图 1
酚醛树脂(PF)(a)和硼酚醛树脂(BPF)(b)的红外光谱
Figure 1.
FT-IR spectra of phenolic resin(PF)(a) and boron phenolic resin(BPF)(b)
Citation: LIN Songzhu, CUI Wei, JIA Ruokun, LIU Chang. Preparation of Boron Phenolic Resin with High Char Yield[J]. Chinese Journal of Applied Chemistry, 2017, 34(6): 631-635. doi: 10.11944/j.issn.1000-0518.2017.06.160317
高残炭硼酚醛树脂的制备
English
Preparation of Boron Phenolic Resin with High Char Yield
-
Key words:
- boron phenolic resin
- / heat resistance
- / ablation resistant ability
- / shear strength
-
酚醛树脂(PF)具有原材料来源丰富,成本低廉,生产工艺简易等特点,其成品具有良好的力学性能、耐烧蚀性和粘结性等优良性能被广泛应用[1]。由于酚醛树脂在600~900 ℃时会释放出苯酚、CO2、CO和水等小分子产物,使材料可能产生裂纹和孔隙,从而限制了酚醛树脂的应用[2]。随着宇航事业的发展,要求酚醛树脂具有更优异的耐热性能和抗烧蚀性能。因此,酚醛树脂的耐高温改性是其研究发展的必然方向之一[3]。
硼酚醛树脂(BPF)是目前最成功的酚醛树脂改性品种之一[4]。在酚醛树脂分子结构中引入硼元素使其具有更优异的抗氧化能力和耐热性能[5-6]。同时,BPF通过自交联形成含有硼的三维交联网状结构,展现出高氧指数、低毒、低烟和低发热量等性能[7]。又由于B—O键具有较好的柔顺性,故硼酚醛树脂的脆性降低、力学性能有所提高[8]。硼酸酯法是合成硼酚醛树脂的其中一种方法,也称固相生成法或多聚甲醛法[9]。首先,苯酚与硼化物反应生成硼酸苯酯,再与甲醛或多聚甲醛反应生成硼酚醛树脂,通过调节甲醛用量可得到热塑性或热固性硼酚醛树脂。这种改性方法是基于用苯酚中羟基和硼酸反应,将羟基封锁,同时改进直链烷基使之烷基化,从而克服由于羟基所造成的吸水、变色和交联速度过快等缺点。
本文采用硼酸酯法合成硼酚醛树脂,通过硼元素的引入最有效地提高酚醛树脂的耐热性,采用红外光谱、热重分析仪(TG)、剪切测试和差示扫描量热仪(DSC)等技术手段对其结构、热性能、力学性能以及固化行为进行表征和分析,优化出硼酚醛树脂的最佳配方,拓展酚醛树脂的应用领域。
1 实验部分
1.1 仪器和试剂
VERTEX 70型傅里叶红外光谱仪(布鲁克科技有限公司),测试条件:扫描范围4000~400 cm-1,KBr研磨压片制样;TGA 4000型热重-差热综合热分析仪(珀金埃尔默股份有限公司),测试条件:N2气气氛,升温速率为10 ℃/min,温度由室温上升至1000 ℃;DSC7型示差扫描量热仪(珀金埃尔默股份有限公司),测试条件:升温速率为10 ℃/min,温度由室温上升至230 ℃;INSTRON-1121型材料试验机(美国英斯特朗公司)。
酚醛树脂(工业级,伯马风帆实业有限公司);苯酚,多聚甲醛,硼酸购置于上海麦克林生化科技有限公司,均为分析纯试剂。
1.2 实验方法
采用硼酸酯法合成硼酚醛树脂,第一步酯化反应:将适当比例的苯酚与硼酸在三口烧瓶内搅拌均匀,升温至120~140 ℃反应2~3 h,减压蒸馏出部分水;第二步缩合反应:将第一步生成的酯化产物冷却至70 ℃后加入一定量多聚甲醛,升温至120~140 ℃进行缩合反应,直至多聚甲醛完全溶解,减压蒸馏出生成的水,产物即为硼酚醛树脂。
1.3 材料的力学性能测试
剪切强度测试依据标准:GB/T 7124-2008胶粘剂拉伸剪切强度的测定(刚性材料对刚性材料)。将树脂配制成50%的丙酮溶液,采用铝片作为粘接物,铝片尺寸:100 mm×25 mm×2 mm,胶粘剂搭接长度12.5 mm。固化条件为:160 ℃固化2 h,220 ℃固化2 h。采用材料试验机进行测试,平行子样数量为5个。
2 结果与讨论
2.1 硼酚醛树脂红外表征
通过红外谱图表征了普通酚醛树脂(PF)(图 1谱线a)与硼酚醛树脂(BPF)(图 1谱线b)的结构特征,如图 1所示。可见,PF和BPF分别在3318和3384 cm-1处出现了羟基—OH的特征峰;PF和BPF均在1600和1500 cm-1处出现苯环骨架特征峰;PF和BPF分别在1226和1210 cm-1处出现了酚羟基C—O键的特征峰;PF和BPF分别在1100和1095 cm-1处出现了苄羟基C—O键的特征峰。
图 1
酚醛树脂(PF)(a)和硼酚醛树脂(BPF)(b)的红外光谱
Figure 1.
FT-IR spectra of phenolic resin(PF)(a) and boron phenolic resin(BPF)(b)
硼酚醛树脂与酚醛树脂的吸收峰位置基本一致。但在1385 cm-1处,硼酚醛树脂图谱出现了一个较强的吸收峰,而普通酚醛树脂的红外图谱中并没有此吸收峰,此峰为B—O键的特征峰,说明B—O键引入到了硼酚醛树脂中,进一步说明硼酸与苯酚发生了化学反应,并非仅仅发生物理共混。此外,普通酚醛树脂红外图谱在815和755 cm-1处出现了苯环上的对位和邻位取代基的特征峰,并且强度相似,而硼酚醛树脂红外图谱在755 cm-1处出现了较强的特征峰,815 cm-1处的吸收峰并不明显,说明合成树脂中苯环的邻位取代大于对位取代,合成的硼酚醛树脂为高邻位取代硼酚醛树脂。
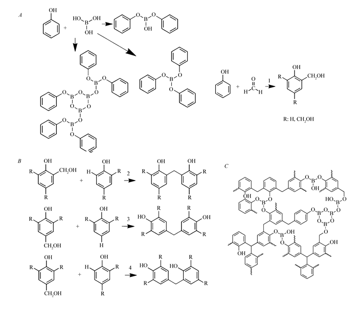
2.2 硼酚醛树脂反应机理探究
硼酸酯法合成硼酚醛树脂的反应机理如Scheme 1所示:首先,苯酚与硼酸反应生成硼酸苯酯,然后再与多聚甲醛反应生成硼酚醛树脂。Scheme 1A为苯酚与硼酸反应生成硼酸苯酯的几种可能产物,Scheme 1B中反应1为苯酚与甲醛之间的加成反应,生成多种羟甲基酚,即在酚羟基邻位或对位上接枝羟甲基。反应2、反应3以及反应4为羟甲基酚之间的几种缩聚反应,羟甲基酚以这种方式不断进行缩聚反应,使树脂相对分子质量不断增大。Scheme 1C为推测的硼酚醛树脂三维网状结构局部图。
2.3 硼酸含量和酚醛摩尔比对硼酚醛树脂残炭率的影响
为了进一步研究硼酚醛树脂的反应条件及影响因素,考察了不同硼酸含量对硼酚醛树脂的残炭率的影响。将不同硼含量的树脂样品在800 ℃马弗炉中煅烧10 min,并称量计算其残炭率,如图 2所示。随着硼酸含量增加,硼酚醛树脂的残炭率也在逐渐增加。当n(硼酸):n(苯酚) > 0.33:1时,产物的残炭率开始趋于稳定,无明显的提高。这是由于1个硼酸分子最多可以与3个苯酚分子反应生成硼酸酯,过多加入的硼酸分子并不会以化学键的方式引入到结构中,所以残炭率不会有较为明显的提升。
从表 1中可以看出,随着酚醛摩尔比增加,残炭率也得到提高,说明酚醛摩尔比增加,树脂交联程度加大,残炭率提高,耐热性能进一步提高。但是,当n(苯酚):n(甲醛)=1:1.6时,残炭率并未显著提高,为66.7%。当酚醛摩尔比继续增加时,多聚甲醛并未完全反应,有白色颗粒沉淀。所以认为n(苯酚):n(甲醛)=1:1.5为最佳。
表 1
酚醛摩尔比对BPF残炭率的影响
Table 1.
Influence of molar ratio of phenol and formaldehyde on the char yield of BPF
2.4 TGA表征
图 3为硼酚醛树脂和普通酚醛树脂的TGA曲线,普通酚醛树脂(图 3谱线a)从200 ℃开始发生明显的失重,并在370 ℃左右失重速率迅速上升,800 ℃时残炭率仅为43.8%,1000 ℃时残炭率为40.2%。
从硼改性酚醛树脂的热失重曲线(图 3谱线c)可以看出,其热降解过程大致可分为3个阶段:25~500 ℃为第1阶段,此阶段硼酚醛树脂的质量损失较小,这部分损失主要是由于硼酚醛树脂因自身吸水而含有的水分和一些游离小分子的挥发;500~700 ℃为第2阶段,在这一阶段硼酚醛树脂开始发生分解,释放出水和二氧化碳等小分子物质,为主要的失重阶段;700~1000 ℃为第3阶段,这一阶段硼酚醛树脂发生炭化、裂解,失重速率趋近于零,直至硼酚醛树脂裂解完毕,形成炭化结构。此外,还对硼酚醛树脂固化前后的TGA曲线进行了对比(图 3谱线b为固化前,图 3谱线c为固化后),800 ℃时树脂固化后的残炭率为79.5%,比固化前提高7.2%;1000 ℃时残炭率为78.5%,比固化前提高8.7%。表明固化前硼酚醛树脂主要为线性结构,而加热固化后进一步交联,形成体形结构,高温残炭率大幅度提高,因此硼酚醛树脂展现出优异的耐热性能。
2.5 DSC表征
对于硼酚醛树脂,其固化工艺会直接影响最终产品的各项性能,采用DSC方法来确定硼酚醛树脂的最佳固化工艺,如图 4所示。可见,硼酚醛树脂在168 ℃有一个较小的热吸收峰,在224 ℃有一个较大的热吸收峰,可以预测硼酚醛树脂的预固化温度在168 ℃左右,后固化温度在224 ℃左右。经过进一步的试验验证,排除树脂粘度的性能、设备的准确度以及操作人员的熟练程度等因素。硼酚醛树脂的最佳固化流程设定为:160 ℃,预固化2 h;220 ℃,固化2 h,固化完成后于烘箱中自然冷却。
2.6 力学性能
为了探究硼酚醛树脂的粘接性能,将酚醛树脂和硼酚醛树脂剪切强度进行了测试,结果列于表 2。可见,在室温条件下,硼酚醛树脂的剪切强度为6.13 MPa,比酚醛树脂高。这是因为硼的引入对酚醛树脂的粘接性能有一定的影响。B—O键的引入,提高了树脂的交联度,形成了较为致密的三维网状结构,提高了BPF样品的剪切强度。同时,在200 ℃,加热10 min条件下,测试了酚醛树脂和硼酚醛树脂的剪切强度。酚醛树脂粘接的铝片试样开裂,无法完成剪切测试,有可能是在此条件下酚醛树脂软化导致。但硼酚醛树脂剪切强度并未大幅度降低,进一步说明硼酚醛树脂优良的耐热性能。
3 结论
本文通过硼酸酯法合成了高邻位取代硼酚醛树脂。通过红外图谱证明了硼确实以B—O键的方式接入树脂中。研究了不同硼酸含量和酚醛摩尔比对硼酚醛树脂残炭率的影响,当n(硼酸):n(苯酚)=0.33:1和n(苯酚):n(甲醛)=1:1.5时,硼酚醛树脂的残炭率达到最高并趋于稳定。硼酚醛树脂的耐热性能明显优于酚醛树脂,1000 ℃条件下,硼酚醛树脂残炭率为78.5%,比酚醛树脂高38.3%。硼酚醛树脂的固化工艺为:预固化温度为160 ℃;后固化温度为220 ℃。硼酚醛树脂的粘接性能优于普通酚醛树脂,并且具有优于酚醛树脂的耐热性能。
-
-
[1]
黄发荣.酚醛树脂及其应用[M].北京:化学工业出版社, 2011.HUANG Farong. Phenolic Resin and Its Application[M]. Beijing:Chemical Industry Press, 2011(in Chinese).
-
[2]
Erich F. The Future of Carbon-Carbon Composites[J]. Carbon, 1987, 25(2): 163-190. doi: 10.1016/0008-6223(87)90116-3
-
[3]
殷荣忠.酚醛树脂及其应用[M].北京:化学工业出版社, 1990.YIN Rongzhong. Phenolic Resin and Its Application[M]. Beijing:Chemical Industry Press, 1990(in Chinese).
-
[4]
牛国良. 烧蚀材料用改性酚醛树脂[J]. 固体火箭技术, 1998,21,(4): 64-67. NIU Guoliang. Modified Phenolic Resins for Ablative Materials[J]. J Solid Rocket Technol, 1998, 21(4): 64-67.
-
[5]
邱军, 王国建, 李岩. 硼改性酚醛树脂的合成及其复合材料的性能[J]. 建筑材料学报, 2007,10,(2): 183-187. QIU Jun, WANG Guojian, LI Yan. Studies on Synthesis Technology of Boron Modified Phenolic Resin(BPR) and Properties of CF/BPR Composites[J]. J Build Mater, 2007, 10(2): 183-187.
-
[6]
肖娜, 徐三魁, 彭进. 硼酸改性酚醛树脂的制备与表征[J]. 化学世界, 2010,51,(9): 538-540. XIAO Na, XU Sankui, PENG Jin. Boron Modified Phenolic Resin Heat of Synthesis and Characterization[J]. Chem World, 2010, 51(9): 538-540.
-
[7]
王晓威, 易新龙, 邵文尧. 硼改性酚醛树脂的合成及其热性能研究[J]. 厦门大学学报:自然科学版, 2013,52,(2): 226-231. WANG Xiaowei, YI Xinlong, SHAO Wenrao. Synthesis and Thermal Stability of Boron Modified Phenolic Resin[J]. J Xiamen Univ:Nat Sci, 2013, 52(2): 226-231.
-
[8]
朱苗淼, 王汝敏, 魏晓莹. 硼酚醛树脂的合成及改性研究进展[J]. 中国胶粘剂, 2011,20,(6): 60-63. ZHU Miaomiao, WANG Rumin, WEI Xiaoying. Research Progress of Synthesis and Modification for Boron Phenolic Resin[J]. China Adhes, 2011, 20(6): 60-63.
-
[9]
赵敏, 孙均利.硼酚醛树脂及其应用[M].北京:化学工业出版社, 2015.ZHAO Min, SUN Junli. Boron Phenolic Resin and Its Application[M]. Beijing:Chemical Industry Press, 2015(in Chinese).
-
[1]
-
表 1 酚醛摩尔比对BPF残炭率的影响
Table 1. Influence of molar ratio of phenol and formaldehyde on the char yield of BPF
表 2 酚醛树脂与硼酚醛树脂剪切强度
Table 2. ·Shear strength of PF and BPF
-
扫一扫看文章
计量
- PDF下载量: 12
- 文章访问数: 2122
- HTML全文浏览量: 507

下载:
下载: