应用化学   2016, Vol. 33 Issue (12): 1389-1395   PDF    
Article Options
  • PDF
  • Full Text HTML
  • Abstract
  • Figures
  • References
  • History
  • Received: 2016-05-24
  • Revised: 2016-07-07
  • Accepted: 2016-08-15
  • 扩展功能
    把本文推荐给朋友
    加入引用管理器
    Email Alert
    RSS
    本文作者相关文章
    陈培珍
    刘瑞来
    饶瑞晔
    纤维素纳米纤维接枝聚(N-异丙基丙烯酰胺)水凝胶的制备与表征
    陈培珍a, 刘瑞来a,b, 饶瑞晔a     
    a 武夷学院生态与资源工程学院, 福建省生态产业绿色技术技术重点实验室 福建 武夷山 354300;
    b 福建师范大学材料科学与工程学院 福州 350007
    摘要: 将具有温度响应的聚N-异丙基丙烯酰胺(PNIPAm)接枝到电纺纤维素纳米纤维膜上,制备温度响应型纤维素接枝聚N-异丙基丙烯酰胺(PNIPAm-g-Cell)纳米纤维水凝胶。研究接枝单体(N)与纤维素(c)的质量比、反应温度、反应时间和引发剂浓度对产物接枝率、溶胀性和形貌的影响。结果表明,最佳聚合反应条件为m(N):m(c)=15:1、反应温度40℃、反应时间3 h、引发剂浓度为10 mmol/L,得到PNIPAm-g-Cell接枝率和溶胀率分别为35%和31%。与PNIPAm相比,PNIPAm-g-Cell水凝胶的低临界相转变温度(LCST)显著升高,说明亲水性纤维素的引入改变了体系的亲疏水平衡。去溶胀动力学测试表明,0.5 min内接枝率为25%和35%的水凝胶保水率分别降低至93%和61%。说明接枝率越高PNIPAm-g-Cell水凝胶对温度的响应速度越快,对温度越敏感。
    关键词: 纤维素     N-异丙基丙烯酰胺     接枝     温度响应     水凝胶    
    Synthesis and Characterization of Poly (N-isopropyl acrylamide)-g-cellulose Hydrogels
    CHEN Peizhena, LIU Ruilaia,b, RAO Ruiyea     
    a College of Ecological and Resource Engineering, Fujian Provincial Key Laboratory of Eco-Industrial Green Technology, Wuyi University, Wuyishan, Fujian 354300, China;
    b College of Material Science and Engineering, Fujian Normal University, Fuzhou 350007, China
    Abstract: Thermally-responsive PNIPAm-g-cellulose nanofibers hydrogels were prepared by thermally-responsive poly (N-isopropyl acrylamide)(PNIPAm) grafted electrospun cellulose nanofibrous membranes. The effect of mass ratio of monomer and cellulose, reaction temperature, reaction time and amounts of initiator on grafting rate, swelling rate and morphology were investigated. The results show that the optimum reaction condition are as follows:mass ratio of monomer and cellulose in 15:1, reaction temperature at 40℃, reaction time for 3 h and initiator concentration of 10 mmol/L, the grafting rate and swelling rate of PNIPAm-g-Cell at 35% and 31%, respectively. Compared with PNIPAm hydrogels, the lower critical solution temperature (LCST) of PNIPAm-g-Cell hydrogels is obviously increased, indicating that hydrophilic-hydrophobic balance was changed by adding hydrophilic cellulose. Deswelling kinetics of the PNIPAm-g-Cell hydrogels shows that water-retention rate is decreased to 93% and 61% for grafting rate of 25% and 35%, respectively, in initiatory 0.5 min. PNIPAm-g-Cell hydrogels with high grafting rate have greater sensitivity to temperature.
    Key words: cellulose     poly (N-isopropyl acrylamide)     grafting     thermally-responsive     hydrogels    

    温敏型水凝胶是一种对温度具有明显响应的智能水凝胶[1]。聚(N-异丙基丙烯酰胺)(PNIPAm)类水凝胶因其良好的温度响应性,且它有一个低临界相转变温度(LCST, ~32 ℃),当温度低于该温度时,PNIPAm高度溶胀,而高于该温度时,水凝胶会剧烈收缩,溶胀程度突然减小[2]。PNIPAm水凝胶这种特殊的溶胀性能已被广泛应用于药物控制释放、生化分离和酶固定等领域[3-4]。然而,PNIPAm水凝胶同样存在温度响应速率慢等问题。一般而言,传统的水凝胶的协同扩散系数为10-7~10-6 cm2/s,例如厚度为2 mm的水凝胶材料对外界温度的变化达到吸水或缩水平衡大约需要1 d,这样慢的响应速率大大限制其广泛应用[5-6]。目前提高温敏性水凝胶的响应速度主要措施有3种:1)缩小凝胶的体积尺寸;2)合成具有孔结构凝胶;3)在凝胶基体中引入接枝链,从而形成疏水微区,增强凝胶收缩塌陷时网络与水分子之间的排斥作用。

    静电纺丝技术是一种简单、有效的制备纳米或微米级纤维的方法,且制备的纤维大多为多孔状和高比表面积[7]。基于以上原因,本研究将PNIPAm接枝到具有生物相容性的电纺纤维素纳米纤维(骨架),缩小凝胶的体积尺寸,增大其比表面积,拟达到提高温度响应速度目的。考察N-异丙基丙烯酰胺与纤维素纳米纤维膜质量比、反应温度、反应时间和引发剂浓度对接枝率、溶胀性以及温度响应性的影响。该研究为制备快速温度响应型水凝胶提供新的思路,对PNIPAm的响应温度的改变提供实验依据。

    1 实验部分
    1.1 仪器和试剂

    醋酸纤维素(CA, Mn=3.0×104, 乙酰基质量分数为39.8%,美国Sigma-Aldrich公司);硝酸铈铵(分析纯,国药集团化学试剂有限公司);N-异丙基丙烯酰胺(NIPAm,分析纯,国药集团化学试剂有限公司);N, N′-亚甲基双丙烯酰胺(BIS,分析纯,国药化学试剂有限公司);其它试剂为市售分析纯。

    TS2-60型注射泵(保定兰格恒流泵有限公司);DW-P303-IAC型直流高压电源(天津东文高压电源厂)。PHI5500型X射线光电子能谱仪(XPS,美国ESCA LAB MKⅡ公司);5700型傅里叶红外光谱仪(FTIR,美国Thermo Nicolet公司);JSM-7500F型扫描电子显微镜(SEM,日本JEOL公司);Q200型差示扫描量热分析仪(DCS,美国TA公司)。

    1.2 纤维素纳米纤维膜的制备

    参考文献[8]制备电纺纤维素纳米纤维膜。具体制备步骤如下:将2.0 g CA溶解在8.0 g V(DMAc):V(丙酮)=2:1混合溶剂中,常温下磁力搅拌溶解。将CA溶液装入注射器中进行静电纺丝。纺丝参数如下:电压10 kV,针头与收集板间距20 cm,供料速度10 μL/min。制得CA纳米纤维膜于60 ℃下真空干燥12 h,除去残余溶剂。将CA纤维膜浸泡于0.1 mol/L NaOH/乙醇溶液中水解24 h。用蒸馏水洗涤至中性,在室温下真空干燥后,于50 ℃下真空干燥12 h,制得纤维素纳米纤维膜,置于干燥器中备用。

    1.3 PNIPAm-g-Cell水凝胶的制备

    取一定量NIPAm单体(N)和5 mg交联剂BIS溶解在15 mL硝酸(1 mol/L)溶液中,后倒入恒压滴液漏斗中待用,将硝酸铈溶解在含有硝酸溶液的三颈烧瓶,磁力搅拌溶解后加入一定量电纺纤维素膜(c)。边搅拌边通N2气,一定温度(30、40、50 ℃)下,将恒压滴液漏斗中的NIPAm单体和交联剂BIS逐滴加入反应液中。反应一定时间(2.0、2.5、3.0、3.5 h)下,用蒸馏水洗涤纤维素膜,后用索氏提取器在丙酮中回流12 h,抽滤,真空干燥,称重,接枝后的样品标记为PNIPAm-g-Cell。

    为了优化反应条件,反应过程中各参数设置如下:1)m(N):m(c)=5:1、10:1、15:1、20:1;2)反应温度为30、40、50 ℃;3)反应时间为2.0、2.5、3.0、3.5 h;4)引发剂浓度为5、10、15、20 mmol/L。

    1.4 性能表征

    采用X射线光电子能谱仪分析样品中的原子或离子的组成和状态,宽扫通能为180 eV,步宽为0.8 eV,细扫通能为28 eV,步宽为0.05 eV。采用Al作为激发源,用污染碳C1s(284.8 eV)的结合能对能量标尺进行校正。采用傅里叶红外光谱仪,用ATR法测定红外光谱。样品喷金处理后,采用扫描电子显微镜观察样品形貌。使用扫描电子显微镜所附软件Smileview测量纤维的直径。热分析采用差示扫描量热分析仪,升温范围为20~100 ℃,升温速度为2 ℃/min,N2气保护,流速为10 mL/min。

    水凝胶接枝率测定如下:在共聚反应中,单体可能发生自聚,生成均聚物,衡量接枝共聚效果的重要指标之一为接枝率(G)计算如式(1):

    $G = \frac{{{m_2}-{m_1}}}{{{m_1}}} \times 100\% $ (1)

    式中,m1为纤维素纳米纤维的质量(g),m2为接枝共聚后的PNIPAm-g-Cell接枝共聚物的质量(g)。

    水凝胶的平衡溶胀率(Q)定义为某温度下达到溶胀平衡状态时水凝胶中水的质量(ms)与真空干燥至衡重时凝胶的质量(md)之比。

    去溶胀动力学测试如下:将在蒸馏水中达到溶胀平衡的PNIPAm-g-Cell水凝胶快速转移至50 ℃蒸馏水中,此时水凝胶会收缩失水。每隔一定时间,测定水凝胶的质量,直至其质量不再变化。由式(2)计算水凝胶保水率(mr):

    ${m_{\rm{r}}} = \frac{{{m_t}-{m_{\rm{d}}}}}{{{m_{\rm{a}}}}} \times 100\% $ (2)

    式中,mt为某一时刻水凝胶的质量,mdms的物理意义同上。

    2 结果与讨论

    图 1为PNIPAm、纤维素纤维膜和PNIPAm-g-Cell水凝胶的红外光谱图。图 1谱线a中1654和1548 cm-1处吸收峰分别为PNIPAm的酰胺Ⅰ带和酰胺Ⅱ带吸收峰。图 1谱线b中3323、1629、1158、1089 cm-1处的吸收峰分别归属于纤维素上羟基吸收峰、吡喃环内酯吸收峰、纤维素C-O-C的振动吸收峰和吡喃环振动峰。图 1谱线c中不仅含有纤维素的特征峰:1158(C-O-C的振动峰)、1089 cm-1(吡喃环振动峰)外,在1656和1550 cm-1处分别为酰胺Ⅰ带和酰胺Ⅱ带吸收峰,表明PNIPAm已成功接枝到纤维素上。

    图 1 纤维膜和水凝胶的红外光谱图 Fig. 1 FTIR spectra of fibers and hydrogels a.PNIPAm; b.cellulose; c.PNIPAm-g-Cell

    图 2为纤维素与PNIPAm-g-Cell水凝胶的XPS图。对比图 2谱线a和谱线b,接枝前纤维素在285 eV出现了C1s窄峰。接枝后PNIPAm-g-Cell的C1s峰向高结合能位移,峰值出现在289 eV。这是因为PNIPAm中的与酰基连接的C1s周围电子云密度比纤维素中C1s低,因此结合能升高。同时,O1s峰值也出现了变化,由接技前530 eV位移至接技后的536 eV,来自PNIPAm中与酰基相连的氧。另外,还出现了酰胺的N1s的新峰(402 eV)。由此可以推断,PNIPAm已接枝到纤维素上。

    图 2 纤维膜和水凝胶的X射线光电子能谱图 Fig. 2 XPS spectra of fibers a.cellulose; b.PNIPAm-g-Cell

    根据硝酸铈铵引发剂的氧化还原引发机理,推导纤维素与NIPAm的接枝机理如Scheme 1。硝酸铈铵中的铈离子与纤维素分子链上的羟基形成氧化还原体系并产生自由基,从而引发NIPAm单体的自由基聚合,使PNIPAm接枝到纤维素上。

    Scheme1 Mechanism of grafting reaction NIPAm on cellulose initiated by Ce4+

    为了研究接枝前后对纤维形貌的影响,采用扫描电子显微镜观察其形貌,如图 3所示。未接枝纤维素表面光滑、纤维与纤维之间松散,纤维平均直径为245 nm (图 3A)。经过NIPAm接枝处理后(m(N):m(c)=15:1),纤维表面变的粗糙,纤维之间出现一定程度粘结现象(图 3B箭头所示),且纤维的直径由245 nm增加到350 nm。主要因为纤维表面接枝了一定量的PNIPAm,导致纤维表面粗糙且直径增加。

    图 3 纤维膜和水凝胶扫描电子显微镜照片 Fig. 3 SEM images of cellulose fibers (A) and PNIPAm-g-Cell hydrogels (B)

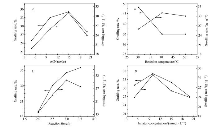
    图 4Am(N):m(c)对接枝率和溶胀率的影响,其它条件为反应温度40 ℃、反应时间3 h、引发剂浓度10 mmol/L。m(N):m(c)比值从5增加到10,接枝率从25%大幅增加到33%,当m(N):m(c)比值从10增加15,接枝率增加变缓,从33%增加到35%。然而,m(N):m(c)比值进一步增加至20,接枝率反而下降至28%。主要因为NIPAm单体浓度过高后有利于NIPAm的均聚反应,接枝率反而降低。因此,在后续的研究中采用m(N):m(c)=15:1,以期得到较高的接枝率。PNIPAm-g-Cell的溶胀率变化趋势与接枝率相似,主要因为PNIPAm-g-Cell在水中的溶胀是由PNIPAm所决定的。

    图 4 反应条件对水凝胶接枝率和溶胀率影响 Fig. 4 The effect of m(N):m(c)(A), reaction temperature (B), reaction time (C) and initiator concentration (D) on the grafting rate and swelling ratio of PNIPAm-g-Cell

    图 4B为反应温度对接枝率和溶胀率的影响,其它条件为m(N):m(c)=15:1、反应时间3 h、引发剂浓度为10 mmol/L。反应温度由30 ℃升高到40 ℃,接枝率由48%降低到35%,反应温度进一步升高到50 ℃,接枝率几乎不变。主要因为PNIPAm在水中的LCST在32 ℃附近,该特性是由亲水的酰胺基和疏水的异丙基共同作用。温度低于LCST,亲水的酰胺基起决定作用,使分子链舒展;当温度高于LCST,疏水的异丙基起决定作用,分子链收缩。因此,提高温度降低了接枝侧链的活泼性,使单体与纤维素之间的接枝共聚机率降低,因此接枝率随温度升高反而降低。然而溶胀率的变化(图 4B)与接枝率变化不同,30 ℃反应接枝率为48%,然而所对应的溶胀率仅为26 g/g,主要因为高的接枝率使纤维与纤维之间出现大面积的粘结,使纤维溶胀空间受到限制,因此溶胀率降低。40 ℃反应,溶胀率升高至31 g/g,后进一步升高温度,溶胀率变化不大。综合考虑接枝率和溶胀率的变化,选择40 ℃作为制备PNIPAm-g-Cell水凝胶的反应温度。

    图 4C为反应时间对接枝率和溶胀率影响,其它条件为m(N):m(c)=15:1、反应温度40 ℃、引发剂浓度为10 mmol/L。反应时间由2 h增加到3.5 h,接枝率从20%增加到37%,NIPAm接枝聚合属于自由基活性聚合,反应时间增加接枝率随之增加。而溶胀率的变化在反应时间为3 h后却略有降低。主要因为过高接枝率导致纤维之间互相粘结有关。考虑反应效率和溶胀率等影响,选择反应时间为3 h。

    图 4D为引发剂浓度对PNIPAm-g-Cell接枝率和溶胀率的影响,其它条件为m(N):m(c)=15:1、反应温度40 ℃、反应时间3 h。从图中可知,引发剂浓度从5 mmol/L增加到10 mmol/L,接枝率和溶胀率均有所增加,后随着引发剂浓度的进一步增大,接枝率和溶胀率都有所降低。主要因为随着引发剂浓度浓度增加,链自由基浓度增大,即纤维素上参与接枝聚合的活性点增加,单体与自由基碰撞的机会增多,接枝率增大。但当自由基浓度超过一定值后,活性中心之间碰撞机率增大,更易于发生共聚反应,导致接枝率下降。综合以上原因,考虑接枝率和溶胀率的影响,采用的最佳聚合反应条件为m(N):m(c)=15:1、反应温度40 ℃、反应时间3 h,引发剂浓度为10 mmol/L,得到PNIPAm-g-Cell接枝率和溶胀率分别为35%和31%。

    PNIPAm聚合物水凝胶的LCST约为32 ℃。PNIPAm存在亲水/疏水平衡,亲水性的酰胺基与疏水性异丙基对应于凝胶内部的亲水/疏水区域,LCST特性是亲水性的酰胺基与疏水性异丙基共同作用的结果。当温度低于LCST时,凝胶网络中高分子链上的亲水基团通过氢键与水分子结合,导致水凝胶溶胀吸水。当逐渐升高温度时(尚未达到最低临界温度LCST),凝胶网络中酰胺基间或酰胺基与纤维素上的羟基的氢键缔合会随着温度的升高而断裂,疏水基团间的相互作用得以加强。当温度高于LCST时,异丙基疏水作用起支配作用, 高分子网络发生解体,高分子链通过疏水作用互相聚集,水凝胶发生相转变,所以表现出非常灵敏的温敏行为。如图 5所示,PNIPAm-g-Cell水凝胶的LCST不同于传统PNIPAm的LCST,已经发生改变。当接枝率为35%时,其LCST为39 ℃;当接枝率为25%时,其LCST为43 ℃,说明PNIPAm-g-Cell水凝胶的LCST得到了显著提高,主要因为亲水性纤维素的引入改变了体系的亲疏水平衡。亲水基团增多,水凝胶的体积相转变温度由水凝胶网络结构中亲水及疏水基团相互作用所决定,即亲水/疏水比例决定,而温度低于LCST由亲水基团起主导作用,因此亲水/疏水比例升高,对应LCST升高。且接枝率越低(25%),相当于引入亲水性纤维素越多,因此,LCST更高。水凝胶的LCST高于37 ℃使得该材料可应用于高温病灶。

    图 5 水凝胶的差示扫描量热分析图 Fig. 5 DSC spectra of PNIPAm-g-Cell hydrogels with varied grafting

    图 6为PNIPAm-g-Cell水凝胶在常温下恒温溶胀平衡后再放入50 ℃水中的去溶胀动力学曲线。前3 min内,水凝胶的保水率快速降低,接枝率为25%和35%的PNIPAm-g-Cell水凝胶在前0.5 min内的保水率分别降低至93%和61%,说明接枝率越高水凝胶的响应速度越快。平衡后二者的最终保水率分别为83%和52%。以上说明接枝率影响了PNIPAm-g-Cell水凝胶的响应行为的敏感性,接枝率越高PNIPAm-g-Cell水凝胶对温度越敏感。

    图 6 水凝胶的去溶胀动力学图 Fig. 6 Deswelling kinetics of the PNIPAm-g-Cell hydrogels
    3 结论

    以硝酸铈铵为引发剂,N, N′-亚甲基双丙烯酰胺为交联剂,引发单体N-异丙基丙烯酰胺(N)与电纺纤维素纳米纤维(c)膜接技共聚反应制备PNIPAm-g-Cell纳米纤维水凝胶。通过研究反应条件对接枝率、溶胀率和形貌影响,确定反应条件为m(N):m(c)=15:1、反应温度40 ℃、反应时间3 h、引发剂浓度为10 mmol/L,得到PNIPAm-g-Cell接枝率和溶胀率分别为35%和31%。接枝率越高,PNIPAm-g-Cell水凝胶对温度的响应速率越快。接枝后PNIPAm-g-Cell水凝胶的LCST升高且大于37 ℃,具有应用于某些高温病灶的可能。

    参考文献
    [1] Zhu Y, Jiang H, Ye S H, et al. Tailoring the Degradation Rates of Thermally Responsive Hydrogels Designed for Soft Tissue Injection by Varying the Autocatalytic Potential[J]. Biomaterials, 2015, 53(7): 484–493.
    [2] FENG Qiao, ZHANG Yaxuan, XIA Zhiwei, et al. Frontal Polymerization and Characterization of Poly (N-isopropylacrylamide-co-N-vinyl-2-pyrrolidone) Hydrogels[J]. Polym Mater Sci Eng, 2015, 31(4): 37–41. (in Chinese) 冯巧, 张亚轩, 夏志伟, 等. 温敏型水凝胶聚(N-异丙基丙烯酰胺-乙烯基吡咯烷酮)的前端聚合法制备及性能[J]. 高分子材料科学与工程, 2015, 31(4): 37–41.
    [3] Rzaev Z M, Dincer S, Piskin E. Functional Copolymers of N-Isopropylacrylamide for Bioengineering Applications[J]. Prog Polym Sci, 2007, 32(5): 534–595. DOI:10.1016/j.progpolymsci.2007.01.006
    [4] Galperin A, Long T J, Garty S, et al. Synthesis and Fabrication of a Degradable Poly (N-isopropyl acrylamide) Scaffold for Tissue Engineering Applications[J]. J Biomed Mater Res Part A, 2013, 101(3): 775–786.
    [5] Li L, Hsieh Y L. Ultra-fine Polyelectrolyte Hydrogel Fibres from Poly (acrylic acid)/Poly (vinyl alcohol)[J]. Nanotechnology, 2005, 16(12): 2852–2860. DOI:10.1088/0957-4484/16/12/020
    [6] Li L, Hsieh Y L. Ultra-fine Polyelectrolyte Fibers from Electrospinning of Poly (acrylic acid)[J]. Polymer, 2005, 46(14): 5133–5139. DOI:10.1016/j.polymer.2005.04.039
    [7] LIU Ruilai, LIU Junshao, LIU Haiqing. Fabrication of PLLA/CA Composites Porous Ultrafine Fibers[J]. Acta Polym Sin, 2013(10): 1312–1318. (in Chinese) 刘瑞来, 刘俊劭, 刘海清. 聚乳酸/醋酸纤维素复合多孔超细纤维的制备[J]. 高分子学报, 2013(10): 1312–1318.
    [8] Cao S G, Hu B H, Liu H Q. Synthesis of pH-responsive Crosslinked Poly[styrene-co-(maleic sodium anhydride)] and Cellulose Composite Hydrogel Nanofibers by Electrospinning[J]. Polym Int, 2009, 58(2): 545–551.