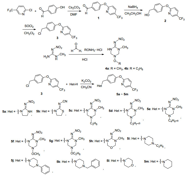
图 图式1
目标化合物5的合成路线
Figure 图式1.
The synthetic route of title compounds 5
Citation: Dai Hong, Chen Jia, Cao Xiongfei, Miao Wenke, Shi Yujun, Fang Jianxin, Ye Linyu, Zhong Sulin. Synthesis and Bioactivity of Novel Pyridine Phenyl Ethers Bearing N-heterocycles[J]. Chinese Journal of Organic Chemistry, 2015, 36(2): 377-383. doi: 10.6023/cjoc201510020
新型含氮杂环结构的吡啶苯醚类化合物的合成与生物活性研究
English
Synthesis and Bioactivity of Novel Pyridine Phenyl Ethers Bearing N-heterocycles
-
Key words:
- N-heterocycle
- / pyridine phenyl ether
- / synthesis
- / bioactivity
-
二芳基醚类衍生物是一类重要的有机化合物, 因其具有良好的杀菌、杀虫、除草、植物生长调节、抗肿瘤等活性而倍受化学家与药物学家的关注, 二芳基醚类化合物在农药、医药领域具有广泛的应用[1~10].近年来不少研究表明, 由于吡啶环的特殊效应, 用吡啶基取代二芳基醚中的一个苯环, 往往显著改善化合物的理化性质与生物活性.目前含吡啶基取代的二芳醚类衍生物现已成为新药创制研究的热点领域之一[11~14].其中已商品化的品种有吡氟禾草灵和氟吡酰草胺等[15, 16].此外, 2010年冉兆晋等报道的含吡啶苯醚结构的噻二唑类化合物对黄瓜枯萎显示出优异的杀菌作用[17]. 2010年冉兆晋等[18]合成的含吡啶苯醚结构的丙酸酯类对马唐和苘麻具有优异的除草作用.新烟碱类化合物是一类重要的乙酰胆碱酯酶受体抑制剂型杀虫剂, 其中典型性代表有吡虫啉、氯噻啉、噻虫嗪、噻虫啉、AKD-1022等, 因其具有活性高、作用快、毒性低等优点, 在农业生产上发挥着举足轻重的作用[19~22], 这些化合物分子中含有重要的1, 3-咪唑烷、1, 3-噻唑烷、1, 3, 5-三嗪、1, 3, 5-噁二嗪等杂环基团[23, 24].鉴于此, 为了进一步从吡啶苯醚类化合物中寻找与发现具有较好生物活性的先导化合物, 根据生物活性叠加原理, 将咪唑烷、噻唑烷、三嗪、噁二嗪等含氮杂环结构与含吡啶基二芳醚单元有机衔接在一起, 设计合成了一系列未见文献报道的新型含氮杂环结构的吡啶苯醚类衍生物.通过1H NMR、13C NMR和元素分析等方法表征了所合成化合物的结构.此外, 部分目标化合物还经IR进一步确证.初步生物活性测试结果表明, 部分目标化合物具有较好的杀虫活性, 部分化合物表现出一定的抗肿瘤活性.其合成路线如Scheme 1所示.
1 结果与讨论
1.1 化合物的合成
目标化合物5是通过中间体3与不同含氮杂环的缩合反应制备而成.以目标化合物5l的合成为研究对象, 探讨了不同的制备条件对其反应收率的影响.从表 1可以看出, 选用乙腈作溶剂, 碳酸钾作缚酸剂, 加热回流的方法, 化合物5l的收率为50%, 明显高于其它几种合成方法的收率.实验过程中发现该方法反应条件比较温和, 后处理简便.最后采用该法顺利地制备出其它的目标化合物.
表 1
不同反应条件对目标化合物5l合成产率的影响
Table 1.
The effects of reaction conditions on the synthesis of the title compound 5l
Entry Base Solvent Reaction condition Yield/% 1 Pyridine CH3COCH3 Reflux 0 2 Na2CO3 CH3COCH3 Reflux 15 3 Na2CO3 CH3CN Reflux 27 4 K2CO3 CH3CN Reflux 50 5 K2CO3 DMF t=80 ℃ 45 表 1 不同反应条件对目标化合物5l合成产率的影响
Table 1. The effects of reaction conditions on the synthesis of the title compound 5l1.2 目标化合物的图谱剖析
分别以目标化合物5a、5c的核磁氢谱与碳谱数据为例进行解析.对于化合物5a, δ在8.44处的单峰为吡啶环上一个氢的吸收峰; δ 8.19处的单峰对应于咪唑烷环上NH的氢的吸收峰; δ 7.94处的双重峰为吡啶环上一个氢的吸收峰; δ 7.38处的双重峰为苯环上两个氢的吸收峰; δ 7.16处的双重峰为苯环上两个氢的吸收峰; δ 7.05处的双重峰为吡啶环上一个氢的吸收峰; δ 4.58处的单峰为与苯基相连的CH2上两个氢的吸收峰; δ 3.81处的三重峰为咪唑烷环上一个CH2两个氢的吸收峰; δ 3.57处的三重峰对应于咪唑烷环上另外一个CH2两个氢的吸收峰; δ在45.2处的峰为与苯环相连的CH2碳原子的信号峰; δ在48.0和41.4处的峰分别对应于咪唑烷环上两个CH2碳原子的信号峰.对于化合物5c, δ在8.33处的单峰为吡啶环上一个氢的吸收峰; δ 7.86处的双重峰为吡啶环上一个氢的吸收峰; δ 7.37处的双重峰为苯环上两个氢的吸收峰; δ 7.09处的双重峰为苯环上两个氢的吸收峰; δ 6.97处的双重峰为吡啶环上一个氢的吸收峰; δ 4.62处的单峰为与苯基相连的CH2上两个氢的吸收峰; δ 4.34处的单峰为三嗪环上一个CH2两个氢的吸收峰; δ 4.26处的单峰对应于三嗪环上另外一个CH2两个氢的吸收峰; δ 3.02处的单峰对应于三嗪环NCH3上三个氢的吸收峰; δ 2.62处的四重峰对应于三嗪环NCH2CH3上CH2两个氢的吸收峰; δ 0.86处的三重峰对应于三嗪环NCH2CH3上CH3三个氢的吸收峰; δ在68.6和64.0处的峰分别对应于三嗪环上两个CH2碳原子的信号峰; δ在51.1处的峰为与苯环相连的CH2碳原子的信号峰; δ 45.5处的峰对应于三嗪环NCH2CH3上CH2碳原子的信号峰; δ 35.3处的峰对应于三嗪环NCH3上CH3碳原子的信号峰; δ 12.8处的峰对应于三嗪环NCH2CH3上CH3碳原子的信号峰.
1.3 化合物的杀虫活性
目标化合物5a~5m对小菜蛾(Plutella xylostella)、蚜虫(Aphis craccivora)、朱砂叶螨(Tetranychus cinnabarinus)和褐飞虱(Nilaparvata lugens)的生物活性结果如表 2所示.初步的生测结果表明, 大多数目标化合物对小菜蛾表现出一定的杀虫活性, 但并无明显的规律.在五元杂环中, 当含氮杂环为2-氰基亚胺基-1, 3-噻唑烷的化合物5b在测试浓度为200 μg/mL时对小菜蛾的杀死率为100%;当含氮杂环为三嗪环时, 在5-烷基取代物中, 5-正丙基取代物5d在测试浓度为200 μg/mL时对小菜蛾的防治效果(100%)要优于5-乙基取代物5c(85%)和5-正丁基取代物5e(63%); 在5-烷氧基取代物中, 化合物5f和5g在测试浓度为200 μg/mL时对小菜蛾的杀死率均达100%;当含氮杂环为取代哌嗪环时, N-苄基取代物5k在测试浓度为200 μg/mL时对小菜蛾的杀灭效果(100%)要优于N-乙基取代物5i(67%)和N-苯基取代物5j (60%).整体来看, 当含氮杂环部分为取代三嗪环的目标物对小菜蛾的防治效果要略高于含其它杂环的目标物.另外, 部分标题化合物对蚜虫也显示出一定的杀虫作用, 其中化合物5c和5f在测试浓度为200 μg/mL时对蚜虫的杀死率为45%和85%.因此, 该结构类型化合物可作进一步的结构优化, 以寻找与发现生物活性更好的化合物.
表 2
目标化合物5a~5m的杀虫与杀螨活性a
Table 2.
Insecticidal and acarcidal activities of target compounds 5a~5m at 200 μg/mL
Compd. Mortality/% Plutella xylostella Aphis craccivora Tetranychus cinnabarinus Nilaparvata lugens 5a 0 0 0 0 5b 100 24 0 0 5c 85 45 0 0 5d 100 25 0 0 5e 63 18 21 0 5f 100 85 0 0 5g 100 20 0 0 5h 0 0 0 0 5i 67 27 0 23 5j 60 22 0 0 5k 100 30 0 0 5l 0 0 0 0 5m 0 0 0 0 Pyridalyl 100 — — — Imidacloprid — 100 — 100 Fenpyroximate — — 100 — a“—” refers to “not tested”. 表 2 目标化合物5a~5m的杀虫与杀螨活性a
Table 2. Insecticidal and acarcidal activities of target compounds 5a~5m at 200 μg/mL1.4 化合物的抗肿瘤活性
目标化合物5a~5m对人胰腺癌(Panc-1)、人肝癌(HUH-7)、人结肠癌(HCT-116)和人乳腺癌(MCF-7)细胞株的体外抗肿瘤活性结果如表 3所示.测试结果显示, 部分标题化合物对四种癌细胞株具有一定的抑制效果.在五元杂环中, 当含氮杂环为2-氰基亚胺基-1, 3-噻唑烷的化合物5b对四种癌细胞株的抑制活性相对较高, 尤其是对HUH-7和MCF-7细胞株, 其IC50值分别为12.98和18.45 μmol/L, 分别与阳性对照药顺铂(Cisplatin)和5-氟尿嘧啶(5-Fluorouracil)的活性相近; 当含氮杂环为三嗪环时, 在5-烷基取代物中, 5-乙基取代物5c对Panc-1、HUH-7和MCF-7细胞株的抑制活性相对较高; 在5-烷氧基取代物中, 5-甲氧基取代物5f对Panc-1、HUH-7、HCT-116和MCF-7细胞株的抗肿瘤活性要明显优于5-乙氧基取代物5g, 其IC50值分别为8.29, 10.64, 23.48和18.31 μmol/L, 分别与阳性对照药索拉菲尼(Sorafenib), 顺铂(Cisplatin)和5-氟尿嘧啶(5-Fluorouracil)的活性相当; 当含氮杂环为取代基哌嗪环时, N-苄基取代物5k对HUH-7、HCT-116和MCF-7细胞株抑制活性要优于N-乙基取代物5i和N-苯基取代物5j, 尤其对HCT-116细胞株的抑制值IC50为13.20 μmol/L, 要高于阳性对照药5-氟尿嘧啶(5-Fluorouracil)的活性.总体来看, 化合物5f和5k对四种癌细胞株的抑制活性相对较高, 具备进一步研究的潜力.
Compd. IC50/μmol/L Panc-1 HUH-7 HCT-116 MCF-7 5a > 50 > 50 > 50 > 50 5b 15.85 12.98 36.22 18.45 5c 13.95 15.25 36.57 29.14 5d > 50 26.40 37.12 > 50 5e > 50 29.32 33.19 > 50 5f 8.29 10.64 23.48 18.31 5g > 50 40.62 36.51 > 50 5h > 50 > 50 > 50 > 50 5i 12.15 33.89 18.42 21.06 5j 27.15 23.09 35.03 30.21 5k 11.91 16.27 13.20 15.31 5l > 50 > 50 > 50 > 50 5m > 50 > 50 > 50 > 50 5-Fluorouracil — — 29.50 18.39 Cisplatin — 12.70 — — Sorafenib 11.50 — — — a“—” refers to “not tested”. 表 3 目标化合物5a~5m的体外抗肿瘤活性a
Table 3. The cytotoxicity of target compounds 5a~5m2 结论
本文运用活性亚结构拼接原理, 设计并制备了一系列新型含氮杂环结构的吡啶苯醚类衍生物.初步的生物活性测试结果显示, 部分目标物对小菜蛾和蚜虫表现出较好的杀虫活性, 其中化合物5b、5c、5d、5f、5g和5k在测试浓度为200 μg/mL时对小菜蛾的防治效果分别为100%, 85%, 100%, 100%, 100%和100%;化合物5f在测试浓度为200 μg/mL时对蚜虫的杀死率为85%.此外, 部分标题化合物对人胰腺癌、人肝癌、人结肠癌和人乳腺癌细胞株具有明显的抗肿瘤活性, 其中化合物5f和5k对人胰腺癌、人肝癌、人结肠癌和人乳腺癌细胞株的IC50值分别与阳性对照药索拉菲尼(Sorafenib), 顺铂(Cisplatin)或5-氟尿嘧啶(5-Fluorouracil)的数值相近, 具有进一步研究的价值.这为今后进一步从事吡啶苯醚类化合物的结构优化与生物活性研究提供了重要的实验数据.
3 实验部分
3.1 仪器与试剂
X-4型数字显示熔点测定仪(北京泰克仪器有限公司), 温度计未经校正; Yanaco-CHN CORDER MT-3自动元素分析仪; Bruker AM-400型核磁共振仪, 以CDCl3为溶剂, TMS为内标; Shimadzu-435型红外光谱仪(KBr压片); 柱层析硅胶为H型(青岛海洋化工厂, 200~300目).所用试剂均为分析纯.中间体4-(5-三氟甲基吡啶-2-基氧基)苯甲醛(1)按文献[25]方法制备, 4-(5-三氟甲基吡啶-2-基氧基)苯甲醇(2)和4-(5-三氟甲基吡啶-2-基氧基)苯甲基氯(3)参照文献[26, 27]方法合成.
3.2 中间体5-烷氧基-3-甲基-N-硝基-1H-1, 3, 5-三嗪-2-亚胺(4)的合成
以化合物4a的合成为例:在一250 mL反应瓶中, 加入20 mmol中间体N-甲基-N'-硝基胍、160 mmol 37%甲醛溶液及60 mL乙醇, 搅拌下向其中依次加入40 mmol甲氧基胺盐酸盐、80 mmol浓盐酸, 加毕, 将反应混合物缓慢升温至回流. TLC跟踪, 待原料点消失后停止加热.静置, 析出大量固体, 抽滤, 所得固体用乙酸乙酯重结晶得白色固体, 产率40%[28]. m.p. 158~160 ℃; 1H NMR (400 MHz, CDCl3) δ: 3.08 (s, 3H, NCH3), 3.65 (s, 3H, OCH3), 4.35~4.60 (m, 4H, 2×CH2), 9.61 (s, 1H, NH).采用类似的方法合成了中间体4b.
3.3 目标化合物5的合成
在一50 mL圆底烧瓶中, 加入2 mmol中间体3、2.2 mmol含氮杂环、4 mmol无水碳酸钾及25 mL乙腈.加毕, 将反应混合物缓慢升温至回流. TLC监测反应完毕.待反应液冷却至室温, 抽滤, 蒸除溶剂, 所得残余物经柱层析[V(石油醚):V(乙酸乙酯)=8:1]分离, 得到目标化合物5a~5m.
1-[4-(5-三氟甲基吡啶-2-基氧基)苯甲基]-N-硝基咪唑烷-2-亚胺(5a):白色固体, 产率66%. m.p. 160~162℃; 1H NMR (400 MHz, CDCl3) δ: 3.57 (t, J=8.8 Hz, 2H, CH2), 3.81 (t, J=8.8 Hz, 2H, CH2), 4.58 (s, 2H, CH2), 7.05 (d, J=8.4 Hz, 1H, Py-H), 7.16 (d, J=7.2 Hz, 2H, Ar-H), 7.38 (d, J=7.6 Hz, 2H, Ar-H), 7.94 (d, J=8.4 Hz, 1H, Py-H), 8.19 (s, 1H, NH), 8.44 (s, 1H, Py-H); 13C NMR (100 MHz, CDCl3) δ: 41.4, 45.2, 48.0, 111.6, 121.9, 129.9, 132.0, 136.8, 136.9, 145.3, 145.4, 153.1, 161.3, 165.5. Anal. calcd for C16H14F3N5O3: C 50.40, H 3.70, N 18.37; found C 50.58, H 3.56, N 18.21.
1-[4-(5-三氟甲基吡啶-2-基氧基)苯甲基]-N-氰基噻唑烷-2-亚胺(5b):白色固体, 产率62%. m.p. 175~176℃; 1H NMR (400 MHz, CDCl3) δ: 3.37 (t, J=7.6 Hz, 2H, CH2), 3.82 (t, J=7.6 Hz, 2H, CH2), 4.61 (s, 2H, CH2), 7.02 (d, J=8.4 Hz, 1H, Py-H), 7.13 (d, J=7.2 Hz, 2H, Ar-H), 7.32 (d, J=8.0 Hz, 2H, Ar-H), 7.89 (d, J=8.8 Hz, 1H, Py-H), 8.39 (s, 1H, Py-H); 13C NMR (100 MHz, CDCl3) δ: 27.2, 49.8, 52.3, 111.7, 117.5, 122.0, 125.0, 129.9, 136.8, 136.9, 145.2, 145.3, 153.2, 165.4, 174.5. Anal. calcd for C17H13F3N4OS: C 53.96, H 3.46, N 14.81; found C 53.78, H 3.62, N 14.95.
1-[4-(5-三氟甲基吡啶-2-基氧基)苯甲基]-5-乙基-3-甲基-N-硝基-1, 3, 5-三嗪-2-亚胺(5c):白色固体, 产率56%. m.p. 156~158 ℃; 1H NMR (400 MHz, CDCl3) δ: 0.86 (t, J=6.0 Hz, 3H, CH3), 2.62 (q, J=6.0 Hz, 2H, CH2), 3.02 (s, 3H, N-CH3), 4.26 (s, 2H, CH2), 4.34 (s, 2H, CH2), 4.62 (s, 2H, CH2), 6.97 (d, J=8.0 Hz, 1H, Py-H), 7.09 (d, J=8.0 Hz, 2H, Ar-H), 7.37 (d, J=8.0 Hz, 2H, Ar-H), 7.86 (d, J=8.0 Hz, 1H, Py-H), 8.33 (s, 1H, Py-H); 13C NMR (100 MHz, CDCl3) δ: 12.8, 35.3, 45.5, 51.1, 64.0, 68.6, 111.5, 122.0, 125.0, 130.2, 131.6, 136.7, 136.8, 145.2, 153.2, 157.3, 165.4. Anal. calcd for C19H21F3N6O3: C 52.05, H 4.83, N 19.17; found C 52.21, H 4.72, N 19.03.
1-[4-(5-三氟甲基吡啶-2-基氧基)苯甲基]-5-正丙基-3-甲基-N-硝基-1, 3, 5-三嗪-2-亚胺(5d):白色固体, 产率54%. m.p. 160~162 ℃; 1H NMR (400 MHz, CDCl3)δ: 0.76 (t, J=7.2 Hz, 3H, CH3), 1.17~1.26 (m, 2H, CH2), 2.49 (t, J=7.2 Hz, 2H, CH2), 3.02 (s, 3H, NCH3), 4.21 (s, 2H, CH2), 4.29 (s, 2H, CH2), 4.61 (s, 2H, CH2), 6.96 (d, J=8.4 Hz, 1H, Py-H), 7.08 (d, J=8.4 Hz, 2H, Ar-H), 7.33 (d, J=8.4 Hz, 2H, Ar-H), 7.85 (d, J=8.0 Hz, 1H, Py-H), 8.33 (s, 1H, Py-H); 13C NMR (100 MHz, CDCl3) δ: 6.0, 15.6, 30.2, 46.1, 48.0, 59.2, 63.9, 106.3, 116.8, 125.0, 126.3, 131.5, 131.6, 140.0, 140.1, 148.1, 152.3, 160.2; IR (KBr) ν: 3070, 3047, 2965, 2937, 2877, 1604, 1511, 1489, 1290, 1210, 1164, 1081, 1013, 959, 857, 777, 757, 582 cm-1. Anal. calcd for C20H23F3N6O3: C 53.09, H 5.12, N 18.58; found C 53.28, H 5.01, N 18.42.
1-[4-(5-三氟甲基吡啶-2-基氧基)苯甲基]-5-正丁基-3-甲基-N-硝基-1, 3, 5-三嗪-2-亚胺(5e):白色固体, 产率50%. m.p. 154~156 ℃; 1H NMR (400 MHz, CDCl3) δ: 0.76 (t, J=7.2 Hz, 3H, CH3), 1.14~1.17 (m, 4H, 2×CH2), 2.51 (t, J=6.8 Hz, 2H, CH2), 3.00 (s, 3H, NCH3), 4.20 (s, 2H, CH2), 4.28 (s, 2H, CH2), 4.59 (s, 2H, CH2), 6.94 (d, J=8.8 Hz, 1H, Py-H), 7.07 (d, J=8.4 Hz, 2H, Ar-H), 7.33 (d, J=8.8 Hz, 2H, Ar-H), 7.84 (d, J=8.8 Hz, 1H, Py-H), 8.32 (s, 1H, Py-H); 13C NMR (100 MHz, CDCl3) δ: 8.4, 14.6, 24.4, 30.2, 45.8, 46.0, 59.2, 63.9, 106.3, 116.7, 125.0, 126.3, 131.5, 131.6, 140.0, 140.1, 148.1, 152.2, 160.2. Anal. calcd for C21H25F3N6O3: C 54.07, H 5.40, N 18.02; found C 54.21, H 5.22, N 17.83.
1-[4-(5-三氟甲基吡啶-2-基氧基)苯甲基]-5-甲氧基-3-甲基-N-硝基-1, 3, 5-三嗪-2-亚胺(5f):白色固体, 产率48%. m.p. 152~154 ℃; 1H NMR (400 MHz, CDCl3) δ: 3.12 (s, 3H, NCH3), 3.49 (s, 3H, OCH3), 4.41~4.92 (m, 6H, 3×CH2), 7.02 (d, J=8.8 Hz, 1H, Py-H), 7.14 (d, J=8.4 Hz, 2H, Ar-H), 7.40 (d, J=8.4 Hz, 2H, Ar-H), 7.92 (d, J=8.8 Hz, 1H, Py-H), 8.41 (s, 1H, Py-H); 13C NMR (100 MHz, CDCl3) δ: 36.3, 51.9, 60.2, 65.3, 69.3, 111.5, 121.9, 124.7, 129.9, 131.3, 136.8, 145.3, 145.4, 153.2, 157.6, 165.5. Anal. calcd for C18H19F3N6O4: C 49.09, H 4.35, N 19.08; found C 48.92, H 4.54, N 19.26.
1-[4-(5-三氟甲基吡啶-2-基氧基)苯甲基]-5-乙氧基-3-甲基-N-硝基-1, 3, 5-三嗪-2-亚胺(5g):白色固体, 产率52%. m.p. 127~129 ℃; 1H NMR (400 MHz, CDCl3) δ: 1.10 (t, J=6.8 Hz, 3H, CH3), 3.12 (s, 3H, NCH3), 3.71 (q, J=7.2 Hz, 2H, OCH2), 4.35~4.98 (m, 6H, 3×CH2), 7.05 (d, J=8.0 Hz, 1H, Py-H), 7.13 (d, J=8.0 Hz, 2H, Ar-H), 7.44 (d, J=8.0 Hz, 2H, Ar-H), 7.94 (d, J=8.8 Hz, 1H, Py-H), 8.40 (s, 1H, Py-H); 13C NMR (100 MHz, CDCl3) δ: 13.7, 36.0, 51.4, 66.0, 68.1, 69.9, 111.5, 121.7, 125.0, 129.6, 129.7, 131.4, 136.7, 136.8, 145.1, 145.2, 152.9, 157.3, 165.5; IR (KBr) ν: 3074, 3051, 2982, 2928, 2870, 1600, 1515, 1492, 1263, 1202, 1161, 1078, 1046, 891, 830, 764, 530 cm-1. Anal. calcd for C19H21F3N6O4: C 50.22, H 4.66, N 18.49; found C 50.37, H 4.48, N 18.35.
1-[4-(5-三氟甲基吡啶-2-基氧基)苯甲基]-5-甲基-N-硝基-1, 3, 5-噁二嗪-4-亚胺(5h):白色固体, 产率64%. m.p. 138~140 ℃; 1H NMR (400 MHz, CDCl3) δ: 3.07 (s, 3H, NCH3), 4.72 (s, 2H, CH2), 4.86 (s, 2H, CH2), 4.92 (s, 2H, CH2), 7.02 (d, J=8.4 Hz, 1H, Py-H), 7.14 (d, J=7.2 Hz, 2H, Ar-H), 7.39 (d, J=7.6 Hz, 2H, Ar-H), 7.91 (d, J=8.8 Hz, 1H, Py-H), 8.41 (s, 1H, Py-H); 13C NMR (100 MHz, CDCl3) δ: 34.5, 51.3, 77.1, 79.8, 111.6, 122.0, 129.6, 131.3, 136.8, 136.9, 145.3, 145.4, 153.3, 157.8, 165.4. Anal. calcd for C17H16F3N5O4: C 49.64, H 3.92, N 17.03; found C 49.82, H 3.73, N 17.21.
1-[4-(5-三氟甲基吡啶-2-基氧基)苯甲基]-4-乙基哌嗪(5i):白色固体, 产率55%. m.p. 78~80 ℃; 1H NMR (400 MHz, CDCl3) δ: 1.10 (t, J=8.0 Hz, 3H, CH3), 2.41~2.54 (m, 10H, 5×CH2), 3.55 (s, 2H, CH2), 7.01 (d, J=8.0 Hz, 1H, Py-H), 7.10 (d, J=8.0 Hz, 2H, Ar-H), 7.40 (d, J=8.0 Hz, 2H, Ar-H), 7.90 (d, J=8.0 Hz, 1H, Py-H), 8.46 (s, 1H, Py-H); 13C NMR (100 MHz, CDCl3) δ: 12.0, 52.3, 52.8, 53.1, 62.4, 111.3, 121.1, 125.0, 130.5, 135.5, 136.6, 145.4, 145.5, 152.1, 165.9. Anal. calcd for C19H22F3N3O: C 62.45, H 6.07, N 11.50; found C 62.63, H 5.89, N 11.32.
1-[4-(5-三氟甲基吡啶-2-基氧基)苯甲基]-4-苯基哌嗪(5j):白色固体, 产率53%. m.p. 99~101 ℃; 1H NMR (400 MHz, CDCl3) δ: 2.71 (s, 4H, 2×CH2), 3.28 (s, 4H, 2×CH2), 3.65 (s, 2H, CH2), 6.92 (t, J=8.0 Hz, 1H, Ar-H), 7.00 (d, J=8.0 Hz, 2H, Ar-H), 7.06 (d, J=8.0 Hz, 1H, Py-H), 7.20 (d, J=8.0 Hz, 2H, Ar-H), 7.33 (t, J=8.0 Hz, 2H, Ar-H), 7.50 (d, J=8.0 Hz, 2H, Ar-H), 7.94 (d, J=8.0 Hz, 1H, Py-H), 8.53 (s, 1H, Py-H); 13C NMR (100 MHz, CDCl3) δ: 49.2, 53.2, 62.5, 111.4, 116.1, 119.7, 121.3, 125.1, 129.2, 130.5, 135.4, 136.7, 136.9, 145.5, 145.6, 151.4, 152.3, 165.9. Anal. calcd for C23H22F3N3O: C 66.82, H 5.36, N 10.16; found C 66.98, H 5.21, N 10.02.
1-[4-(5-三氟甲基吡啶-2-基氧基)苯甲基]-4-苄基哌嗪(5k):白色固体, 产率41%. m.p. 103~105 ℃; 1H NMR (400 MHz, CDCl3) δ: 2.47 (s, 6H, 3×CH2), 3.49 (s, 4H, 2×CH2), 6.95 (d, J=8.4 Hz, 1H, Py-H), 7.05 (d, J=8.4 Hz, 2H, Ar-H), 7.21~7.28 (m, 5H, Ar-H), 7.34 (d, J=8.4 Hz, 2H, Ar-H), 7.84 (d, J=8.8 Hz, 1H, Py-H), 8.40 (s, 1H, Py-H); 13C NMR (100 MHz, CDCl3) δ: 47.8, 57.1, 57.8, 106.0, 115.9, 119.8, 121.8, 123.0, 124.0, 125.2, 130.2, 131.3, 131.4, 132.8, 140.2, 140.3, 146.9, 160.6; IR (KBr) ν: 3082, 3027, 2942, 2874, 2802, 2766, 1615, 1603, 1509, 1485, 1392, 1336, 1258, 1160, 1075, 1011, 847, 741, 698 cm-1. Anal. calcd for C24H24F3N3O: C 67.43, H 5.66, N 9.83; found C 67.59, H 5.51, N 9.65.
1-[4-(5-三氟甲基吡啶-2-基氧基)苯甲基]吗啉(5l):白色固体, 产率50%. m.p. 44~46 ℃; 1H NMR (400 MHz, CDCl3) δ: 2.48 (t, J=4.4 Hz, 4H, 2×CH2), 3.52 (s, 2H, CH2), 3.72 (t, J=4.8 Hz, 4H, 2×CH2), 7.00 (d, J=8.4 Hz, 1H, Py-H), 7.10 (d, J=8.4 Hz, 2H, Ar-H), 7.39 (d, J=8.4 Hz, 2H, Ar-H), 7.88 (d, J=8.8 Hz, 1H, Py-H), 8.44 (s, 1H, Py-H); 13C NMR (100 MHz, CDCl3) δ: 53.6, 62.8, 67.0, 111.3, 121.2, 130.5, 135.1, 136.6, 136.7, 145.4, 145.5, 152.2, 165.8. Anal. calcd for C17H17F3N2O2: C 60.35, H 5.06, N 8.28; found C 60.51, H 4.92, N 8.46.
1-[4-(5-三氟甲基吡啶-2-基氧基)苯甲基]哌啶(5m):白色固体, 产率52%. m.p. 45~47 ℃; 1H NMR (400 MHz, CDCl3) δ: 1.36~2.31 (m, 10H, 5×CH2), 3.39 (s, 2H, CH2), 6.90 (d, J=8.4 Hz, 1H, Py-H), 7.00 (d, J=8.4 Hz, 2H, Ar-H), 7.29 (d, J=8.8 Hz, 2H, Ar-H), 7.79 (d, J=8.8 Hz, 2H, Py-H), 8.36 (s, 1H, Py-H); 13C NMR (100 MHz, CDCl3) δ: 23.4, 25.0, 53.5, 62.2, 110.2, 120.0, 129.5, 135.0, 135.5, 135.6, 144.4, 144.5, 151.0, 164.9. Anal. calcd for C18H19F3N2O: C 64.28, H 5.69, N 8.33; found C 64.11, H 5.83, N 8.50.
3.4 生物活性测试
杀虫活性测试所用昆虫分别为:小菜蛾(Plutella xylostella)、蚜虫(Aphis craccivora)、朱砂叶螨(Tetranychus cinnabarinus)和褐飞虱(Nilaparvata lugens).对照药剂分别为:啶虫丙醚(Pyridalyl)、吡虫啉(Imidacloprid)和唑螨酯(Fenpyroximate).
药剂配置:对于化合物, 用分析天平称取一定质量的原药, 用含吐温-80乳化剂的DMF溶解配制成1%母液, 然后用蒸馏水稀释即得到200 μg/mL的药液, 其它浓度的药液可由此进行稀释.每个处理3次重复, 设空白对照.
小菜蛾:采用浸叶碟法.首先, 用直头眼科镊子浸渍甘蓝叶片, 时间2~3 s, 甩掉余液.每次1片, 每个样品共3片.按照样品标记顺序放在处理纸上, 待药液干后, 放入具有标记的10 cm长的直型管内, 接入2龄小菜蛾幼虫, 用纱布盖好管口.将试验处理置于标准处理室内, 查药后2 d.
辅助材料(Supporting Information) 化合物5a~5m的1H NMR和13C NMR图谱.这些材料可以免费从本刊网站(http://sioc-journal.cn/)上下载.
-
-
[1]
Sumida, M.; Niwata, S.; Fukami, H.; Tanaka, T.; Wakabayashi, K.; Boger, P. J. Agric. Food Chem. 1995, 43, 1929. doi: 10.1021/jf00055a032
-
[2]
王鸣华, 杨春龙, 蒋木庚, 世界农药, 2002, 24, 13. http://www.cnki.com.cn/Article/CJFDTotal-NYSJ200202002.htmWang, M. H.; Yang, C. L.; Jiang, M. G. World Pestic. 2002, 24, 13 (in Chinese). http://www.cnki.com.cn/Article/CJFDTotal-NYSJ200202002.htm
-
[3]
宁丽红, 彭浩, 涂海洋, 贺红武, 农药学学报, 2004, 6, 74. http://www.cnki.com.cn/Article/CJFDTotal-NYXB200401016.htmNing, L. H.; Peng, H.; Tu, H. Y.; He, H. W. Chin. J. Pestic. Sci. 2004, 6, 74 (in Chinese). http://www.cnki.com.cn/Article/CJFDTotal-NYXB200401016.htm
-
[4]
Freundlich, J. S.; Yu, M.; Lucumi, E.; Kuo, M.; Tsai, H. C.; Valderramos, J. C.; Karagyozov, L.; Jacobs, W. R. Jr.; Schiehser, G. A.; Fidock, D. A.; Jacobus, D. P.; Sacchettini, J. C. Bioorg. Med. Chem. Lett. 2006, 16, 2163. doi: 10.1016/j.bmcl.2006.01.051
-
[5]
柳爱平, 冯秋菊, 胡春华, 何海军, 王婷瑾, 刘洋, 雷满香, 庞怀林, 贺红武, 有机化学, 2008, 28, 531. http://sioc-journal.cn/Jwk_yjhx/CN/abstract/abstract327665.shtmlLiu, A. P.; Feng, Q. J.; Hu, C. H.; He, H. J.; Wang, T. J.; Liu, Y.; Lei, M. X.; Pang, H. L.; He, H. W. Chin. J. Org. Chem. 2008, 28, 531 (in Chinese). http://sioc-journal.cn/Jwk_yjhx/CN/abstract/abstract327665.shtml
-
[6]
Kini, S. G.; Bhat, A. R.; Byrant, B.; Williamson, J. S.; Dayan, F. E. Eur. J. Med. Chem. 2009, 44, 492. doi: 10.1016/j.ejmech.2008.04.013
-
[7]
刘建超, 崔泽平, 贺红武, 有机化学, 2012, 32, 1925. doi: 10.6023/cjoc201204022Liu, J. C.; Cui, Z. P.; He, H. W. Chin. J. Org. Chem. 2012, 32, 1925 (in Chinese). doi: 10.6023/cjoc201204022
-
[8]
Anderson, J. W.; Sarantakis, D.; Terpinski, J.; Kumar, T. R. S.; Tsai, H. C.; Kuo, M.; Ager, A. L.; Jacobs, W. R. Jr.; Schiehser, G. A.; Ekins, S.; Sacchettini, J. C.; Jacobus, D. P.; Fidock, D. A.; Freundlich, J. S. Bioorg. Med. Chem. Lett. 2013, 23, 1022. doi: 10.1016/j.bmcl.2012.12.022
-
[9]
彭浩, 高玉焦, 贺红武, 有机化学, 2013, 33, 1994. http://sioc-journal.cn/Jwk_yjhx/CN/abstract/abstract342123.shtmlPeng, H.; Gao, Y. J.; He, H. W. Chin. J. Org. Chem. 2013, 33, 1994 (in Chinese). http://sioc-journal.cn/Jwk_yjhx/CN/abstract/abstract342123.shtml
-
[10]
张应鹏, 谭伟, 杨云裳, 孙世琪, 郭慧琛, 有机化学, 2015, 35, 1985. doi: 10.6023/cjoc201503034Zhang, Y. P.; Tan, W.; Yang, Y. S.; Sun, S. Q.; Guo, H. C. Chin. J. Org. Chem. 2015, 35, 1985 (in Chinese). doi: 10.6023/cjoc201503034
-
[11]
Kleemann, A.; Baltruschat, H. S.; Huelsen, T.; Thomas, S. S. EP 0723960, 1996 [Chem. Abstr. 1996, 125, 195679].
-
[12]
Morimoto, K.; Ohnari, M.; Furusawa, H.; Terachi, T.; Nawamaki, T.; Ishikawa, K.; Nakahira, K.; Kawaguchi, C. WO 9606096, 1996 [Chem. Abstr. 1996, 125, 58524].
-
[13]
徐彦军, 王庆海, 武菊英, 吴厚斌, 冉兆晋, 毛朝姝, 覃兆海, 农药学学报, 2007, 9, 189. http://www.cnki.com.cn/Article/CJFDTotal-NYXB200702017.htmXu, Y. J.; Wang, Q. H.; Wu, J. Y.; Wu, H. B.; Ran, Z. J.; Mao, C. S.; Qin, Z. H. Chin. J. Pestic. Sci. 2007, 9, 189 (in Chinese). http://www.cnki.com.cn/Article/CJFDTotal-NYXB200702017.htm
-
[14]
冉兆晋, 倪汉文, 段红霞, 李楠, 董燕红, 傅滨, 肖玉梅, 覃兆海, 农药学学报, 2009, 11, 41. http://www.cnki.com.cn/Article/CJFDTotal-NYXB200901011.htmRan, Z. J.; Ni, H. W.; Duan, H. X.; Li, N.; Dong, Y. H.; Fu, B.; Xiao, Y. M.; Qin, Z. H. Chin. J. Pestic. Sci. 2009, 11, 41 (in Chinese). http://www.cnki.com.cn/Article/CJFDTotal-NYXB200901011.htm
-
[15]
李瑞军, 白延海, 史犇, 肖鹏飞, 农药, 2007, 46, 305. http://www.cnki.com.cn/Article/CJFDTotal-NYZZ200705003.htmLi, R. J.; Bai, Y. H.; Shi, B.; Xiao, P. F. Chin. J. Pestic. 2007, 46, 305 (in Chinese). http://www.cnki.com.cn/Article/CJFDTotal-NYZZ200705003.htm
-
[16]
李爱军, 刘宝擅, 苑保国, 农药, 2012, 51, 416. http://www.cnki.com.cn/Article/CJFDTotal-NYZZ201206010.htmLi, A. J.; Liu, B. S.; Yuan, B. G. Chin. J. Pestic. 2012, 51, 416 (in Chinese). http://www.cnki.com.cn/Article/CJFDTotal-NYZZ201206010.htm
-
[17]
冉兆晋, 袁会珠, 曹坳程, 覃兆海, 农药学学报, 2010, 12, 269. http://www.cnki.com.cn/Article/CJFDTotal-NYXB201003007.htmRan, Z. J.; Yuan, H. Z.; Cao, A. C.; Qin, Z. H. Chin. J. Pestic. Sci. 2010, 12, 269 (in Chinese). http://www.cnki.com.cn/Article/CJFDTotal-NYXB201003007.htm
-
[18]
冉兆晋, 袁会珠, 曹坳程, 覃兆海, 农药学学报, 2010, 12, 458. http://www.cnki.com.cn/Article/CJFDTotal-NYXB201004022.htmRan, Z. J.; Yuan, H. Z.; Cao, A. C.; Qin, Z. H. Chin. J. Pestic. Sci. 2010, 12, 458 (in Chinese). http://www.cnki.com.cn/Article/CJFDTotal-NYXB201004022.htm
-
[19]
Zhang, A. G.; Kayser, H.; Maienfisch, P.; Casida, J. E. J. Neurochem. 2000, 75, 1294.
-
[20]
张国生, 侯广新, 农药科学与管理, 2004, 25, 22. http://www.cnki.com.cn/Article/CJFDTotal-NYKG200403011.htmZhang, G. S.; Hou, G. X. Pestic. Sci. Admin. 2004, 25, 22 (in Chinese). http://www.cnki.com.cn/Article/CJFDTotal-NYKG200403011.htm
-
[21]
戴宝江, 世界农药, 2005, 27, 46. http://www.cnki.com.cn/Article/CJFDTotal-NYSJ200506012.htmDai, B. J. World Pestic. 2005, 27, 46 (in Chinese). http://www.cnki.com.cn/Article/CJFDTotal-NYSJ200506012.htm
-
[22]
邵旭升, 田忠贞, 李忠, 徐晓勇, 黄青春, 钱旭红, 农药学学报, 2008, 10, 117. http://www.cnki.com.cn/Article/CJFDTotal-NYXB200802003.htmShao, X. S.; Tian, Z. Z.; Li, Z.; Xu, X. Y.; Huang, Q. C.; Qian, X. H. Chin. J. Pestic. Sci.. 2008, 10, 117 (in Chinese). http://www.cnki.com.cn/Article/CJFDTotal-NYXB200802003.htm
-
[23]
Yokota, T.; Mikata, K.; Nagasaki, H.; Ohta, K. J. Agric. Food Chem. 2003, 51, 7066. doi: 10.1021/jf034760f
-
[24]
Kagabu, S.; Ishihara, R.; Hieda, Y.; Nishimura, K.; Naruse, Y. J. Agric. Food Chem. 2007, 55, 812. doi: 10.1021/jf0623440
-
[25]
Bouillot, A. M. J.; Dodic, N.; Gellibet, F. J.; Mirguet, O. WO 2009071504, 2009 [Chem. Abstr. 2009, 151, 33581].
-
[26]
Wang, T. T.; Bing, G. F.; Zhang, X.; Qin, Z. F.; Yu, H. B.; Qin, X.; Dai, H.; Miao, W. K.; Wu, S. S.; Fang, J. X. Bioorg. Med. Chem. Lett. 2010, 20, 3348. doi: 10.1016/j.bmcl.2010.04.027
-
[27]
吴珊珊, 苗文科, 王婷婷, 方建新, 有机化学, 2015, 35, 1484. doi: 10.6023/cjoc201412025Wu, S. S.; Miao, W. K.; Wang, T. T.; Fang, J. X. Chin. J. Org. Chem. 2015, 35, 1484 (in Chinese). doi: 10.6023/cjoc201412025
-
[28]
马云, 硕士论文, 南开大学, 天津, 2009.Ma, Y. M.S. Thesis, Nankai University, Tianjin, 2009 (in Chinese).
-
[29]
刘建超, 刘勇军, 贺红武, 有机化学, 2015, 35, 462. doi: 10.6023/cjoc201408036Liu, J. C.; Liu, Y. J.; He, H. W. Chin. J. Org. Chem. 2015, 35, 462 (in Chinese). doi: 10.6023/cjoc201408036
-
[1]
-
表 1 不同反应条件对目标化合物5l合成产率的影响
Table 1. The effects of reaction conditions on the synthesis of the title compound 5l
Entry Base Solvent Reaction condition Yield/% 1 Pyridine CH3COCH3 Reflux 0 2 Na2CO3 CH3COCH3 Reflux 15 3 Na2CO3 CH3CN Reflux 27 4 K2CO3 CH3CN Reflux 50 5 K2CO3 DMF t=80 ℃ 45 表 2 目标化合物5a~5m的杀虫与杀螨活性a
Table 2. Insecticidal and acarcidal activities of target compounds 5a~5m at 200 μg/mL
Compd. Mortality/% Plutella xylostella Aphis craccivora Tetranychus cinnabarinus Nilaparvata lugens 5a 0 0 0 0 5b 100 24 0 0 5c 85 45 0 0 5d 100 25 0 0 5e 63 18 21 0 5f 100 85 0 0 5g 100 20 0 0 5h 0 0 0 0 5i 67 27 0 23 5j 60 22 0 0 5k 100 30 0 0 5l 0 0 0 0 5m 0 0 0 0 Pyridalyl 100 — — — Imidacloprid — 100 — 100 Fenpyroximate — — 100 — a“—” refers to “not tested”. 表 3 目标化合物5a~5m的体外抗肿瘤活性a
Table 3. The cytotoxicity of target compounds 5a~5m
Compd. IC50/μmol/L Panc-1 HUH-7 HCT-116 MCF-7 5a > 50 > 50 > 50 > 50 5b 15.85 12.98 36.22 18.45 5c 13.95 15.25 36.57 29.14 5d > 50 26.40 37.12 > 50 5e > 50 29.32 33.19 > 50 5f 8.29 10.64 23.48 18.31 5g > 50 40.62 36.51 > 50 5h > 50 > 50 > 50 > 50 5i 12.15 33.89 18.42 21.06 5j 27.15 23.09 35.03 30.21 5k 11.91 16.27 13.20 15.31 5l > 50 > 50 > 50 > 50 5m > 50 > 50 > 50 > 50 5-Fluorouracil — — 29.50 18.39 Cisplatin — 12.70 — — Sorafenib 11.50 — — — a“—” refers to “not tested”. -
扫一扫看文章
计量
- PDF下载量: 0
- 文章访问数: 196
- HTML全文浏览量: 10

下载:
下载: