Citation: Wu Zhi-Meng, Liu Shao-Zhong, Cheng Xiao-Zhong, Zhao Xin-Rui, Hong Hao-Fei. High yield synthesis of cyclic analogues of antibacterial peptides P-113 by Sortase A-mediated ligation and their conformation studies[J]. Chinese Chemical Letters, ;2017, 28(3): 553-557. doi: 10.1016/j.cclet.2016.11.001 shu

High yield synthesis of cyclic analogues of antibacterial peptides P-113 by Sortase A-mediated ligation and their conformation studies

  • Corresponding author: Wu Zhi-Meng, zwu@jiangnan.edu.cn
  • Received Date: 29 July 2016
    Revised Date: 30 September 2016
    Accepted Date: 9 October 2016
    Available Online: 10 March 2016

Figures(5)

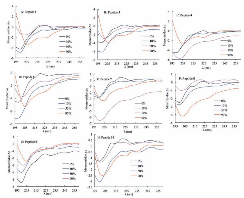
  • P-113 is a fragment of natural occurring peptide Histatin 5 found in human saliva. This peptide exhibited broad spectrum of antibacterial and antifungal biological activities. In this study, bifunctional P-113 peptides 2-5 were designed as Sortase A substrates and synthesized by solid support peptide synthesis, where the N-terminus were equipped with glycine and its analogues, and C-terminus were extended with LPETGGS, respectively. Under Sortase A catalyzed condition, head to tail cyclization products 7-10 were afforded in yields from 76% to 93%. The conformation insights of linear peptides 2-5 and cyclic analogues 7-10 in aqueous buffers and in trifluroethanol (TFE) analyzed by circular dichroism (CD) suggested that α-helix structures were produced progressively in hydrophobic environment independent of the cyclization, which displayed the similar behavior as parent peptide P-113.
  • 加载中
    1. [1]

      Oppenheim F.G., Yang Y.C., Diamond R.D.. The primary structure and functional characterization of the neutral histidine-rich polypeptide from human parotid secretion[J]. J. Biol. Chem., 1986,261:1177-1182.

    2. [2]

      (a) J.J. Pollock, J. Shoda, T.F. McNamara, et al., In vitro and in vivo studies of cellular lysis of oral bacteria by a lysozyme-protease-inorganic monovalent anion antibacterial system, Infect. Immun. 45(1984) 610-617;
      (b) E.J. Helmerhorst, I.M. Reijnders, W. van't Hof, et al., Amphotericin B-and fluconazole-resistant Candida spp., Aspergillus fumigatus, and other newly emerging pathogenic fungi are susceptible to basic antifungal peptides, Antimicrob. Agents Chemother. 43(1999) 702-704;
      (c) I. Čipáková, E. Hostinová, Mammalian antimicrobial peptides, Biologia 58(2003) 335-341;
      (d) M.D. Seo, H.S. Won, J.H. Kim, et al., Antimicrobial peptides for therapeutic applications:a review, Molecules 17(2012) 12276-12286.

    3. [3]

      (a) S. Melino, C. Santone, P. Di Nardo, et al., Histatins:salivary peptides with copper (Ⅱ)-and zinc (Ⅱ)-binding motifs:perspectives for biomedical applications, FEBS J. 281(2014) 657-672;
      (b) S. Puri, R. Li, D. Ruszaj, et al., Iron binding modulates candidacidal properties of salivary histatin 5, J. Dent. Res. 94(2015) 201-208.

    4. [4]

      Di Giampaolo A., Luzi C., Casciaro B.. P-113 peptide:new experimental evidences on its biological activity and conformational insights from molecular dynamics simulations[J]. Biopolymers, 2014,102:159-167. doi: 10.1002/bip.v102.2

    5. [5]

      (a) P. Spacciapoli, L. Tran, F.D. Roberts, et al., Characterization of the antimicrobial spectrum of the histatin peptide P-113, J. Dent. Res. 76(1997) 2736;
      (b) L.T. Tran, P. Spacciapoli, P.M. Friden, et al., The antimicrobial peptide P-113 has potent activity against Candida species, J. Dent. Res. 79(2000) 152;
      (c) D.M. Rothstein, P. Spacciapoli, L.T. Tran, et al., Anticandida activity is retained in P-113, a 12-amino-acid fragment of histatin 5, Antimicrob. Agents Chemother. 45(2001) 1367-1373;
      (d) K. Kulon, D. Valensin, W. Kamysz, et al., The his-his sequence of the antimicrobial peptide demegen P-113 makes it very attractive ligand for Cu2+, J. Inorg. Biochem. 102(2008) 960-972;
      (e) W.C. Cheng, G. Lin, H. Chen, et al., Development of P-113-derived peptides as novel inhibitors for drug-resistant Candida spp. and biofilm formation, Mycoses 58(2015) 81-82.

    6. [6]

      (a) P.R. Chaturvedi, C.J. Decker, A. Odinecs, Prediction of pharmacokinetic properties using experimental approaches during early drug discovery, Curr. Opin. Chem. Biol. 5(2001) 452-463;
      (b) O. Pelkonen, M. Turpeinen, J. Uusitalo, et al., Prediction of drug metabolism and interactions on the basis of in vitro investigations, Basic Clin. Pharmacol. 96(2005) 167-175.

    7. [7]

      (a) M. Werle, A. Bernkop-Schnurch, Strategies to improve plasma half life time of peptide and protein drugs, Amino Acids 30(2006) 351-367;
      (b) A. Bhat, L.R. Roberts, J.J. Dwyer, Lead discovery and optimization strategies for peptide macrocycles, Eur. J. Med. Chem. 94(2015) 471-479;
      (c) C.M. Zhang, J.X. Guo, L. Wang, et al., Total synthesis of cyclic heptapeptide euryjanicin B, Chin. Chem. Lett. 22(2011) 631-634.

    8. [8]

      (a) T.A. Hill, N.E. Shepherd, F. Diness, et al., Constraining cyclic peptides to mimic protein structure motifs, Angew. Chem. Int. Ed. 53(2014) 13020-13041;
      (b) H. Wahyudi, S.R. McAlpine, Predicting the unpredictable:recent structureactivity studies on peptide-based macrocycles, Bioorg. Chem. 60(2015) 74-97;
      (c) H. Karatas, S.Y. Lee, E.C. Townsend, et al., Structure-based design of conformationally constrained cyclic peptidomimetics to target the MLL1-WDR5 protein-protein interaction as inhibitors of the MLL1 methyltransferase activity, Chin. Chem. Lett. 26(2015) 455-458.

    9. [9]

      Mazmanian S.K., Liu G., Ton-That H.. Staphylococcus aureus sortase, an enzyme that anchors surface proteins to the cell wall[J]. Science, 1999,285:760-763. doi: 10.1126/science.285.5428.760

    10. [10]

      Ton-That H., Mazmanian S.K., Alksne L.. Anchoring of surface proteins to the cell wall of Staphylococcus aureus. Cysteine 184 and histidine 120 of sortase form a thiolate-imidazolium ion pair for catalysis[J]. J. Biol. Chem., 2002,277:7447-7452. doi: 10.1074/jbc.M109945200

    11. [11]

      (a) H.Y. Mao, S.A. Hart, A. Schink, et al., Sortase-mediated protein ligation:a new method for protein engineering, J. Am. Chem. Soc. 126(2004) 2670-2671;
      (b) J.M. Antos, G.M. Miller, G.M. Grotenbreg, et al., Lipid modification of proteins through Sortase-catalyzed transpeptidation, J. Am. Chem. Soc. 130(2008) 16338-16343.

    12. [12]

      Antos J.M., Chew G.L., Guimaraes C.P.. Site-specific N-and C-terminal labeling of a single polypeptide using Sortases of different specificity[J]. J. Am. Chem. Soc., 2009,131:10800-10802. doi: 10.1021/ja902681k

    13. [13]

      Ito T., Sadamoto R., Naruchi K.. Highly oriented recombinant glycosyltransferases:site-specific immobilization of unstable membrane proteins by using Staphylococcus aureus Sortase A[J]. Biochemistry, 2010,49:2604-2614. doi: 10.1021/bi100094g

    14. [14]

      (a) S. Samantaray, U. Marathe, S. Dasgupta, et al., Peptide-sugar ligation catalyzed by transpeptidase sortase:a facile approach to neoglycoconjugate synthesis, J. Am. Chem. Soc. 130(2008) 2132-2133;
      (b) Z.M. Wu, X.Q. Guo, Q.L. Wang, et al., Sortase A-catalyzed transpeptidation of glycosylphosphatidylinositol derivatives for chemoenzymatic synthesis of GPI-anchored proteins, J. Am. Chem. Soc. 132(2010) 1567-1571;
      (c) Z.M. Wu, X.Q. Guo, J. Gao, et al., Sortase A-mediated chemoenzymatic synthesis of complex glycosylphosphatidylinositol-anchored protein, Chem. Commun. 49(2013) 11689-11691;
      (d) Z.M. Wu, X.Q. Guo, G.F. Gu, et al., Chemoenzymatic synthesis of the human CD52 and CD24 antigen analogues, Org. Lett. 15(2013) 5906-5908.

    15. [15]

      (a) J.M. Antos, M.W.L. Popp, R. Ernst, et al., A Straight path to circular proteins, J. Biol. Chem. 284(2009) 16028-16036;
      (b) J.G.M. Bolscher, M.J. Oudhoff, K. Nazmi, et al., Sortase A as a tool for highyield histatin cyclization, Faseb J. 25(2011) 2650-2658;
      (c) Z.M. Wu, X.Q. Guo, Z.W. Guo, Sortase A-catalyzed peptide cyclization for the synthesis of macrocyclic peptides and glycopeptides, Chem. Commun. 47(2011) 9218-9220;
      (d) X.Y. Jia, S. Kwon, C.I.A. Wang, et al., Semienzymatic cyclization of disulfiderich peptides using Sortase A, J. Biol. Chem. 289(2014) 6627-6638;
      (e) K. Stanger, T. Maurer, H. Kaluarachchi, et al., Backbone cyclization of a recombinant cystine-knot peptide by engineered Sortase A, Febs Lett. 588(2014) 4487-4496;
      (f) W. van't Hof, S.H. Manaskova, E.C.I. Veerman, et al., Sortase-mediated backbone cyclization of proteins and peptides, Biol. Chem. 396(2015) 283-293.

    16. [16]

      (a) J. Bondebjerg, H. Fuglsang, K.R. Valeur, et al., Novel semicarbazide-derived inhibitors of human dipeptidyl peptidase I (hDPPI), Bioorg. Med. Chem. 13(2005) 4408-4424;
      (b) N. Ollivier, S. Besret, A. Blanpain, et al., Silver-catalyzed azaGly ligation. application to the synthesis of azapeptides and of lipid-peptide conjugates, Bioconjug. Chem. 20(2009) 1397-1403;
      (c) J. Gante, Peptide and azapeptide synthesis by means of a new N-activated amino acid derivative, Chem. Ber. 99(1966) 1576-1579;
      (d) R.E. Melendez, W.D. Lubell, Aza-amino acid scan for rapid identification of secondary structure based on the application of N-boc-aza-dipeptides in peptide synthesis, J. Am. Chem. Soc. 126(2004) 6759-6764.

    17. [17]

      Li Y.M., Li Y.T., Pan M.. Irreversible site-specific hydrazinolysis of proteins by use of sortase[J]. Angew. Chem. Int. Ed., 2014,53:2198-2202. doi: 10.1002/anie.201310010

    18. [18]

      Baer S., Nigro J., Madej M.P.. Comparison of alternative nucleophiles for Sortase A-mediated bioconjugation and application in neuronal cell labelling[J]. Org. Biomol. Chem., 2014,12:2675-2685. doi: 10.1039/c3ob42325e

    19. [19]

      (a) E. Porciatti, M. Milenkovic, E. Gaggelli, et al., Structural characterization and antimicrobial activity of the Zn (Ⅱ) complex with P113(Demegen), a derivative of histatin 5, Inorg. Chem. 49(2010) 8690-8698;
      (b) E. Kurowska, A. Bonna, G. Goch, W. Bal, Salivary histatin-5, a physiologically relevant ligand for Ni (Ⅱ) ions, J. Inorg. Biochem. 105(2011) 1220-1225.

  • 加载中
    1. [1]

      Yutong Xiong Ting Meng Wendi Luo Bin Tu Shuai Wang Qingdao Zeng . Molecular conformational effects on co-assembly systems of low-symmetric carboxylic acids investigated by scanning tunneling microscopy. Chinese Journal of Structural Chemistry, 2025, 44(2): 100511-100511. doi: 10.1016/j.cjsc.2025.100511

    2. [2]

      Jiang-Feng XingKang LiWan XiangYang-Yang JuXin-Jing ZhaoXiao-Hui MaMei-Lin ZhangYuan-Zhi Tan . Oxa-helicenes embedding heptagons by stepwise cyclization of [6]helicene unit. Chinese Chemical Letters, 2025, 36(11): 110982-. doi: 10.1016/j.cclet.2025.110982

    3. [3]

      Chunhua MaMengjiao LiuSiyu OuyangZhenwei CuiJingjing BiYuqin JiangZhiguo Zhang . Metal-free construction of diverse 1,2,4-triazolo[1,5-a]pyridines on water. Chinese Chemical Letters, 2025, 36(1): 109755-. doi: 10.1016/j.cclet.2024.109755

    4. [4]

      Nianqiang JiangYiqiang OuYanpeng ZhuDingyong ZhongJiaobing Wang . Assembly of fullerenes using a highly preorganized janusarene. Chinese Chemical Letters, 2025, 36(4): 110004-. doi: 10.1016/j.cclet.2024.110004

    5. [5]

      Jiaxi Xu Yuan Ma . Influence of Hyperconjugation on the Stability and Stable Conformation of Ethane, Hydrazine, and Hydrogen Peroxide. University Chemistry, 2024, 39(11): 374-377. doi: 10.3866/PKU.DXHX202402049

    6. [6]

      Shaofeng GongZi-Wei DengChao WuWei-Min He . Stabilized carbon radical-mediated three-component functionalization of amino acid/peptide derivatives. Chinese Chemical Letters, 2025, 36(5): 110936-. doi: 10.1016/j.cclet.2025.110936

    7. [7]

      Mengmeng YuanXiwen HuNa LiLimin XuMengxi ZhuXing PeiRui LiLu SunYupeng ChenFei YuHuining He . Kidney targeted delivery of siRNA mediated by peptide-siRNA conjugate for the treatment of acute kidney injury. Chinese Chemical Letters, 2025, 36(6): 110251-. doi: 10.1016/j.cclet.2024.110251

    8. [8]

      Ji-Jia ZhouLi-Gao LiuZhen-Tao ZhangHao-Xuan DongXin LuZhou XuXin-Qi ZhuBo ZhouLong-Wu Ye . Copper-catalyzed asymmetric cascade diyne cyclization/Meinwald rearrangement. Chinese Chemical Letters, 2025, 36(9): 110870-. doi: 10.1016/j.cclet.2025.110870

    9. [9]

      Wenxiong YuChenyu YangXian FengChengshuo Shen . Scholl cyclization of [6]helicenes into negatively curved hexa[7]circulenes. Chinese Chemical Letters, 2025, 36(11): 110939-. doi: 10.1016/j.cclet.2025.110939

    10. [10]

      Xiangrong PanXixi HouYuhang DuZhixin PangShiyang HeLan WangJianxue YangLongfei MaoJianhua QinHaixia WuBaozhong LiuZhan ZhouLufang MaChaoliang Tan . Solvent-mediated synthesis of 2D In-TCPP MOF nanosheets for enhanced photodynamic antibacterial therapy. Chinese Chemical Letters, 2025, 36(12): 110536-. doi: 10.1016/j.cclet.2024.110536

    11. [11]

      Huiping ShiShaojun PengMinghui YangYuanyu Huang . Engineering circular RNA with Tetrahymena group Ⅰ intron ribozyme. Chinese Chemical Letters, 2025, 36(9): 111160-. doi: 10.1016/j.cclet.2025.111160

    12. [12]

      Yaping ZhangWei ZhouMingchun GaoTianqi LiuBingxin LiuChang-Hua DingBin Xu . Oxidative cyclization of allyl compounds and isocyanide: A facile entry to polysubstituted 2-cyanopyrroles. Chinese Chemical Letters, 2024, 35(4): 108836-. doi: 10.1016/j.cclet.2023.108836

    13. [13]

      Yi-Fan WangHao-Yun YuHao XuYa-Jie WangXiaodi YangYu-Hui WangPing TianGuo-Qiang Lin . Rhodium(Ⅲ)-catalyzed diastereo- and enantioselective hydrosilylation/cyclization reaction of cyclohexadienone-tethered α, β-unsaturated aldehydes. Chinese Chemical Letters, 2024, 35(9): 109520-. doi: 10.1016/j.cclet.2024.109520

    14. [14]

      Fengqing WangChangxing QiChunmei ChenQin LiQingyi TongWeiguang SunZhengxi HuMinyan WangHucheng ZhuLianghu GuYonghui Zhang . Discovery and enantioselective total synthesis of antitumor agent asperfilasin A via a regio- and diastereoselective Nazarov cyclization. Chinese Chemical Letters, 2025, 36(6): 110252-. doi: 10.1016/j.cclet.2024.110252

    15. [15]

      Yi-Kao XuGuo-Ping LuoLiang-Bin HuWei-Min He . Asymmetric Büchner reaction and arene cyclopropanation via copper-catalyzed controllable cyclization of diynes. Chinese Chemical Letters, 2025, 36(8): 111226-. doi: 10.1016/j.cclet.2025.111226

    16. [16]

      Qian LiuYi ShiKaiya WangXiao-Yu Hu . Tailoring cascade hydrolysis and cyclization efficiency in confined spaces via spatial and electrostatic regulation. Chinese Chemical Letters, 2025, 36(12): 111462-. doi: 10.1016/j.cclet.2025.111462

    17. [17]

      Xinghui YaoZhouyu WangDa-Gang Yu . Sustainable electrosynthesis: Enantioselective electrochemical Rh(III)/chiral carboxylic acid-catalyzed oxidative CH cyclization coupled with hydrogen evolution reaction. Chinese Chemical Letters, 2024, 35(9): 109916-. doi: 10.1016/j.cclet.2024.109916

    18. [18]

      Ke ZhangSheng ZuoPengyuan YouTong RuFen-Er Chen . Palladium-catalyzed stereoselective decarboxylative [4 + 2] cyclization of 2-methylidenetrimethylene carbonates with pyrrolidone-derived enones: Straightforward access to chiral tetrahydropyran-fused spiro-pyrrolidine-2,3-diones. Chinese Chemical Letters, 2024, 35(6): 109157-. doi: 10.1016/j.cclet.2023.109157

    19. [19]

      Yuyao GuanBaoting YuJun DingTingting SunZhigang Xie . BODIPY photosensitizers for antibacterial photodynamic therapy. Chinese Chemical Letters, 2025, 36(8): 110645-. doi: 10.1016/j.cclet.2024.110645

    20. [20]

      Shiyu HouMaolin SunLiming CaoChaoming LiangJiaxin YangXinggui ZhouJinxing YeRuihua Cheng . Computational fluid dynamics simulation and experimental study on mixing performance of a three-dimensional circular cyclone-type microreactor. Chinese Chemical Letters, 2024, 35(4): 108761-. doi: 10.1016/j.cclet.2023.108761

Metrics
  • PDF Downloads(1)
  • Abstract views(1300)
  • HTML views(65)

通讯作者: 陈斌, bchen63@163.com
  • 1. 

    沈阳化工大学材料科学与工程学院 沈阳 110142

  1. 本站搜索
  2. 百度学术搜索
  3. 万方数据库搜索
  4. CNKI搜索
Address:Zhongguancun North First Street 2,100190 Beijing, PR China Tel: +86-010-82449177-888
Powered By info@rhhz.net

/

DownLoad:  Full-Size Img  PowerPoint
Return