activity of two Gd2 complexes based on polydentate Schiff-base ligands. Chinese Journal of Inorganic Chemistry, 2025, 41(9): 1867-1877. doi: 10.11862/CJIC.20250100

    8. [8]

      Yang Li Jiachen Li Daidi Fan . 二硫化钼纳米片的制备及其纳米酶性能探究——介绍一个大学化学综合实验. University Chemistry, 2025, 40(8): 233-240. doi: 10.12461/PKU.DXHX202410016

    9. [9]

      Chao LIUJiang WUZhaolei JIN . Synthesis, crystal structures, and antibacterial activities of two zinc(Ⅱ) complexes bearing 5-phenyl-1H-pyrazole group. Chinese Journal of Inorganic Chemistry, 2024, 40(10): 1986-1994. doi: 10.11862/CJIC.20240153

    10. [10]

      Xinyi ZhangKai RenYanning LiuZhenyi GuZhixiong HuangShuohang ZhengXiaotong WangJinzhi GuoIgor V. ZatovskyJunming CaoXinglong Wu . Progress on Entropy Production Engineering for Electrochemical Catalysis. Acta Physico-Chimica Sinica, 2024, 40(7): 2307057-0. doi: 10.3866/PKU.WHXB202307057

    11. [11]

      Lei FengZe-Min ZhuYing YangZongbin HeJiafeng ZouMan-Bo LiYan ZhaoZhikun Wu . Long-Pursued Structure of Au23(S-Adm)16 and the Unexpected Doping Effects. Acta Physico-Chimica Sinica, 2024, 40(5): 2305029-0. doi: 10.3866/PKU.WHXB202305029

    12. [12]

      Ying Chen Ronghua Yan Weiyan Yin . Research Progress on the Synthesis of Metal Single-Atom Catalysts and Their Applications in Electrocatalytic Hydrogen Evolution Reactions. University Chemistry, 2025, 40(9): 344-353. doi: 10.12461/PKU.DXHX202503066

    13. [13]

      Xiangrong PanXixi HouYuhang DuZhixin PangShiyang HeLan WangJianxue YangLongfei MaoJianhua QinHaixia WuBaozhong LiuZhan ZhouLufang MaChaoliang Tan . Solvent-mediated synthesis of 2D In-TCPP MOF nanosheets for enhanced photodynamic antibacterial therapy. Chinese Chemical Letters, 2025, 36(12): 110536-. doi: 10.1016/j.cclet.2024.110536

    14. [14]

      Jiaming Xu Yu Xiang Weisheng Lin Zhiwei Miao . Research Progress in the Synthesis of Cyclic Organic Compounds Using Bimetallic Relay Catalytic Strategies. University Chemistry, 2024, 39(3): 239-257. doi: 10.3866/PKU.DXHX202309093

    15. [15]

      Anqiu LIULong LINDezhi ZHANGJunyu LEIKefeng WANGWei ZHANGJunpeng ZHUANGHaijun HAO . Synthesis, structures, and catalytic activity of aluminum and zinc complexes chelated by 2-((2,6-dimethylphenyl)amino)ethanolate. Chinese Journal of Inorganic Chemistry, 2024, 40(4): 791-798. doi: 10.11862/CJIC.20230424

    16. [16]

      Bofei JIAZhihao LIUZongyuan GAOShuai ZHOUMengxiang WUQian ZHANGXiamei ZHANGShuzhong CHENXiaohan YANGYahong LI . Cu(Ⅱ) and Cu(Ⅰ) complexes based on derivatives of imidazo[1,5-a]pyridine: Synthesis, structures, in situ metal-ligand reactions, and catalytic activity. Chinese Journal of Inorganic Chemistry, 2025, 41(5): 1020-1036. doi: 10.11862/CJIC.20240317

    17. [17]

      Fangping YangJin ShiYuansong WeiQing GaoJingrui ShenLichen YinHaoyu Tang . Mixed-charge glycopolypeptides as antibacterial coatings with long-term activity. Chinese Chemical Letters, 2025, 36(2): 109746-. doi: 10.1016/j.cclet.2024.109746

    18. [18]

      Chong LiuLing LiJiahui GaoYanwei LiNazhen ZhangJing ZangCong LiuZhaopei GuoYanhui LiHuayu Tian . The study of antibacterial activity of cationic poly(β-amino ester) regulating by amphiphilic balance. Chinese Chemical Letters, 2025, 36(2): 110118-. doi: 10.1016/j.cclet.2024.110118

    19. [19]

      Bairu MengZongji ZhuoHan YuSining TaoZixuan ChenErik De ClercqChristophe PannecouqueDongwei KangPeng ZhanXinyong Liu . Design, synthesis, and biological evaluation of benzo[4,5]thieno[2,3-d]pyrimidine derivatives as novel HIV-1 NNRTIs. Chinese Chemical Letters, 2024, 35(6): 108827-. doi: 10.1016/j.cclet.2023.108827

    20. [20]

      Maosen XuPengfei ZhuQinghong CaiMeichun BuChenghua ZhangHong WuYouzhou HeMin FuSiqi LiXingyan LiuIn-situ fabrication of TiO2/NH2−MIL-125(Ti) via MOF-driven strategy to promote efficient interfacial effects for enhancing photocatalytic NO removal activity. Chinese Chemical Letters, 2024, 35(10): 109524-. doi: 10.1016/j.cclet.2024.109524

Metrics
  • PDF Downloads(4)
  • Abstract views(1362)
  • HTML views(33)

通讯作者: 陈斌, bchen63@163.com
  • 1. 

    沈阳化工大学材料科学与工程学院 沈阳 110142

  1. 本站搜索
  2. 百度学术搜索
  3. 万方数据库搜索
  4. CNKI搜索
Address:Zhongguancun North First Street 2,100190 Beijing, PR China Tel: +86-010-82449177-888
Powered By info@rhhz.net

/

DownLoad:  Full-Size Img  PowerPoint
Return