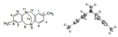
图 1
Tröger’s base的结构
Figure 1.
Structure of Tröger's base
Citation: Chu Yanhuan, Han Hui, Li Wei, Liu Zhentao, Han Xiang'en. Synthesis and Characteristics of Novel Tröger's Bases with the Properties of Aggregation-Induced Emission[J]. Chinese Journal of Organic Chemistry, 2015, 36(2): 336-345. doi: 10.6023/cjoc201508023
具有聚集态荧光增强性质的新型Tröger'sBase衍生物的合成与表征
-
关键词:
- Tröger's base
- / π-π密堆积
- / Knoevenagel反应
- / 氰基苯乙烯
- / 聚集诱导发光
English
Synthesis and Characteristics of Novel Tröger's Bases with the Properties of Aggregation-Induced Emission
-
Key words:
- tröger's base
- / π-π close stacking
- / knoevenagel reaction
- / cyano styrene
- / aggregation-induced emission
-
近年来, 有机发光材料广泛应用于有机发光二极管(OLEDs)、半导体激光器和荧光传感器等领域[1~6], 目前已成为国内外研究的热点.传统的荧光材料在稀溶液中具有较高的发光效率, 而在聚集态时, 由于相邻分子间的强烈π-π作用、激基复合物或H-聚集体等产生跃迁能级的禁阻, 导致荧光强度急剧下降甚至完全淬灭, 即产生“聚集态荧光淬灭(即浓度淬灭效应, Aggregation Caused Quenching, ACQ)”效应[7].因为大部分器件都要求发光材料的使用必须是在固态或薄膜状态下, 所以这种ACQ效应大大限制了有机发光材料在光电器件方面的应用.因此, 研究和探索高效荧光材料, 特别是在固态下的强发光材料具有重要的理论与实际意义.
2001年, 唐本忠课题组[8]发现一种Silole分子在溶液状态时不发光, 而在固态或聚集时却发很强的光, 他们将这一现象命名为聚集诱导发光现象(Aggregation-induced Emission, AIE)[9~11], 引起了人们广泛的关注. AIE机理是由于分子内旋转受阻(Restriction of Intramolecular Rotation, RIR)可以有效抑制激发态分子的非辐射衰减, 使得这类化合物在溶液中荧光较弱或荧光消失, 而在聚集态时荧光较强[12]. AIE效应的发现颠覆了科学界对于发光团和发光现象的认识, 为固态或聚集态发光材料的实际应用提供了基础.
具有聚集诱导发光效应(AIE)的有机光电材料在OLED、化学生物传感器等领域具有潜在的应用前景, 设计合成具有聚集诱导发光效应的化合物, 是有机光电材料领域一个非常重要的研究方向.氰基苯乙烯结构单元易于与其他功能基团或体系的结合, 进而使其衍生物在光学器件、传感、生物成像等领域展现出良好的应用前景.具有AIE性质的化合物主要有以下两种类型, 例如基于吡喃类化合物1、氰基联苯乙烯类衍生物2等[13~15], 这几类在实际应用中都极具竞争力.
2, 8-Dimethyl-6H, 12H-5, 11-methanodibenzo[b, f][1, 5]diazocine (Tröger's base, 简称TB, 图 1), 是1887年由Tröger[16]首次合成得到的. TB骨架所具有的Λ-型刚性结构可避免形成导致荧光淬灭的π-π密堆积, 具有开发为AIE化合物的潜力, 并且已经在荧光探针、生物传感器、不对称催化剂、手性发光材料和液晶材料等领域得到开发[17~19].其中, 基于TB的具有诱导荧光材料的发展才刚刚起步[20~27], 最早是在2007年陶绪堂课题组[21, 22]给予的报道, 并进行了一系列深入研究, 取得了一定成果, 但材料的种类还有待于丰富、结构与性能的关系仍需深入探讨, 其在有机光电材料及器件领域的应用也需进一步探索.因此, 合成含有TB单元的新型固态荧光化合物并研究其光电性质在有机发光材料器件上的应用还有很大的空间.
本文的主要研究内容就是探索和设计高效的有机电致荧光材料, 目的是设计和合成高固态荧光材料.从有机光电材料的分子设计的角度出发, 选择Λ-型TB骨架为分子的基本框架, 以溴代Λ-型TB为原料合成了醛基取代TB, 通过醛基TB与三个取代苯乙腈单元和一个2-噻吩乙腈单元经过Knoevenagel缩合反应首次高效地合成了四个具有聚集态荧光增强特性的TB-氰基取代苯乙烯衍生物1a、2a、3a和4a, 并合理解释了该类化合物聚集态荧光增强的机理, 这类化合物在聚集态存在较强的分子间π-π堆积作用和氰基作用.同时首次成功地利用钯催化Heck偶联反应将供电子性能优良的噻吩环引入到TB骨架上, 设计合成了溶液和固态强荧光性质的Λ-型噻吩烯烃类有机光电功能化合物5a.研究发现化合物1a、2a、3a、4a和5a在固体状态下发光较强, 发射亮黄色和黄绿色荧光, 化合物1a、2a、3a和4a在溶液中发光较弱, 几乎没有荧光, 而化合物5a在溶液中发射较强的蓝光.通过对这些化合物的光电性质研究, 得出这些化合物均表现聚集诱导荧光增强的特性, 且化合物2a表现出明显的溶剂效应.我们所合成的这类TB衍生物具有扭折构型, 在固态下表现出相对较大的斯托克斯位移(Stokes shift)和长荧光寿命, 表明该类化合物在电致发光材料等领域存在潜在的应用价值.
1 结果与讨论
1.1 合成与表征
TB取代氰基苯乙烯衍生物1a~4a和化合物5a的合成如Scheme 1所示, 其中TB-Br、TB-I和TB-CHO按照参考文献[28, 29]合成, 并在辅助材料部分中详细给出具体合成过程.通过醛基TB分别与对甲基苯乙腈、对甲氧基苯乙腈、对溴苯乙腈和2-噻吩乙腈在氢氧化钠催化条件下发生Knoevenagel缩合反应制备目标化合物1a、2a、3a和4a, 产率分别为85%、76%、83%和69%.并利用中间体TB-I与2-噻吩乙烯通过钯催化的Heck偶联反应制备目标化合物5a, 产率为79%.我们利用FT-IR, 1H NMR、13C NMR, HRMS等测试手段对目标化合物进行了结构表征, 所有化合物均可溶于二氯甲烷、四氢呋喃与氯仿等有机溶剂.
在化合物1a和5a的红外光谱图中出现了960 cm-1处反式碳碳双键的特征吸收峰[30, 31], 2217 cm-1处氰基的特征振动峰[32].此外, 在核磁共振氢谱中, 没有观察到顺式碳碳双键的氢信号δ 6.5, 进一步确定了化合物1a和5a结构中的双键均为反式构型.
1.2 光电性质
1.3 密度泛函理论计算
为了更进一步地研究化合物1a、2a、3a、4a和5a的分子结构与电子云分布对固体染料物性以及相应固态化合物性能的影响, 我们用Gaussian 09中B3LXP方法对分子进行理论计算.采用密度泛函理论(Density Functional Theory, DFT), 选用的计算机组为6-31G(d), 对化合物进行基态全优化, 计算得到了化合物的三维几何构型和HOMO及LUMO的电子云密度分布图.其中, ΔE (eV)为化合物中LUMO与HOMO的能极差, 计算结果如表 2.
表 2
化合物1a、2a、3a和4a的HOMO和LUMO的能级
Table 2.
Calculated spatial distributions of the HOMO and LUMO levels of partial compounds 1a, 2a, 3a and 5a
表 2 化合物1a、2a、3a和4a的HOMO和LUMO的能级
Table 2. Calculated spatial distributions of the HOMO and LUMO levels of partial compounds 1a, 2a, 3a and 5a计算结果表明, 目标分子的HOMO能级电子云均匀的分布在电子给体以及共轭桥链部分, 分子的LUMO能级电子云均匀分布在共轭桥链以及电子受体一端.由计算结果可知, 目标化合物相比于母体分子, 分子的HOMO能级在不同程度提高, LUMO能级在不同程度降低, 分子的能极差在缩小, 激发能量变小.同时可以看到, 化合物1a、2a、3a和4a从基态到激发态的跃迁, 伴随着部分电荷转移, 即电荷从给体部分通过桥链向受体部分迁移.从表 2中可以看出, 将噻吩基团引入到TB核后, 化合物5a的电子云分布更加均匀, 化合物5a的HOMO能级的电子密度分布于整个分子中, 而LUMO的电子密度主要来自于噻吩基团和碳碳双键的贡献, 组成TB骨架侧翼的苯环也有少许的贡献, 但是TB骨架中的两个N氮原子没有任何贡献. HOMO和LUMO电子密度的分布情况可以证明HOMO-LUMO能级之间的跃迁是π-π*跃迁, 同时也验证了化合物5a在不同极性溶剂中的显色效应.化合物2a和5a的HOMO能级分别为-5.30和-5.85 eV, 与常用的空穴传输材料NBP的能级(-5.20 eV)相近, 与正电极(ITO)的功函数(-4.8 eV)也具有良好的能级匹配, 这可有效降低空穴注入能垒, 有利于空穴的传输.
1.2.3 固态荧光
将化合物1a、2a、3a、4a和5a溶解在四氢呋喃(THF)溶液中配成浓度为1×10-5 mol/L, 并将这些化合物的固态粉末和配成的THF溶液放在365 nm紫外灯下照射, 如图 5所示为化合物1a、2a、3a、4a和5a的固体和溶液荧光对比图.化合物1a、2a、3a和4a在THF溶液中几乎没有荧光发射, 而化合物5a在THF溶液下发出强烈的蓝色发光.特别的化合物1a、2a和3a在固体粉末状态下具有较强的亮黄绿色发光, 化合物4a在固体粉末状态下有较强的深黄色发光, 化合物5a发射较强的亮黄色荧光, 具有聚集态荧光增强的特征.
1.2.2 溶剂效应对分子的紫外吸收与荧光发射光谱的影响
在紫外光和可见光区, 物质分子吸收一定的能量后, 产生从基态到激发态的跃迁, 除了σ→σ*跃迁, π→π*跃迁, n→π*跃迁以外, 还有电荷转移(charge transfer, CT)跃迁; 有机分子的跃迁类型主要是π→π*跃迁, n→π*跃迁和CT跃迁; 当有机溶剂存在时, 这些跃迁由于所需的能量不同, 在非极性和极性溶剂中会发生不同程度的红移或蓝移, 表现为一定的溶剂效应; 而其吸收峰或发射峰的形状和强度也会发生不同程度的改变.基于此, 我们考察了化合物1a, 2a和5a的溶剂效应, 即发光分子不同溶剂中, 随着溶剂极性的增大会出现红移, 本文分别测试了三个化合物在正己烷、甲苯、氯仿、THF和DMF中的紫外吸收和单光子发射光谱图, 溶液浓度均为1×10-6 mol/L, 如图 3所示.荧光测定时参数设置: Slit EX=5.0 nm, Slit EM=10.0 nm, PMT电压为500 V.其中正己烷和氯仿为市场售分析纯, 甲苯、THF和DMF在测试前提纯重蒸.
图 3中的三个曲线图分别为化合物1a, 2a和5a在五种不同溶剂中同一浓度下的线性吸收光谱图.一般来说溶剂效应会影响化合物紫外吸收光谱的峰形、最大吸收波长等.当溶剂极性增加时, 化合物的线性吸收光谱的精细结构消失, 同时伴随着π→π*跃迁吸收的位移.从图 3中可以看出, 化合物1a在不同溶剂中最大吸收峰位在350 nm左右, 其最大吸收峰位置和吸收峰型基本不变, 吸收强度不同, 这也说明在基态时, 化合物1a受溶剂的影响很小, 基本无溶剂效应; 化合物2a在不同溶剂中的最大吸收峰位在355 nm左右, 其中化合物2a在正己烷中溶解度很小, 所以紫外吸收很微弱, 基本没有.特别的, 从图 3中可以看出, 随着溶剂极性的增大, 吸收峰位呈现微弱的增加, 即具有红移现象, 表现出一定的溶剂效应.化合物5a在不同溶剂中的最大吸收峰位在340 nm左右, 吸收强度不同; 虽然化合物5a含有较强的给电子基团(噻吩), 但它的吸收光谱的溶剂效应很弱, 随溶剂极性的增减变化很少.
如图 3所示, 化合物2a的吸收峰型在不同溶剂中几乎保持不变.然而, 随着溶剂极性的增加, 化合物2a的发射带逐渐红移、变宽且发生强度逐渐增强, 峰位从甲苯的348 nm至N, N-二甲基甲酰胺的357 nm处, 这说明激发态具有电荷转移(ICT)特征.溶剂依赖的紫外-可见吸收光谱与荧光发射谱图证明了化合物2a在360 nm附近的发射峰一部分来源于ICT跃迁.
图 4为化合物1a、2a和5a在同一浓度的同一条件下不同溶剂中的荧光发射光谱图, 从图 4中可以明显看出这些化合物在不同溶剂中的荧光发射峰位置和强度均发生了变化.其中, 化合物1a和2a在正己烷和甲苯这些弱极性溶剂中的荧光强度最强, 相反在强极性溶剂中荧光强度反而较弱, 化合物5a则没有那么明显的规律.特别地, 不同极性的溶剂对化合物5a的紫外吸收光谱几乎没有影响, 而从荧光光谱图却表现出了明显的溶剂效应.从图 3和图 4中可以观察到这些化合物在不同极性溶剂中的吸收和发射都有明显变化, 说明溶剂对这些化合物的分子基态具有明显的影响.
1.2.1 紫外吸收光谱
将化合物1a、2a、3a、4a和5a分别配成1×10-5 mol/L四氢呋喃溶液, 并立即对其进行紫外-可见吸收测试, 相对应的紫外吸收光谱如图 2所示.目标化合物1a、2a、3a、4a和5a的最大吸收峰分别位于353、358、315、354和343 nm处, 且这些化合物均有两个吸收峰.目标化合物在230~250 nm处都有吸收, 这可能是TB分子内的n-π*电子跃迁所致.化合物1a在340~360 nm处有较强的吸收, 是π-π*电子跃迁所致, 化合物2a在340~370 nm处有较强的吸收, 也是由π-π*电子跃迁所致.且化合物2a的最大吸收波长与化合物1a相比红移了5 nm, 可能是甲氧基比甲基更强的供电子性引起的.其中化合物3a在310~320 nm处有较强的吸收, 是π-π*电子跃迁所致, 且相比于化合物1a和2a有明显的蓝移, 可能是化合物3a上的Br原子的强吸电子性引起的.化合物4a的最大吸收峰位置和峰形与化合物1a和2a相比非常相似, 都具有较强的吸收.化合物5a在340~360 nm处有较强的吸收, 是π-π*电子跃迁所致.
1.2.4 荧光发射光谱
化合物1a、2a、3a和4a在一些常用的有机溶剂中, 例如二氯甲烷、氯仿、DMF、THF等溶解性很好, 但均在溶液中发光非常弱, 甚至不发光, 而化合物5a在这些溶剂中发光较强, 且所有目标化合物在固体状态或者聚集状态下发出强烈的固态荧光.为了研究这些化合物的聚集诱导发光性能, 我们选用了经典的验证AIE特性的方法测试了这些化合物在不同比例的良溶剂(THF)-不良溶剂(水)体系中的荧光发射光谱.将目标化合物分别分散到不同比例的水/THF混合溶液中, 使化合物在整个体系中的浓度保持1×10-6 mol/L下.荧光测定时参数设置: Slit EX=5.0 nm, Slit EM=10.0 nm, PMT电压为500 V.化合物1a、2a、3a、4a和5a的最大紫外吸收波长、最大荧光发射波长以及斯托克斯(Stokes)位移分别列于表 1中, 其中Stokes位移是吸收最大峰与发射最大峰位的波数差.
表 1
化合物1a、2a、3a、4a和5a的λAbs、λEm和Stokes位移
Table 1.
λAbs, λEm and stokes shift of compounds 1a, 2a, 3a, 4a and 5a
化合物 1a 2a 3a 4a 5a λAbs/nm 350 356 343 306 336 λEm/nm 431 407 360 368 411 Stokes
Shift/nm81 51 17 62 75 表 1 化合物1a、2a、3a、4a和5a的λAbs、λEm和Stokes位移
Table 1. λAbs, λEm and stokes shift of compounds 1a, 2a, 3a, 4a and 5a图 6是化合物1a、2a和3a在不同比例的水、THF混合溶液中的荧光光谱图, 图 7是化合物4a和5a在不同比例的水、THF混合溶液中的荧光光谱图, 为了更明显地看出化合物在不同比例的水、THF混合溶液中的荧光由无到有, 并逐渐增强的过程, 我们选取化合物1a、2a和5a溶解在不同含水量的水、THF溶液中, 放在365 nm紫外灯下, 且对其拍照, 图 8是化合物1a、2a和5a在不同含水量的THF溶液中的荧光照片.从图 6可以看出, 化合物1a和2a溶于THF时, 溶液几乎没有荧光.当混合溶剂中水的含量在50%以下时, 溶液只表现出微弱的可以忽略的荧光; 当体系中水的体积分数超过50%时, 溶液荧光开始增强, 此时化合物分子逐渐开始聚集成纳米粒子.并且随着混合溶剂中水体积分数的增加, 荧光强度进一步增大.由此可以看出, 化合物1a和2a具有典型的AIE性质.由图 6可以看到, 化合物3a在混合溶剂中随着水含量的增加荧光强度显著增加, 特别当水含量增加至超过40%时, 溶液荧光强度呈梯字型增强.化合物4a表现出和上述三个化合物相似的特性, 荧光强度随着水含量增加化而增加, 当水含量超过30%时, 荧光强度显著增强; 当水含量达到90%时, 化合物4a的荧光强度相比于纯THF溶剂时增大了112倍, 表现出强的聚集诱导荧光增强的特性.化合物5a在THF溶液中发射很强的蓝光, 但在水/THF体系中水的含量在30%以下时, 溶液却表现出相对较弱的荧光发射, 当体系中水含量增加至超过40%时, 化合物5a的荧光强度明显增强.荧光测试结果表明, 随着水的加入, 这些化合物以细微晶粒的形式析出并聚集, 其荧光强度逐渐增强, 呈现出典型的聚集诱导荧光增强的特性.这可能是因为水是此类化合物的不良溶剂, 当体系中含有大量的水时, 原来溶解在THF溶剂中的化合物以团聚成固体粒子而析出, 随着水量的增多, 体系中团聚的固体粒子越来越多, 整个体系的荧光也就变得越来越强.因此我们认为当大量不良溶剂(水)加入后, 分子由于不溶于水而发生聚集, Λ-型TB骨架对于抑制固态荧光淬灭效应起了关键作用, 在溶液中, TB类化合物的对映异构化及分子的动态旋转过程耗散了能量, 致使其没有荧光发射.而固态下, 动态旋转过程的抑制、有效的分子内电荷转移以及Λ-型构型引起的较大分子间距离导致了分子间弱相互作用使其表现出了强的固态荧光.此外, 化合物1a、2a、3a和4a在氰基空间位阻作用下形成有利于荧光发射的J-聚集体, 所有作用力相互作用导致该类化合物的固态荧光增强.对化合物5a而言, 由于化合物5a具有非平面结构的TB核, 刚性Λ-型扭转构型的空间位阻作用在分子堆积时不利于形成π-π密堆积, 导致其聚集状态下分子内旋转受阻, 进而关闭了非辐射跃迁的通道, 导致化合物5a的荧光增强.从荧光谱图可知, 化合物1a、2a、3a、4a和5a的荧光最大发射波长分别位于356、360、360、368和411 nm处.通过对这类化合物光谱性质的初步研究, 我们认为该类化合物的荧光主要来自于其聚集态的形成, 并根据分子结构特点, 在聚集状态下, 分子内对映异构化和分子内的动态振动过程都将终止, 即所谓的分子内旋转受阻, 从而关闭了非辐射跃迁的通道.氰基苯乙烯衍生物在聚集态或固态发射出比较强的荧光现象为解决聚集荧光猝灭提供了方向, 在诸如有机发光材料、化学、生物传感器等领域有广阔的应用前景.
2 结论
本文选择Λ-型TB骨架作为分子的基本框架, 首先以溴代Λ-型TB为原料合成了醛基取代TB, 再通过醛基TB与三个取代苯乙腈单元和一个2-噻吩乙腈单元经过Knoevenagel缩合反应, 首次高效地合成了四个具有聚集态荧光增强特性的TB-氰基取代苯乙烯衍生物1a、2a、3a和4a, 并利用钯催化的Heck偶联反应将供电子性能优良的噻吩环引入到TB骨架中, 成功地合成了溶液和固态发光性能均优良的化合物5a, 并用多种手段对产物进行了结构表征, 初步研究了产物的发光性能.化合物1a、2a、3a和4a在THF溶液中发光较弱, 相反化合物5a具有很强的蓝光发光, 特别是化合物1a、2a、3a、4a和5a在固体状态下荧光较强, 对这些化合物的光电性质的初步研究表明, 它们均是典型的聚集诱导发光物质.我们认为Λ-型TB骨架在抑制固态荧光淬灭效应方面起到了关键作用.化合物1a、2a、3a和4a分子的Λ-型扭折构型和侧翼的氰基空间位阻效应成功地抑制了分子间的π-π密堆积, 分子间弱相互作用力导致其聚集态荧光增强.同时我们认为化合物5a具有非平面刚性Λ-型扭转构型, 在分子堆积时不利于形成π-π密堆积, 分子内旋转受阻可以有效抑制激发态分子的非辐射衰减, 使得化合物5a在聚集态时荧光增强, 且表现出较大的Stokes位移和长的荧光寿命.实验结果证明, TB骨架上引入醛基后, 具有很好的固态蓝绿色发光, 而引入氰基后, 化合物具有较强的固态黄绿色发光, 均有望开发为聚集态荧光材料, 并在有机电致发光器件和光学传感器上有潜在的应用价值.
3 实验部分
3.1 仪器与试剂
Avance DPX-400MHz核磁共振仪(TMS为内标); Bruker MicroTOF-QII型质谱仪(APCI); UV-2500PC紫外-可见分光光度仪(岛津); F-4500荧光分光光度仪(日本日立); FTIR-Tensor27傅立叶变换红外光谱仪(KBr压片);
4-溴苯胺, 4-碘苯胺, 三氟乙酸, 多聚甲醛, 2.5 mol/L n-BuLi, 对甲基苯乙腈, 对甲氧基苯乙腈, 4-溴苯乙腈, 2-噻吩乙腈, 2-乙烯基噻吩. Pd(OAc)2, 四丁基溴化铵, K2CO3, NaOH, DMF, THF, 无水乙醇, 甲苯, 正己烷, 氯仿, 所有试剂均为市售分析纯.除DMF和四氢呋喃做除水处理外, 其它试剂未做进一步处理.实验用水为二次蒸馏水.
3.2 实验方法
3, 3'-(6H, 12H-5, 11-甲基二苯-[b, f][1, 5]二氮芳辛-2, 8-取代基)双[2-(p-甲苯基)丙烯腈] (1a): 100 mL圆底烧瓶中依次加入TB-CHO (1 mmol, 0.28 g)、4-甲基苯乙腈(2.2 mmol, 0.29 g)、NaOH (3.5 mmol, 0.14 g)和10 mL无水乙醇, 升温至80℃反应2 h至溶液中有大量亮黄色固体析出.反应完毕后, 冷却至室温, 抽滤, 用冷的无水乙醇洗涤滤饼, 滤饼经过柱层析提纯[V(石油醚):V(乙酸乙酯)=2:1], 得0.42 g亮黄绿色固体粉末, 产率85%. m.p. 285.1~285.7℃; 1H NMR (CDCl3, 400 MHz) δ: 7.70 (d, J=8.40 Hz, 2H), 7.50 (d, J=8.2 Hz, 6H), 7.35 (s, 2H), 7.28~7.18 (m, 7H), 4.78 (d, J=16.7 Hz, 2H), 4.35~4.48 (m, 4H), 2.35~2.40 (m, 6H); 13C NMR (CDCl3, 100 MHz) δ: 150.2, 140.5, 139.2, 131.7, 129.7, 128.8, 128.1, 125.7, 125.5, 118.3, 110.1, 66.8, 58.7, 21.2; HRMS calcd for C35H28N4 505.2348, found 505.2336.
3, 3'-(6H, 12H-5, 11-甲基二苯-[b, f][1, 5]二氮芳辛-2, 8-取代基)双[2-(4-甲氧苯基)丙烯腈] (2a): 100 mL圆底烧瓶中依次加入TB-CHO (1 mmol, 0.28 g)、4-甲氧基苯乙腈(2.2 mmol, 0.33 g)、NaOH (3.5 mmol, 0.14 g)和10 mL无水乙醇, 升温至80 ℃反应2h至溶液中有大量亮黄色固体析出.反应完毕后, 冷却至室温, 抽滤, 用冷的无水乙醇洗涤滤饼, 滤饼经过柱层析提纯[V(石油醚):V(乙酸乙酯)=2:1], 得0.40 g亮黄绿色固体, 产率76%. m.p. 249.4~251.2 ℃; 1H NMR (CDCl3, 400 MHz) δ: 7.72~7.76 (m, 2H), 7.50 (d, J=8.2 Hz, 6H), 7.34 (s, 2H), 7.25 (s, 2H), 7.21 (d, J=8.3 Hz, 4H), 4.77 (d, J=16.6 Hz, 2H), 4.32~4.46 (m, 4H), 2.37 (s, 6H); 13C NMR (CDCl3, 100 MHz) δ: 160.3, 150.0, 139.5, 129.9, 128.8, 128.6, 128.2, 127.1, 125.4, 118.4, 114.4, 109.8, 67.1, 58.7, 55.5; HRMS calcd for C35H28N4O2 537.2246, found 537.2221.
3, 3'-(6H, 12H-5, 11-甲基二苯-[b, f][1, 5]二氮芳辛-2, 8-取代基)双[2-(4-溴苯基)丙烯腈] (3a): 100 mL圆底烧瓶中依次加入TB-CHO (1 mmol, 0.28 g)、4-溴苯乙腈(2.2 mmol, 0.42 g)、NaOH (3.5 mmol, 0.14 g)和5 mL无水乙醇, 升温至80℃反应3 h至溶液中有亮黄绿色固体析出.反应完毕后, 冷却至室温, 抽滤, 用冷的无水乙醇洗涤滤饼, 滤饼经过柱层析提纯[V(石油醚):V(乙酸乙酯)=2:1], 得0.53 g亮黄绿色固体, 产率83%. m.p. 281.0.4~280.5℃; 1H NMR (CDCl3, 400 MHz) δ: 7.74~7.76 (m, 2H), 7.58 (d, J=8.2 Hz, 2H), 7.56 (d, J=8.2 Hz, 4H), 7.51 (d, J=8.2 Hz, 2H), 7.49 (d, J=8.2 Hz, 2H), 7.39 (s, 2H), 7.26 (s, 1H), 7.24 (s, 1H), 4.82 (d, J=16.6 Hz, 2H), 4.35~4.46 (m, 4H); 13C NMR (CDCl3, 100 MHz) δ: 150.6, 141.8, 133.5, 133.2, 129.3, 129.0, 128.3, 128.2, 127.3, 125.6, 123.2, 117.8, 109.1, 66.8, 58.7; HRMS calcd for C33H22Br2N4 633.0264, found 633.0248.
3, 3'-(6H, 12H-5, 11-甲基二苯-[b, f][1, 5]二氮芳辛-2, 8-取代基)双[2-(噻吩-2-基)丙烯腈] (4a): 100 mL圆底烧瓶中依次加入TB-CHO (1 mmol, 0.28 g)、2-噻吩乙腈(2.2 mmol, 0.27 g)、NaOH (3.8 mmol, 0.17 g)和5 mL无水乙醇, 升温至80℃反应3 h至溶液中有大量亮黄色固体析出.反应完毕后, 冷却至室温, 抽滤, 用冷的无水乙醇洗涤滤饼, 滤饼经过柱层析提纯[V(石油醚):V(乙酸乙酯)=2:1], 得0.30 g亮黄色固体, 产率69%. m.p. 232.1~232.8℃; 1H NMR (CDCl3, 400 MHz) δ: 7.72~7.75 (m, 2H), 7.50 (d, J=8.2 Hz, 2H), 7.35~7.22 (s, 8H), 7.08~7.05 (s, 2H), 4.84 (d, J=16.6 Hz, 2H), 4.29~4.35 (m, 4H); 13C NMR (CDCl3, 100 MHz) δ: 150.1, 139.3, 138.9, 129.4, 128.7, 128.2, 128.1, 128.0, 126.9, 125.5, 117.0, 104.8, 66.8, 58.7; HRMS calcd for C27H22N24S2 489.1139, found 489.1113.
2, 8-二[(E)-2-(噻吩-2-基)乙烯基]-6H, 12H-5, 11-甲基二苯[b, f][1, 5]二氮芳辛(5a):向干燥的100 mL圆底烧瓶中, 依次加入0.24 g (0.5 mmol)化合物TB-I, 0.13 g (1.2 mmol) 2-乙烯基噻吩, 0.21 g (1.5 mmol)的无水K2CO3, 0.49 g (1.5 mmol)的四丁基溴化铵(TBAB), 在氮气保护下加入约20 mg的催化剂Pd(OAc)2, 然后注入10 mL重蒸的DMF, 并将体系慢慢升温至110 ℃, 反应24 h后, 将混合物冷却至室温, 用少量水淬灭反应后, 再用CH2Cl2萃取(20 mL×3), 合并有机相, 无水硫酸钠干燥静置, 减压除去溶剂, 粗产品经柱层析[硅胶, V(石油醚):V(乙酸乙酯)=2:1]提纯后, 得到亮黄色固体3a, 产率66%. m.p. 210.1~211.3℃; 1H NMR (400 MHz CDCl3) δ: 7.35 (d, J=6.7 Hz, 2H), 7.26 (d, J=6.5 Hz, 3H), 7.18 (d, J=4.8 Hz, 2H), 7.13 (s, 1H), 7.09 (s, 1H), 7.07~7.02 (m, 3H), 6.98 (dd, J=5.0, 3.6 Hz, 2H), 6.79 (d, J=16.1 Hz, 2H), 4.81 (d, J=16.6 Hz, 2H), 4.51 (d, J=16.9 Hz, 2H), 4.25 (d, J=16.8 Hz, 2H); 13C NMR (CDCl3, 100 MHz) δ: 148.8, 141.8, 134.9, 130.6, 129.5, 128.7, 128.1, 126.2, 121.9, 108.2, 68.8, 60.2; HRMS calcd for C27H22N2S2 439.1238; found 438.1210.
辅助材料(Supporting Information) TB-Br、TB-I和TB-CHO的合成过程以及化合物1a~5a的1H NMR、13C NMR、HRMS及部分化合物的红外谱图.这些材料可以免费从本刊网站(http://sioc-journal.cn/)上下载.
-
-
[1]
Friend, R. H.; Gymer, R. W.; Holmes, A. B.; Burroughes, J. H.; Marks, R. N.; Taliani, C.; Bradley, D. D. C.; Dos Santos, D. A.; Bredas, J. L.; Logdlund, M.; Salaneck, W. R. Nature 1999, 397, 121. doi: 10.1038/16393
-
[2]
Scherf, U.; Riechel, S.; Lemmer, U.; Mahrt, R. F. Curr. Opin. Solid State Mater. Sci. 2001, 5, 143. doi: 10.1016/S1359-0286(01)00010-9
-
[3]
Sun, Y.; Giebink, N. C.; Kanno, H.; Ma, B.; Thompson, M. E.; Forest, S. R. Nature 2006, 400, 908.
-
[4]
Samuel, I. D. W.; Turnbull, G. A. Chem. Rev. 2007, 107, 1272. doi: 10.1021/cr050152i
-
[5]
Thomas, S. W.; Joly, G. D.; Swager, T. M. Chem. Rev. 2007, 107, 1339. doi: 10.1021/cr0501339
-
[6]
Reineke, S.; Lindner, F.; Schwartz, G.; Seidler, N.; Walzer, K.; Lussem, B.; Leo, K. Nature 2009, 459, 234. doi: 10.1038/nature08003
-
[7]
Chen, C. T. Chem. Mater. 2004, 23, 4389.
-
[8]
Luo, J. D.; Xie, Z. L.; Lam, J. W. Y.; Cheng, L.; Chen, H. Y.; Qiu, C. F.; Kwok, H. S.; Zhan, X. Q.; Zhu, D. B.; Tang, B. Z. Chem. Commun. 2001, 381, 740.
-
[9]
Shen, X. Y.; Wang, Y. J.; Zhao, E. G.; Yuan, W. Z.; Liu, Y.; Liu, P.; Qin, A. J.; Ma, Y. G.; Sun, J. Z.; Tang, B. Z. J. Phys. Chem. C 2013, 117, 7334. doi: 10.1021/jp311360p
-
[10]
Zheng, Z.; Yu, Z. P.; Yang, M. D.; Jin, F.; Zhang, Q.; Zhou, H. P.; Wu, J. Y.; Tian, Y. P. J. Org. Chem. 2013, 78, 3222. doi: 10.1021/jo400116j
-
[11]
Wang, J.; Mei, J.; Hu, R. R.; Sun, J. Z.; Qin, A. J.; Tang, B. Z. J. Am. Chem. Soc. 2012, 134, 9956. doi: 10.1021/ja208883h
-
[12]
Kokado, K.; Nagai, A.; Chujo, Y. Macromolecules 2010, 42, 6463.
-
[13]
Li, Z.; Dong, Y.; Lam, J. W. Y.; Sun, J. X.; Qin, A. J.; Haussler, M.; Dong, Y. P.; Sung, H. H. Y.; Williams, I. D.; Kwok, H. S. Adv. Funct. Mater. 2009, 19, 905. doi: 10.1002/adfm.v19:6
-
[14]
Tong, H.; Hong, Y. N.; Dong, Y. Q.; Haeussler, M.; Li, Z.; Lam, J. W. Y.; Dong, Y. P.; Sung, H. H. Y.; Williams, I. D.; Tang, B. Z. J. Chem. Phys. B 2007, 111, 11817. doi: 10.1021/jp073147m
-
[15]
Tong, H.; Dong, Y. Q.; Haeussler, M.; Hong, Y. N.; Lam, J. W. Y.; Sung, H. H. Y.; Williams, I. D.; Kwok, H. S.; Tang, B. Z. Chem. Phys. Lett. 2006, 113, 326.
-
[16]
Tröger, J. J. Prakt. Chem. 1887, 36, 225. doi: 10.1002/prac.18870360123
-
[17]
Cabrero-Antonino, J. R.; Garcia, T.; Rubio-Marques, P.; Vidal-Moya, J. A.; Leyva-Perez, A.; Al-Deyab, S. S.; Al-Resayes, S. I.; Diaz, U.; Corma, A. ACS Catal. 2011, 1, 147. doi: 10.1021/cs100086y
-
[18]
Boyle, E. M.; Comby, S.; Molloy, J. K.; Gunnlaugsson, T. J. Org. Chem. 2013, 78, 8312. doi: 10.1021/jo4008942
-
[19]
Baldeyrou, B.; Tardy, C.; Bailly, C.; Colson, P.; Houssier, C.; Charmantary, F.; Demeunynck, M. Eur. J. Med. Chem. 2002, 37, 315. doi: 10.1016/S0223-5234(02)01356-9
-
[20]
袁春雪, 博士论文, 山东大学, 山东, 2009. http://cdmd.cnki.com.cn/article/cdmd-10422-2009248006.htmYuan, C.-X. Ph.D. Dissertation, Shandong University, Shandong, 2009 (in Chinese). http://cdmd.cnki.com.cn/article/cdmd-10422-2009248006.htm
-
[21]
Yuan, C. X.; Tao, X. T.; Ren, Y., Li Y.; Yang, J. X.; Yu, W. T.; Wang, L.; Jiang, M. H. J. Phys. Chem. C 2007, 111, 12811. doi: 10.1021/jp0711601
-
[22]
Yuan, C. X.; Tao, X. T.; Wang, L.; Yang, J. X.; Ren, Y.; Yu, W. T.; Jiang, M. H. J. Phys. Chem. C 2009, 113, 6809. doi: 10.1021/jp8111167
-
[23]
Xin, Q.; Tao, X. T.; Liu, H. J.; Ren, Y.; Jiang, M. H. CrystEngCommun. 2008, 10, 1204. doi: 10.1039/b801899e
-
[24]
Xin, Q.; Tao, X. T.; Wang, F. Z.; Sun, J. L.; Zou, D. C.; Wang, F. J.; Liu, H. J.; Liu, Z.; Jiang, M. H. Org. Electron. 2008, 9, 1076. doi: 10.1016/j.orgel.2008.08.013
-
[25]
辛倩, 博士论文, 山东大学, 山东, 2008.Xin, Q. Ph.D. Dissertation, Shandong University, Shandong, 2008 (in Chinese).
-
[26]
郑晶静, 王雷, 刘阳, 陶绪堂, 高等化学学报, 2010, 31, 855. http://www.cnki.com.cn/Article/CJFDTotal-GDXH201005001.htmZheng, J.-J.; Wang, L.; Liu, Y.; Tao, X.-T. Chem. J. Chin. Univ. 2010, 31, 855 (in Chinese). http://www.cnki.com.cn/Article/CJFDTotal-GDXH201005001.htm
-
[27]
郑晶静, 王蕾, 辛倩, 陶绪堂, 人工晶体学报, 2010, 39, 99. http://www.cnki.com.cn/Article/CJFDTotal-RGJT201001020.htmZheng, J. J.; Wang, L.; Xin, Q.; Tao, X. T. J. Synth. Cryst. 2010, 39, 99 (in Chinese). http://www.cnki.com.cn/Article/CJFDTotal-RGJT201001020.htm
-
[28]
Didier, D.; Sergeyev, S. Eur. J. Org. Chem. 2007, 23, 3905.
-
[29]
Jensen, J.; Tejler, J., Waernmark, K. J. Org. Chem. 2002, 67, 6008. doi: 10.1021/jo025823g
-
[30]
Zhou, H. P.; Xue, P. C.; Zhang, Y.; Zhao, X.; Jia, J. H.; Zhang, X. F.; Liu, X. L.; Lu, R. Tetrahedron 2011, 67, 8477. doi: 10.1016/j.tet.2011.09.008
-
[31]
Qiu, X. P.; Lu, R.; Zhou, H. P.; Zhang, X. F.; Xu, T. H.; Liu, X. L.; Zhao, Y. Y. Tetrahedron 2007, 48, 7582. doi: 10.1016/j.tetlet.2007.09.002
-
[32]
Hanberg, D. P.; Marinado, T.; Karlsson, K. M.; Nonomura, K.; Qin, P.; Bosehloo, G.; Brinek, T.; Hagfeldt, A.; Sun, L. C. J. Org. Chem. 2007, 72, 9550. doi: 10.1021/jo701592x
-
[1]
-
表 1 化合物1a、2a、3a、4a和5a的λAbs、λEm和Stokes位移
Table 1. λAbs, λEm and stokes shift of compounds 1a, 2a, 3a, 4a and 5a
化合物 1a 2a 3a 4a 5a λAbs/nm 350 356 343 306 336 λEm/nm 431 407 360 368 411 Stokes
Shift/nm81 51 17 62 75 表 2 化合物1a、2a、3a和4a的HOMO和LUMO的能级
Table 2. Calculated spatial distributions of the HOMO and LUMO levels of partial compounds 1a, 2a, 3a and 5a
-
扫一扫看文章
计量
- PDF下载量: 0
- 文章访问数: 124
- HTML全文浏览量: 16

下载:
下载: