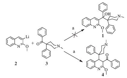
A nucleophilic 1, 3-rearrangement leading to 3, 4-disubstituted 3, 4-dihydroquinolines
- Corresponding author: Da-Li Yin, yindali@imm.ac.cn
Citation:
Chun-Xian He, Zhi-Bo Jiang, Hua-Qing Cui, Da-Li Yin. A nucleophilic 1, 3-rearrangement leading to 3, 4-disubstituted 3, 4-dihydroquinolines[J]. Chinese Chemical Letters,
;2016, 27(7): 1036-1039.
doi:
10.1016/j.cclet.2016.02.030
M. Ló pez-García, I. Alfonso, V. Gotor. Synthesis of (R)-3, , 4-diaminobutanoic acid by desymmetrization of dimethyl 3-(benzylamino)glutarate through enzymatic ammonolysis[J]. J. Org. Chem., 2002,68:648-651.
M. Ochiai, T. Okada, N. Tada, A. Yoshimura, K. Miyamoto, M. Shiro, Difluoro-λ3-bromane-induced Hofmann rearrangement of sulfonamides: synthesis of sulfamoyl fluorides, J. Am. Chem. Soc. 131 (2009) 8392-8393.
A.B. Smith, I.G. Safonov, R.M. Corbett, Total syntheses of (+)-zampanolide and (+)-dactylolide exploitinga unifiedstrategy, J.Am.Chem.Soc.124(2002) 11102-11113.
A. Carrë r, J.C. Florent, E. Auvrouin, P. Rousselle, E. Bertounesque. Synthesis of, 3-aryl-2-arylamidobenzofurans based on the curtius rearrangement[J]. J. Org. Chem., 2011,76:2502-2520. doi: 10.1021/jo102265b
D.G. Hilmey, L.A. Paquette, Promoter-dependent course of the Beckmann rearrangement of stereoisomeric spiro[4.4]nonane-1, 6-dione monoximes, Org. Lett. 7 (2005) 2067-2069.
Y. Furuya, K. Ishihara, H. Yamamoto. Cyanuric chloride as a mild and active Beckmann rearrangement catalyst[J]. J. Am. Chem. Soc., 2005,127:11240-11241. doi: 10.1021/ja053441x
J.S. Kingsbury, E.J. Corey. Enantioselective total synthesis of isoedunol and β-araneosene featuring unconventional strategy and methodology[J]. J. Am. Chem. Soc., 2005,127:13813-13815. doi: 10.1021/ja055137+
K. Suzuki, H. Takikawa, Y. Hachisu, J.W. Bode. Isoxazole-directed pinacol rearrangement: stereocontrolled approach to angular stereogenic centers[J]. Angew. Chem. Int. Ed., 2007,46:3252-3254. doi: 10.1002/(ISSN)1521-3773
S. Braverman, M. Cherkinsky, E.V.K. Suresh Kumar, H.E. Gottlieb. Rearrangements of trihalomethyl ketones[J]. Tetrahedron, 2000,56:4521-4529. doi: 10.1016/S0040-4020(00) 00360-4
A.S. Ionkin, W.J. Marshall, B.M. Fish. Highly sterically hindered olefins: a case of E- and Z-di-tert-butyl a, b-unsaturated acids[J]. Org. Lett., 2008,10:2303-2305. doi: 10.1021/ol800808g
K. Andries, P. Verhasselt, J. Guillemont, H.W. Gohlmann, J.M. Neefs, H. Winkler, J. Van Gestel, P. Timmerman, M. Zhu, E. Lee, P. Williams, D. de Chaffoy, E. Huitric, S. Hoffner, E. Cambau, C. Truffot-Pernot, N. Lounis, V. Jarlier. A diarylquinoline drug active on the ATP synthase of mycobacterium tuberculosis[J]. Science, 2005,307:223-227. doi: 10.1126/science.1106753
J. Guillemont, C. Meyer, A. Poncelet, X. Bourdrez, K. Andries, Diarylquinolines, synthesis pathways and quantitative structure-activity relationship studies leading to the discovery of TMC207, Future Med. Chem. 3 (2011) 1345-1360.
A.Matteelli, A.C.C. Carvalho, K.E.Dooley, A. Kritski, TMC207: the first compound of a new class of potent anti-tuberculosis drugs, Future Microbiol. 5 (2010) 849-858.
C.X. He, H. Meng, X. Zhang, H.Q. Cui, D.L. Yin. Synthesis and bio-evaluation of phenothiazine derivatives as new anti-tuberculosis agents[J]. Chin. Chem. Lett., 2015,26:951-954. doi: 10.1016/j.cclet.2015.03.027
M. Yutaka, T. Sakae, N. Yoshiharu, H. Masatomo, Reactions of 3-substituted quinoline 1-oxides with acylating agents, Heterocycles 32 (1991) 1579-1586.
Qin Cheng , Ming Huang , Qingqing Ye , Bangwei Deng , Fan Dong . Indium-based electrocatalysts for CO2 reduction to C1 products. Chinese Chemical Letters, 2024, 35(6): 109112-. doi: 10.1016/j.cclet.2023.109112
Linyu Zhu , Xu Tian , Guang Shi , Wenchi Zhang , Peisong Tang , Mohamed Bououdina , Sajjad Ali , Pengfei Xia . Assembling 3D cross-linked network by carbon nitride nanowires for visible-light photocatalytic H2 evolution from dyestuffs wastewater. Chinese Chemical Letters, 2025, 36(12): 111088-. doi: 10.1016/j.cclet.2025.111088
Pin Cui , Ying Tang , Jie Yu , Zhen Yang , Shouhua Yang , Boqin Li , Gang Wang , Huan Pang , Feng Yu . Bimetallic ZnFe–NC prepared using microchannel reactor for oxygen reduction reaction and mechanism research. Chinese Chemical Letters, 2025, 36(9): 110303-. doi: 10.1016/j.cclet.2024.110303
Huixin Chen , Chen Zhao , Hongjun Yue , Guiming Zhong , Xiang Han , Liang Yin , Ding Chen . Unraveling the reaction mechanism of high reversible capacity CuP2/C anode with native oxidation POx component for sodium-ion batteries. Chinese Chemical Letters, 2025, 36(1): 109650-. doi: 10.1016/j.cclet.2024.109650
Deng Pan , Chuan He , Genping Huang . Mechanism and origins of enantioselectivity of iridium-catalyzed atroposelective intermolecular C(sp2)-H silylation: A ligand-enabled axial chirality transfer strategy. Chinese Chemical Letters, 2026, 37(4): 111217-. doi: 10.1016/j.cclet.2025.111217
Tingting Liu , Pengfei Sun , Wei Zhao , Yingshuang Li , Lujun Cheng , Jiahai Fan , Xiaohui Bi , Xiaoping Dong . Magnesium doping to improve the light to heat conversion of OMS-2 for formaldehyde oxidation under visible light irradiation. Chinese Chemical Letters, 2024, 35(4): 108813-. doi: 10.1016/j.cclet.2023.108813
Chunrui Zhao , Tianren Li , Jiage Li , Yansong Liu , Zian Fang , Xinyu Wang , Mingxin Huo , Shuangshi Dong , Mingyu Li . Doped cobalt for simultaneously promoting active (001) facet exposure of MIL-68(In) and acting as reactive sites in peroxymonosulfate-mediated photocatalytic decontamination. Chinese Chemical Letters, 2025, 36(5): 110201-. doi: 10.1016/j.cclet.2024.110201
Xin Zhou , Xuejia Li , Yujia Xiang , Heng Zhang , Chuanshu He , Zhaokun Xiong , Wei Li , Peng Zhou , Hongyu Zhou , Yang Liu , Bo Lai . The application of low-valent sulfur oxy-acid salts in advanced oxidation and reduction processes: A review. Chinese Chemical Letters, 2025, 36(9): 110664-. doi: 10.1016/j.cclet.2024.110664
Jiaming Li , Na Xu , Yafei Zhang , Hongjun Dong , Chunmei Li . Research progress of heterogeneous photocatalyst for H2O2 production: A mini review. Chinese Chemical Letters, 2025, 36(11): 110470-. doi: 10.1016/j.cclet.2024.110470
Qian Huang , Zhaowei Li , Jianing Zhao , Ao Yu . Quantum Chemical Calculations Reveal the Details Below the Experimental Phenomenon. University Chemistry, 2024, 39(3): 395-400. doi: 10.3866/PKU.DXHX202309018
Ling Fan , Meili Pang , Yeyun Zhang , Yanmei Wang , Zhenfeng Shang . Quantum Chemistry Calculation Research on the Diels-Alder Reaction of Anthracene and Maleic Anhydride: Introduction to a Computational Chemistry Experiment. University Chemistry, 2024, 39(4): 133-139. doi: 10.3866/PKU.DXHX202309024
Ronghao Zhao , Yifan Liang , Mengyao Shi , Rongxiu Zhu , Dongju Zhang . Investigation into the Mechanism and Migratory Aptitude of Typical Pinacol Rearrangement Reactions: A Research-Oriented Computational Chemistry Experiment. University Chemistry, 2024, 39(4): 305-313. doi: 10.3866/PKU.DXHX202309101
Wentao Lin , Wenfeng Wang , Yaofeng Yuan , Chunfa Xu . Concerted Nucleophilic Aromatic Substitution Reactions. University Chemistry, 2024, 39(6): 226-230. doi: 10.3866/PKU.DXHX202310095
Yong Wang , Yingying Zhao , Boshun Wan . Analysis of Organic Questions in the 37th Chinese Chemistry Olympiad (Preliminary). University Chemistry, 2024, 39(11): 406-416. doi: 10.12461/PKU.DXHX202403009
Aili Feng , Xin Lu , Peng Liu , Dongju Zhang . Computational Chemistry Study of Acid-Catalyzed Esterification Reactions between Carboxylic Acids and Alcohols. University Chemistry, 2025, 40(3): 92-99. doi: 10.12461/PKU.DXHX202405072
Zihan Lin , Wanzhen Lin , Fa-Jie Chen . Electrochemical Modifications of Native Peptides. University Chemistry, 2025, 40(3): 318-327. doi: 10.12461/PKU.DXHX202406089
Jiajie Li , Xiaocong Ma , Jufang Zheng , Qiang Wan , Xiaoshun Zhou , Yahao Wang . Recent Advances in In-Situ Raman Spectroscopy for Investigating Electrocatalytic Organic Reaction Mechanisms. University Chemistry, 2025, 40(4): 261-276. doi: 10.12461/PKU.DXHX202406117
Guowen Xing , Guangjian Liu , Le Chang . Five Types of Reactions of Carbonyl Oxonium Intermediates in University Organic Chemistry Teaching. University Chemistry, 2025, 40(4): 282-290. doi: 10.12461/PKU.DXHX202407058
Lancanghong Chen , Xingtai Yu , Tianlei Zhao , Qizhi Yao . Exploration of Abnormal Phenomena in Iodometric Copper Quantitation Experiment. University Chemistry, 2025, 40(7): 315-320. doi: 10.12461/PKU.DXHX202408089
Mingyang Men , Jinghua Wu , Gaozhan Liu , Jing Zhang , Nini Zhang , Xiayin Yao . Sulfide Solid Electrolyte Synthesized by Liquid Phase Approach and Application in All-Solid-State Lithium Batteries. Acta Physico-Chimica Sinica, 2025, 41(1): 100004-0. doi: 10.3866/PKU.WHXB202309019