 
						
						 
				
			
			Citation: Hao-dong WU, Feng-hua SHAO, Peng LÜ, Yong-hui BAI, Xu-dong SONG, Jiao-fei WANG, Qing-hua GUO, Xue-bin WANG, Guang-suo YU. Study on the relationship between structure, properties and size distribution of fine slag from entrained flow gasification[J]. Journal of Fuel Chemistry and Technology, 2022, 50(5): 513-522. doi: 10.19906/j.cnki.JFCT.2021089
 
				
			
			气流床煤气化细渣结构、性质与其粒度分布关系研究
English
Study on the relationship between structure, properties and size distribution of fine slag from entrained flow gasification
- 
								Key words:
								
- coal gasification
- / fine slag
- / size distribution of particle
- / combustion reactivity
- / microstructure
- 
									
	
			
				
		
					
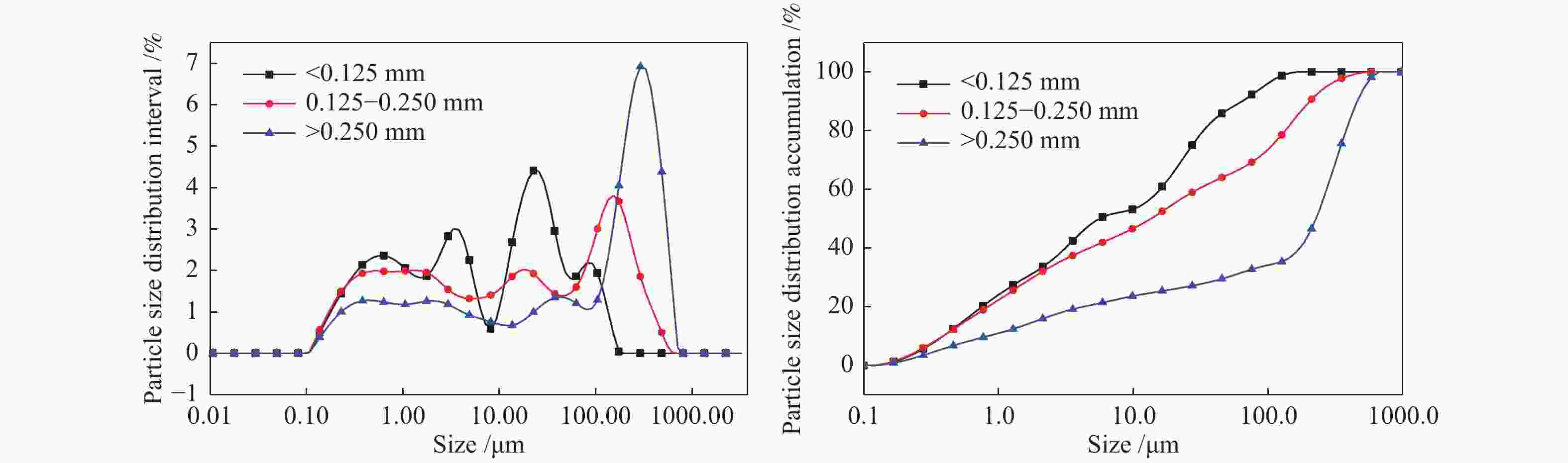
							“富煤、贫油、少气”的资源禀赋特点决定了煤炭在中国能源和化工领域具有重要地位[1,2],预计到2050年,煤炭占中国化石能源消费的比重,仍达50%以上[3]。因此,煤化工清洁生产仍被广泛关注[4]。目前,气流床煤气化技术已成为较为领先的清洁煤技术[5,6]。气流床气化的主要副产品为煤气化灰渣,每年都会产生并堆积大量的煤气化灰渣[7]。为了使气化技术更高效环保,就必须深入研究气化灰渣,从而达到对其合理的处置与资源化利用[8] 目前,中国煤气化渣的排放量巨大,每年超3000万t[3],由于气化细渣的残炭、水分含量超过国家标准,限制了其在各方面的应用[9,10]。所以,不断产生且难以处理的煤气化渣,大多只能采用堆放处置,这样不仅会占据相当大的空间,而且长时间堆放还会释放有害气体,同时渣中的大量无机物和重金属还会污染土壤和地下水 [11,12]。因此,对气化灰渣特性的研究逐渐引起重视[13,14]。根据气化灰渣的特性,针对性的提出处理、利用的方式,不仅可以减少其对环境的污染,还能实现固废的资源化利用。 气化渣的形成受到许多因素的影响[15]。Li 等[16]对粉煤气化过程中焦-渣转变进行了研究,认为随着焦炭基质和内在矿物质的消耗,熔融灰以矿物质的形式显露在煤焦的外表面,最后因焦炭基质慢慢被消耗殆尽,导致煤焦颗粒更容易破碎,从而形成许多熔融的粗渣颗粒及颗粒碎片。Xu等[17]研究发现,当快速加热时,原煤颗粒由于挥发性物质的释放而膨胀,产生大颗粒尺寸的壳状炭,伴随着由于热变质导致的石墨化过程,进而生成煤焦。然后气化剂(H2O、O2)在煤焦表面上扩散并进入孔中,与炭微晶边缘的活性位点接触,引起气化反应。随着反应的进行,孔隙逐渐被侵蚀,炭壳慢慢变薄,最终导致空洞形成,变得更加易碎。显然,在以上研究中,煤粉粒径大小对渣的形成显得尤为重要,不仅影响了内在矿物质、炭基质的反应面积和消耗速率,还影响了气化剂与活性位点的接触面积与频率,从而对整个气化过程产生影响。气化渣中残炭的主要来源是未被完全气化的煤粉炭基质[18]。煤的高效利用就要尽可能减少气化细渣中残炭含量[19], Wagner 等[20]给出了三种煤粉炭基质未被完全气化可能的解释。其中一种为,进入气化炉的颗粒由于缓慢的升温速率而没有足够的反应时间和停留时间,最终通过气化炉时没有在其核心区域发生反应。Yang等[21]发现,不同粒径的气化细渣在残炭含量上有着明显的差异,有进一步回收利用的可能性。 在工业气流床气化炉中,不同粒径的煤粉在气化炉中受热后,热质传递过程、颗粒破裂方式、挥发分脱除行为、焦-渣相互作用、熔渣形成行为等具有显著差异,如图1。这将导致下游所产生的不同尺寸的煤气化细渣具有不同的结构特征和反应特性[22]。为提高经济效益,减少废弃物排放,为煤炭的加工和利用提供更好的方式方法,就要着手研究不同粒径气化细渣的结构与性质。本研究针对不同粒径煤气化细渣,详细解析其物理化学结构方面的差异,分析各自的差异特性,溯源不同粒度的煤粉在气化炉中受到的作用,从而为优化气流床气化工艺及细渣形成机理提供理论依据与指导。 1. 实验部分1.1 实验样品本实验选用宁东煤炭能源化工基地GPS工艺气化炉所产生的气化细渣,简称GSPZ,其工业分析与元素分析、灰化学组成,见表1、表2。 将样品置入105 ℃的烘箱中干燥脱水后称取50 g,并按照GB/T 477—2008《煤炭筛分试验方法》中小筛分的规定,选用0.500、0.250、0.125、0.075、0.045 mm的标准实验筛进行机械振动筛分,筛分结果见图2。 图 1 图 1. 粒径差异对气化过程中煤粉热质传递及破碎行为的影响示意图Figure 1. Schematic diagram of influence of particle size difference on heat and mass transfer and crushing behavior of pulverized coal during gasification process 图 1. 粒径差异对气化过程中煤粉热质传递及破碎行为的影响示意图Figure 1. Schematic diagram of influence of particle size difference on heat and mass transfer and crushing behavior of pulverized coal during gasification process表 1Proximate analysis wd/% Ultimate analysis wd/% V FC A C H N S O* 6.96 12.43 80.61 16.33 0.71 0.08 1.51 0.76 note: V:volatile matter; FC:fixed carbon; d:dry basis; *:calculated by difference 表 2Compositions w/% SiO2 Al2O3 Fe2O3 CaO Na2O K2O MgO others 59.04 16.95 7.60 6.02 2.06 2.49 3.48 2.36 显然,GSPZ的主导粒级为0.125−0.250 mm,为探究不同粒级样品的差异性,本实验将样品分为小于主导粒级、主导粒级和大于主导粒级,即<0.125、0.125−0.250、>0.250 mm三种粒级,后文简称小、中、大粒级样品,其中,小粒级样品质量分数达22%、中粒级样品质量分数达46%、大粒级样品质量分数达32%。 为确保实验的可靠性,在Mastersizer 3000分析仪上进行全自动激光粒度分析,测试的相关参数为:检测范围:0.017−2000 μm,颗粒折射率:1.570,颗粒吸收率:1.000,分散剂名称:Dry dispersion,分散剂折射率:1.000,散射模型:Mie,分析模型:通用模型,加权残差:1.88%,激光遮光度:0.37%。测试结果见图3。 图 2由图3可以发现,小粒级样品的粒径大多分布在22.60 μm左右,中粒级样品在153.38 μm左右居多,大粒级样品多分布在290.39 μm左右,样品粒级呈阶段性增长,三种样品的粒度分布累计增长速率也随粒度分布的增大而增大,说明筛分情况良好,在随机且微量的测试条件下,样品之间粒度也有明显差别,符合实验要求。 图 31.2 实验方法采用GB∕T 34231—2017 《煤炭燃烧残余物烧失量测定方法》,将三种粒级样品在马弗炉中灼烧,观察各样品烧失量的差异。三种粒级样品的微观形貌及部分微观区域的元素含量分析采用德国卡尔蔡司钨灯丝扫描电子显微镜(T-SEM)及配套能谱仪(EDS)进行表征,采用德国布鲁克X射线散射仪进行微晶结构表征,炭化学结构用美国Thermo Fisher激光拉曼光谱仪进行表征。利用热重分析仪(耐驰 TGA5500)对样品的燃烧反应性进行表征,测试条件为从 30 ℃加热到 1100 ℃,取三个升温速率分别为 10、15、20 ℃/min ,燃烧气氛为空气气氛,主要选取 79% N2:21% O2混合气进行模拟燃烧。 2. 结果与讨论2.1 烧失量测定三种粒级样品在马弗炉中煅烧前后质量变化及烧失量结果见表3。 对于气化细渣而言,一般可以认为其烧失量与残炭含量成正比。根据实验结果可以看出,三种粒级样品的残炭含量整体都较低,这也与前文工业分析中的固定碳含量结果相吻合,在三种粒级样品烧失量的互相比较中可以发现,中粒级样品残炭含量最多,小粒级次之,大粒级残炭含量最低,说明三种粒级样品在物质组成上存在差异。 表 3Size fraction/mm Mass before combustion/g Mass after combustion/g LOI/% <0.125 1.00024 0.84343 15.68 0.125−0.250 1.00023 0.81071 18.95 >0.250 1.00026 0.87678 12.34 2.2 微观形貌观察图4是三种粒级样品放大5000倍的扫描电镜照片。由图4可以看出,三种粒级样品的微观形貌都是球状颗粒居多,且夹杂着部分不规则颗粒。在相同倍镜下观测,大粒级样品看起来球状颗粒与不规则颗粒之间黏着性更强,颗粒之间互相错杂包裹程度更高。中小粒级的微观形貌较大粒级黏着性较低,颗粒之间分布较分散。 图 4图5是对三种粒级样品进行EDS分析。由图5可以看出,在随机选取的分析表面上,除C元素外,三种粒级样品中O、Si、Ca、Al、Fe元素的含量都较高,大粒级样品中的C元素含量很低,大部分为O元素以及其他矿物质元素。 图 52.3 比表面积及孔径分析三种粒级样品的比表面积及孔径分析结果见表4,样品的吸附-脱附曲线见图6。可以看出,相较于小粒级样品和中粒级样品,大粒级样品的总比表面积非常小,孔隙结构不发达,反应性较差。三种粒级样品的介孔及大孔面积都明显大于其微孔面积,说明GSPZ的孔隙结构多以介孔及大孔形式存在。 表 4Size fraction/mm BET surface area/(m2·g−1) Micropore area/(m2·g−1) Mesoporous and macroporous area/(m2·g−1) <0.125 81.085 11.046 70.039 0.125−0.250 87.871 14.080 73.792 >0.250 37.004 5.385 31.620 图 62.4 炭结构研究三种粒级样品的XRD表征如图7所示。可以看出,衍射角在26°左右会有一个较明显的峰,对应为002峰,002峰是002带和γ带叠加的体现[23]。另外,衍射角在44°左右还有一处峰为100峰,100峰表现为芳香碳网层片的大小[14]。根据002峰和100峰的半峰宽(β)、衍射角(θ)、芳香结构层间距(d),X射线波长(λ),便可通过谢乐公式和布拉格方程计算样品的堆垛高度(Lc)和延展度(La),通过富兰克林公式计算样品的石墨化程度(g)。公式分别如下式(1)、(2)、(3)。 $ L_{\rm{c}}=0.94\lambda /(\beta _{002}\cos \theta _{002}) $ (1) $ L_{\rm{a}}=1.84\lambda /(\beta _{100}\cos \theta _{100})$ (2) $ g=[(0.344-d_{002})/0.0086] \times 100\%$ (3) 最终计算结果见表5。 通过计算结果可以看出,中、小粒级样品的石墨化程度较低,仅有30%左右,大粒级样品石墨化程度较高,达53%,石墨化程度的高低也能侧面反映样品气化程度的高低,故可以初步判断三种粒级样品的气化程度,而大粒级样品的堆垛高度与延展度差值较小,也可初步判断其结构更加稳定。 对三种样品做了炭材质的激光拉曼表征。一般的,无序炭在波数800−2000 cm−1会有五个峰,分别出现在 1580、1350、1620、1500 和 1200 cm−1,相应的称为 G、D1、D2、D3及D4峰[24],G峰对应理想石墨晶格的伸缩振动模式,D峰通常被认为是无序石墨晶格振动模式或有缺陷的炭结构[25,26],由以上五个峰对原始拉曼光谱进行分峰拟合,结果见图8。 通过峰面积即可得到三种粒级样品的炭结构参数,炭结构的有序化程度通常可用ID1/IG或IG/IAll来反映,ID1/IG越小或IG/IAll越大,则炭结构的有序化程度越高,峰面积比的结果见表6。 通过ID1/IG和IG/IAll可以看出,三种粒径中,中粒级样品炭的有序度最低,无定型炭结构最多,大粒级炭的有序度最高,无定型炭结构最少。结合XRD表征可以发现,中粒级样品气化程度最低,大粒级样品气化程度最高。 图 7表 5<0.125 mm 0.125−0.250 mm >0.250 mm d002/Å 3.411 3.414 3.395 d100/Å 2.074 2.048 2.052 θ002/(°) 26.101 26.079 26.231 θ100/(°) 43.609 44.194 44.091 β002/(°) 0.175 0.107 0.22 β100/(°) 0.107 0.394 0.232 Lc(002)/Å 14.602 23.146 14.462 La(100)/Å 28.452 7.359 12.291 g/% 33.5 30.2 52.9 图 8表 6< 0.125 mm 0.125−0.250 mm > 0.250 mm G 15736.65 14421.64 28948.20 D1 44241.26 44921.93 72385.62 D2 6319.80 11776.67 5241.44 D3 4298.84 2697.58 5448.12 D4 10792.46 15172.95 16018.01 ID1/IG 2.81 3.12 2.50 IG/IAll 0.19 0.16 0.23 2.5 燃烧特性及燃烧动力学为测定三种粒级样品的燃烧性能及活化能,分别在10、15、20 ℃/min三种不同升温速率下从室温升温至1100 ℃,对样品进行模拟空气气氛(79%N2与21%O2混合气体)下的燃烧实验,其结果见图9(TG-DTG曲线)。 从TG-DTG曲线可以看出,在不同燃烧速率下,中粒级气化细渣的失重量及失重率都高于其他两种粒级,说明中粒级样品中的可燃物质更多、燃烧速率更快,主要是由于中粒级样品中的残炭含量较多,且其具有较大的比表面积,导致其空气扩散能力较其他两种粒级的GSPZ而言更强,燃烧活性也更高,燃烧反应更充分。由图9还可以看出,随着升温速率的增加,三种粒级的GSPZ在相同温度下的失重量和失重率差距逐渐增加,最大失重率减小,失重峰宽增大。说明升温速率的变化对气化细渣的化学反应速率和空气扩散速率产生了影响。 采用热重-微分热重(TG-DTG) 联合定义法[27]分析热重曲线,得到了不同升温速率下着火温度(ti)、燃尽温度(th)、最大燃烧速率(Wmax)、平均燃烧速率(Wmean)、样品着火时质量分数(Ai)、样品燃尽时质量分数(Ah)、综合燃烧特性指数(S)的参数,用来评价燃料的燃烧性能[28],结果见表7。 图 9表 7 表 7 不同升温速率下不同粒级GSPZ的燃烧特性参数Table 7. Characteristic parameters of combustion of size-segmented GSPZ at different heating rate 表 7 不同升温速率下不同粒级GSPZ的燃烧特性参数Table 7. Characteristic parameters of combustion of size-segmented GSPZ at different heating rateSize fraction /mm Heating rate /(℃·min−1) ti/℃ th /℃ Wmax/(%·min−1) Wmean/(%·min−1) Ai/% Ah/% S/(%2·min −2·℃−3) <0.125 10 539.45 785.74 −0.13 −0.462 98.54 87.17 2.62×10−10 0.125−0.250 10 544.40 790.47 −0.14 −0.539 98.55 85.02 3.28×10−10 > 0.250 10 549.13 793.70 −0.10 −0.450 98.37 87.21 1.90×10−10 <0.125 15 562.47 786.38 −0.11 −0.705 98.74 88.04 3.16×10−10 0.125−0.250 15 557.41 814.79 −0.15 −0.884 98.39 82.86 5.36×10−10 >0.250 15 564.83 817.79 −0.08 −0.575 99.00 89.16 1.79×10−10 <0.125 20 559.88 794.53 −0.10 −0.810 98.08 87.60 3.55×10−10 0.125−0.250 20 561.17 855.00 −0.13 −0.901 98.02 83.81 4.71×10−10 >0.250 20 563.54 814.13 −0.07 −0.642 98.30 89.87 1.81×10−10 由表7可以看出,随着升温速率的增加,小粒级样品和中粒级样品的综合燃烧特性指数S增加,大粒级样品的综合燃烧特性指数S减少,这主要是因为大粒级气化细渣残炭含量较少,可燃物质较少,升温速率增高时,其化学反应能力降低,导致其燃烧性能变差。另外,在三种升温速率下,大粒级气化细渣的着火温度与燃尽温度较其他两种粒级都普遍较高,这与其气化程度较高有一定的关系。 根据质量作用定律,气化细渣燃烧的反应速率方程可表示为式(4)。 $ {\rm{d}\alpha}/{\rm{d}}T=K f(\alpha ) $ (4) 反应速率常数与活化能(E)、指前因子(A)之间遵循Arrhenius公式[29],如式(5)。 $ K = A{\rm{e}} ^\wedge (- E/RT) $ (5) 对于简单反应来说,动力学模型函数f(α)可用式(6)表示[30]。 $ f(\alpha)=(1-\alpha)^\wedge n $ (6) 在恒定升温速率下,β=dT/dt,结合以上式可得式(7)。 $ \begin{split} \\ {\rm{d}}{{a}}/{\rm{d}}T=A/\beta {\rm{e}}^\wedge (-E/RT) \end{split} $ (7) 采用积分法对活化能和指前因子求解,上式可得式(8)。 $ {\rm{ln}}[(-{\rm{ln}}(1-\alpha ))/(T-T_{0})]={\rm{ln}}(A/\beta)-(E/RT) $ (8) 令y= ln[(−ln(1−α))/(T−T0)],x=1/T,k=−E/T,b=lnA/β,可得直线 $y=kx+b $ 根据TG曲线得到的原始数据,采用最小二乘法处理方程即可由斜率得到活化能,由截距得到指前因子,并引入y与x的相关系数R2,具体计算结果见表8。 表 8 表 8 不同升温速率下不同粒级GSPZ的动力学参数Table 8. Combustion kinetic parameters of size-segmented GSPZ at different heating rate 表 8 不同升温速率下不同粒级GSPZ的动力学参数Table 8. Combustion kinetic parameters of size-segmented GSPZ at different heating rateSize fraction /mm Heating rate /(℃·min−1) E/(kJ·mol−1) A/ s−1 R2 <0.125 10 39.24 5.194 0.92 0.125−0.250 10 37.91 6.767 0.92 >0.250 10 39.44 2.047 0.99 <0.125 15 40.67 4.901 0.93 0.125−0.250 15 39.23 6.805 0.93 >0.250 15 50.04 0.873 0.99 <0.125 20 39.01 9.676 0.97 0.125−0.250 20 37.52 10.917 0.94 >0.250 20 40.79 4.246 0.98 由表8可以看出,在三种升温速率下,大粒级GSPZ的活化能较其他两种粒级整体偏大,说明大粒级GSPZ活性更低、更难反应,中、小粒级GSPZ则更容易发生反应,这与前文的着火温度也相对应,这主要是因为大粒级GSPZ石墨化程度较高,稳定性更强。 3. 结 论不同粒级GSPZ在形貌、残炭含量、结构方面存在显著差异。在GSPZ中,小粒级样品占22%,残炭含量为16%,气化程度较低;中粒级样品占46%,残炭含量达19%,气化程度最低;大粒级样品占32%,残炭含量最少仅为12%,无机矿物质含量最多,气化程度最高。中、大粒级的气化细渣总含量占比高达78%,说明在气化过程中,大部分入炉煤粉因为体积小、质量轻,易被吹带出,也易反应消耗,反应过程中经矿物质包裹、互相结合生成中、大粒级的气化细渣,少部分未被完全反应的煤粉,残留形成小粒级的气化细渣。残炭含量及气化程度结果表明,气化较充分的煤粉更易相互结合,生成大粒级的气化细渣,气化不完全的煤粉除少部分被吹带出的外,大部分还未完全反应就经矿物质包裹,生成中粒级的气化细渣,这为工业生产中煤气化过程的研究提供了一定的依据。 三种粒级GSPZ中,中、小粒级样品的着火温度、燃尽温度以及活化能较低,大粒级较高,这与各粒级样品的石墨化程度有关,大粒级样品的石墨化程度高达53%,中、小粒级样品只有30%左右,石墨化程度越高,化学稳定性越强。大粒级样品的燃烧性能较低,只有2.00 × 10−10左右,中、小粒级样品燃烧性能较高,这是因为大粒级样品残炭含量仅有12%,可燃成分太少,比表面积仅有37 m2/g,导致反应性较差。显然,中、小粒级气化细渣仍具有一定潜在的利用价值,可以根据不同粒级气化细渣性质的差异,针对性的处理、利用气化细渣。 
 #共同第一作者
 
- 
							
- 
			
                    [1]
                
			朱子祺. 煤制油选煤厂煤显微组分迁移规律[J]. 洁净煤技术,2020,26(6):89−95.ZHU Zi-qi. Migration rule of coal macerals in coal-to-oil preparation plant[J]. Clean Coal Technol,2020,26(6):89−95. 
- 
			
                    [2]
                
			ZHANG Y X, WU J J, WANG Y, MIAO Z Y, SI C D, SHANG X L, ZHANG N. Effect of hydrothermal dewatering on the physico-chemical structure and surface properties of Shengli lignite[J]. Fuel,2016,164:128−133. 
- 
			
                    [3]
                
			王学斌, 于伟, 张韬, 白永辉, 刘莉君, 史兆臣, 殷瑞, 谭厚章. 基于粒度分级的煤气化细渣特性分析及利用研究[J]. 洁净煤技术,2021,27(3):61−69.WANG Xue-bin, YU Wei, ZHANG Tao, BAI Yong-hui, LIU Li-jun, SHI Zhao-chen, YIN Rui, TAN Hou-zhang. Characteristic analysis and utilization of coal gasification fine slag based on particle size classification[J]. Clean Coal Technol,2021,27(3):61−69. 
- 
			
                    [4]
                
			ZHAO D Y, LUN W J, WEI J J. Discussion on wastewater treatment process of coal chemical industry[J]. Iop Conference,2017,100:012067. 
- 
			
                    [5]
                
			KATO K, MATSUEDA K. Leading edge of coal utilization technologies for gasification and cokemaking[J]. Kona Powder Part J,2017,2018:112−121. 
- 
			
                    [6]
                
			WU S Y, HUANG S, JI L Y, WU Y Q, GAO J S. Structure characteristics and gasification activity of residual carbon from entrained-flow coal gasification slag[J]. Fuel,2014,122:67−75. doi: 10.1016/j.fuel.2014.01.011 
- 
			
                    [7]
                
			刘冬雪, 胡俊阳, 冯启明, 黄阳, 徐中慧. 煤气化炉渣浮选及其精炭制备活性炭的研究[J]. 煤炭转化,2018,(5):73−80. doi: 10.3969/j.issn.1004-4248.2018.05.012LIU Dong-xue, HU Jun-yang, FENG Qi-ming, HUANG Yang, XU Zhong-hui. Study on flotation of coal gasification slag and preparation of activated carbon from carbon concentrate[J]. Coal Convers,2018,(5):73−80. doi: 10.3969/j.issn.1004-4248.2018.05.012 
- 
			
                    [8]
                
			陈清如. 21世纪的洁净煤炭能源[C]//发展洁净煤技术, 提高煤炭企业竞争力学术研讨会论文集. 北京: 中国煤炭学会, 2001: 5.CHEN Qing-ru, Clean coal energy in the 21st century[C]//Proceedings of the Symposium on developing clean coal technology and improving the competitiveness of coal enterprises. Beijing: CCS, 2001: 5. 
- 
			
                    [9]
                
			GUO F H, MIAO Z K, GUO Z K, LI J, ZHANG Y X, WU J J. Properties of flotation residual carbon from gasification fine slag[J]. Fuel,2020,267:117043. doi: 10.1016/j.fuel.2020.117043 
- 
			
                    [10]
                
			汪伦, 李寒旭, 赵帅, 夏宝亮, 黄俊. 不同粒径气化细渣的残碳形态及燃烧特性[J/OL]. 煤炭转化: 1-10 1-08-05]. http://kns.cnki.net/kcms/detail/14.1163.TQ.20210517.1448.004.html.WANG Lun, LI Han-xu, ZHAO Shuai, XIA Bao-liang, HUANG Jun. Residual carbon forms and combustion characteristics of gasification fine slag with different particle sizes[J/OL]. Coal Conversion: 1-10[2021-08-05]. http://kns.cnki.net/kcms/detail/14.1163.TQ.20210517.1448.004.html. 
- 
			
                    [11]
                
			史兆臣, 戴高峰, 王学斌, 董永胜, 李攀, 于伟, 谭厚章. 煤气化细渣的资源化综合利用技术研究进展[J]. 华电技术,2020,42(7):63−73. doi: 10.3969/j.issn.1674-1951.2020.07.009SHI Zhao-chen, DAI Gao-feng, WANG Xue-bin, DONG Yong-sheng, LI Pan, YU Wei, TAN Hou-zhang. Review on the comprehensive resources utilization technology of coal gasification fine slag[J]. Huadian Technol,2020,42(7):63−73. doi: 10.3969/j.issn.1674-1951.2020.07.009 
- 
			
                    [12]
                
			张婷, 于露, 李宇, 高艳鹏, 孙丽娅, 刘乐, 易汉平, 张弦. 水煤浆气化炉渣的特性分析及应用探讨[J]. 当代化工研究,2020,(19):88−90. doi: 10.3969/j.issn.1672-8114.2020.19.039ZHANG Ting, YU Lu, LI Yu, GAO Yan-peng, LIU Le, YI Han-ping, ZHANG Xian. Characteristic analysis andapplication discussion of coal water slurry gasifier slag[J]. Mod Chem Res,2020,(19):88−90. doi: 10.3969/j.issn.1672-8114.2020.19.039 
- 
			
                    [13]
                
			YANG L, ZHU Z, LI D L, YAN X K, ZHANG H J. Effects of particle size on the flotation behavior of coal fly ash[J]. Waste Manage,2019,85:490−497. 
- 
			
                    [14]
                
			吕登攀, 白永辉, 王焦飞, 宋旭东, 苏暐光, 于广锁, 祝贺, 唐广军. 气流床气化细渣中残炭的结构特征及燃烧特性研究[J]. 燃料化学学报,2021,49(2):129−136. doi: 10.1016/S1872-5813(21)60011-7LU Deng-pan, BAI Yong-hui, WANG Jiao-fei, SONG Xu-dong, SU Wei-guang, YU Guang-suo, ZHU he, TANG Guang-jun. Structural features and combustion reactivity of residual carbon in fine slag from entrained-flow gasification[J]. J Fuel Chem Technol,2021,49(2):129−136. doi: 10.1016/S1872-5813(21)60011-7 
- 
			
                    [15]
                
			TANG Y. Preparation of Sialon powder from coal gasification slag[J]. J Wuhan Univ Technol-Mat Sci Edit,2010,25(6):1044−1046. 
- 
			
                    [16]
                
			LI S H, WHITTY K J. Physical phenomena of char-slag transition in pulverized coal gasification[J]. Fuel Process Technol,2012,95:127−136. doi: 10.1016/j.fuproc.2011.12.006 
- 
			
                    [17]
                
			XU S Q, ZHOU Z J, GAO X X, YU G S, GONG X. The gasification reactivity of unburned carbon present in gasification slag from entrained-flow gasifier[J]. Fuel Process Technol,2009,90(9):1062−1070. doi: 10.1016/j.fuproc.2009.04.006 
- 
			
                    [18]
                
			CANGIALOSI F, CANIO F D, INTINI G. Experimental and theoretical investigation on unburned coal char burnout in a pilot-scale rotary kiln[J]. Fuel,2006,85(16):2294−2300. doi: 10.1016/j.fuel.2006.01.031 
- 
			
                    [19]
                
			SENNECA O, RUSSO P, SALATINO P, MASI S. The relevance of thermal annealing to the evolution of coal char gasification reactivity[J]. Carbon,1997,35(1):141−151. doi: 10.1016/S0008-6223(96)00134-0 
- 
			
                    [20]
                
			WAGNER N J, MATJIE R H, SLAGHUIS J H, VAN HEERDEN J H P. Characterization of unburned carbon present in coarse gasification ash[J]. Fuel,2008,87(6):683−691. doi: 10.1016/j.fuel.2007.05.022 
- 
			
                    [21]
                
			YANG Y B, CHU M, SHI X, LYU F Y, SUN X B, JIA C X. Grading characteristics of texaco gasification fine slag: Quality distinction and selective distribution of trace elements[J]. ACS Omega,2020,41(5):26883−26893. doi: 10.1021/acsomega.0c04126 
- 
			
                    [22]
                
			PAN C C, LIANG Q F, GUO X L, DAI Z H, LIU H F, GONG X. Characteristics of different sized slag particles from entrained-flow coal gasification[J]. Energy Fuels,2016,30(2):1487−1495. doi: 10.1021/acs.energyfuels.5b01326 
- 
			
                    [23]
                
			LIN Q, GUET J M. Characterization of coals and macerais by X-ray diffraction[J]. Fuel,1990,69(7):821−825. doi: 10.1016/0016-2361(90)90224-E 
- 
			
                    [24]
                
			JAWHANi T, ROID A, CASADO J. Raman spectroscopic characterization of some commercially available carbon black materials[J]. Carbon,1995,33(11):1561−1565. doi: 10.1016/0008-6223(95)00117-V 
- 
			
                    [25]
                
			DIPPEL B, JANDER H, HEINTZENBERG J. NIR FT Raman spectroscopic study of Name soot[J]. Phys Chem Chem Phys,1999,1:4707−4712. doi: 10.1039/a904529e 
- 
			
                    [26]
                
			SFOMA M C, ZUILEN M V, PHILIPPOT P. Structural characterization by Raman hyperspectral mapping of organic carbon in the 3.46 billion-year-old Apex chert, Western Australia[J]. Geochim Cosmochim Acta,2014,124(1):18−33. 
- 
			
                    [27]
                
			WU J Z, WANG B F, CHENG F Q. Thermal and kinetic characteristics of combustion of coal sludge[J]. J Therm Anal Calorim,2017,129(3):1899−1909. doi: 10.1007/s10973-017-6341-1 
- 
			
                    [28]
                
			WANG X B, LI S S, ADEOSUN A, LI Y, VUJANOVIC, M;TAN H Z;DUIC, N. Effect of potassium-doping and oxygen concentration on soot oxidation in O2/CO2 atmosphere: A kinetics study by thermogravimetric analysis[J]. Energy Conv Manag,2017,149:686−697. doi: 10.1016/j.enconman.2017.01.003 
- 
			
                    [29]
                
			葛庆仁. 气固反应动力学[M]. 北京: 原子能出版社, 1991: 46−50.GE Qing-ren. Gas Solid Reaction Kinetics[M]. Beijing: Atomic Energy Press, 1991: 46−50. 
- 
			
                    [30]
                
			梁爱云, 惠世恩, 徐通模, 赵钦新, 周屈兰, 谭厚章, 孙鹏. 几种生物质的TG-DTG分析及其燃烧动力学特性研究[J]. 可再生能源,2008,26(4):56−61. doi: 10.3969/j.issn.1671-5292.2008.04.014LIANG Ai-yun, HUI Shi-en, XU Tong-mo, ZHAO Qin-xin, ZHOU Qu-lan, TAN Hou-zhang, SUN Peng. TG-DTG analysis and combustion kinetics characteristic study on several kinds of biomass[J]. Renewable Energy Resour,2008,26(4):56−61. doi: 10.3969/j.issn.1671-5292.2008.04.014 
 
- 
			
                    [1]
                
			
- 
							
    
    
    表 1 样品的工业分析与元素分析 Table 1. Proximate and ultimate analyses of the sample Proximate analysis wd/% Ultimate analysis wd/% V FC A C H N S O* 6.96 12.43 80.61 16.33 0.71 0.08 1.51 0.76 note: V:volatile matter; FC:fixed carbon; d:dry basis; *:calculated by difference 表 2 样品的灰分组成 Table 2. Ash composition of the sample Compositions w/% SiO2 Al2O3 Fe2O3 CaO Na2O K2O MgO others 59.04 16.95 7.60 6.02 2.06 2.49 3.48 2.36 表 3 样品的烧失量 Table 3. Burn loss of samples LOI Size fraction/mm Mass before combustion/g Mass after combustion/g LOI/% <0.125 1.00024 0.84343 15.68 0.125−0.250 1.00023 0.81071 18.95 >0.250 1.00026 0.87678 12.34 表 4 不同粒级GSPZ的比表面积及孔径分析 Table 4. BET test results of size-segmented GSPZ Size fraction/mm BET surface area/(m2·g−1) Micropore area/(m2·g−1) Mesoporous and macroporous area/(m2·g−1) <0.125 81.085 11.046 70.039 0.125−0.250 87.871 14.080 73.792 >0.250 37.004 5.385 31.620 表 5 不同粒级GSPZ的微晶结构参数 Table 5. Microcrystalline structure parameters of size-segmented GSPZ <0.125 mm 0.125−0.250 mm >0.250 mm d002/Å 3.411 3.414 3.395 d100/Å 2.074 2.048 2.052 θ002/(°) 26.101 26.079 26.231 θ100/(°) 43.609 44.194 44.091 β002/(°) 0.175 0.107 0.22 β100/(°) 0.107 0.394 0.232 Lc(002)/Å 14.602 23.146 14.462 La(100)/Å 28.452 7.359 12.291 g/% 33.5 30.2 52.9 表 6 不同粒级GSPZ的拉曼光谱峰面积参数 Table 6. Raman band area parameter of size-segmented GSPZ < 0.125 mm 0.125−0.250 mm > 0.250 mm G 15736.65 14421.64 28948.20 D1 44241.26 44921.93 72385.62 D2 6319.80 11776.67 5241.44 D3 4298.84 2697.58 5448.12 D4 10792.46 15172.95 16018.01 ID1/IG 2.81 3.12 2.50 IG/IAll 0.19 0.16 0.23 表 7 不同升温速率下不同粒级GSPZ的燃烧特性参数 Table 7. Characteristic parameters of combustion of size-segmented GSPZ at different heating rate Size fraction /mm Heating rate /(℃·min−1) ti/℃ th /℃ Wmax/(%·min−1) Wmean/(%·min−1) Ai/% Ah/% S/(%2·min −2·℃−3) <0.125 10 539.45 785.74 −0.13 −0.462 98.54 87.17 2.62×10−10 0.125−0.250 10 544.40 790.47 −0.14 −0.539 98.55 85.02 3.28×10−10 > 0.250 10 549.13 793.70 −0.10 −0.450 98.37 87.21 1.90×10−10 <0.125 15 562.47 786.38 −0.11 −0.705 98.74 88.04 3.16×10−10 0.125−0.250 15 557.41 814.79 −0.15 −0.884 98.39 82.86 5.36×10−10 >0.250 15 564.83 817.79 −0.08 −0.575 99.00 89.16 1.79×10−10 <0.125 20 559.88 794.53 −0.10 −0.810 98.08 87.60 3.55×10−10 0.125−0.250 20 561.17 855.00 −0.13 −0.901 98.02 83.81 4.71×10−10 >0.250 20 563.54 814.13 −0.07 −0.642 98.30 89.87 1.81×10−10 表 8 不同升温速率下不同粒级GSPZ的动力学参数 Table 8. Combustion kinetic parameters of size-segmented GSPZ at different heating rate Size fraction /mm Heating rate /(℃·min−1) E/(kJ·mol−1) A/ s−1 R2 <0.125 10 39.24 5.194 0.92 0.125−0.250 10 37.91 6.767 0.92 >0.250 10 39.44 2.047 0.99 <0.125 15 40.67 4.901 0.93 0.125−0.250 15 39.23 6.805 0.93 >0.250 15 50.04 0.873 0.99 <0.125 20 39.01 9.676 0.97 0.125−0.250 20 37.52 10.917 0.94 >0.250 20 40.79 4.246 0.98 
- 
							
							  
 扫一扫看文章
						扫一扫看文章
					计量
- PDF下载量: 48
- 文章访问数: 5686
- HTML全文浏览量: 1012

 
				 下载:
下载: 
						 
						 
						 
						 
						 
						 
						 
						 
						 
							 下载:
下载: 
				 
            