Citation: Huang Zhuo-Ting, Xue Guo-Biao, Wu Jia-Ke, Liu Shuang, Li Huan-Bin, Yang Yu-Hui, Yan Feng, K. L. Chan Paddy, Chen Hong-Zheng, Li Han-Ying. Electron transport in solution-grown TIPS-pentacene single crystals: Effects of gate dielectrics and polar impurities[J]. Chinese Chemical Letters, ;2016, 27(12): 1781-1787. doi: 10.1016/j.cclet.2016.05.016 shu

Electron transport in solution-grown TIPS-pentacene single crystals: Effects of gate dielectrics and polar impurities

  • Corresponding author: Li Han-Ying, hanying_li@zju.edu.cn
  • Received Date: 27 April 2016
    Revised Date: 10 May 2016
    Accepted Date: 17 May 2016
    Available Online: 27 December 2016

Figures(8)

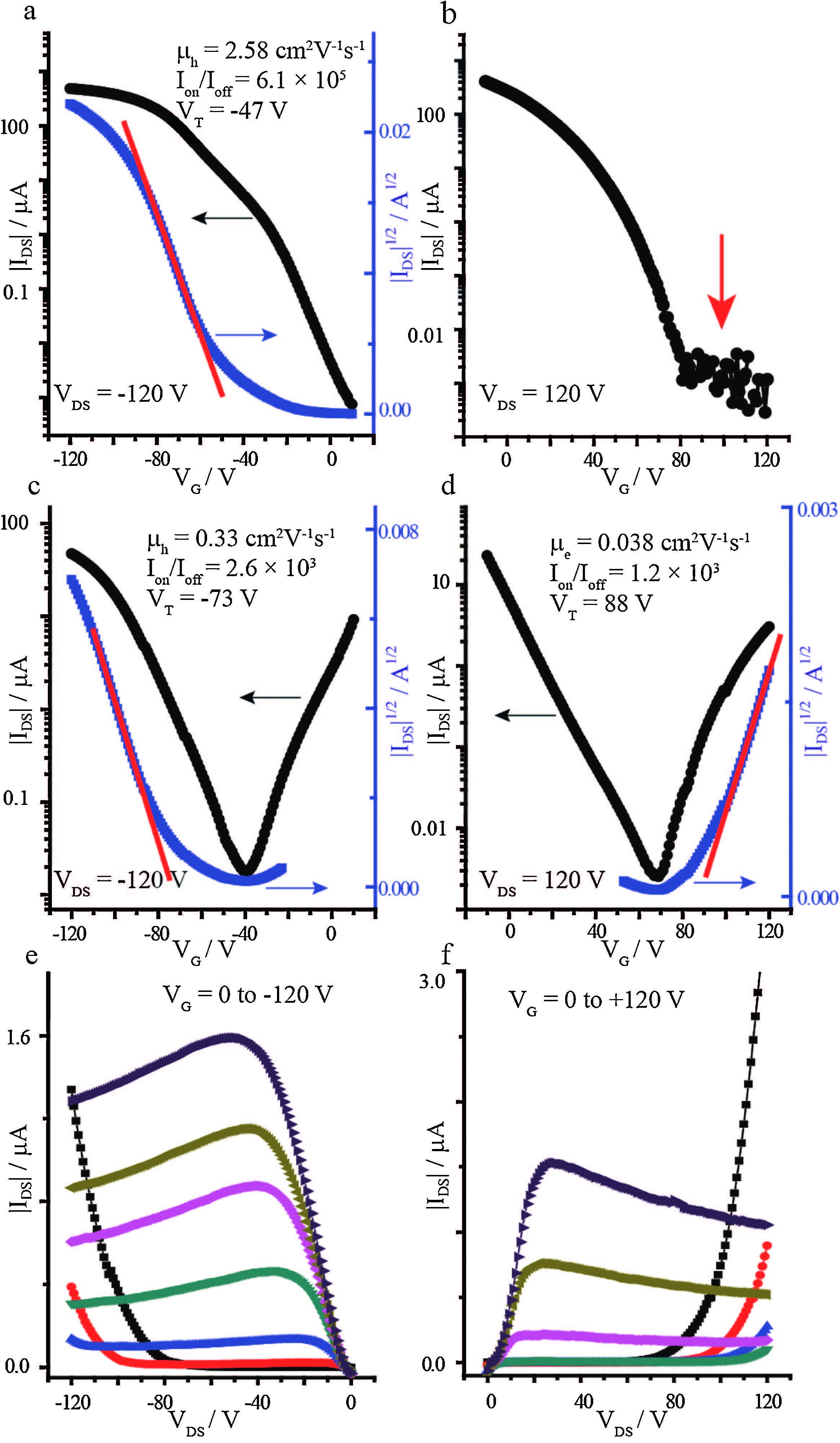
  • The n-channel behavior has been occasionally reported in the organic field-effect transistors (OFETs) that usually exhibit p-channel transport only. Reconfirmation and further examination of these unusual device performances should deepen the understanding on the electron transport in organic semiconductors. 6,13-bis(triisopropyl-silylethynyl) pentacene (TIPS-pentacene), a widely examined p-channel material as Au is used for source-drain electrodes, has recently been reported to exhibit electron transport when grown from non-polar solvent on divinyltetramethyldisiloxanebis (benzocyclobutene) (BCB) dielectric, spurring the study on this unusual electron transport. This paper describes FET characteristics of solution-grown TIPS-pentacene single crystals on five polymer gate dielectrics including polystyrene (PS), poly(methyl methacrylate) (PMMA), poly(4-vinyl phenol) (PVP), poly(vinyl alcohol) (PVA) and poly(vinylidene fluoride-trifluoroethylene-chlorofluoroethylene) (P(VDF-TrFE-CFE)). In addition to the p-channel behavior, electron transport occurs in the crystals on PMMA, PS, thick PVA (40 nm) and a bilayer dielectric of PMMA on P(VDF-TrFE-CFE), while does not on PVP and thin PVA (2 nm). The two distinct FET characteristics are consistent with the previous reported trap effect of hydroxyl groups (in PVP and PVA) and reduced injection barrier by Na+ ions (as impurity in PVA). The highest electron mobility of 0.48 cm2 V-1 s-1 has been achieved in the crystals on PMMA. Furthermore, the electron transport is greatly attenuated after the crystals are exposed to the vapor of a variety of polar solvents and the attenuated electron transport partially recovers if the crystals are heated, indicating the adverse effect of polar impurities on electron transport. By reconfirming the n-channel behavior in the OFETs based on TIPS-pentacene, this work has implications for the design of n-channel and ambipolar OFETs.
  • 加载中
    1. [1]

      G.H. Gelinck, H.E.A. Huitema, E. van Veenendaal. Flexible active-matrix displays and shift registers based on solution-processed organic transistors[J]. Nat. Mater., 2004,3:106-110. doi: 10.1038/nmat1061

    2. [2]

      T. Sekitani, T. Yokota, U. Zschieschang. Organic nonvolatile memory transistors for flexible sensor arrays[J]. Science, 2009,326:1516-1519. doi: 10.1126/science.1179963

    3. [3]

      V. Podzorov, E. Menard, A. Borissov. Intrinsic charge transport on the surface of organic semiconductors[J]. Phys. Rev. Lett., 2004,93086602. doi: 10.1103/PhysRevLett.93.086602

    4. [4]

      V.C. Sundar, J. Zaumseil, V. Podzorov. Elastomeric transistor stamps:reversible probing of charge transport in organic crystals[J]. Science, 2004,303:1644-1646. doi: 10.1126/science.1094196

    5. [5]

      J. Takeya, M. Yamagishi, Y. Tominari. Very high-mobility organic singlecrystal transistors with in-crystal conduction channels[J]. Appl. Phys. Lett., 2007,90102120. doi: 10.1063/1.2711393

    6. [6]

      O.D. Jurchescu, M. Popinciuc, B.J. van Wees, T.T.M. Palstra. Interface-controlled, high-mobility organic transistors[J]. Adv. Mater., 2007,19:688-692. doi: 10.1002/(ISSN)1521-4095

    7. [7]

      H. Minemawari, T. Yamada, H. Matsui. Inkjet printing of single-crystal films[J]. Nature, 2011,475:364-367. doi: 10.1038/nature10313

    8. [8]

      J. Li, Y. Zhao, H.S. Tan. A stable solution-processed polymer semiconductor with record high-mobility for printed transistors[J]. Sci. Rep., 2012,2754.  

    9. [9]

      Y. Diao, B.C.K. Tee, G. Giri. Solution coating of large-area organic semiconductor thin films with aligned single-crystalline domains[J]. Nat. Mater., 2013,12:665-671. doi: 10.1038/nmat3650

    10. [10]

      I. Kang, H.J. Yun, D.S. Chung, S.K. Kwon, Y.H. Kim. Record high hole mobility in polymer semiconductors via side-chain engineering[J]. J. Am. Chem. Soc., 2013,135:14896-14899. doi: 10.1021/ja405112s

    11. [11]

      Y.B. Yuan, G. Giri, A.L. Ayzner. Ultra-high mobility transparent organic thin film transistors grown by an off-centre spin-coating method[J]. Nat. Commun., 2014,53005.  

    12. [12]

      C. Luo, A.K.K. Kyaw, L.A. Perez. General strategy for self-assembly of highly oriented nanocrystalline semiconducting polymers with high mobility[J]. Nano Lett., 2014,14:2764-2771. doi: 10.1021/nl500758w

    13. [13]

      G. Kim, S.J. Kang, G.K. Dutta. A thienoisoindigo-naphthalene polymer with ultrahigh mobility of 14.4 cm2/V·s that substantially exceeds benchmark values for amorphous silicon semiconductors[J]. J. Am. Chem. Soc., 2014,136:9477-9483. doi: 10.1021/ja504537v

    14. [14]

      J.Y. Back, H. Yu, I. Song. Investigation of structure-property relationships in diketopyrrolopyrrole-based polymer semiconductors via side-chain engineering[J]. Chem. Mater., 2015,27:1732-1739. doi: 10.1021/cm504545e

    15. [15]

      J. Liu, H.T. Zhang, H.L. Dong. High mobility emissive organic semiconductor[J]. Nat. Commun., 2015,610032. doi: 10.1038/ncomms10032

    16. [16]

      H.Y. Li, B.C.K. Tee, J.J. Cha. High-mobility field-effect transistors from largearea solution-grown aligned C60 single crystals[J]. J. Am. Chem. Soc., 2012,134:2760-2765. doi: 10.1021/ja210430b

    17. [17]

      J. Lee, A.R. Han, H. Yu. Boosting the ambipolar performance of solutionprocessable polymer semiconductors via hybrid side-chain engineering[J]. J. Am. Chem. Soc., 2013,135:9540-9547. doi: 10.1021/ja403949g

    18. [18]

      B. Sun, W. Hong, Z.Q. Yan, H. Aziz, Y.N. Li. Record high electron mobility of 6.3 cm2 V-1 s-1 achieved for polymer semiconductors using a new building block[J]. Adv. Mater., 2014,26:2636-2642. doi: 10.1002/adma.v26.17

    19. [19]

      H.J. Yun, S.J. Kang, Y. Xu. Dramatic inversion of charge polarity in diketopyrrolopyrrole-based organic field-effect transistors via a simple nitrile group substitution[J]. Adv. Mater., 2014,26:7300-7307. doi: 10.1002/adma.v26.43

    20. [20]

      D.Q. Liu, Z.K. He, Y.R. Su. Self-assembled monolayers of cyclohexyl-terminated phosphonic acids as a general dielectric surface for high-performance organic thin-film transistors[J]. Adv. Mater., 2014,26:7190-7196. doi: 10.1002/adma.v26.42

    21. [21]

      T. He, M. Stolte, C. Burschka. Single-crystal field-effect transistors of new Cl2-NDI polymorph processed by sublimation in air[J]. Nat. Commun., 2015,65954. doi: 10.1038/ncomms6954

    22. [22]

      J.H. Dou, Y.Q. Zheng, Z.F. Yao. A cofacially stacked electron-deficient small molecule with a high electron mobility of over 10 cm2 V-1 s-1 in air[J]. Adv. Mater., 2015,27:8051-8055. doi: 10.1002/adma.201503803

    23. [23]

      J.H. Dou, Y.Q. Zheng, Z.F. Yao. Fine-tuning of crystal packing and charge transport properties of BDOPV derivatives through fluorine substitution[J]. J. Am. Chem. Soc., 2015,137:15947-15956. doi: 10.1021/jacs.5b11114

    24. [24]

      G.B. Xue, J.K. Wu, C.C. Fan. Boosting the electron mobility of solution-grown organic single crystals via reducing the amount of polar solvent residues[J]. Mater. Horiz., 2016,3:119-123. doi: 10.1039/C5MH00190K

    25. [25]

      F.J. Zhang, Y.B. Hu, T. Schuettfort. Critical role of alkyl chain branching of organic semiconductors in enabling solution-processed N-channel organic thinfilm transistors with mobility of up to 3.50 cm2 V-1 s-1[J]. J. Am. Chem. Soc., 2013,135:2338-2349. doi: 10.1021/ja311469y

    26. [26]

      B. Crone, A. Dodabalapur, Y.Y. Lin. Large-scale complementary integrated circuits based on organic transistors[J]. Nature, 2000,403:521-523. doi: 10.1038/35000530

    27. [27]

      C.W. Tang. Two-layer organic photovoltaic cell[J]. Appl. Phys. Lett., 1986,48:183-185. doi: 10.1063/1.96937

    28. [28]

      C.W. Tang, S.A. VanSlyke. Organic electroluminescent diodes[J]. Appl. Phys. Lett., 1987,51:913-915. doi: 10.1063/1.98799

    29. [29]

      C.R. Newman, C.D. Frisbie, D.A. da Silva Filho. Introduction to organic thin film transistors and design of n-channel organic semiconductors[J]. Chem. Mater., 2004,16:4436-4451. doi: 10.1021/cm049391x

    30. [30]

      J. Zaumseil, H. Sirringhaus. Electron and ambipolar transport in organic fieldeffect transistors[J]. Chem. Rev., 2007,107:1296-1323. doi: 10.1021/cr0501543

    31. [31]

      D.M. de Leeuw, M.M.J. Simenon, A.R. Brown, R.E.F. Einerhand. Stability of n-type doped conducting polymers and consequences for polymeric microelectronic devices[J]. Synth. Met., 1997,87:53-59. doi: 10.1016/S0379-6779(97)80097-5

    32. [32]

      R. Di Pietro, D. Fazzi, T.B. Kehoe, H. Sirringhaus. Spectroscopic investigation of oxygen- and water-induced electron trapping and charge transport instabilities in n-type polymer semiconductors[J]. J. Am. Chem. Soc., 2012,134:14877-14889. doi: 10.1021/ja304198e

    33. [33]

      L.L. Chua, J. Zaumseil, J.F. Chang. General observation of n-type field-effect behaviour in organic semiconductors[J]. Nature, 2005,434:194-199. doi: 10.1038/nature03376

    34. [34]

      M.N. Bussac, J.D. Picon, L. Zuppiroli. The impact of molecular polarization on the electronic properties of molecular semiconductors[J]. Europhys. Lett., 2004,66:392-398. doi: 10.1209/epl/i2003-10218-8

    35. [35]

      E.F. Valeev, V. Coropceanu, D.A. da Silva Filho, S. Salman, J.L. Bré das. Effect of electronic polarization on charge-transport parameters in molecular organic semiconductors[J]. J. Am. Chem. Soc., 2006,128:9882-9886. doi: 10.1021/ja061827h

    36. [36]

      N.A. Minder, S. Ono, Z.H. Chen, A. Facchetti, A.F. Morpurgo. Band-like electron transport in organic transistors and implication of the molecular structure for performance optimization[J]. Adv. Mater., 2012,24:503-508. doi: 10.1002/adma.201103960

    37. [37]

      J.E. Anthony, A. Facchetti, M. Heeney, S.R. Marder, X.W. Zhan. n-type organic semiconductors in organic electronics[J]. Adv. Mater., 2010,22:3876-3892. doi: 10.1002/adma.200903628

    38. [38]

      Y. Zhao, Y.L. Guo, Y.Q. Liu. 25th anniversary article:recent advances in n-type and ambipolar organic field-effect transistors[J]. Adv. Mater., 2013,25:5372-5391. doi: 10.1002/adma.201302315

    39. [39]

      J.G. Mei, Y. Diao, A.L. Appleton, L. Fang, Z.N. Bao. Integrated materials design of organic semiconductors for field-effect transistors[J]. J. Am. Chem. Soc., 2013,135:6724-6746. doi: 10.1021/ja400881n

    40. [40]

      M. Debucquoy, M. Rockelé, J. Genoe, G.H. Gelinck, P. Heremans. Charge trapping in organic transistor memories:on the role of electrons and holes[J]. Org. Electron., 2009,10:1252-1258. doi: 10.1016/j.orgel.2009.07.005

    41. [41]

      T.B. Singh, F. Meghdadi, S. Günes. High-performance ambipolar pentacene organic field-effect transistors on poly(vinyl alcohol) organic gate dielectric[J]. Adv. Mater., 2005,17:2315-2319. doi: 10.1002/(ISSN)1521-4095

    42. [42]

      T.B. Singh, P. Senkarabacak, N.S. Sariciftci. Organic inverter circuits employing ambipolar pentacene field-effect transistors[J]. Appl. Phys. Lett., 2006,89033512. doi: 10.1063/1.2235947

    43. [43]

      X.M. Xu, T. Xiao, X. Gu. Solution-processed ambipolar organic thin-film transistors by blending p- and n-type semiconductors:solid solution versus microphase separation[J]. ACS Appl. Mater. Interfaces, 2015,7:28019-28026. doi: 10.1021/acsami.5b01172

    44. [44]

      C. Rost, S. Karg, W. Riess. Ambipolar light-emitting organic field-effect transistor[J]. Appl. Phys. Lett., 2004,85:1613-1615. doi: 10.1063/1.1785290

    45. [45]

      J. Wang, H.B. Wang, X.J. Yan. Heterojunction ambipolar organic transistors fabricated by a two-step vacuum-deposition process[J]. Adv. Funct. Mater., 2006,16:824-830. doi: 10.1002/(ISSN)1616-3028

    46. [46]

      C.C. Fan, A.P. Zoombelt, H. Jiang. Solution-grown organic single-crystalline p-n junctions with ambipolar charge transport[J]. Adv. Mater., 2013,25:5762-5766. doi: 10.1002/adma.v25.40

    47. [47]

      Y.J. Zhang, H.L. Dong, Q.X. Tang. Organic single-crystalline p-n junction nanoribbons[J]. J. Am. Chem. Soc., 2010,132:11580-11584. doi: 10.1021/ja102779x

    48. [48]

      A. Dodabalapur, H.E. Katz, L. Torsi, R.C. Haddon. Organic heterostructure field-effect transistors[J]. Science, 1995,269:1560-1562. doi: 10.1126/science.269.5230.1560

    49. [49]

      Y.K. Qin, J. Zhang, X.Y. Zheng. Charge-transfer complex crystal based on extended-p-conjugated acceptor and sulfur-bridged annulene:charge-transfer interaction and remarkable high ambipolar transport characteristics[J]. Adv. Mater., 2014,26:4093-4099. doi: 10.1002/adma.v26.24

    50. [50]

      G.B. Xue, C.C. Fan, J.K. Wu. Ambipolar charge transport of TIPS-Pentacene single-crystals grown from non-polar solvents[J]. Mater. Horiz., 2015,2:344-349. doi: 10.1039/C4MH00211C

    51. [51]

      J.E. Anthony, J.S. Brooks, D.L. Eaton, S.R. Parkin. Functionalized pentacene:Improved electronic properties from control of solid-state order[J]. J. Am. Chem. Soc., 2001,123:9482-9483. doi: 10.1021/ja0162459

    52. [52]

      M.M. Payne, S.R. Parkin, J.E. Anthony, C.C. Kuo, T.N. Jackson. Organic field-effect transistors from solution-deposited functionalized acenes with mobilities as high as 1 cm2/V·s[J]. J. Am. Chem. Soc., 2005,127:4986-4987. doi: 10.1021/ja042353u

    53. [53]

      D.H. Kim, D.Y. Lee, H.S. Lee. High-mobility organic transistors based on single-crystalline microribbons of triisopropylsilylethynyl pentacene via solution-phase self-assembly[J]. Adv. Mater., 2007,19:678-682. doi: 10.1002/(ISSN)1521-4095

    54. [54]

      R. Hamilton, J. Smith, S. Ogier. High-performance polymer-small molecule blend organic transistors[J]. Adv. Mater., 2009,21:1166-1171. doi: 10.1002/adma.v21:10/11

    55. [55]

      G. Giri, E. Verploegen, S.C.B. Mannsfeld. Tuning charge transport in solutionsheared organic semiconductors using lattice strain[J]. Nature, 2011,480:504-508. doi: 10.1038/nature10683

    56. [56]

      S. Liu, J.K. Wu, C.C. Fan. Large-scale fabrication of field-effect transistors based on solution-grown organic single crystals[J]. Sci. Bull., 2015,60:1122-1127. doi: 10.1007/s11434-015-0817-9

    57. [57]

      J. Veres, S.D. Ogier, S.W. Leeming, D.C. Cupertino, S.M. Khaffaf. Low-k insulators as the choice of dielectrics in organic field-effect transistors[J]. Adv. Funct. Mater., 2003,13:199-204. doi: 10.1002/adfm.200390030

    58. [58]

      A.F. Stassen, R.W.I. de Boer, N.N. Iosad, A.F. Morpurgo. Influence of the gate dielectric on the mobility of rubrene single-crystal field-effect transistors[J]. Appl. Phys. Lett., 2004,85:3899-3901. doi: 10.1063/1.1812368

    59. [59]

      I.N. Hulea, S. Fratini, H. Xie. Tunable Frö hlich polarons in organic singlecrystal transistors[J]. Nat. Mater., 2006,5:982-986. doi: 10.1038/nmat1774

    60. [60]

      D. Khim, Y. Xu, K.J. Baeg. Large enhancement of carrier transport in solutionprocessed field-effect transistors by fluorinated dielectric engineering[J]. Adv. Mater., 2016,28:518-526. doi: 10.1002/adma.v28.3

    61. [61]

      T.C. Chung, A. Petchsuk. Synthesis and properties of ferroelectric fluoroterpolymers with curie transition at ambient temperature[J]. Macromolecules, 2002,35:7678-7684. doi: 10.1021/ma020504c

    62. [62]

      J.H. Li, Z.H. Sun, F. Yan. Solution processable low-voltage organic thin film transistors with high-k relaxor ferroelectric polymer as gate insulator[J]. Adv. Mater., 2012,24:88-93. doi: 10.1002/adma.201103542

    63. [63]

      H.Y. Li, B.C.K. Tee, G. Giri. High-performance transistors and complementary inverters based on solution-grown aligned organic single-crystals[J]. Adv. Mater., 2012,24:2588-2591. doi: 10.1002/adma.v24.19

    64. [64]

      H.Y. Li, C.C. Fan, M.Vosgueritchian , B.C.K. Tee, H.Z. Chen. Solution-grown aligned C60 single-crystals for field-effect transistors[J]. J. Mater. Chem. C, 2014,2:3617-3624. doi: 10.1039/c3tc32431a

    65. [65]

      Z.T. Huang, C.C. Fan, G.B. Xue. Solution-grown aligned crystals of diketopyrrolopyrroles (DPP)-based small molecules:rough surfaces and relatively low charge mobility[J]. Chin. Chem. Lett., 2016,27:523-526. doi: 10.1016/j.cclet.2016.01.054

    66. [66]

      V. Coropceanu, J.L. Bré das. Organic transistors:a polarized response[J]. Nat. Mater., 2006,5:929-930. doi: 10.1038/nmat1791

    67. [67]

      S. Takebayashi, S. Abe, K. Saiki, K. Ueno. Origin of the ambipolar operation of a pentacene field-effect transistor fabricated on a poly(vinyl alcohol)-coated Ta2O5 gate dielectric with Au source/drain electrodes[J]. Appl. Phys. Lett., 2009,94083305. doi: 10.1063/1.3089692

    68. [68]

      J.W. Chang, W.L. Hsu, C.Y. Wu, T.F. Guo, T.C. Wen. The polymer gate dielectrics and source-drain electrodes on n-type pentacene-based organic field-effect transistors[J]. Org. Electron., 2010,11:1613-1619. doi: 10.1016/j.orgel.2010.07.003

    69. [69]

      P.M. Borsenberger, H. Bässler. Concerning the role of dipolar disorder on charge transport in molecularly doped polymers[J]. J. Chem. Phys., 1991,95:5327-5331. doi: 10.1063/1.461646

  • 加载中
    1. [1]

      Min ChenBoyu PengXuyun GuoYe ZhuHanying Li . Polyethylene interfacial dielectric layer for organic semiconductor single crystal based field-effect transistors. Chinese Chemical Letters, 2024, 35(4): 109051-. doi: 10.1016/j.cclet.2023.109051

    2. [2]

      Shaonan Liu Shuixing Dai Minghua Huang . The impact of ester groups on 1,8-naphthalimide electron transport material in organic solar cells. Chinese Journal of Structural Chemistry, 2024, 43(6): 100277-100277. doi: 10.1016/j.cjsc.2024.100277

    3. [3]

      Haowen ShangYujie YangBingjie XueYikai WangZhiyi SuWenlong LiuYouzhi WuXinjun Xu . Efficient solution-processed near-infrared organic light-emitting diodes with a binary-mixed electron transport layer. Chinese Chemical Letters, 2025, 36(4): 110511-. doi: 10.1016/j.cclet.2024.110511

    4. [4]

      Panke ZhouHong YuMun Yin CheeTao ZengTianli JinHongling YuShuo WuWen Siang LewXiong Chen . Electron push-pull effects induced performance promotion in covalent organic polymer thin films-based memristor for neuromorphic application. Chinese Chemical Letters, 2024, 35(5): 109279-. doi: 10.1016/j.cclet.2023.109279

    5. [5]

      Chengkai LiGuoqiang FanGang ZhengRong GaoLi Liu . Groups 3 and 4 single-site catalysts for olefin-polar monomer copolymerization. Chinese Chemical Letters, 2025, 36(9): 111297-. doi: 10.1016/j.cclet.2025.111297

    6. [6]

      Zuyou SongYong JiangQiao GouYini MaoYimin JiangWei ShenMing LiRongxing He . Promoting the generation of active sites through "Co-O-Ru" electron transport bridges for efficient water splitting. Chinese Chemical Letters, 2025, 36(4): 109793-. doi: 10.1016/j.cclet.2024.109793

    7. [7]

      Nan ZhangQian YanXiaorui DongJingyang WangFan JinJiaxuan LiuDianlong WangHuakun LiuBo WangShixue Dou . Overcoming electron/ion transport barriers in NASICON-type cathode through mixed-conducting interphase. Chinese Chemical Letters, 2025, 36(9): 110328-. doi: 10.1016/j.cclet.2024.110328

    8. [8]

      Xinyuan LiZhuozhu LiWenzhong HuangJiantao LiWei ZhangShihao FengHao FanZhuo ChenSungsik LeeCongcong CaiLiang Zhou . Solvent-free synthesis of Co single atom and nanocluster decorated N-doped carbon for efficient oxygen reduction. Chinese Chemical Letters, 2025, 36(9): 110716-. doi: 10.1016/j.cclet.2024.110716

    9. [9]

      Jiangqi Ning Junhan Huang Yuhang Liu Yanlei Chen Qing Niu Qingqing Lin Yajun He Zheyuan Liu Yan Yu Liuyi Li . Alkyl-linked TiO2@COF heterostructure facilitating photocatalytic CO2 reduction by targeted electron transport. Chinese Journal of Structural Chemistry, 2024, 43(12): 100453-100453. doi: 10.1016/j.cjsc.2024.100453

    10. [10]

      Jun-Ting MoZheng Wang . Achieving tunable long persistent luminescence in metal organic halides based on pyridine solvent. Chinese Chemical Letters, 2024, 35(9): 109360-. doi: 10.1016/j.cclet.2023.109360

    11. [11]

      Zhaohong ChenMengzhen LiJinfei LanShengqian HuXiaogang Chen . Organic ferroelastic enantiomers with high Tc and large dielectric switching ratio triggered by order-disorder and displacive phase transition. Chinese Chemical Letters, 2024, 35(10): 109548-. doi: 10.1016/j.cclet.2024.109548

    12. [12]

      Fei Jin Bolin Yang Xuanpu Wang Teng Li Noritatsu Tsubaki Zhiliang Jin . Facilitating efficient photocatalytic hydrogen evolution via enhanced carrier migration at MOF-on-MOF S-scheme heterojunction interfaces through a graphdiyne (CnH2n-2) electron transport layer. Chinese Journal of Structural Chemistry, 2023, 42(12): 100198-100198. doi: 10.1016/j.cjsc.2023.100198

    13. [13]

      Shaohua ZhangXiaojuan DaiWei HaoLiyao LiuYingqiao MaYe ZouJia ZhuChong-an Di . A first-principles study of the Nernst effect in doped polymer. Chinese Chemical Letters, 2024, 35(12): 109837-. doi: 10.1016/j.cclet.2024.109837

    14. [14]

      Dong LvXuelei LiuWei LiQiang ZhangXinhong YuYanchun Han . Single droplet formation by controlling the viscoelasticity of polymer solutions during inkjet printing. Chinese Chemical Letters, 2024, 35(6): 109401-. doi: 10.1016/j.cclet.2023.109401

    15. [15]

      Qiuting ZhangFan WuJin LiuHang SuYanhui ZhongZian Lin . Facile synthesis of single-crystal 3D covalent organic frameworks as stationary phases for high-performance liquid chromatographic separation. Chinese Chemical Letters, 2025, 36(8): 110649-. doi: 10.1016/j.cclet.2024.110649

    16. [16]

      Rongjun ZhaoTai WuYong HuaYude Wang . Improving performance of perovskite solar cells enabled by defects passivation and carrier transport dynamics regulation via organic additive. Chinese Chemical Letters, 2025, 36(2): 109587-. doi: 10.1016/j.cclet.2024.109587

    17. [17]

      Zheyu LiHuwei LiYao LiXinyu FuHongxia YueQingxing YangJing FengXinyu WangHongjie Zhang . The effect of electron-phonon coupling on the photoluminescence properties of zinc-based halides. Chinese Chemical Letters, 2025, 36(4): 109800-. doi: 10.1016/j.cclet.2024.109800

    18. [18]

      Xuyun LuYanan ChangShasha WangXiaoxuan LiJianchun BaoYing Liu . Hydrogen peroxide electrosynthesis via two-electron oxygen reduction: From pH effect to device engineering. Chinese Chemical Letters, 2025, 36(5): 110277-. doi: 10.1016/j.cclet.2024.110277

    19. [19]

      Xiang WangQingping SongZixiang HeGong ZhangTengfei MiaoXiaoxiao ChengWei Zhang . Constructing diverse switchable circularly polarized luminescence via a single azobenzene polymer film. Chinese Chemical Letters, 2025, 36(1): 110047-. doi: 10.1016/j.cclet.2024.110047

    20. [20]

      Brandon BishopShaofeng HuangHongxuan ChenHaijia YuHai LongJingshi ShenWei Zhang . Artificial transmembrane channel constructed from shape-persistent covalent organic molecular cages capable of ion and small molecule transport. Chinese Chemical Letters, 2024, 35(11): 109966-. doi: 10.1016/j.cclet.2024.109966

Metrics
  • PDF Downloads(1)
  • Abstract views(1389)
  • HTML views(7)

通讯作者: 陈斌, bchen63@163.com
  • 1. 

    沈阳化工大学材料科学与工程学院 沈阳 110142

  1. 本站搜索
  2. 百度学术搜索
  3. 万方数据库搜索
  4. CNKI搜索
Address:Zhongguancun North First Street 2,100190 Beijing, PR China Tel: +86-010-82449177-888
Powered By info@rhhz.net

/

DownLoad:  Full-Size Img  PowerPoint
Return