Citation: Nahid Sabouri, Gholam Hossein Mahdavinia, Behrouz Notash. A synthesis of spirofuran-indenoquinoxalines via isocyanid-based one-pot four-component reaction[J]. Chinese Chemical Letters, ;2016, 27(7): 1040-1043. doi: 10.1016/j.cclet.2016.03.015 shu

A synthesis of spirofuran-indenoquinoxalines via isocyanid-based one-pot four-component reaction

  • Corresponding author: Gholam Hossein Mahdavinia, hmahdavinia@gmail.com
  • Received Date: 27 November 2015
    Revised Date: 18 January 2016
    Accepted Date: 18 February 2016
    Available Online: 17 July 2016

Figures(5)

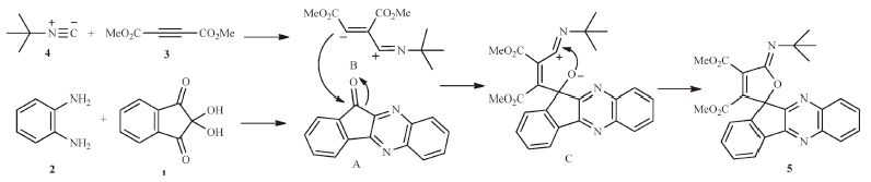
  • A simple and versatile procedure for the combinatorial synthesis of (Z)-dialkyl-5-(alkylimino)-5Hspiro[ furan-2, 11'-indeno[1, 2-b]quinoxaline]-3, 4-dicarboxylates via the catalyst-free one-pot fourcomponent reaction of ninhydrin, benzene-1, 2-diamines, dialkyl acetylenedicarboxylates and isocyanides is described.
  • 加载中
    1. [1]

      G.H. Mahdavinia, M. Mirzazadeh, B. Notash, A rapid and simple diversity-oriented synthesis of novel 3-amino-2'-oxospiro [benzo[c]pyrano[3, 2-a]phenazine-1, 3'-indoline]-2-carbonitrile/carboxylate derivatives via a one-pot, four-component domino reaction, Tetrahedron Lett. 54 (2013) 3487-3492.

    2. [2]

      M. Ghandi, A. Tabatabaei Ghomi, M.J. Kubicki. Synthesis of cyclopentadiene-fused chromanones via one-pot multicomponent reactions[J]. J. Org. Chem., 2013,78:2611-2616. doi: 10.1021/jo302790y

    3. [3]

      H.Y. Zhou, W. Zhang, B. Yan. Use of Cyclohexylisocyanide and methyl, 2-isocyanoacetate as convertible isocyanides for microwave-assisted fluorous synthesis of 1, 4-benzodiazepine-2, 5-dione library[J]. J. Comb. Chem., 2010,12:206-214. doi: 10.1021/cc900157w

    4. [4]

      B. Jiang, S.J. Tu, P. Kaur, W.G. Wever Li. Four-component domino reaction leading to multifunctionalized quinazolines[J]. J. Am. Chem. Soc., 2009,131:11660-11661. doi: 10.1021/ja904011s

    5. [5]

      E. Soleimani, M. Zainali, N. Ghasemi, B. Notash, Isocyanide-based multicomponent reactions: synthesis of 2-(1-(alkylcarbamoyl)-2, 2dicyanoethyl)-N-alkylbenzamide and 1, 7-diazaspiro[4, 4]nonane-2, 4-dione derivatives, Tetrahedron 69 (2013) 9832-9838.

    6. [6]

      (a) A.A. Esmaeili, H. Zendegani, Three-component reactions involving zwitterionic intermediates for the construction of heterocyclic systems: one pot synthesis of highly functionalized γ-iminolactones, Tetrahedron 61 (2005) 4031-4034; (b) I. Ugi, From isocyanides via four-component condensations to antibiotic syntheses, Angew. Chem. Int. Ed. Engl. 21 (1982) 810-819.

    7. [7]

      M. Ghandi, N. Zarezadeh. Three-component one-pot synthesis of quinoline-furan conjugates from acetylenedicarboxylate, isocyanide, and, 2-chloroquinoline-3-carbaldehyde[J]. , .

    8. [8]

      J.L. Roux, H. Gallard, J.P. Croué, S. Papot, M. Deborde. NDMA formation by chloramination of ranitidine: kinetics and mechanism[J]. Environ. Sci. Technol., 2012,46:11095-11103. doi: 10.1021/es3023094

    9. [9]

      P.J. Mohr, R.L. Halcomb. Total synthesis of (+)-phomactin a using a B-alkyl Suzuki macrocyclization[J]. J. Am. Chem. Soc., 2003,125:1712-1713. doi: 10.1021/ja0296531

    10. [10]

      K.E. Miller, J.F. Carpenter, R.R. Brooks. Inhibition of isoproterenol-induced tachycardia by azimilide in the isolated perfused guinea pig heart[J]. Cardiovasc. Drug Ther., 1998,12:83-91. doi: 10.1023/A:1007766220822

    11. [11]

      T. Hosoya, H. Aoyama, T. Ikemoto. Dantrolene analogues revisited: general synthesis and specific functions capable of discriminating two kinds of Ca2+ release from sarcoplasmic reticulum of mouse skeletal muscle[J]. Bioorg. Med. Chem., 2003,11:663-673. doi: 10.1016/S0968-0896(02) 00600-4

    12. [12]

      C. Van Poucke, C. Detavernier, M. Wille. Investigation into the possible natural occurence of semicarbazide in macrobrachium rosenbergii Prawns[J]. J. Agric. Food Chem., 2011,59:2107-2112. doi: 10.1021/jf103282g

    13. [13]

      D.K. Barma, A. Kundu, R. Baati, C. Mioskowski, J.R. Falck. A convenient preparation of, 3-substituted furans: synthesis of perillene and dendrolasin[J]. Org. Lett., 2002,4:1387-1389. doi: 10.1021/ol025708s

    14. [14]

      D.G. Velazquez, R. Luque. Efficient and straightforward preparation of a building block for ( )-teubrevin G synthesis via chemically diversed oriented synthesis[J]. Tetrahedron Lett., 2011,52:7004-7007. doi: 10.1016/j.tetlet.2011.10.112

    15. [15]

      (a) M. Adib, E. Sheikhi, A. Kavoosi, H.R. Bijanzadeh, Synthesis of 2-(alkylamino)-5-{alkyl[(2-oxo-2H-chromen-3-yl)carbonyl]amino}-3, 4-furandicarboxylates using a multi-component reaction in water, Tetrahedron 66 (2010) 9263-9269; (b) A. Dö mling, Recent developments in isocyanide based multicomponent reactions in applied chemistry, Chem. Rev. 106 (2006) 17-89.

    16. [16]

      H.N.C. Wong, Y. Yang, Regiospecific synthesis of 3, 4-disubstituted furans and 3-substituted furans using 3, 4-bis(tri-n-butylstannyl)furan and 3-(tri-n-butylstannyl) f, Tetrahedron 50 (1994) 9583-9608.

    17. [17]

      (a) F. Chen, J. Zheng, M. Huang, Y. Li, One-pot three-component synthesis of novel spiroindenoquinoxalines, Res. Chem. Intermed. 41 (2015) 5545-5554; (b) G.C.R. Rezanejade Bardajee, ZrOCl2.8H2O in water: an efficient catalyst for rapid one-pot synthesis of pyridopyrazines, pyrazines and 2, 3-disubstituted quinoxalines, Chimie 16 (2013) 872-877.

    18. [18]

      (a) A. Hasaninejad, N. Golzar, A. zare, One-pot, four-component synthesis of novel spiro[indeno[2, 1-b]quinoxaline-11, 4'-pyran]-2'-amines, J. Heterocycl. Chem. 50 (2013) 608-614; (b) A. Hasaninejad, N. Golzar, M. Shekouhy, A. Zare, Diversity-oriented synthesis of novel 2'-aminospiro[11H-indeno[1, 2-b]quinoxaline-11, 4'-[4H]pyran] derivatives via a one-pot four-component reaction, Helv. Chim. Acta 94 (2011) 2289-2294.

    19. [19]

      (a) A. Hasaninejad, S. Firoozi, One-pot, sequential four-component synthesis of benzo[c]pyrano[3, 2-a]phenazine, bis-benzo[c]pyrano[3, 2-a]phenazine and oxospiro benzo[c]pyrano[3, 2-a]phenazine derivatives using 1, 4-diazabicyclo[2.2.2]octane (DABCO) as an efficient and reusable solid base catalyst, Mol. Diversity 17 (2013) 499-513; (b) R. Ghadari, F. Hajishaabanha, M. Mahyari, A. Shaabani, H.R. Khavasi, An unexpected route toward the synthesis of spiro-benzo[b]acridine-furan derivatives, Tetrahedron. Lett. 53 (2012) 4018-4021.

    20. [20]

      A. Hasaninejad, S. Firoozi, F. Mandegani, An efficient synthesis of novel spiro[benzo[ c]pyrano[3, 2-a]phenazines] via domino multi-component reactions using lproline as a bifunctional organocatalyst, Tetrahedron Lett. 54 (2013) 2791-2794.

    21. [21]

      N. Tanaka, Y. Kashiwada, S.Y. Kim, et al., Acylphloroglucinol, biyouyanagiol, biyouyanagin b, and related spiro-lactones from Hypericum chinense, J. Nat. Prod. 72 (2009) 1447-1452.

    22. [22]

      D.M. Pore, P.B. Patil, D.S. Gaikwad. Green access to novel spiro pyranopyrazole derivatives[J]. Tetrahedron Lett., 2013,54:5876-5878. doi: 10.1016/j.tetlet.2013.08.084

    23. [23]

      M.T. Maghsoodlou, S.M. Habibi-Khorassani, A. Moradi. One-pot threecomponent synthesis of functionalized spirolactones by means of reaction between aromatic ketones, dimethyl acetylenedicarboxylate, and N-heterocycles[J]. Tetrahedron, 2011,67:8492-8495. doi: 10.1016/j.tet.2011.09.017

    24. [24]

      T.A. Shoker, K.I. Ghattass, J.C. Fettinger, M.J. Kurth, M.J. Haddadin, Unusual Friedlander reactions: a route to novel quinoxaline-based heterocycles, Org. Lett. 14 (2012) 3704-3707.

    25. [25]

      (a) N. Zohreh, A. Alizadeh, Uncatalyzed one-pot synthesis of highly substituted pyridazines and pyrazoline-spirooxindoles via domino SN/condensation/Aza-ene addition cyclization reaction sequence, ACS Comb. Sci. 15 (2013) 278-286; (b) H. Chen, D. Shi, Efficient one-pot synthesis of novel spirooxindole derivatives via three-component reaction in aqueous medium, J. Comb. Chem. 12 (2010) 571-576.

    26. [26]

      J. Azizian, A.R. Karimi, A.A. Mohammadi, M.R. Mohammadizadeh. Three component synthesis of some g-spiroiminolactones under microwave-assisted solventfree conditions[J]. Heterocycles, 2004,63:2225-2229. doi: 10.3987/COM-04-10125

  • 加载中
    1. [1]

      Yaping ZhangWei ZhouMingchun GaoTianqi LiuBingxin LiuChang-Hua DingBin Xu . Oxidative cyclization of allyl compounds and isocyanide: A facile entry to polysubstituted 2-cyanopyrroles. Chinese Chemical Letters, 2024, 35(4): 108836-. doi: 10.1016/j.cclet.2023.108836

    2. [2]

      Ren ShenYanmei FangChunxiao YangQuande WeiPui-In MakRui P. MartinsYanwei Jia . UV-assisted ratiometric fluorescence sensor for one-pot visual detection of Salmonella. Chinese Chemical Letters, 2025, 36(4): 110143-. doi: 10.1016/j.cclet.2024.110143

    3. [3]

      Min FuRuihan WangWenqiang LiuSen ZhouChunhong ZhongYaohao LiPan HeXin LiShiying ShangZhongping Tan . Improved one-pot protein synthesis enabled by a more precise assessment of peptide arylthioester reactivity. Chinese Chemical Letters, 2025, 36(7): 110542-. doi: 10.1016/j.cclet.2024.110542

    4. [4]

      Mengxing LiuJing LiuHongxing ZhangJianan TaoPeiwen FanXin LvWei Guo . One-pot accessing of meso–aryl heptamethine indocyanine NIR fluorophores and potential application in developing dye-antibody conjugate for imaging tumor. Chinese Chemical Letters, 2025, 36(4): 109994-. doi: 10.1016/j.cclet.2024.109994

    5. [5]

      Yu PangMin WangNing-Hua YangMin XueYong Yang . One-pot synthesis of a giant twisted double-layer chiral macrocycle via [4 + 8] imine condensation and its X-ray structure. Chinese Chemical Letters, 2024, 35(10): 109575-. doi: 10.1016/j.cclet.2024.109575

    6. [6]

      Chun-Ying XuXiao-Lin LuanYuan-Yuan CuiCheng-Xiong Yang . One-pot in situ doping synthesis of phenylboronic acid-functionalized magnetic-cyclodextrin microporous organic network for specific enrichment and detection of sulfonylurea herbicides. Chinese Chemical Letters, 2025, 36(9): 110937-. doi: 10.1016/j.cclet.2025.110937

    7. [7]

      Wei-Tao DouQing-Wen ZengYan KangHaidong JiaYulian NiuJinglong WangLin Xu . Construction and application of multicomponent fluorescent droplets. Chinese Chemical Letters, 2025, 36(1): 109995-. doi: 10.1016/j.cclet.2024.109995

    8. [8]

      Gaowa XingYuxuan LiHongren YaoQiang ZhangZengnan WuCaihou LinJin-Ming Lin . Tryptophan accumulation and inflammation of glioblastoma cells in a multicomponent microchip for gut-brain-axis simulation. Chinese Chemical Letters, 2025, 36(12): 111035-. doi: 10.1016/j.cclet.2025.111035

    9. [9]

      Kexin YinJingren YangYanwei LiQian LiXing Xu . Metal-free diatomaceous carbon-based catalyst for ultrafast and anti-interference Fenton-like oxidation. Chinese Chemical Letters, 2024, 35(12): 109847-. doi: 10.1016/j.cclet.2024.109847

    10. [10]

      Min YanZihao YePing Lu . Catalyst-free, visible-light-induced [2π + 2σ] cycloaddition towards azabicyclohexanes. Chinese Chemical Letters, 2025, 36(6): 110540-. doi: 10.1016/j.cclet.2024.110540

    11. [11]

      Yi LuoLin Dong . Multicomponent remote C(sp2)-H bond addition by Ru catalysis: An efficient access to the alkylarylation of 2H-imidazoles. Chinese Chemical Letters, 2024, 35(10): 109648-. doi: 10.1016/j.cclet.2024.109648

    12. [12]

      Rong-Nan YiWei-Min He . Photocatalytic Minisci-type multicomponent reaction for the synthesis of 1-(halo)alkyl-3-heteroaryl bicyclo[1.1.1]pentanes. Chinese Chemical Letters, 2024, 35(10): 110115-. doi: 10.1016/j.cclet.2024.110115

    13. [13]

      Shuo LiXinran LiuYongjie ZhengJun MaShijie YouHeshan Zheng . Effective peroxydisulfate activation by CQDs-MnFe2O4@ZIF-8 catalyst for complementary degradation of bisphenol A by free radicals and non-radical pathways. Chinese Chemical Letters, 2024, 35(5): 108971-. doi: 10.1016/j.cclet.2023.108971

    14. [14]

      Hong Yin Zhipeng Yu . Hexavalent iridium catalyst enhances efficiency of hydrogen production. Chinese Journal of Structural Chemistry, 2025, 44(1): 100382-100382. doi: 10.1016/j.cjsc.2024.100382

    15. [15]

      Qijun Tang Wenguang Tu Yong Zhou Zhigang Zou . High efficiency and selectivity catalyst for photocatalytic oxidative coupling of methane. Chinese Journal of Structural Chemistry, 2023, 42(12): 100170-100170. doi: 10.1016/j.cjsc.2023.100170

    16. [16]

      Zimo Peng Quan Zhang Gaocan Qi Hao Zhang Qian Liu Guangzhi Hu Jun Luo Xijun Liu . Nanostructured Pt@RuOx catalyst for boosting overall acidic seawater splitting. Chinese Journal of Structural Chemistry, 2024, 43(1): 100191-100191. doi: 10.1016/j.cjsc.2023.100191

    17. [17]

      Yizhe ChenYuzhou JiaoLiangyu SunCheng YuanQian ShenPeng LiShiming ZhangJiujun Zhang . Nonmetallic phosphorus alloying to regulate the oxygen reduction mechanisms of platinum catalyst. Chinese Chemical Letters, 2025, 36(4): 110789-. doi: 10.1016/j.cclet.2024.110789

    18. [18]

      Yaofei ZhangJiani ChenHaotian HuJianghua HuangJiafeng WeiFukun BiXiaodong Zhang . Impact of residual ions on catalyst structure and catalytic performance: A review. Chinese Chemical Letters, 2026, 37(3): 111549-. doi: 10.1016/j.cclet.2025.111549

    19. [19]

      Qiangwei WangHuijiao LiuMengjie WangHaojie ZhangJianda XieXuanwei HuShiming ZhouWeitai Wu . Observation of high ionic conductivity of polyelectrolyte microgels in salt-free solutions. Chinese Chemical Letters, 2024, 35(4): 108743-. doi: 10.1016/j.cclet.2023.108743

    20. [20]

      Gongcheng MaQihang DingYuding ZhangYue WangJingjing XiangMingle LiQi ZhaoSaipeng HuangPing GongJong Seung Kim . Palladium-free chemoselective probe for in vivo fluorescence imaging of carbon monoxide. Chinese Chemical Letters, 2024, 35(9): 109293-. doi: 10.1016/j.cclet.2023.109293

Metrics
  • PDF Downloads(15)
  • Abstract views(1661)
  • HTML views(56)

通讯作者: 陈斌, bchen63@163.com
  • 1. 

    沈阳化工大学材料科学与工程学院 沈阳 110142

  1. 本站搜索
  2. 百度学术搜索
  3. 万方数据库搜索
  4. CNKI搜索
Address:Zhongguancun North First Street 2,100190 Beijing, PR China Tel: +86-010-82449177-888
Powered By info@rhhz.net

/

DownLoad:  Full-Size Img  PowerPoint
Return