化学通报   2016, Vol. 79 Issue (8): 744-748   PDF    
Article Options
  • PDF
  • Abstract
  • Figures
  • References
  • History
  • 2016-01-19 收稿
  • 2016-03-18 接受
  • 本文作者相关文章
    王海燕
    宋超
    张正勇
    谢伟量
    李丽萍
    刘军
    沙敏
    紫外分光光度-局部偏最小二乘回归法同时测定三种人造甜味剂
    王海燕1,2, 宋超1, 张正勇1,2, 谢伟量1,2, 李丽萍3, 刘军1,2, 沙敏1,2,*    
    1 南京财经大学管理科学与工程学院 南京 210046;
    2 江苏省质量安全工程研究院 南京 210046;
    3 南京理工大学机械工程学院 南京 210094
    摘要: 本文报道了一种简便、快速、准确地同时测定3种人造甜味剂安赛蜜、阿斯巴甜和糖精钠的方法。方法基于在pH为3.21的盐酸溶液中对安赛蜜、阿斯巴甜和糖精钠三组分混合溶液进行紫外光度测定,所得重叠光谱数据分别用偏最小二乘回归法(PLSR)、特征峰结合PLSR法和特征峰结合局部偏最小二乘回归法(LPLSR)进行处理。结果表明,选取特征波段的峰值作为自变量,采用4个局部样本做拟合的预报误差最小,总相对偏差仅为3.05%。对果汁样品进行测定,获得了很好的定量分析结果。安赛蜜、阿斯巴甜和糖精钠的定量线性范围分别为1.0~30.0 mg/L、1.0~10.0 mg/L和1.0~10.0 mg/L。
    关键词紫外分光光度法     安赛蜜     阿斯巴甜     糖精钠     局部偏最小二乘回归法    
    Simultaneous Determination of Three Artificial Sweeteners Using UV Spectroscopic Combined with Local Partial Least Squares Regression Method
    Wang Haiyan1,2, Song Chao1, Zhang Zhengyong1,2, Xie Weiliang1,2, Li Liping3, Liu Jun1,2, Sha Min1,2,*     
    1 School of Management Science & Engineering, Nanjing University of Finance & Economics, Nanjing 210046;
    2 Jiangsu Province Institute of Quality & Safety Engineering, Nanjing 210046;
    3 School of Mechanical Engineering, Nanjing University of Science & Technology, Nanjing 210094
    Abstract: Acesulfame-K, aspartame and saccharin sodium are commonly used as food flavoring agents. All of them show strong absorptions in the UV spectral region which are seriously overlapped. This paper reports simultaneous determination of them using UV spectroscopic combined with chemometric methods. Firstly, partial least squares regression (PLSR) was used, the total relative deviation was 7.01%. Secondly, PLSR combined with the characteristic peaks were employed, the total relative deviation was 4.67%. Lastly, local partial least squares regression (LPLSR) combined with the characteristic peaks were employed for the design of a model. The characteristic peaks of UV spectra of calibrating samples were chose as the independent variable factor, and LPLSR was used in data processing. Compared with PLSR method, the total relative deviation of LPLSR method is smaller, which is only 3.05%. Finally, the model was used to the concentration prediction of beverage samples with satisfactory results. The linear range of acesulfame-K, aspartame and saccharin sodium is 1.0~30.0 mg/L, 1.0~10.0 mg/L and 1.0~10.0 mg/L respctively.
    Key words: UV spectroscopic     Acesulfame-K     Aspartame     Saccharin sodium     Local partial least square regression    

    阿斯巴甜的甜味强度是蔗糖的200倍左右[1],其在干燥状态下相对稳定,但在溶液中随着pH和溶液温度的改变容易发生分解。糖精钠的甜味强度是蔗糖的450倍[2],具有较高的稳定性,然而,其在强酸性条件下会慢慢发生水解。安赛蜜的甜味强度是蔗糖的200倍[3],在较高的烹饪和烘焙温度下稳定。由于单一甜味剂有一定的缺陷,如今,食品工业中常使用人造甜味剂的共混物[4]

    阿斯巴甜在体内的降解产物之一为苯丙氨酸,高浓度的苯丙氨酸会危害患先天性苯丙酮尿症的人群[5, 6]。美国国家毒理学项目(NTP)组研究发现,暴露在阿斯巴甜中的小鼠得癌症的可能性增加。动物实验表明,糖精可引发癌症,主要是膀胱癌[7],但在正常剂量下对健康无风险。安赛蜜的一个分解产物为乙酰乙酰胺,该物质有毒,对肝脏、肾脏有损害,长时间接触会引起神经衰弱、肝功能异常等症状。

    目前,同时测定食品中安赛蜜、糖精钠和阿斯巴甜的方法有高效液相色谱法[8~12]、离子交换色谱法[13~15]、毛细管电泳/电导法[16~19]、流动注射分析[20]等,这些方法准确、可靠,但样品处理过程复杂,方法建立过程繁琐。紫外分光光度法分析技术具有样品预处理方法简单、测定快速准确、成本低的优点,已被报道用于同时检测上述3种甜味剂[21~23],已有的方法是设计正交试验,经偏最小二乘(PLS)、主成分回归(PCR)和经典最小二乘(CLS)等方法建模,浓度预测误差通常为4%~9%。

    关于局部样本的使用,模式识别中很多算法都结合局部样本做过算法的改进。K-最近邻算法是最近邻算法的局部改进,当样本量比较多时,考虑与测试样本临近的K个样本做测试,不仅能提高测试准确率,而且能提高算法运行效率。陶剑文等[24]利用数据的局部信息,提出了局部学习的支持向量机(SVM),在UCI多个标准数据集验证下,泛化性能比传统的SVM提高了不少。本文将局部样本的思想和传统的PLSR相结合,提出了局部偏最小二乘回归法(LPLSR),选取特征波段的峰值作为自变量,采用紫外分光光度-LPLSR法对安赛蜜、阿斯巴甜和糖精钠三组分混合体系的浓度进行预测。

    1 实验部分
    1.1 仪器与试剂

    T6型紫外可见分光光度计(北京普析通用仪器有限责任公司)。安赛蜜、阿斯巴甜、糖精钠均为分析纯,水为高纯水。

    1.2 实验方法

    在容量瓶中加入适量的标准物质或混合溶液,用pH为3.21的盐酸水溶液稀释至刻度,超声混匀。用1cm比色皿,以盐酸水溶液为参比置于分光光度计上,在190~500 nm范围进行波谱扫描,间隔1nm采集吸光度数据。所得数据基于MATLAB 2010b平台做处理。

    2 结果与讨论
    2.1 吸收光谱

    图 1可见,安赛蜜(30.0mg/L)、阿斯巴甜(10.0mg/L)和糖精钠(10.0mg/L)在pH=3.21的盐酸水溶液中时,紫外光谱均具有较好的峰形,但3种物质的峰严重重叠,难以用经典的方法同时测定含量。

    图 1 三种甜味剂的紫外光谱图 Fig. 1 UV spectra of three kinds of sweeteners 1:安赛蜜(AK);2:糖精钠(SAC);3:阿斯巴甜(ASP)

    2.2 单组分线性范围

    分别用盐酸水溶液配3种甜味剂不同浓度的溶液,测它们的紫外吸光度。结果表明,安赛蜜在1.0~30.0 mg/L浓度内具有线性关系,R2=0.9997;糖精钠在1.0~10.0 mg/L浓度内具有线性关系,R2=0.9981;阿斯巴甜在1.0~10.0 mg/L浓度内具有线性关系,R2=0.9951。

    2.3 混合样品的测定

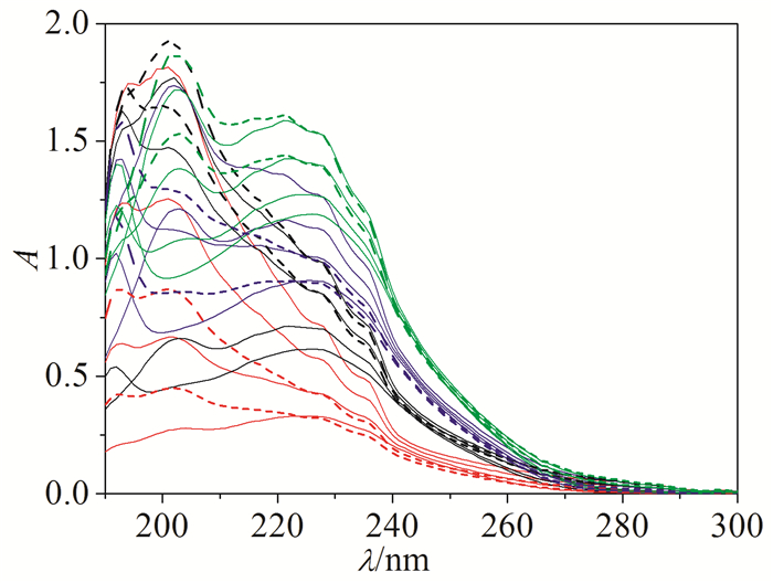
    在上述线性范围内,按正交设计L16(4)5配制16个不同浓度比例的安赛蜜、阿斯巴甜和糖精钠三组分标准混合溶液(组成见表 1)。测定它们的光谱数据,为降低实验测量的误差,每个溶液测3次,3次测量取平均值后的谱图如图 2,其中非加粗红色曲线代表校正集1~4,非加粗黑色曲线代表校正集5~8,非加粗蓝色曲线代表校正集9~12,非加粗绿色曲线代表校正集13~16。

    图 2 校正集1~16和测试集1~8的紫外光谱谱图 Fig. 2 UV spectrum of calibration set 1 to 16 and test set 1 to 8

    配8个不同浓度比例的三组分混合溶液(组成见表 1),进行光谱测定,每个溶液测3次,取平均值后的谱图如图 2。其中,加粗红色曲线代表测试集1~2,加粗黑色曲线代表测试集3~4,加粗蓝色曲线代表测试集5~6,加粗绿色曲线代表校测试7~8。

    表 1 安赛蜜、阿斯巴甜和糖精钠校正浓度及预测浓度组成 Table 1 Concentration of AK, ASP and SAC in samples of calibration set and test set

    2.4 浓度预测

    表 1中校正集16个溶液测试所得光谱数据,用不同的化学计量学方法建立校正模型,对8个测试集样本进行浓度预报。

    2.4.1 PLSR

    用PLSR对校正集样本1~16做拟合,把全波段对应的峰值作为自变量,模型预测结果见表 2,总相对偏差(RDPT)为7.01%,单组分预测时间为0.147s。

    表 2 安赛蜜、阿斯巴甜和糖精钠混合样用两种方法分析的结果 Table 2 Analysis results of AK, ASP and SAC by two methods

    2.4.2 特征峰结合PLSR

    考虑到特征峰可以很好地区分物质之间的差异并避免其他噪声波段的干扰,因此,从改造原自变量空间的角度出发,选择一些波段对应的特征峰值作为新的自变量,然后用PLSR做回归预测。根据图 1,分别选择波段190~195、198~205和210~240 nm对应的峰作为阿斯巴甜、糖精钠和安赛蜜的特征峰。

    为了降低预报误差,对特征峰波段范围进行优化。首先,控制其中两个波段不变,不断缩小另一个波段范围,用总相对偏差(RDPT)的值确定该波段的最优区间,再依次对其他两个波段做相同的优化,最终得到优化后的特征波段为192~195、204~205和215~240 nm。把自变量由原来全波段对应的特征峰值变成优化后波段对应的特征峰值,重新用PLSR拟合参数,预测结果如表 2。与全波段方法相比,该方法RDPT降低到4.67%,且选取的波段范围缩少,计算复杂度降低,单组分预测时间缩短,为0.121s。

    2.4.3 特征峰结合LPLSR

    前述两种方法只考虑了波段选取的问题,将全部校正集样本作为回归集,没有考虑局部样本的使用。所谓局部样本,就是与测试样本欧氏距离近(吸光度值接近)的校正样本。为了避免3种甜味剂的相互干扰,取240~300 nm波段范围内(如图 1,此波段吸收峰为安赛蜜贡献)的曲线计算欧氏距离,表 3给出了测试集样本与校正集样本之间的欧氏距离。由于校正集中安赛蜜浓度取了4个水平,240~300 nm波段范围内的曲线聚拢成四堆(如图 2),因此本文局部样本个数只考虑4、8和12个。从表 3知,对于测试样本1,局部4个样本对应着校正集1~4,局部8个样本对应着校正集1~8;以此类推,可以得到所有测试样本的局部样本。

    表 3 测试集样本与校正集样本的欧氏距离 Table 3 Euclidean distance between samples of test set and calibration set

    采用2.4.2中3个优化后的波段192~195、204~205和215~240nm对应的特征峰值作为自变量,分别用4、8和12个局部样本拟合参数来预测测试集样本浓度,预测结果见表 4。从预测结果看,局部样本数取4时,RDPT最小,仅为3.05%;该结果与2.4.1和2.4.2两种预测方法结果相比,总相对偏差明显降低,优于目前文献水平;单组分运算时间为0.133s。这说明特征峰结合LPLSR对3种甜味剂的同时测定是快速、准确的。由图 1可知,波长在240nm以上的吸光度是由安赛蜜贡献的,而光谱的强度与溶液的浓度成正比,所以波长在240nm以上的紫外光谱图距离越近,安赛蜜的浓度也越接近。因而,可以根据测试样本在波长为240nm以上的紫外谱图,选择与测试集样本谱图距离近的校正集样本的谱图数据建模。

    表 4 安赛蜜、阿斯巴甜和糖精钠混合样用特征峰结合4、8和12个局部样本分析结果 Table 4 Analysis results of AK, ASP and SAC by LPLSR combined with the characteristic peaks

    2.5 饮料分析

    我国食品添加剂使用标准GB 2760-2011中明确规定,饮料类产品中安赛蜜和糖精钠的最大使用量分别为0.30g/kg和0.15g/kg,阿斯巴甜按生产需要适量添加;而GB 2760-2014规定,不允许添加糖精钠,阿斯巴甜的最大使用量为0.60g/kg。本文用紫外分光光度法测试3种甜味剂,它们的线性范围在1.0~30.0 mg/L间,因此,需要对饮料进行稀释处理。

    移取10.0mL饮料于分液漏斗中,加入5.0mL 1.0mol/L的盐酸水溶液酸化5min,然后用20.0mL乙醚萃取3次,合并萃取液,待乙醚挥发干后,用pH为3.21的盐酸水溶液溶解残留物,并移入50mL容量瓶中定容至刻度摇匀,为母液。取母液0.5mL,用pH为3.21的盐酸水溶液定容至100mL容量瓶,为测试液。用标准加入法对所得结果进行检验,3种甜味剂的加入量均为2.0mg/L。

    分别计算饮料测试液和加标处理后的样品与校正集样本的欧氏距离,最邻近的4个样本均为校正集样本1~4。采用特征峰结合4个局部样本的方法进行样品浓度分析,作为对比,同时给出只考虑特征峰不使用局部样本的方法,结果见表 5。由表 5知,采用特征峰结合PLSR的方法,部分预测结果为负值,不符合实际,且加标回收率波动较大;而采用特征峰结合LPLSR的方法,预测结果均为正值,且加标回收率波动很小,均接近100%。因此,采用特征峰结合LPLSR对3种甜味剂同时测定的方法更适用于实际样品分析。

    表 5 饮料分析结果 Table 5 Analysis results of beverages

    3 结论

    本文基于紫外分光光度法同时测定甜味剂安赛蜜、阿斯巴甜和糖精钠,采用三种方法对浓度进行预测。方法1利用全部校正集样本,自变量取全波段对应的特征峰值,做PLSR拟合,总相对偏差为7.01%,单组分预测时间为0.147s;方法2利用全部校正集样本,自变量采用波段192~195、204~205和215~240 nm对应的特征峰值,做PLSR拟合,总相对偏差为4.67%,单组分预测时间为0.121s;方法3利用方法2中的自变量结合LPLSR方法,取与测试集样本在240~300 nm波段范围内谱图欧氏距离最近的4个校正集样本单独做PLSR拟合,总相对偏差为3.05%,单组分预测时间为0.133s。用方法3对饮料样品进行测定,获得了很好的分析结果。结果表明,应用局部样本的思想,采用特征峰结合LPLSR法能提高预测精度,且运行速度快,达到了快速、准确测定安赛蜜、阿斯巴甜和糖精钠3种混合甜味剂含量的效果。

    参考文献
    [1] J M Schlatter. USP: 3492131, 1970.
    [2] A Zygler, A Wasik, J Namieśnik. Trend. Anal. Chem., 2009, 28(9): 1082-1102. http://dx.doi.org/10.1016/j.trac.2009.06.008
    [3] K Clauss, H Jensen. Angew. Chem. Int. Ed., 1973, 12(11): 869-876. http://dx.doi.org/10.1002/anie.197308691
    [4] L Zhao, B Tepper. Food Qual. Prefer., 2007, 18(3): 531-540. http://dx.doi.org/10.1016/j.foodqual.2006.07.004
    [5] M Soffritti, F Belpoggi, D D Esposti et al. Environ. Health Perspect., 2006, 114(3): 379-385.
    [6] M Soffritti, F Belpoggi, E Tibaldi et al. Environ. Health Perspect., 2007, 115(9): 1293-1297. http://dx.doi.org/10.1289/ehp.10271
    [7] D J Ager, D P Pantaleone, S A Henderson et al. Angew. Chem. Int. Ed., 1998, 37(13-14): 1802-1817. http://dx.doi.org/10.1002/(SICI)1521-3773(19980803)37:13/14 < 1802::AID-ANIE1802 > 3.0.CO; 2-9
    [8] M Grembecka, P Baran, A Błazewicz et al. Eur. Food Res. Technol., 2014, 238(3): 357-365. http://dx.doi.org/10.1007/s00217-013-2111-x
    [9] D Queiroz Pane, C B Dias, A D Meinhart et al. J. Food Sci. Technol., 2015, 52(11): 6900-6913. http://dx.doi.org/10.1007/s13197-015-1816-1
    [10] H S Lim, S K Park, I S Kwak et al. Food Sci. Biotechnol., 2013, 22(S1): 233-240. http://dx.doi.org/10.1007/s10068-013-0072-2
    [11] D J Yang, B Chen. J. Agric. Food Chem., 2009, 57(8): 3022-3027. http://dx.doi.org/10.1021/jf803988u
    [12] H Matsumoto, K Hirata, N Sakamaki et al. J. Food Hyg. Soc. Jpn., 2008, 49(1): 31-36. http://dx.doi.org/10.3358/shokueishi.49.31
    [13] Q C Chen, S F Mou, K N Liu et al. J. Chromatogr. A, 1997, 771(1-2): 135-143. http://dx.doi.org/10.1016/S0021-9673(97)00067-8
    [14] Y Zhu, Y Y Guo, M L Ye et al. J. Chromatogr. A, 2005, 1085(1): 143-146. http://dx.doi.org/10.1016/j.chroma.2004.12.042
    [15] Q C Chen, J Wang. J. Chromatogr. A, 2001, 937(1-2): 57-64. http://dx.doi.org/10.1016/S0021-9673(01)01306-1
    [16] J P Vistubaa, M D Dolzana, L Vitalia et al. J. Chromatogr. A, 2015, 1396: 148-152. http://dx.doi.org/10.1016/j.chroma.2015.03.070
    [17] M Stojkovic, T D Mai, P C Hauser. Anal. Chim. Acta, 2013, 787: 254-259. http://dx.doi.org/10.1016/j.aca.2013.05.039
    [18] R A Frazier, E L Inns, N Dosi et al. J. Chromatogr. A, 2000, 876(1-2): 213-220. http://dx.doi.org/10.1016/S0021-9673(00)00184-9
    [19] M Herrmannová, L Kivánková, M Bartoš et al. J. Sep. Sci., 2006, 29(8): 1132-1137. http://dx.doi.org/10.1002/jssc.200500441
    [20] J F Garcia-Jimenez, M C Valencia, L F Capitan-Valvey. Anal. Chim. Acta, 2007, 594(2): 226-233. http://dx.doi.org/10.1016/j.aca.2007.05.040
    [21] Y Ni, W Xiao, S Kokot. Food Chem., 2009, 113(4):1339-1345. http://dx.doi.org/10.1016/j.foodchem.2008.08.068
    [22] N E Llamas, M S Di Nezio, M E Palomeque et al. Food Anal. Methods, 2008, 1(1): 43-48. http://dx.doi.org/10.1007/s12161-007-9006-z
    [23] 叶姗, 倪永年, 邱萍.南昌大学学报(理科版), 2007, 31(2): 132-134. http://d.wanfangdata.com.cn/Periodical/ncdxxb200702008
    [24] 陶剑文, 王士同.控制与决策, 2012, 27(10): 1510-1515. http://www.cqvip.com/QK/91549X/201210/43578510.html