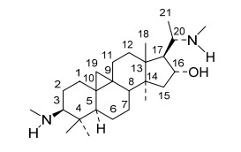
图 1
环维黄杨星D的结构
Figure 1.
Structure of cyclovirobuxine D
Citation: Xiang Tao, Yang Hongjun, Chen Cheng, Feng Yuchuan. Synthesis and Anti-anoxia Activities of 3-C Mono-substituted Cyclovirobuxine D Derivatives[J]. Chinese Journal of Organic Chemistry, 2015, 36(2): 432-436. doi: 10.6023/cjoc201508030
3-C位单取代环维黄杨星D衍生物的合成及其抗耐缺氧活性研究
English
Synthesis and Anti-anoxia Activities of 3-C Mono-substituted Cyclovirobuxine D Derivatives
-
Key words:
- cyclovirobuxine D
- / synthesis
- / anti-anoxia activity
-
环维黄杨星D (CVB-D)是一种从黄杨科植物小叶黄杨及同类植物中提取分离得到的具有广泛生理活性的甾体生物碱类化合物[1](图 1), 对于治疗冠心病、心绞痛及心律失常等心血管疾病具有良好的疗效[2, 3], 已被2010年版《中国药典》收录.近年的研究发现, 环维黄杨星D在治疗急性心肌缺血[4]、抑制人类乳腺癌细胞[5]、对心力衰竭的保护[6, 7]等方面也发挥重要的作用.但药理实验及临床研究表明, 环维黄杨星D存在以下的缺点:安全使用范围较窄[8, 9], 水溶性较差, 且对光敏感, 这使得环维黄杨星D在医药上的应用受到限制.因此, 对环维黄杨星D进行结构修饰有着重要的药学意义.
目前, 有关环维黄杨星D的结构修饰研究较少.早期, 邓兰等[10~13]将能增大水溶性的含氮杂环、琥珀酸酯、磷酸酯以及氨基酸酯等结构以酰化反应引入环维黄杨星D, 合成了一系列环维黄杨星D的衍生物. 2006年, 郭彩虹等[14, 15]将具有亲水基团的聚乙二醇用于修饰环维黄杨星D, 得到相应的环维黄杨星D的衍生物, 其水溶性得到一定的改善.此外, 为提高环维黄杨星D的生物活性, 延长药物在体内的代谢, 郭彩虹等还将活性官能团磺酰胺基用于环维黄杨星D的结构改造, 合成了酰胺类的环维黄杨星D的衍生物. 2009年, 胡翠等[16]根据药物构效原理, 在20-C位氨基与16-C位羟基上引入苄基生成噁嗪环以提高药物的疗效、增加脂溶性和脂水分配系数, 得到一系列的环维黄杨星D衍生物.
综上所述, 目前对环维黄杨星D中的3-C位氨基的单取代衍生物研究较少, 因此我们设想在环维黄杨星D的3-C位氨基上引入含氮杂环取代基, 考察不同含氮杂环取代基对环维黄杨星D抗耐缺氧活性的影响.含氮杂环以其独特的生物活性, 较低的生物毒性和较高的水溶性, 在药物分子的结构修饰中有着重要的作用.基于以上的原理, 本实验设计并合成含氮杂环的环维黄杨星D的衍生物4(Scheme 1), 并对目标化合物4进行抗耐缺氧生物活性研究.
1 结果与讨论
1.1 目标化合物4的合成路线设计
环维黄杨星D (CVB-D)结构中存在3个活性不同的基团, 其酰化反应的活性大小为: 20-C位氨基>3-C位氨基>16-C位羟基.如果直接将环维黄杨星D与对氯甲基苯甲酰氯反应, 首先在20-C位氨基发生缩合反应, 而很难得到3-C位氨基单取代衍生物.因此, 需要将活性较高的20-C位氨基保护, 参考文献[16], 在20-C位氨基与16-C位羟基引入噁嗪环形成中间体化合物1, 然后与对氯甲基苯甲酰氯反应得到化合物2, 再与含氮杂环反应生成目标化合物4.
1.2 目标化合物4的合成
1.3 目标化合物4的结构确定
目标化合物4与先导化合物比较, 在IR谱中1615~1684 cm-1之间出现νC=O特征峰, 是由目标化合物中酰胺结构中的羰基伸缩振动引起. 1H NMR谱中, 在δ 6~8属于苯环的特征峰, δ 3.5附近单峰属于亚甲基的特征峰, δ 2.8~3.1的单峰为化合物4中NCH3的特征峰, δ 4.6~4.8为16-H的特征峰.
1.4 药理实验
ICR小鼠, 质量18~22 g, 雌雄各半, 按体质量分层随机分成9组, 即正常对照组、环维黄杨星D对照组和受试药物4a~4g组.按表 1设计剂量灌胃给药, 每日1次, 连续7 d.末次给药后1 h(禁食不禁水8 h), 将各组小鼠分别放入盛有25 g钠石灰的125 mL磨口瓶内, 凡士林封瓶, 盖严不漏气, 计时, 以呼吸停止为指标, 观察小鼠因缺氧而引起的死亡时间, 结果见表 1.
分组 剂量/
(mg·kg-1)动物数/
只死亡时间/
min延长率% 正常对照组 8 15.28±1.01 4a 7.5 8 14.68±0.87 -3.94 4b 7.5 8 16.87±1.33 10.38 4c 7.5 8 14.35±1.08 -6.09 4d 7.5 8 13.74±1.39 -10.06 4e 7.5 8 14.86±1.14 -2.77 4f 7.5 8 12.97±1.35 -15.11 4g 7.5 8 12.64±1.00a -17.29 CVB-D 7.5 8 17.96±0.81b 17.52 aP < 0.05, b P < 0.01. 表 1 化合物4a~4g对耐缺氧活性的影响
Table 1. The effects of compounds 4a~4g on the oxygen-deficient endurance由表 1结果可知, 与正常对照组比较, 受试药物4b以及CVB-D能明显延长小鼠的存活时间(均P<0.05~0.01), 显示出一定提高机体耐缺氧能力, 与先导化合物CVB-D对照, 受试药物具有一定的差异.
1.2.1 目标化合物4的合成方法
在合成目标化合物4的过程中, 实验发现中间体2不稳定, 不易纯化, 因此本实验设计“一锅法”合成目标化合物4.将未经纯化的化合物2直接与含氮杂环反应得化合物3, 盐酸水解, 柱层析得到目标化合物4, 这样既能够避免反应中生成双取代副产物, 又可以免去繁杂的实验操作.
1.2.2 中间体2合成的溶剂选择
在中间体2的合成中, 当采用CH2Cl2、CHCl3作溶剂时有20-C位氨基取代的副产物生成, 而改用THF作溶剂则可以避免该副产物的产生, 因此本实验采用THF作反应溶剂.
1.2.3 中间体2合成的温度选择
为了提高中间体2的收率, 我们考察了不同温度对反应收率的影响.当反应温度大于0 ℃时, 存在3-C位氨基与20-C位氨基双取代副产物的产生, 降低了目标化合物4的收率, 可能的原因是在较高温度时化合物2结构中的缩醛片段发生了分解, 而使20-C位氨基与对氯甲基苯甲酰氯发生缩合反应产生副产物; 当把反应温度降低至-10 ℃时, 反应中无20-C位取代的副产物的生成.
2 结论
以环维黄杨星D为先导化合物, 合成了7个环维黄杨星D的衍生物, 并对其结构进行1H NMR, HRMS和IR表征, 检测了相应的抗耐缺氧生物活性.实验结果表明, 衍生物4b能延长小鼠存活时间, 与先导化合物CVB-D有一定的差异, 为开发寻找新药提供实验依据.
3 实验部分
3.1 仪器与试剂
实验试剂除特别说明外, 均为分析纯试剂. SGW-4显微熔点测试仪(上海精密科学仪器有限公司); 硅胶GF254高效板(烟台江友硅胶开发有限公司); FTS 3000傅里叶变换红外光谱仪(美国DIGILAB公司), KBr压片; LCQ ADVANTAGE MAX质谱仪; Agilent-400 (400 MHz)型核磁共振仪, SGW-1自动旋光仪(上海仪电物理光学仪器有限公司).
3.2 实验方法
3.2.2 4, 4, 14α-三甲基-20α-甲基氨基-3β-{N-甲基-N-[(哌啶-1-基)亚甲基苯甲酰基]}氨基-9, 19-环-5α, 9β-孕甾-16α-醇(4a)的合成
N2保护下, 依次将中间体1 (0.196 g, 0.400 mmol)、三乙胺(0.110 mL, 0.800 mmol)、四氢呋喃(10 mL)加入到50 mL圆底烧瓶中, 降温至-10 ℃, 30 min内滴加对氯甲基苯甲酰氯的四氢呋喃溶液, 滴毕继续反应. TLC法跟踪反应至中间体1消失, 然后依次加入六氢吡啶(1.98 mL, 20.0 mmol)、K2CO3 (2.76 g, 20.0 mmol), 升温至回流, TLC法跟踪反应至中间体2消失.停止反应, 过滤, 减压回收溶剂得白色固体.将白色固体用5 mL氯仿溶解, 加入2 mL乙醇, 10 mL盐酸, 常温搅拌30 min, 水层用NaOH溶液(2 mol/L)调节pH 9~10, 氯仿(10 mL×3)萃取, 合并有机层, 无水MgSO4干燥, 减压浓缩得化合物4a, 浅黄色固体0.133 g, 收率55%. m.p. 175~178 ℃; [α]D23 -52 (c 0.20, CHCl3); 1H NMR (CDCl3, 400 MHz) δ: 0.51 (d, J=4 Hz, 1H, 19-β-H), 0.56 (d, J=4 Hz, 1H, 19-α-H), 0.67 (s, 21-CH3, 3H), 2.45~2.47 (m, 2-CH2, 4H), 2.86 (s, NCH3, 3H), 3.01 (s, NCH3, 3H), 3.47~3.50 (m, CH2, 2H), 4.68~4.72 (m, 16-H, 1H), 7.33~7.46 (m, Ph-H, 4H); 13C NMR (CDCl3, 100 MHz) δ: 14.03, 17.68, 18.10, 19.14, 19.51, 20.76, 22.59, 24.23, 25.84, 26.41, 29.16, 29.59, 30.11, 30.31, 31.82, 33.03, 33.33, 34.91, 41.85, 42.06, 44.96, 47.10, 48.02, 48.72, 49.57, 58.72, 59.69, 61.38, 63.40, 66.61, 78.25, 126.28, 126.46, 129.01, 129.09, 136.38, 139.62, 172.76; IR (KBr) ν: 3326, 2941, 2867, 1644, 1463, 867 cm-1; HRMS (ESI) calcd for C39H62N3O2[M+H]+ 604.4842, found 604.4839.
同法制备化合物4b~4g.
4, 4, 14α-三甲基-20α-甲基氨基-3β-{N-甲基-N-[(哌嗪-1-基)亚甲基苯甲酰基]}氨基-9, 19-环-5α, 9β-孕甾-16α-醇(4b):浅黄色固体, 收率60%. m.p. 195~197 ℃; [α]D23 -65 (c 0.20, CHCl3); 1H NMR (CDCl3, 400 MHz) δ: 0.50 (d, J=4 Hz, 1H, 19-β-H), 0.55 (d, J=4 Hz, 1H, 19-α-H), 0.68 (s, 21-CH3, 3H), 2.84 (s, NCH3, 3H), 2.86~2.91 (m, piperazine-H, 8H), 3.00 (s, NCH3, 3H), 3.49~3.51 (m, CH2, 2H), 4.64~4.70 (m, 16-H, 1H), 7.33~7.34 (m, Ph-H, 4H); 13C NMR (CDCl3, 100 MHz) δ: 14.19, 17.88, 18.29, 19.38, 19.86, 21.21, 23.11, 23.85, 26.18, 26.50, 30.34, 31.49, 31.74, 33.21, 33.43, 35.15, 42.07, 42.29, 45.12, 46.06, 47.40, 48.20, 48.94, 49.70, 58.99, 59.95, 61.45, 63.40, 66.88, 68.26, 78.43, 126.60, 126.80, 129.26, 129.27, 136.92, 139.37, 172.92; IR (KBr) ν: 3404, 2938, 2868, 1642, 1463, 861 cm-1; HRMS (ESI) calcd for C38H61N4O2[M+H]+ 605.4795, found 605.4788.
4, 4, 14α-三甲基-20α-甲基氨基-3β-{N-甲基-N-[(吗啉-1-基)亚甲基苯甲酰基]}氨基-9, 19-环-5α, 9β-孕甾-16α-醇(4c):白色固体, 收率41%. m.p. 156~159 ℃; [α]D23 -53 (c 0.20, CHCl3); 1H NMR (CDCl3, 400 MHz) δ: 0.49 (d, J=4 Hz, 1H, 19-β-H), 0.55 (d, J=4 Hz, 1H, 19-α-H), 0.68 (s, 21-CH3, 3H), 2.85 (s, NCH3, 3H), 3.00 (s, NCH3, 3H), 3.52~3.56 (m, CH2, 2H), 3.56~3.60 (m, 17-H, 1H), 3.68~3.72 (m, morpholine-H, 8H), 4.66~4.70 (m, 16-H, 1H), 7.33~7.34 (m, Ph-H, 4H); 13C NMR (CDCl3, 100 MHz) δ: 14.12, 16.25, 17.65, 19.25, 19.45, 20.52, 20.99, 22.67, 22.83, 23.42, 25.63, 26.32, 26.45, 29.44, 30.97, 31.78, 32.83, 35.04, 38.65, 38.67, 42.24, 45.61, 46.37, 48.01, 48.52, 49.55, 58.75, 59.77, 63.06, 66.96, 77.20, 126.51, 126.72, 129.00, 129.03, 136.78, 138.86, 172.72; IR (KBr) ν: 3415, 2938, 2868, 1631, 1463, 871 cm-1; HRMS (ESI) calcd for C38H60N3O3[M+H]+ 606.4635, found 606.4653.
4, 4, 14α-三甲基-20α-甲基氨基-3β-{N-甲基-N-[(4-羟乙基哌嗪-1-基)亚甲基苯甲酰基]}氨基-9, 19-环-5α, 9β-孕甾-16α-醇(4d):浅黄色固体, 收率56%. m.p. 172~175 ℃; [α]D23 -43 (c 0.20, CHCl3); 1H NMR (CDCl3, 400 MHz) δ: 0.51 (d, J=4 Hz, 1H, 19-β-H), 0.55 (d, J=4 Hz, 1H, 19-α-H), 0.69 (s, 21-CH3, 3H), 2.51~2.56 (m, N-(2-Hydroxyethyl)piperazine-H, 8H), 2.85 (s, NCH3, 3H), 3.00 (s, NCH3, 3H), 3.51~3.53 (m, CH2, 2H), 3.58~3.67 (m, 2-CH2, 4H), 4.67~4.70 (m, 16-H, 1H), 7.33~7.34 (m, Ph-H, 4H); 13C NMR (CDCl3, 100 MHz) δ: 14.25, 17.89, 18.30, 19.36, 19.87, 20.91, 21.02, 26.66, 28.10, 29.82, 30.36, 31.74, 32.05, 33.23, 33.48, 35.14, 42.08, 45.15, 45.28, 47.46, 48.21, 48.96, 49.77, 52.93, 53.22, 53.31, 57.85, 59.03, 59.35, 61.43, 62.81, 66.91, 78.51, 126.63, 126.82, 129.20, 129.25, 136.59, 139.26, 173.27; IR (KBr) ν: 3327, 2953, 2878, 1642, 1463, 842 cm-1; HRMS (ESI) calcd for C40H65N4O3[M+H]+ 649.5057, found 649.5054.
4, 4, 14α-三甲基-20α-甲基氨基-3β-{N-甲基-N-[(四氢吡咯-1-基)亚甲基苯甲酰基]}氨基-9, 19-环-5α, 9β-孕甾-16α-醇(4e):浅黄色固体, 收率43%. m.p. 180~182 ℃; [α]D23 -65 (c 0.20, CHCl3); 1H NMR (CDCl3, 400 MHz) δ: 0.50 (d, J=4 Hz, 1H, 19-β-H), 0.55 (d, J=4 Hz, 1H, 19-α-H), 0.68 (s, 21-CH3, 3H), 2.84 (s, NCH3, 3H), 3.00 (s, NCH3, 3H), 3.63~3.65 (m, CH2, 2H), 4.67~4.71 (m, 16-H, 1H), 7.33~7.37 (m, Ph-H, 4H); 13C NMR (CDCl3, 100 MHz) δ: 14.22, 17.08, 17.86, 19.36, 20.80, 21.09, 22.86, 23.52, 26.19, 26.59, 29.78, 30.41, 31.45, 31.83, 33.20, 35.18, 42, 05, 45.57, 45.96, 47.50, 48.16, 48.89, 49.67, 54.33, 58.92, 59.71, 60.45, 61.72, 66.82, 72.48, 77.36, 126.57, 126.81, 128.94, 128.98, 136.32, 140.28, 172.90; IR (KBr) ν: 3379, 2939, 2877, 1640, 1462, 842 cm-1; HRMS (ESI) calcd for C38H60N3O2[M+H]+ 590.4686, found 590.4682.
4, 4, 14α-三甲基-20α-甲基氨基-3β-{N-甲基-N-[(咪唑-1-基)亚甲基苯甲酰基]}氨基-9, 19-环-5α, 9β-孕甾-16α-醇(4f):白色固体, 收率57%. m.p. 214~216 ℃; [α]D23 -69 (c 0.20, CHCl3); 1H NMR (CDCl3, 400 MHz) δ: 0.57 (d, J=4 Hz, 1H, 19-β-H), 0.61 (d, J=4 Hz, 1H, 19-α-H), 0.66 (s, 21-CH3, 3H), 2.82 (s, NCH3, 3H), 3.00 (s, NCH3, 3H), 4.66~4.68 (m, 16-H, 1H), 5.13~5.16 (m, CH2, 2H), 7.09~7.17 (m, 3CH, 3H), 7.30~7.34 (m, Ph-H, 4H); 13C NMR (CDCl3, 100 MHz) δ: 18.11, 18.14, 19.34, 19.82, 20.91, 21.13, 23.61, 25.65, 26.12, 26.72, 30.41, 31.51, 33.16, 35.04, 42.12, 45.19, 45.27, 47.35, 48.10, 48.92, 49.70, 50.53, 58.94, 60.10, 61.30, 67.01, 78.23, 127.23, 127.39, 128.22, 129.07, 129.81, 134.54, 134.55, 137.14, 138.09, 172.48; IR (KBr) ν: 3413, 2978, 2947, 2867, 1639, 1450, 827 cm-1; HRMS (ESI) calcd for C37H55N4O2[M+H]+ 587.4325, found 587.4327.
4, 4, 14α-三甲基-20α-甲基氨基-3β-{N-甲基-N-[(二乙醇胺基)亚甲基苯甲酰基]}氨基-9, 19-环-5α, 9β-孕甾-16α-醇(4g):浅黄色固体, 收率60%. m.p. 200~202 ℃; [α]D23 -61 (c 0.20, CHCl3); 1H NMR (CDCl3, 400 MHz) δ: 0.51 (d, J=4 Hz, 1H, 19-β-H), 0.55 (d, J=4 Hz, 1H, 19-α-H), 0.69 (s, 21-CH3, 3H), 2.69~2.73 (m, 2CH2, 4H), 2.85 (s, NCH3, 3H), 3.00 (s, NCH3, 3H), 3.55~3.57 (m, 17-H, 1H), 3.61~3.62 (m, CH2, 2H), 3.62~3.64 (m, 2CH2, 4H), 4.66~4.70 (m, 16-H, 1H), 7.33~7.34 (m, Ph-H, 4H); 13C NMR (CDCl3, 100 MHz) δ: 14.11, 17.82, 18.36, 19.29, 20.94, 23.03, 23.77, 25.63, 26.12, 26.56, 28.96, 30.29, 31.41, 31.70, 33.16, 33.62, 35.08, 38.75, 42.00, 44.92, 45.16, 47.38, 48.13, 48.88, 49.68, 59.06, 59.75, 61.66, 61.68, 66.87, 78.52, 126.81, 126.96, 128.90, 128.99, 136.98, 139.96, 172.68; IR (KBr) ν: 3410, 2938, 2870, 1643, 1465, 753 cm-1; HRMS (ESI) calcd for C38H62N3O4[M+H]+ 624.4740, found 624.4736.
辅助材料(Supporting Information) 目标物的原始谱图.这些材料可以免费从本刊网站(http://sioc-journal.cn/)上下载.
3.2.1 中间体1的合成
称取环维黄杨星D (2.01 g, 5.00 mmol)、苯甲醛(0.509 mL, 5.00 mmol)于100 mL圆底烧瓶中, 加入50 mL无水乙醇, 搅拌回流反应4 h, 反应完成后减压蒸出溶剂, 所得固体用无水乙醇重结晶, 得化合物1[16].白色固体, 产率86%, m.p. 195~197 ℃.
-
-
[1]
Liang, B. W.; Deng, C. A.; Wang, X. B.; Hou, X. Q.; Tang, Y. Y. Chin. Pharmacol. Bull. 1981, 16, 3 (in Chinese).
(梁秉文, 邓晨安, 王学斌, 侯晓清, 唐有元, 中国药学杂志, 1981, 16, 3.)
(b) Xu, X. J.; Zhang, Z. X.; Sheng, L. S.; Liu, G. L.; An, D. K. Acta Pharm. Sin. 2002, 37(5), 395 (in Chinese).
(徐新军, 张正行, 盛龙生, 刘皋林, 安登魁, 药学学报, 2002, 37(5), 395.)
(c) Xu, X. J.; Zhang, Z. X.; Sheng, L. S.; Liu, G. L.; An, D. K. J. China Pharm. Univ. 2002, 33(5), 408 (in Chinese).
(徐新军, 张正行, 盛龙生, 刘皋林, 安登魁, 中国药科大学学报, 2002, 33(5), 408.)
(d) Hu, G. Q.; Xu, Q. T.; Zhang, B. G.; Huang, W. L. Chin. J. Nat. Med. 2004, 2(3), 155 (in Chinese).
(胡国强, 许启泰, 张保国, 黄文龙, 中国天然药物, 2004, 2(3), 155.) -
[2]
方泰惠, 许惠琴, 徐立, 金胜娥, 中草药, 1997, 28(7), 413. http://www.cnki.com.cn/Article/CJFDTotal-ZCYO199707011.htmFang, T. H.; Xu, H. Q.; Xu, L.; Jin, S. E. China. Tradit. Herb. Drugs 1997, 28(7), 413 (in Chinese). http://www.cnki.com.cn/Article/CJFDTotal-ZCYO199707011.htm
-
[3]
汪永孝, 郑云敏, 谭月华, 盛宝恒, 药学学报, 1996, 31(7), 481. http://www.oalib.com/paper/4996542Wang, Y. X.; Deng, Y. M.; Tan, Y. H.; Sheng, B. H. Acta Pharm. Sin. 1996, 31(7), 481 (in Chinese). http://www.oalib.com/paper/4996542
-
[4]
Hu, D.; Liu, X. Y.; Wang, Y. Y. Eur. J. Pharmacol. 2007, 569, 103. doi: 10.1016/j.ejphar.2007.04.038
-
[5]
Lu, J.; Sun, D. P.; Gao, Y.; Ye, J. T. J. Pharmacol. Sci. 2014, 125, 74. doi: 10.1254/jphs.14013FP
-
[6]
黄丹丹, 林玲, 许立, 药物研究, 2014, 23(19), 26.Huang, D. D.; Lin, L.; Xu, L. Drug Res. 2014, 23(19), 26 (in Chinese).
-
[7]
黄丹丹, 邵靓婧, 许立, 药学导报, 2014, 33(12), 1562. http://www.cnki.com.cn/Article/CJFDTotal-YYDB201412007.htmHuang, D. D.; Shao, L. J.; Xu, L. Her. Med. 2014, 33(12), 1562 (in Chinese). http://www.cnki.com.cn/Article/CJFDTotal-YYDB201412007.htm
-
[8]
刘锡玖, 姚明辉, 方泰惠, 中国药理学报, 1982, 3(2), 101.LIU, X. J.; Yao, M. H.; Fang, T. H. Acta Pharmacol. Sin. 1982, 3(2), 101 (in Chinese).
-
[9]
胡式冷, 周念辉, 范世潘, 中国药理学报, 1981, 2(2), 101.HU, S. L.; Zhou, L. H.; Fan, S. P. Acta Pharmacol. Sin. 1981, 2(2), 101 (in Chinese).
-
[10]
邓兰, 黄衡, 徐鸣夏, 药学学报, 2006, 41(2), 121. http://www.cnki.com.cn/Article/CJFDTotal-YXXB200509010.htmDeng, L.; Huang, H.; Xu, M. X. Acta Pharm. Sin. 2006, 41(2), 121 (in Chinese). http://www.cnki.com.cn/Article/CJFDTotal-YXXB200509010.htm
-
[11]
邓兰, 黄衡, 徐鸣夏, 周世清, 任昉, 王兴文, 李岱庆, 药学学报, 2005, 40(9), 820. http://www.cnki.com.cn/Article/CJFDTotal-YXXB200509010.htmDeng, L.; Huang, H.; Xu, M. X.; Zhou, S. Q.; Ren, F.; Wang, X. W.; Li, D. Q. Acta Pharm. Sin. 2005, 40(9), 820 (in Chinese). http://www.cnki.com.cn/Article/CJFDTotal-YXXB200509010.htm
-
[12]
邓兰, 黄衡, 徐鸣夏, 周世清, 王兴文, 化学研究与应用, 2005, 16(5), 623. http://www.cnki.com.cn/Article/CJFDTotal-YXXB200509010.htmDeng, L.; Huang, H.; Xu, M. X.; Zhou, S. Q.; Wang, X. W. Chem. Res. Appl. 2005, 16(5), 623 (in Chinese). http://www.cnki.com.cn/Article/CJFDTotal-YXXB200509010.htm
-
[13]
邓兰, 黄衡, 徐鸣夏, 周世清, 王兴文, 卢淼, 任昉, 李岱庆, 药学学报, 2004, 39(6), 434. http://d.wanfangdata.com.cn/Periodical/yxxb200406008Deng, L.; Huang, H.; Xu, M. X.; Zhou, S. Q.; Wang, X. W.; Lu, M.; Ren, F.; Li, D. Q. Acta Pharm. Sin. 2004, 39(6), 434 (in Chinese). http://d.wanfangdata.com.cn/Periodical/yxxb200406008
-
[14]
郭彩虹, 杨定菊, 窦后松, 范辰华, 郜宁, 李颖, 尹述凡, 高分子材料科学与工程, 2006, 22(4), 72. http://www.cnki.com.cn/Article/CJFDTotal-GFZC200604017.htmGuo, C. H.; Yang, D. J.; Dou, H. S.; Fan, C. H.; Gao, N.; Li, Y.; Yin, S. F. Polym. Mater. Sci. Eng. 2006, 22(4), 72 (in Chinese). http://www.cnki.com.cn/Article/CJFDTotal-GFZC200604017.htm
-
[15]
郭彩虹, 窦后松, 郜宁, 肖佩玉, 李颖, 尹述凡, 华西药学杂志, 2006, 21(6), 511. http://www.cqvip.com/Main/Detail.aspx?id=23389476Guo, C. H.; Dou, H. S.; Gao, N.; Xiao, P. Y.; Li, Y.; Yin, S. F. West China J. Pharm. Sci. 2006, 21(6), 511 (in Chinese). http://www.cqvip.com/Main/Detail.aspx?id=23389476
-
[16]
胡翠, 杨鸿均, 窦后松, 李正帮, 李颖, 尹述凡, 中国药科大学学报, 2009, 40(1), 31. http://d.wanfangdata.com.cn/Periodical/zgyaokdxxb200901006Hu, C.; Yang, H. J.; Dou, H. S.; Li, Z. B.; Li, Y.; Yin, S. F. J. China Pharm. Univ. 2009, 40(1), 31 (in Chinese). http://d.wanfangdata.com.cn/Periodical/zgyaokdxxb200901006
-
[1]
-
表 1 化合物4a~4g对耐缺氧活性的影响
Table 1. The effects of compounds 4a~4g on the oxygen-deficient endurance
分组 剂量/
(mg·kg-1)动物数/
只死亡时间/
min延长率% 正常对照组 8 15.28±1.01 4a 7.5 8 14.68±0.87 -3.94 4b 7.5 8 16.87±1.33 10.38 4c 7.5 8 14.35±1.08 -6.09 4d 7.5 8 13.74±1.39 -10.06 4e 7.5 8 14.86±1.14 -2.77 4f 7.5 8 12.97±1.35 -15.11 4g 7.5 8 12.64±1.00a -17.29 CVB-D 7.5 8 17.96±0.81b 17.52 aP < 0.05, b P < 0.01. -
扫一扫看文章
计量
- PDF下载量: 0
- 文章访问数: 170
- HTML全文浏览量: 12

下载:
下载: