 
						
						 
				
			
			Citation: Ya-jie LIU, Zhen-hui LIANG, Xing LIU, Li-jing YUAN. Progress of selective ring-opening reaction of decalin[J]. Journal of Fuel Chemistry and Technology, 2022, 50(5): 576-582. doi: 10.1016/S1872-5813(21)60186-X
 
				
			
			十氢萘选择性开环反应的研究进展
English
Progress of selective ring-opening reaction of decalin
- 
								Key words:
								
- decalin
- / catalyst
- / selective ring opening
- / reaction mechanism
- 
									
	
			
				
		
					
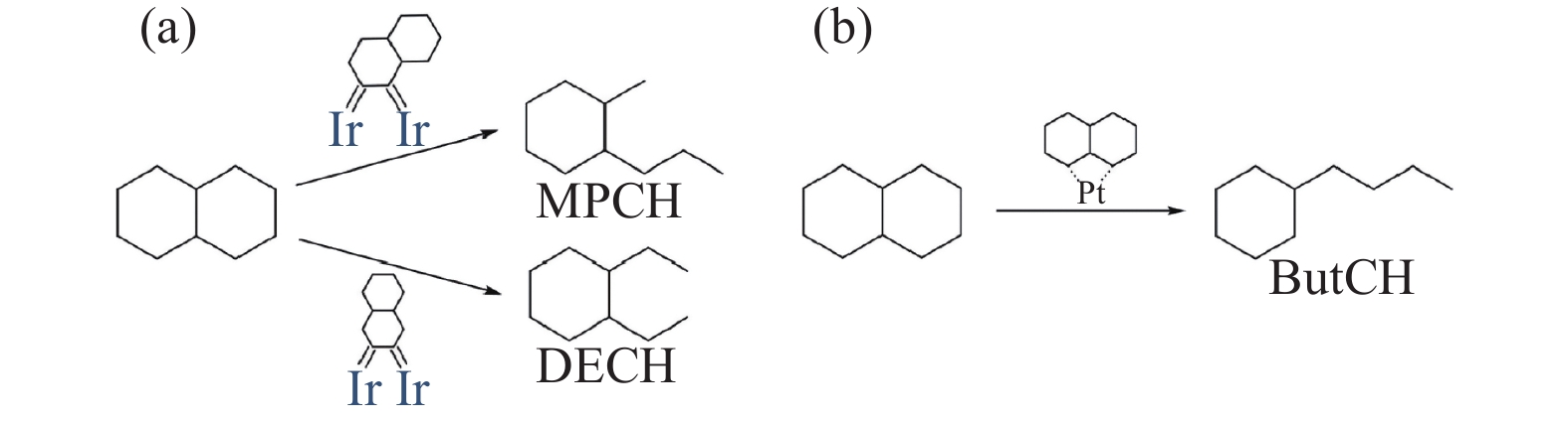
							随着中国经济的快速发展,石油消耗日益增长,催化裂化轻循环油(LCO)的利用逐渐引起人们的重视,然而,LCO具有芳烃含量高、密度大、十六烷值低以及硫氮含量高等缺点,无法直接作为柴油使用[1],需要进一步的加氢处理。目前,中国对LCO的加氢工艺研究较为成熟,可达到脱硫、脱氮和脱芳烃的目的[2, 3],但处理后的油品环烷烃含量较高、十六烷值(CN)较低,无法满足车用柴油国六最低标准(CN ≥ 47)[4]。 通过对柴油中饱和烷烃进行选择性开环反应生成单支链烷烃或直链烷烃可将柴油十六烷值提高至60以上,同时可避免烷烃裂解而引起柴油收率下降[5],因此,对饱和环烷烃进行选择性开环是提高柴油十六烷值的有效途径[1]。十氢萘作为典型的饱和双环化合物,常被作为探针分子用于选择性开环反应机理的研究,通过研究十氢萘选择性开环的反应机理,可深入认识柴油中饱和烷烃选择性开环的反应规律,以有效提高柴油辛烷值、改善优品质量。 1. 十氢萘的分子结构如图1所示,十氢萘存在两种异构体,分别为反式十氢萘和顺式十氢萘,反式十氢萘的反应活性明显低于顺式十氢萘,这与两者的空间结构直接相关,反式十氢萘(0.52 nm × 0.76 nm × 1.00 nm)的分子尺寸略大于顺式十氢萘分子(0.56 nm × 0.67 nm × 0.88 nm)[6]。顺式十氢萘中的第二个六元环通过一个平伏键和一个轴向键与第一个六元环相连,这个键通过1,3-轴向干涉受到范德华斥力作用,而反式十氢萘中的两个六元环通过两个平伏键相连。此外,从分子结构来看,顺式十氢萘中暴露出更多的叔碳原子,因而顺式十氢萘活性比反式十氢萘更高。 图 1 图 1. 十氢萘结构式(a)反式十氢萘,(b)顺式十氢萘Figure 1. Spatial structure of decalin (a): trans-decalin; (b): cis-decalin 图 1. 十氢萘结构式(a)反式十氢萘,(b)顺式十氢萘Figure 1. Spatial structure of decalin (a): trans-decalin; (b): cis-decalin2. 十氢萘选择性开环的反应机理十氢萘在不同催化剂上选择性开环的反应机理不同,具体有:在单功能酸性催化剂上的碳正离子机理[5, 7]、单功能金属催化剂上的氢解反应机理[5]以及在酸性-金属双功能催化剂[8, 9]上的双功能开环反应机理。 2.1 碳正离子机理Kubička等[7]研究了十氢萘在不同孔径和酸性分子筛上的开环反应,并提出十氢萘在单功能酸性催化剂上反应的碳正离子机理。研究发现,在低转化率下该反应只有异构产物,说明十氢萘在反应过程中首先进行异构反应;随着转化率升高,异构产物逐渐减少,开环产物逐渐增加,说明开环反应是异构产物的二次反应。同时该学者提出十氢萘在单功能酸性催化剂上的选择性开环反应路径(如图2所示),即B酸位(Brønsted酸位)攻击十氢萘使其成为碳正离子;碳正离子进行骨架异构生成异构产物,异构产物通过β-断裂生成烷基环烷烃碳正离子;最后烷基环烷烃碳正离子发生脱附,并生成开环产物。 图 2Moraes等[5]基于WO3/Al2O3单功能酸性催化体系,也发现在十氢萘开环反应过程中异构反应先于开环反应,且在相同反应条件下,催化剂酸性越强,十氢萘转化率越高,这说明催化剂的酸性对十氢萘的转化率有重要影响。同时,研究发现,单功能酸性催化体系中生成的开环产物通常含有多个支链,不能有效提升柴油的十六烷值,部分异构产物和开环产物的十六烷值如表1所示。 表 1 表 1 部分典型异构产物和开环产物的十六烷值Table 1. Cetane number of some typical isomerized products and ring-opening products 表 1 部分典型异构产物和开环产物的十六烷值Table 1. Cetane number of some typical isomerized products and ring-opening productsIsomers One-ring-opening products Two-ring-opening products     Yuan等[10]研究了WO3/Al2O3-USY催化剂对十氢萘开环反应的影响。结果发现,随着十氢萘转化率的提高,异构产物和开环产物的选择性均呈现先升高后降低的趋势,而裂解产物的选择性一直升高,这说明裂解产物是异构反应和开环反应的二次反应产物。同时,研究发现,采用反顺比为3的十氢萘作为原料时,随着反应的进行,十氢萘的反顺比逐渐提高至8左右,这说明顺式十氢萘活性更高,更容易发生开环反应。 Santikunaporn等[11]通过氨离子交换对Y型分子筛酸性改性后,开展了十氢萘选择性开环反应的催化性能评价。研究发现,反应初期碳十产物收率与催化剂强B酸量呈正相关,随着反应的进行,强B酸含量高的催化剂迅速失活。 十氢萘在单功能酸性催化剂转化率较高,但催化剂的强酸位容易导致开环产物进一步裂解生成裂解产物,最终导致开环产物收率下降。此外,十氢萘在单功能酸性催化剂反应过程中生成的开环产物支链较多,其提高柴油十六烷值的能力有限。 2.2 氢解裂化机理十氢萘在单功能金属催化剂上的氢解裂化主要包含三个步骤:十氢萘吸附脱氢、C−C键断裂和产物加氢脱附。根据金属活性位对十氢萘吸附位置的不同,可分为dicarbene机理[1, 12]和metallocyclobutane机理[13]。 Moraes等[5]发现,十氢萘在Ir-Al2O3单功能金属催化剂上的开环路径及反应产物与在WO3/Al2O3上时完全不同,而且催化反应活性低于单功能酸性催化剂。研究发现,在低转化率下,开环产物主要为甲基-丙基环己烷(MPCH)和二乙基环己烷(DECH),其比例约为2∶1,符合在dicarbene机理下的开环产物分布。此外,在开环产物中也发现少量正丁基-环己烷,该产物符合metallocyclobutane机理下的开环产物分布。 Gault等[13]研究了低Ir/Al2O3和Pt/Al2O3催化剂对甲基环戊烷的开环反应路径。研究认为,Ir/Al2O3催化剂在开环反应中遵循dicarbene机理,开环产物为MPCH和DECH,其开环路径如图3(a)所示;Pt/Al2O3催化剂上的开环路径与metallocyclobutane机理一致,开环产物为丁基环己烷(ButCH),其开环路径如图3(b)所示。该结果与环烷烃在两种催化剂上的吸附脱氢方式有关,其在Ir表面垂直吸附,而在Pt表面平行吸附。此外,研究发现,Ir/Al2O3催化剂的反应活性和开环选择性高于Pt/Al2O3催化剂,这也与反应物在金属活性相表面的吸附方式有关,反应物垂直吸附于Ir表面,CH2−CH2键更容易发生吸附脱氢反应,有利于催化反应活性的提高;而平行吸附于Pt表面的反应物容易受阻,导致了较低的催化反应活性。 Kustov等[14]研究了不同制备方法的Pt-Ru/SiO2单功能金属催化剂在十氢萘选择性开环反应中的催化性能,并与Ru/SiO2催化剂相比较。结果发现,基于分步浸渍法制备的Pt-Ru/SiO2催化剂比共浸渍催化剂表现出较高的反应活性;转化率达50%时,Ru/SiO2催化剂所需的反应温度最低。此外,添加Pt有利于提高十氢萘开环产物的选择性。 图 3综上可知,单功能金属催化剂在十氢萘选择性开环反应中表现出开环选择性高、支链少等优点,但催化活性较差、十氢萘转化率较低,不利于工业应用。 2.3 双功能开环反应机理双功能催化剂是指将活性金属负载到酸性载体的催化剂,将双功能催化剂应用于十氢萘选择性加氢反应,具有催化活性高、开环产物支链少、开环产物十六烷值高和裂解产物低等优点,因此,现阶段对十氢萘选择性开环反应的催化体系研究主要集中在双功能催化剂。相关学者提出基于双功能催化剂的十氢萘开环反应机理[8, 9, 15],研究认为,十氢萘首先在金属位进行脱氢反应生产脱氢产物,脱氢产物在B酸位缩聚生成脱氢异构中间体,随后B酸位攻击脱氢异构中间体并生成碳正离子,再通过骨架转移、氢转移和β-断裂后生成烷基环烷烃碳正离子,最后金属位对烷基环烷烃碳正离子进行加氢生成开环产物[9],图4为十氢萘在双功能催化剂上的反应路径示意图。 图 4Kubička等[9]通过Pt对H-Y分子筛进行改性,并研究了在十氢萘选择性开环反应中的催化性能。研究发现,负载Pt的分子筛催化剂强B酸位的含量明显降低,其异构反应速率和开环反应速率比未改性分子筛催化剂分别提高3倍和5倍,而且由于强B酸位含量的减少,改性后的催化剂上裂解产物的选择性也明显降低。同时研究发现,较大的氢分压对异构反应和开环反应无明显影响,但对裂解反应起到抑制作用。该研究提出单功能酸性催化剂和双功能催化剂对十氢萘选择性开环遵循两种不同的反应机理。 Kangas等[16]研究了Pt/H-β催化剂对十氢萘的开环反应路径,认为开环产物主要由异构产物生成,即开环产物为异构产物的二次反应产物,同时发现,开环反应过程中的中间体主要为2-D缩聚异构物,而3-D异构物的反应活化能最高。 Moraes等[8]制备了Ir/WO3/Al2O3催化剂并通过调变WO3含量以控制催化剂B酸位含量。研究发现,十氢萘开环通过两条反应路径进行开环反应,两条开环路径的比例与催化剂强B酸位含量直接相关,当强B酸位含量低时,其开环路径与单功能金属催化剂一致;当强B酸位含量高时,其开环路径遵循双功能开环机理。 D'Ippolito等[17]制备了Rh-Pd和Rh基双功能催化剂,并进行了十氢萘选择性开环反应性能评价。结果发现,Rh基催化剂的氢解活性和强B酸位高于Rh-Pd基催化剂,而Rh-Pd催化剂的脱氢活性高于Rh基催化剂,因此,Rh基催化剂的反应活性和开环产物选择性高于Rh-Pd基催化剂。 Benitez等[18]制备了Pt-Ir/Nb2O5催化剂应用于十氢萘选择性开环反应,并采用环己烷和环戊烷作为模型化合物,对Pt/Nb2O5、Ir/Nb2O5和Pt-Ir/Nb2O5催化剂的脱氢和氢解性能进行研究。结果发现,Pt具有较强的脱氢活性,而Ir具有较强的氢解活性,在十氢萘开环反应中,Pt-Ir/Nb2O5催化剂中Pt含量的增加会提高催化剂的脱氢活性并降低氢解活性,导致反应产物中开环产物减少、脱氢产物增加。在系列催化剂中,Ir/Nb2O5催化剂在十氢萘开环反应中表现出最高的开环产物选择性和最低的脱氢产物选择性。 Monteiro等[15]研究了不同金属负载量的Pt/H-β催化剂对十氢萘开环反应的影响。结果发现,异构产物收率和开环产物收率随着金属Pt负载量的增加先提高后保持不变,进一步研究表明,在金属负载量低时,开环反应速控步骤由金属位控制;当金属负载量高时,开环反应速控步骤由酸性位控制。十氢萘在双功能催化剂上由金属位和酸性位协同作用进行选择性开环反应。 Felice等[19]研究了NiWS/SiO2-Al2O3催化剂对十氢萘选择性开环反应的影响,并考察了含硫气氛对催化剂性能的影响。结果发现,在该催化体系下,硫化态催化剂的加氢活性较低,开环反应主要由酸性位控制,其产物主要为异构产物和裂解产物,开环产物选择性较低。研究还发现,H2S含量对十氢萘选择性开环反应转化率和产物选择性没有明显影响,说明NiWS/SiO2-Al2O3催化剂有良好的抗硫能力。 Blanco等[20]通过GC × GC-MS详细考察了Ir/NaLa-Y和NiWS/SiO2-Al2O3催化剂对十氢萘开环产物的选择性及H2S对催化剂性能的影响。研究发现,贵金属催化剂开环选择性明显高于NiWS催化剂,这是由于Ir的加氢活性高于NiWS。此外,研究还发现,掺杂H2S降低了Ir/NaLa-Y催化剂反应活性,致使异构产物选择性增高,而开环产物选择性降低。图5所示为通过GC × GC-MS技术考察Ir催化剂对十氢萘开环选择性及耐硫性的影响示意图。 图 5Suárez等[21]制备了Pt和Ir负载的Cs改性β分子筛双功能催化剂并应用于十氢萘选择性开环反应。研究发现,Ir/Cs-β催化剂对十氢萘的转化率和开环产物选择性都高于Pt/Cs-β催化剂,但相较于Ir/Cs-β催化剂,Pt/Cs-β催化剂对十氢萘的开环产物支链更少,十六烷值更高,如图6所示。此外,根据开环产物和裂解产物结果分析,Ir/Cs-β催化剂在断裂十氢萘C−C键时遵循dicarbene机理,而Pt/Cs-β催化剂在断裂十氢萘C−C键时遵循metallocyclobutane机理。 图 6 图 6. 十氢萘在Ir(Pt)/Cs-β催化剂上转化率为30%−40%时开环产物分布[21]Figure 6. Distribution of ring-opening products when the conversion rate of decalin on Ir(Pt)/Cs-β catalyst is 30%−40%[21] 图 6. 十氢萘在Ir(Pt)/Cs-β催化剂上转化率为30%−40%时开环产物分布[21]Figure 6. Distribution of ring-opening products when the conversion rate of decalin on Ir(Pt)/Cs-β catalyst is 30%−40%[21](a) Single ring-opening product distribution; (b) Double ring-opening product distribution(with permission from Royal Society of Chemistry) 3. 工艺条件对反应的影响3.1 反应温度十氢萘的转化率随温度的升高而增加。杨浩天[22]在考察十氢萘选择性开环反应时发现,当反应温度较低时,随着反应温度的升高,开环产物收率逐渐增加;当反应温度进一步升高,开环产物的收率逐渐下降,并生成大量裂解产物。这是由于反应温度升高后,开环产物进一步发生了裂解,当开环产物的生成速率小于其裂解速率时,开环产物的收率将随着反应温度的升高迅速降低。 孙堂旭[23]在考察温度对十氢萘选择性开环的研究中发现,十氢萘在低转化率下,仅有异构产物生成,随着转化率不断提高,异构产物和开环产物收率分别在250和270 ℃达到峰值,当反应温度超过300 ℃时,异构产物和裂解产物全部裂化生成小分子裂解产物。 3.2 载体酸性催化剂的酸性对十氢萘选择性开环反应有着重要影响。Kubička等[9]研究了无B酸位的Pt/VPI-5催化剂对十氢萘选择性开环反应的影响,研究并未发现异构反应和开环反应。Moraes等[8]制备了不同W含量的WO3/Al2O3催化剂,对十氢萘选择性开环反应进行评价。研究发现,低WO3含量的催化剂B酸位较低,其对十氢萘转化率也较低。张串串等[24]通过盐酸对Pt/Beta催化剂进行调控催化剂载体的B酸和L酸(Lewis酸)的分布并用于十氢萘选择性开环研究,结果发现,B酸位对十氢萘选择性开环反应影响较大,载体酸性越强越容易导致催化剂失活。其中,0.1 mol/L盐酸处理得到的催化剂酸性适中,反应活性及开环产物收率最高。以上结果说明,催化剂的B酸位对十氢萘选择性开环反应起着至关重要的作用。 3.3 分子筛孔径一般认为催化剂中分子筛的孔径尺寸和结构对十氢萘选择性开环反应的产物分布有直接影响。分子筛孔径过小,十氢萘分子难以进入分子筛孔道内部,反应转化率低;分子筛孔径过大时,反应物分子在分子筛内停留时间太长,容易使得开环产物发生二次裂解,导致开环产物收率下降[25]。此外,分子筛的结构也对开环产物有择型效应[7, 26]。 袁帅等[27]通过分子模拟计算了多种环烷烃和芳烃分子的扩散能垒关系。经模拟计算,十氢萘的最低能量构象尺寸为0.542 nm × 0.729 nm × 0.901 nm,与萘分子的能量构象尺寸(0.341 nm × 0.730 nm × 0.907 nm)相近。Sousa等[28]认为,Y分子筛孔径较大,十氢萘在该分子筛内反应不受扩散限制。Mostad等[29]研究了多种载体对十氢萘催化裂解反应。研究发现,Y型分子筛表现出良好的择型效应,同时十氢萘转化率与载体孔径呈正相关。Kubička等[7]考察了不同分子筛对十氢萘选择性开环反应的活性和寿命。研究发现,H-β分子筛的寿命要高于H-Y分子筛,这是由于H-Y分子筛孔径更大,允许较大的含碳中间体在孔道内生成有关。此外,研究发现开环产物的种类也与孔道结构有关。 4. 研究不足之处双功能贵金属催化剂对十氢萘选择性开环反应转化率和开环产物选择性高,因此,目前,主要的研究集中在贵金属催化剂体系。然而在工业应用中,油品在加氢后仍含有一定的硫,贵金属催化剂容易硫中毒且价格昂贵[30],此外,十氢萘选择性开环反应非常复杂,二次反应难以避免,对选择性开环反应机理的研究带来较大困难。 大多数学者主要通过改变反应温度和空速等条件降低十氢萘反应转化率,根据低转化率下反应产物的分布推断选择性开环的反应机理,更为深入的讨论报道极少。同时,现阶段欠缺金属活性位对十氢萘选择性开环反应过程中吸附脱氢方式的原位表征手段,缺乏金属活性位与十氢萘结合行为的直接证据。 5. 结 论十氢萘在不同催化剂体系下选择性开环反应机理不同。在单功能酸性催化剂下,十氢萘主要通过质子脱氢、骨架异构和β-断裂生成开环产物;在单功能金属催化剂下,十氢萘主要通过吸附脱氢、C−C键断裂和产物加氢脱附生成开环产物,而且不同金属对十氢萘吸附脱氢位置不同,从而导致开环产物分布有明显区别;在双功能催化剂下,十氢萘主要通过在金属位吸附脱氢,在酸性位骨架转移、氢转移和β-断裂,最后在金属位加氢生成开环产物。 反应温度、催化剂酸性和孔径对十氢萘的转化率和开环产物分布有重要影响。十氢萘的转化率随反应温度升高、随强B酸位含量的增加而升高,但过高的转化率会导致开环产物二次裂解,因此,需要合理调控十氢萘转化率以获得最高开环产物收率。Y型分子筛和β分子筛对十氢萘选择性开环反应均表现出良好的择型效应。 目前,对十氢萘选择性开环反应的机理研究主要是通过反应产物的分布倒推开环机理,采用先进的原位表征手段有助于更好的认识十氢萘选择性开环反应机理。现阶段十氢萘选择性开环反应的研究主要集中在贵金属负载分子筛催化剂,少有关于过渡金属催化剂的相关研究,开展过渡金属催化剂对十氢萘选择性开环反应的研究,可以更好的指导催化剂在工业上的应用。 
 
- 
							
- 
			
                    [1]
                
			MCVICKER G B, DAAGE M, TOUVELLE M S, HUDSON C W, KLEIN D P, BAIRD W C, COOK B R, CHEN J G, HANTZER S, VAUGHAN DEW. Selective ring opening of naphthenic molecules[J]. J Catal,2002,210(1):137−148. doi: 10.1006/jcat.2002.3685 
- 
			
                    [2]
                
			孙晨晨. 柴油芳烃加氢饱和及其选择性开环的研究[D]. 西安: 西安石油大学, 2016.SUN Chen-chen. Study on hydrogenation saturation and selective ring opening of diesel aromatics[D]. Xi'an: Xi'an Shiyou University, 2016. 
- 
			
                    [3]
                
			WANG Q, FAN H L, WU S X, ZHANG Z F, ZHANG P, HAN B X. Water as an additive to enhance the ring opening of naphthalene[J]. Green Chem,2012,14(4):1152−1158. doi: 10.1039/c2gc16554f 
- 
			
                    [4]
                
			DO P, ALVAREZ W, RESASCO D. Ring opening of 1, 2- and 1, 3-dimethylcyclohexane on iridium catalysts[J]. J Catal,2006,238(2):477−488. doi: 10.1016/j.jcat.2005.12.021 
- 
			
                    [5]
                
			MORAES R, THOMAS K, THOMAS S, DONK S V, GRASSO G, GILSON J P, HOUALLA M. Ring opening of decalin and methylcyclohexane over alumina-based monofunctional WO3/Al2O3 and Ir/Al2O3 catalysts[J]. J Catal,2012,286:62−77. doi: 10.1016/j.jcat.2011.10.014 
- 
			
                    [6]
                
			MOSTAD H, RIIS T, ELLESTAD O. Catalytic cracking of naphthenes and naphtheno-aromatics in fixed bed micro reactors[J]. J Catal,1990,1(63):345−364. 
- 
			
                    [7]
                
			KUBIČKA D, KUMAR N, MÄKI-ARVELA P, TIITTA M, NIEMI V, SALMI T, MURZIN D Y. Ring opening of decalin over zeolites: I. Activity and selectivity of proton-form zeolites[J]. J Catal,2004,222(1):65−79. doi: 10.1016/j.jcat.2003.10.027 
- 
			
                    [8]
                
			MORAES R, THOMAS K, THOMAS S, DONK S V, GRASSO G, GILSON J P, HOUALLA M. Ring opening of decalin and methylcyclohexane over bifunctional Ir/WO3/Al2O3 catalysts[J]. J Catal,2013,299:30−43. doi: 10.1016/j.jcat.2012.11.017 
- 
			
                    [9]
                
			KUBIČKA D, KUMAR N, MÄKI-ARVELA P, TIITTA M, NIEMI V, KARHU H, SALMI T, MURZIN D Y. Ring opening of decalin over zeolites: II. Activity and selectivity of platinum-modified zeolites[J]. J Catal,2004,227(2):313−327. doi: 10.1016/j.jcat.2004.07.015 
- 
			
                    [10]
                
			YUAN L J, GUO S Q, LI Z R, CUI H T, DONG H Y, ZHAO L F, WANG J W. Ring opening of decalin over bifunctional Ni-W carbide/Al2O3-USY catalysts and monofunctional acid Ni-W oxide/Al2O3-USY[J]. RSC Adv,2017,7(16):9446−9455. doi: 10.1039/C6RA27378E 
- 
			
                    [11]
                
			SANTIKUNAPORN M, HERRERA J E, JONGPATIWUT S, RESASCO E D, ALVAREZ E W, SUGHRUE E L. Ring opening of decalin and tetralin on HY and Pt/HY zeolite catalysts[J]. J Catal,2004,228(1):100−113. doi: 10.1016/j.jcat.2004.08.030 
- 
			
                    [12]
                
			SANTANA R, DO P, SANTIKUNAPORN M. Evaluation of different reaction strategies for the improvement of cetane number in diesel fuels[J]. Fuel,2006,85(5/6):643−656. doi: 10.1016/j.fuel.2005.08.028 
- 
			
                    [13]
                
			GAULT F G. Mechanisms of skeletal isomerization of hydrocarbons on metals[J]. Adv Catal,1981,1(30):1−95. 
- 
			
                    [14]
                
			KUSTOV L M, FINASHINA E D, AVAEV V I, ERSHOV B G. Decalin ring opening on Pt-Ru/SiO2 catalysts[J]. Fuel Process Technol,2018,173:270−275. doi: 10.1016/j.fuproc.2018.02.007 
- 
			
                    [15]
                
			MONTEIRO C A A, COSTA D, ZOTIN J L, CARDOSO D. Effect of metal-acid site balance on hydroconversion of decalin over Pt/Beta zeolite bifunctional catalysts[J]. Fuel,2015,160:71−79. doi: 10.1016/j.fuel.2015.07.054 
- 
			
                    [16]
                
			KANGAS M, KUBIČKA D, SALMI T, MURZIN D Y. Reaction routes in selective ring opening of naphthenes[J]. Top Catal,2010,53(15/18):1172−1175. doi: 10.1007/s11244-010-9556-y 
- 
			
                    [17]
                
			D'IPPOLITO S A, PIRAULT-ROY L, ESPECEL C, EPRON F, PIECK L C. Selective ring opening of decalin on Rh-Pd/SiO2-Al2O3 bifunctional systems: Catalytic performance and deactivation[J]. Fuel Process Technol,2018,177:6−15. doi: 10.1016/j.fuproc.2018.04.008 
- 
			
                    [18]
                
			BENITEZ V M, DE LIMA S P, RANGEL M D C, RUIZ D, REYES P, PIECK C L. Influence of the metallic content on Pt-Ir/Nb2O5 catalysts for decalin selective ring opening[J]. Catal Today,2017,289:53−61. doi: 10.1016/j.cattod.2016.10.004 
- 
			
                    [19]
                
			DI FELICE L, CATHERIN N, PICCOLO L, LAURENTI D, BLANCO E, LECLERC E, GEANTET C, CALEMMA V. Decalin ring opening over NiWS/SiO2-Al2O3 catalysts in the presence of H2S[J]. Appl Catal A: Gen,2016,512:43−51. doi: 10.1016/j.apcata.2015.12.007 
- 
			
                    [20]
                
			BLANCO E, DI FELICE L, CATHERIN N, PICCOLO L, LAURENTI D, LORENTZ C, GEANTET C, CALEMMA V. Understanding the mechanisms of decalin hydroprocessing using comprehensive two-dimensional chromatography[J]. Ind Eng Chem Res,2016,55(49):12516−12523. doi: 10.1021/acs.iecr.6b03472 
- 
			
                    [21]
                
			SUÁREZ N, ARRIBAS M A, MORENO A, MARTINEZ A. High-performing Ir- and Pt-containing catalysts based on mesoporous beta zeolite for the selective ring opening of decalin[J]. Catal Sci Technol,2020,10(4):1073−1085. doi: 10.1039/C9CY01812C 
- 
			
                    [22]
                
			杨浩天. 十氢萘选择性加氢开环催化剂的研究[D]. 青岛: 中国石油大学(华东), 2018.YANG Hao-tian. Study on the catalyst for selective ring-opening of decalin[D]. Qingdao: China University of Petroleum (East China), 2018. 
- 
			
                    [23]
                
			孙堂旭. 十氢萘选择性开环反应的研究[D]. 天津: 天津大学, 2012.SUN Tang-xu. Study on the selective ring opening of decalin [D]. Tianjin: Tianjin University, 2012. 
- 
			
                    [24]
                
			张串串, 王庆法. 酸处理Beta分子筛对十氢萘加氢开环反应影响[J]. 化学工业与工程,2017,34(2):16−20.ZHANG Chuan-chuan, WANG Qing-fa. Influence of acid treatment on the selective ring opening of decalin over Beta zeolite[J]. Chem Ind Eng,2017,34(2):16−20. 
- 
			
                    [25]
                
			刘新林, 许友好, 崔守业. 催化剂粒径分布对催化裂化产物选择性的影响[J]. 石油炼制与化工,2011,2(42):42−46.LIU Xin-lin, XU You-hao, CUI Shou-ye. Effect of catalyst particle size distribution on the selectivity of catalytic cracking products[J]. Pet Process Petrochem,2011,2(42):42−46. 
- 
			
                    [26]
                
			AL-SABAWI M, DE LASA H. Influence of zeolite crystallite size on methyl-cyclohexane catalytic conversion products[J]. Fuel,2012,96:511−523. doi: 10.1016/j.fuel.2012.01.065 
- 
			
                    [27]
                
			袁帅, 龙军, 周涵, 田辉平, 赵毅. 芳烃、环烷烃分子在MFI和FAU分子筛中扩散行为的分子模拟[J]. 石油学报(石油加工),2011,27(4):508−515.YUAN Shuai,LONG Jun,ZHOU Han,TIAN Hui-ping,ZHAO Yi. Molecular Simulation for the Diffusion Characteristics of Aromatic and Naphthenic Hydrocarbons in the Channel of MF1 and FAU Zeolites[J]. Acta Pet Sin (Pet Process Sect),2011,27(4):508−515. 
- 
			
                    [28]
                
			SOUSA-AGUIAR E F, MOTA C J A, VALLE M L M, DA SILVA M P, DA SILVA D F. Catalytic cracking of decalin isomers over REHY-zeolites with different crystallite sizes[J]. J Mol Catal A: Chem,1996,104(3):267−271. doi: 10.1016/1381-1169(95)00149-2 
- 
			
                    [29]
                
			MOSTAD H B, RIIS T U, ELLESTAD O H. Shape selectivity in Y-zeolites: Catalytic cracking of decalin-isomers in fixed bed micro reactors[J]. Appl Catal,1990,58(1):105−117. 
- 
			
                    [30]
                
			BLANCO E, PICCOLO L, LAURENTI D, DI FELICE LUCA, CATHERIN N, LORENTZ C, GEANTET C, CALEMMA V. Effect of H2S on the mechanisms of naphthene ring opening and isomerization over Ir/NaY: A comparative study of decalin, perhydroindan and butylcyclohexane hydroconversions[J]. Appl Catal A: Gen,2018,550:274−283. doi: 10.1016/j.apcata.2017.11.020 
 
- 
			
                    [1]
                
			
- 
							
    
    
    图 6 十氢萘在Ir(Pt)/Cs-β催化剂上转化率为30%−40%时开环产物分布[21] Figure 6 Distribution of ring-opening products when the conversion rate of decalin on Ir(Pt)/Cs-β catalyst is 30%−40%[21] (a) Single ring-opening product distribution; (b) Double ring-opening product distribution(with permission from Royal Society of Chemistry) 表 1 部分典型异构产物和开环产物的十六烷值 Table 1. Cetane number of some typical isomerized products and ring-opening products Isomers One-ring-opening products Two-ring-opening products     
- 
							
							  
 扫一扫看文章
						扫一扫看文章
					计量
- PDF下载量: 27
- 文章访问数: 4884
- HTML全文浏览量: 749

 
				 下载:
下载: 
						 
						 
						 
						 
						 
							 下载:
下载: 
				 
            