化学通报   2016, Vol. 79 Issue (8): 731-738   PDF    
Article Options
  • PDF
  • Abstract
  • Figures
  • References
  • History
  • 2016-01-05 收稿
  • 2016-02-28 接受
  • 本文作者相关文章
    王唯黎
    王景芸
    董晓哲
    陈平
    催化氧化降解木质素的研究进展
    王唯黎, 王景芸*, 董晓哲, 陈平    
    辽宁石油化工大学 抚顺 113001
    摘要: 本文从所用催化剂、反应条件、反应机理等几个方面综述了木质素催化氧化降解方面的研究,着重介绍了以O2和H2O2为氧化剂的金属为催化中心的氧化降解,例如,金属有机催化氧化、金属/溴化物催化氧化、金属配合物催化氧化、金属复合氧化体系和钛矿型复合氧化物催化氧化、金属/分子筛催化氧化和以自身为氧化剂的催化氧化等,以及无金属催化氧化降解、微波辅助氧化降解、光催化氧化降解和电化学氧化降解。
    关键词木质素     催化     氧化降解    
    Advances in Catalytic-Oxidation Degradation of Lignin
    Wang Weili, Wang Jingyun*, Dong Xiaozhe, Chen Ping     
    Liaoning University of Petroleum & Chemical Technology, Fushun 113001
    Abstract: The progress in catalytic-oxidation degration of lignin in recent years are reviewed according to the different catalyzers, reaction condition and mechanism. Metal catalytic-oxidation including the reaction carried out with O2 and H2O2 as oxidants such as:organometal catalytic-oxidation, metal/bromide catalytic-oxidation, metal complexe catalytic-oxidation, multiple-metal oxidants and Perovskite-type oxide catalytic-oxidation, metal/zeolites catalytic-oxidation and catalytic-oxidation by the oxidants themselves, as well as metal-free catalytic-oxidation, microwave assisted oxidative, photocatalystic oxidization, electrochemical oxidation for upgrading lignin and lignin model compounds are introduced emphatically.
    Key words: Lignin     Catalyze     Oxidative degradation    

    木质素是植物界中含量仅次于纤维素的天然高分子,与纤维素、半纤维素一起形成植物的主要结构[1]。木质素的部分化学结构示意图如图式1所示。木质素是自然界中唯一能提供可再生芳基化合物的非石油资源。它主要由碳、氢、氧三种元素组成,通常认为其是由苯丙烷结构单元通过碳-碳键和醚键连接而成的三维网状高分子物质,是复杂的芳香族聚合物[2],其中碳-碳键占1/4~1/3,醚键占2/3~3/4[3]。这两种键分子极性小、键能高难以反应,而且甲氧基含量高,羟基含量低,苯环上位阻大,所以木质素的活化改性成为现阶段研究重点。利用化学手段对木质素进行活化改性的方法主要有:催化裂化、酚化/酚解、还原、水解、羟甲基化、氧化、脱甲基化等。其中木质素氧化可以得到多官能团的单体,以制取一些醛和酸类精细化学品。例如,香草醛(图式2,A),已被广泛用于化妆香精,同时也是饮料和食品的增香剂;藜芦醇(图式2,B),具有强粘性,可抑制血小板聚集,减少心脏病的发生和控制其发展,同时可用于调节血液中胆固醇的含量,具有抗菌、抗癌、抗衰老作用;紫丁香醛(图式2,C),是淡黄色结晶体,广泛用于香料、农药化学和有机合成工业。此外氧化反应可以使空间网状结构的大分子在降解的同时,脱去起阻碍作用的酚羟基邻对位上的甲氧基。

    图式1 木质素局部化学结构示意图 Scheme1 The chemical structure of the part of the lignin

    图式2 常见的木质素芳香产物的结构式 Scheme2 The structures of the common aromatic products from chemical modification of lignin

    目前,国内外均有关于木质素及木质素模型化合物氧化降解方面的综述报道,但这些综述里有些只是侧重介绍了某单一种类催化剂(如仿酶催化剂[14, 60, 61])催化氧化降解木质素的方法,有些则是综述了木质素氧化降解得到某类物质如(酚类物质)的研究现状[62]。本文根据反应所用催化剂和进行反应所采用的辅助手段对木质素氧化降解进行了详细分类。目前,对木质素及木质素模型化合物氧化降解反应的研究具体分为:金属为催化中心的氧化降解、无金属催化氧化降解[46~49]、微波辅助氧化降解[35, 45, 50]、光催化氧化降解[51~56]和电化学氧化降解[57~59, 64]。按上述不同催化氧化降解方式从所用催化剂、反应条件、反应机理等几个方面对国内外学者的研究进展进行了综述。

    1 以金属为催化中心的氧化降解

    目前所采用的金属催化中心主要有Cu、Co、Re、Mn、V等,除了自身带有氧化作用的部分金属盐和金属氧化物以自身为氧化剂外,其他所用氧化剂主要为O2和H2O2。在反应过程中,金属与双氧水解离的·OOH自由基结构能够形成新的反应中间体,或在O2或H2O2的激发下,形成过氧化的金属复合物或超氧配合物,以攻击木质素形成降解产物,从而增强降解反应的效果。根据催化剂催化作用的反应机理,将以金属为催化中心的氧化降解大体分为以O2和H2O2为氧化剂的催化氧化和以自身为氧化剂的催化氧化两类。

    1.1 以O2和H2O2为氧化剂的催化氧化

    采用金属催化中心,以O2和H2O2为氧化剂的催化氧化有:有机金属催化氧化[5~6]、金属/溴化物催化氧化[8~10]、金属配合物催化氧化[14~27]、金属/分子筛催化氧化[43~45]和金属复合氧化体系和钛矿型复合氧化物催化氧化[29~30, 34~40]

    1.1.1 金属有机催化氧化

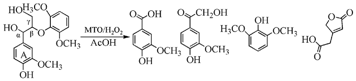
    甲基三氧化铼(MTO)是含有Re (Ⅶ)的最简单的金属有机化合物,是一种高效选择性催化剂。它能有效地催化氧化酚型和非酚型木质素模型化合物的氧化降解(其反应主要是侧链氧化和芳香环卵裂反应),从而降低木质素分子量,提高其在溶剂中的溶解度,抑制木质素自由基的聚合程度。在H2O2的激发下MTO形成了过氧化铼中间体,包括一个单过氧化的[MeRe (O2) O2]和一个双-过氧化的[MeRe (O2)2O2] η2-铼复合物[4](图式3)。它们都具有良好的稳定性,正是由于这种中间体的形成才使得反应得以发生,并具有稳定性。

    图式3 MeReO3与过氧化氢的反应 Scheme3 Reaction of MeReO3 with hydrogen peroxide

    Crestini等[5, 6]报道了以MTO和MTOⅠ-Ⅳ为催化剂,在氧化剂H2O2的存在下,以乙酸为溶剂,室温下反应6h,能有效地选择性氧化工业木质素和木质素模型化合物。该课题组选取了一系列单聚和二聚木质素模型化合物进行反应,结果表明在以H2O2为氧化剂的固定均相催化系统中,MTO和MTOⅠ-Ⅳ能催化酚型、非酚型的单聚和二聚木质素模型化合物的氧化降解。实验过程中均发生了烷基侧链的裂解或同时进行的烷基侧链的氧化和芳香环卵裂反应,难以氧化的二苯基甲烷单元也能有效地被降解。不管是酚型模型化合物还是非酚型模型化合物,其氧化反应均发生在烷基侧链上。对于二聚木质素模型化合物,具体以典型的木质素β-O-4二聚体模型物愈创木基甘油-β-紫丁香基醚为例(图式4),在MTO的选择性催化作用下,H2O2首先进攻苯环上的C-H键,木质素丰富的β-O-4醚键可以氧化断裂98%,生成多种小分子酚类化合物。研究发现,MTO和MTOⅠ-Ⅳ在氧化二聚体模型物时,氧化反应均是以连接两苯环的C-C键断裂和苯环侧链上的氧化为主。

    图式4 MTO和双氧水氧化木质素模型化合物 Scheme4 Oxidation of lignin model compound with H2O2 under catalysis of MTO

    1.1.2 金属/溴化物催化氧化

    木质素芳香环部分主要由对羟基苯、愈创木基和紫丁香基单元组成。用金属/溴化物催化剂通过均匀的空气氧化将这些烷基芳香环化合物氧化成芳香羧酸是最为有效和经济的方法[7]

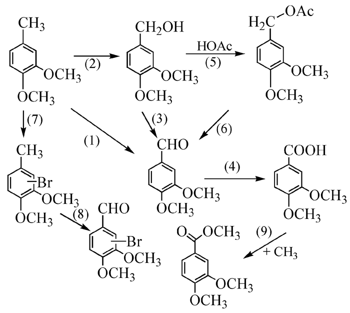
    Partenheimer[9]设计了一系列木质素模型化合物进行实验以了解酚类在自然氧化中所起的作用,并以此来证明酚醛基团的乙酰化反应是否会提高芳香酸的产率(图式5)。木质素的氧化会产生羟基芳香酸,它主要是通过丙烯基脂肪族组分的氧化形成苯甲醛,然后苯甲醛再进一步氧化所形成的。环上酚(羟基)作为抗氧化剂能够有效阻止自然氧化。同时,酚类比烷基苯有着更快的反应速率,可从最初生成的醌类物质进一步降解为二氧化碳[11]。对此,Partenheimer推测,经酚类氧化生成羧酸的过程会有很明显的产率损失,故选取乙酸酐将酚组分转化为乙酸盐来减少损失[12]。他从木头和甘蔗渣中选取了5种不同的木质素进行实验,发现在乙酸环境中,通空气的情况下以(Co/Mn/Zr/Br比例为1:1:0.1:2,摩尔比)为催化剂,溶剂型木质素浓度为8(wt)%,催化剂浓度为Co含量在6.9 mmol/L,乙酸中水的浓度为8(wt)%,压力为138 bar的条件下,180℃反应2h,得到的芳香化合物的产率最高,为10.9%。

    图式5 3, 4二甲氧基甲苯在自然氧化成3, 4-二甲氧基苯甲酸过程中可能发生的一系列反应 Scheme5 Suggested reaction sequence during the autoxidation of 3, 4-dimethoxytoluene to 3, 4-dimethoxybenzoic acid

    1.1.3 金属配合物催化氧化

    目前,采用金属配合物催化氧化木质素的研究主要是金属配合物仿酶催化氧化脱木质素技术。仿酶催化不仅兼有酶催化与化学催化的优点,而且是实现绿色化学直接而有效的途径[13]

    王蕊等[14]对金属配合物仿酶催化脱木质素的研究进行了总结,着重评价了卟啉类和非卟啉类金属配合物作为木质素氧化降解的仿酶催化剂的效果。金属卟啉配合物在相对温和的条件下具有较高的催化活性,但由于它的成本较高,给实际应用带来了一定的困难。由于金属酞菁、Cu2+/吡啶/过氧化氢组成的Gif仿酶体系、希夫碱等非卟啉金属配合物易于合成且具有较高的催化活性,已经引起了众多研究者的广泛关注。周学飞等[15~18]研究Co-salen仿酶催化氧化的反应机理表明,β-O-4型愈创木基木质素模型聚合物在Co-salen仿酶体系中主要发生β-O-4、Cα-Cβ连接的断裂,同时还发生醌型结构的产生和开环、脱甲基反应、酯化、α、β位氧化、Cβ-氨基化和缩合反应等;紫丁香基木质素模型物在Co-salen配合物仿酶催化反应体系中,发生β-O-4、侧链C-C、Cα-Ar断裂和苯环开环反应(见图式6)。这有利于木质素模型聚合物的碎片化,其在仿酶催化系统Co/O2超氧配合物的攻击下可形成苯醌类降解产物,然后进一步酯化、醚化,得到酯化、醚化降解物质,接下来这些降解物质进行酰胺化和氨基化,得到含氮类降解物质。在催化氧化过程中,木质素模型物的功能基发生了变化,进行了酚羟基与醛的缩合、酚羟基醚化和酯化、脱甲基、脱甲氧基等反应,同时还发生了苯环的缩合。

    图式6 紫丁香基木质素模型物在Co-salen配合物仿酶催化反应体系中可能的反应机理 Scheme6 Postulated mechanism for transformation of VGD catalyzed by Co-salen

    1.1.4 金属复合氧化体系和钙钛矿型复合氧化物催化氧化

    一些金属盐如CuSO4等由于其本身不具有氧化性,反应通常需要在O2或H2O2的存在下才能进行。其催化氧化功效主要归功于阳离子和阴离子的共同作用,而不是阳离子的单独作用[28]。另外,为达到提高特定目标产物比率的目的,许多研究者采用金属盐和金属氧化物复合氧化体系催化氧化木质素,已取得了不错的效果。

    Kerstin等[30]在最初的一系列筛查实验中,以离子液体为溶剂,分别用Fe (Fe2(SO4)3、FeCl3)、Cu (CuSO4、CuCl2)、Mn (MnSO4、MnCl2、Mn (NO3)2)作催化剂,在多反应系统中进行平行反应,结果发现,相对铁盐和铜盐,锰盐离子液体溶液尤其是Mn (NO3)2作催化剂时,木质素有较高的转化率。其中采用三氟甲磺酰1-乙基-3-甲基咪唑钅翁[EMIM][CF3SO3]溶解Mn (NO3)2的催化效果最佳。在该反应中,当催化剂的量分别为2(wt)%和20(wt)%时,反应转化率都超过63%。当采用高含量的催化剂时,主要产物为二甲基对苯醌(DMBQ),它能作为一种纯物质从反应的混合物中分离出来,其选择性为21%,占参与反应的木质素总量的11.5%。赵振强等[41]研究了H2O2、甲酸、(NH4)2S2O8、CuSO4·5H2O/CuO/Fe2(SO4)3等氧化催化剂在微波辅助条件下对麦草碱木质素氧化降解的效果。结果表明,单独使用H2O2就可以获得较高的木质素降解率。在优化条件下,木质素的降解率可达90.20%,但单酚收率较低,仅为2.62%。当以CuO和Fe2(SO4)3为催化氧化剂时,单酚收率提高到3.26%,但木质素的降解率却下降了,最高仅36.10%。因此,选择H2O2、CuO和Fe2(SO4)3复合体系作为木质素降解体系的氧化催化剂可以获得较高的木质素降解率和单酚类物质的收率。在碱木质素氧化降解过程中,Cu2+作为电子受体能够加速苯氧基自由基的形成,而Fe3+与双氧水解离的过氧自由基结构能够形成新的反应中间体,以进攻木质素形成降解产物,从而增强降解反应的效果。

    由于ABO3型钙钛矿型复合氧化物结构在烃类氧化过程中有较高的活性和稳定性,很多研究者也将此类催化剂(包括LaFeO3、LaCoO3、LaMnO3)用于木质素的氧化降解反应。邓海波等[36]利用溶胶-凝胶法制备了钙钛矿型复合氧化物LaFeO3,并将其作为催化剂用于木质素湿法氧化合成芳香醛的反应。结果表明,该催化剂具有较高的活性和稳定性。在合适条件下,LaFeO3催化剂能显著提高木质素的转化率以及各芳香醛的产率,其中紫丁香醛的最大产率是无催化剂时的1.85倍,大于香草醛和对羟基苯甲醛产率的提高幅度。更为重要的是,LaFeO3催化剂连续使用5次后仍能保持较高的活性,且体相结构没有发生明显的变化。其反应机理如图式7所示。他们认为,钙钛矿结构LaFeO3表面有着较强的吸附氧的能力,在催化剂的表面可以形成一个O2-Fe(surf)3+-lignin中间体,增大了木质素与氧气的接触,加速了木质素的氧化反应,虽然Fe3+不能直接将酚基阴离子(Ⅱ)氧化成甲基化奎宁自由基Ⅲ或者Ⅲa,但是由于O2-Fe(surf)3+-lignin中间体的存在可以加速酚基阴离子(Ⅱ)氧化成甲基化奎宁自由基Ⅲ或者Ⅲa的速率,因而有一定的催化活性。

    图式7 LaFeO3催化木质素氧化反应可能的机理LaFeO3催化木质素氧化反应可能的机理 Scheme7 Proposed mechanism of oxidation of lignin in the LaFeO3 catalyst process

    1.1.5 金属/分子筛催化

    由于分子筛具有规则的孔道结构和均匀的孔径,同时还有高的比表面积、合适的孔壁厚度及较好的水热稳定性,所以在催化反应中常常被用作载体。经过改性后,分子筛可被用于各种木质素氧化降解反应。

    Gu等[43]报道了利用镧改性的SBA-15作为催化剂,以绿色低成本的H2O2作为氧原子供体,在微波辅助作用下氧化降解榉木木质素。因为活性物种镧稳定地存在于介孔主体中,表现出较好的氧化活性和醛选择性。香草醛最高产率为0.78g/L (相当于产率为9.94%),紫丁香醛产率最高为1.47g/L (相当于产率为15.66%)。在对比实验中发现,在不使用催化剂的条件下,反应进行24h,产率才能达到2%;而采用La/SBA-15催化剂,反应进行10min时,反应产物的摩尔产率就能达到32%,表明催化剂的使用使反应的转化率和产率都明显提高。其反应机理见图式8

    图式8 在碱性条件下采用微波辅助加热方法用H2O2氧化榉木木质素过程中可能发生的一系列反应 Scheme8 Proposed reaction sequence for catalytic oxidation of beech wood lignin (LOB) by hydrogen peroxide with microwave irradiation under alkaline condition

    1.2 以自身为氧化剂的催化氧化

    木质素氧化中,强氧化剂(高锰酸盐、氯气、二氧化氯或者是次氯酸盐)破坏芳香环,产生低分子量的酸;而温和的氧化剂则使氧化发生在侧链上,不会破坏芳香环。同时,氧化剂通过破坏两个丙苯单元之间的醚键,更利于解聚大分子木质素。

    重铬酸钾在乙酸的存在下可被用于木质素和硫代木质素的脱甲基反应。在乙酸中,重铬酸钾可以氧化木质素,使之具有儿茶酚结构(图式9),甲氧基含量可以从11.9%降到2.8%,酚羟基含量由原来的2.4%提高到11.2%[65]

    图式9 重铬酸钾氧化木质素的反应式 Scheme9 The reaction of oxidation of lignin by K2Cr2O7

    许多金属氧化物在碱性介质中都是温和的氧化剂。在氧化软木木质素时,其主要产物为香草醛和香草酸; 在氧化硬木木质素时,除了前两种产物外,还有紫丁香醛和紫丁香酸,而产生醛和酸的量取决于所使用的氧化剂。当氧化剂为氧化汞或氧化银时,酸的产量更高[31]。以氧化铜和氧气作氧化剂时,酸的产量中等[32]。Cu (Ⅱ)、Ag (Ⅰ)和Hg (Ⅱ)氧化剂也曾被用于木质素氧化生成酚类物质的研究。在这些氧化剂中,Cu (Ⅱ)作氧化剂时木质素氧化降解反应生成醛的产率最高[33]。Pearl等[31]将氧化银用于木质素磺化盐氧化的研究,在105℃下,氧化的主要产物是香草酸(或紫丁香酸,来自于硬木木素磺化盐)。氧化汞氧化也产生比例接近的醛和酸,总产率为木质素的30%。其他的一些氧化剂,如钒、铬或镍的氧化物也曾被用于木质素的氧化,但效果并不好。

    2 无金属催化氧化降解

    无金属催化氧化降解木质素的反应机理主要在于催化剂自身的氧化活性,如本身具有强氧化性的硝基苯或H2O2在一定的条件下,利用自身的氧化活性对木质素进行氧化降解。

    最早用于木质素氧化降解的无金属催化剂是硝基苯。Villar等[33]在碱性介质中用硝基苯和二价铜作氧化剂将硬木硫酸盐木质素氧化成酚类化合物(紫丁香醛、香草醛、香草酸和紫丁香酸)。在考察了温度、反应时间和氧化剂浓度对产率和生成产物的影响后发现,硝基苯是一种比二价铜(添加量7%~8%)更为有效的氧化剂。从对产物的贡献来看,硝基苯比二价铜对醛有更高的选择性,因为在铜氧化时还存在另外两种氧化产物。硝基苯虽有较高的氧化性和产物选择性,但因其同时会产生有害的副产物,因此,现在关于硝基苯对木质素氧化降解反应的研究已不多见。

    李忠正等[46]研究了禾草类碱木质素在O2、H2O2、O3及其混合氧化剂存在下的结构变化规律。结果表明,以O2/H2O2为复合氧化剂时,木质素高分子组分在高用碱量下较易氧化降解,分子质量趋于均一化,甲氧基脱除,酚羟基和羧基增加较多;在低用碱量下木质素氧化降解程度低,并伴有缩合反应。研究还发现,此复合氧化剂中H2O2可加快碱木质素氧化降解,促进酚羟基、羧基的产生和脱甲氧基反应。

    由于四甲基哌啶氮氧化物(TEMPO)具有捕获自由基、猝灭单线态氧和选择性氧化等功能,它与NaBr和NaClO一起组成的无金属氧化系统已经被证明对多糖体的伯醇羟基转化为羧基基团有较高的选择性[47]。近年来,此催化系统也被用于木质素的氧化反应中。Stahl等[48]对木质素模型化合物中的苄醇结构和脂肪醇结构的选择性氧化进行了研究,采用不同催化体系进行氧化反应,发现[TEMPO]+BF4-和无金属元素催化体系的TEMPO/HNO3/HCl对苄醇氧化有极高的选择性(反应式见图式10)。对于含苄醇的木质素模型化合物,使用无金属元素催化体系AcNH-TEMPO/HNO3/HCl都得到了高达82%~98%的收率。同时他们等还发现,反应的速率及产物收率随反应底物中芳环上甲氧基数目的增多而变大,这证明了甲氧基同芳环的共轭效应对此反应具有促进作用。需要特别指出的是,该催化体系对邻二醇结构也有选择性。邻二醇中的仲醇先于伯醇发生氧化,生成α-羟基酮结构,然后再进行部分氧化,生成邻二羰基化合物。对于对其他氧化催化剂有毒性的酚羟基结构,AcNH-TEMPO/HNO3/HCl体系也显示了较好的催化性能。对于真实的木质素,此体系也显示了较高的选择性。

    图式10 无金属有氧氧化木质素模型化合物 Scheme10 Metal-free aerobic oxidation of lignin models

    3 微波辅助氧化降解

    碱木质素的活化反应通常在常温常压或高温高压下进行,近几年来,碱木质素降解的方法开始转向一些高级的氧化技术方向,如电化学氧化、微波辅助氧化等。其中,利用微波辅助手段对木质素活化改性研究的报道在国内还较为少见。微波辅助加热用于木质素氧化降解反应的优势在于其较快的反应速度。其反应机理可能是由于微波频率与分子转动频率相近,微波被极性分子吸收时,会与分子平动能发生自由交换,降低了反应活性,改变了反应动力学,从而促进了反应进程,即所谓“特殊效应”或“非热效应”[63]

    Miguel等[35]利用微波作为新的加热方式,选取乙酸乙酯代替乙二醚作为脱除溶剂,在温度为150℃,反应时间90min的无氧条件下氧化水解木质组织,发现采用微波这种新的加热方法在缩短反应时间、精确控制反应条件和增加产物分析灵活度等方面都表现出显著的优势。Sushanta等[45]将Co-salen负载到预先合成好的SBA-15分子筛的介孔孔道上,研究了以H2O2为氧化剂,Co-salen/SBA-15催化罗布麻酚的氧化反应情况(图式11),结果表明,在微波条件下,完全降解罗布麻酚只需要40min,而传统的加热降解24h才能降解57%。

    图式11 微波辅助加热条件下氧化罗布麻酚所得产物 Scheme11 Product distribution in the oxidation of apocynol under microwave irradiation

    4 光催化氧化降解

    光催化技术是20世纪70年代诞生的新技术。能作为光催化剂的材料有很多,包括二氧化钛、氧化锌、氧化锡、二氧化锆、氧化镉等多种氧化物硫化物半导体。其中TiO2因其氧化能力强,性质稳定并且无毒,成为最常用的纳米光催化材料。陈云平等[51]使用纳米TiO2光催化氧化降解碱木质素,发现当木质素用量为5g、催化剂为0.75g/L、光照时间为2.5h和pH为10时,降解率可达70%以上。利用GC-MS对降解产物进行分析,结果表明,降解过程主要是进攻木质素侧链上的羰基和双键,使其发生氧化反应,改变其结构或将侧链裂解。经过降解后可以得到紫丁香基衍生物、香草醛、愈创木基衍生物等小分子物质。

    刘飞跃等[52]发现在木质素的光催化氧化降解反应中,氧化降解和交联并存,两者是一对竞争反应。氧化反应的主要产物是愈创木基乙醇和香兰素,此外还有愈创木基丙酮、愈创木基乙酸等一系列中间产物。氧化过程的控制反应是愈创木基乙醇的氧化。由于氧化与交联的并存,使得反应过程中木质素的平均分子量呈现出先增加后降低的趋势,相应地分子量分布先变窄后变宽,而峰值分子量则持续增加。同时,交联反应的存在也降低了木质素氧化生成小分子产物的效率,而且反应时间越长,小分子化合物产率越低。

    Katie等[53]发明了一种在可见光下使用催化量的二氯二氰基苯醌(DDQ)和亚硝酸钠或亚硝酸叔丁酯高效氧化苄醇和烯丙基醇(包括通过吸电子基团被钝化的)以及木质素模型化合物β-O-4的方法。这种方法甚至在微量的光照下都很有效。光对含有吸电子基团的苄醇的影响尤为显著。他们在光照和黑暗的条件下进行的一系列对比实验发现,所有进行反应的苄醇和烯丙基醇在光照条件下的反应转化率都明显高于黑暗条件下的转化率,反应时间可缩短。

    图式12 在可见光条件下使用催化量DDQ氧化β-O-4木质素模型化合物 Scheme12 Visible-light-enhanced oxidation of lignin model β-O-4 with catalytic amounts of DDQ

    5 电化学氧化降解

    电化学氧化是将有机溶液或悬浮液加入接通直流电的电解槽中,使有机物氧化或是先使低价金属氧化为高价金属离子,然后高价金属离子再使有机物氧化的方法。20世纪40年代以来就有许多电化学氧化木质素的研究报道。

    薛建军等[64]采用微波辅助萃取(MAE)技术(利用离子交换膜的隔离和离子的选择透过性及直流电场的作用)处理草浆黑液。黑液中含有一定量的木质素,而木质素中由于含有可氧化的苯丙基单元,因此可被氧化降解成有用的低分子量的芳香族化合物,如已经研究并有重要商业价值的香草醛和丁香醛。其反应机理为:在MAE中,由于阳极具有强的获得电子的能力,木质素富电荷的芳环可在阳极上放电而被破坏;同时,阳极还可发生下列反应:

    $ 2{{\rm{H}}_2}{\rm{O - 4e}} \to {\rm{2[O] + 4}}{{\rm{H}}^ + } $

    则在阳极区有初生态氧生成,初生态的氧也具有较强的氧化能力,可氧化具有还原性的木质素。

    Kovalenk等[57]发现以Ru、石墨、Ni和Pt为阳极时,能氧化木质素结构中的侧链并生成低分子量的芳香族化合物。当采用Cu-C为电极时,在生成低分子量的芳香族化合物的同时木质素结构中甲氧基含量降低,酚羟基含量增加。反应过程中随着电解电量增大,木质素的分子量有一个先上升后降低的过程,因此调节电量可以改变木质素的分子量。Elena等[58]采用电化学氧化裂解木质素的方法,将木质素溶于一种特殊的质子离子液体中,用阳极氧化产生的特殊的电催化反应,合成了三烷基铵甲基磺酸钠离子液体。与此同时,选取了稳定性好的氧化材料钌-钒-钛混合氧化电极作为阳极,并考察了其在含有5(wt)%碱木质素溶液的离子液体中的电解反应。研究发现,当氧化电压为分别为1.0、1.3和1.5 V时,从残留物质中分离出来的氧化产物的产率分别为3.1%、5.4%和6.0%。混合的氧化涂层在木质素的氧化降解中展现出较好的氧化稳定性和显著的催化活性。研究同时表明,外加电位对产物的组成有着很大的影响,随着电位增高,产生的分子质量变小。

    6 结语

    综上,除了部分自身带有强氧化作用的金属外,在进行木质素氧化降解时,金属催化剂都需要在酸性、碱性溶液或离子液体中配合氧化剂如O2、H2O2等进行反应。然后再根据所选木质素和各催化剂的特性,选择相应的技术条件如高温、高压、微波加热、光催化或电催化等进行反应。虽然目前已经探索出多种能对木质素进行氧化降解的催化剂和氧化剂,但反应转化率一般都很低,且目标产物的选择性也较差。因此,发现既能提高木质素氧化降解反应转化率,又具有高产物选择性的催化剂和氧化剂是木质素氧化降解研究的一个重要方向。当然,也要考虑到绿色环保,如硝基苯等虽有较高的氧化性和产物选择性,但因其产生有害的副产物较多,所以限制了它的应用。目前,采用离子液体替代传统的氢氧化钠溶液以及利用分子筛负载有益于反应的金属催化剂,不仅能提高木质素氧化降解的反应转化率和产物的选择性,同时能重复利用,反应过程绿色化,有望成为未来研究的热点。

    参考文献
    [1] G W Huber, S Iborra, A Corma. Chem. Rev, 2006, 106(9): 4044-4098. http://dx.doi.org/10.1021/cr068360d
    [2] 刘玉, 詹怀宇, 陈嘉川.中国造纸学报, 2005, 20(2): 43. http://d.wanfangdata.com.cn/Periodical/zgzzxb200502011
    [3] 郑大锋, 邱学青, 楼宏铭.精细化工, 2005, 22(4): 249-252. http://www.cqvip.com/Main/Detail.aspx?id=15448684
    [4] W A Hermann, R W Fischer, W Scherer et al. Angew. Chem. Int. Ed., 1993, 32(8): 1157-1160. http://dx.doi.org/10.1002/anie.199311571
    [5] C Crestini, P Pro, V Neri et al. Bioorg. Med. Chem., 2005, 13(7): 2569-2578. http://dx.doi.org/10.1016/j.bmc.2005.01.049
    [6] C Crestini, M C Caponi, D S Argyropoulos et al. Bioorg. Med. Chem., 2006, 14(15): 5292-5302. http://dx.doi.org/10.1016/j.bmc.2006.03.046
    [7] W Partenheimer. Catal. Today, 1995, 23(2): 69-158. http://dx.doi.org/10.1016/0920-5861(94)00138-R
    [8] A Goncalves, U Schuchardt. Appl. Biochem. Biotechnol., 1999, 77-79: 127-132.
    [9] W Partenheimer. Adv. Synth. Catal., 2009, 351(3): 456-466. http://dx.doi.org/10.1002/adsc.200800614
    [10] W Partenheimer. Adv. Synth. Catal., 2004, 346(12): 1495-1500. http://dx.doi.org/10.1002/adsc.200404139
    [11] (a) W Partenheimer. Adv. Synth. Catal., 2004, 346(2-3): 297-306; (b) W Partenheimer. Adv. Synth. Catal., 2005, 347(4): 580-590.
    [12] W Partenheimer. Catal. Today, 1995, 23: 69-158. http://dx.doi.org/10.1016/0920-5861(94)00138-R
    [13] 谢如刚.化学研究与应用, 1999, 11(4): 344-349. http://www.cqvip.com/Main/Detail.aspx?id=3660996
    [14] 王蕊, 钱学仁.林产化学与工业, 2004, 24(1): 101-106. http://www.cnki.com.cn/Article/CJFDTotal-LCHX200401023.htm
    [15] 邓日灵, 周学飞, 朱正良.造纸科学与技术, 2008, 27(3): 13-17. http://www.cqvip.com/Main/Detail.aspx?id=27562711
    [16] 周学飞, 邓日灵, 王树荣.江苏大学学报(自然科学版), 2011, 32(1): 99-102. http://www.cnki.com.cn/Article/CJFDTotal-JSLG201101023.htm
    [17] X F Zhou, J Liu. Hem. Ind., 2012, 66(5): 685-692. http://dx.doi.org/10.2298/HEMIND120124031Z
    [18] X F Zhou, J X Qin, S R Wang. Drewno-Wood, 2011, 54: 15-25.
    [19] D Cedeno, J J Bozell. Tetrahed. Lett., 2012, 53: 2380-2383. http://dx.doi.org/10.1016/j.tetlet.2012.02.093
    [20] K Kervinen, P Lahtinen, T Repo. Catal. Today, 2002, 75(1): 183-188.
    [21] 高洪贵.山东轻工业学院硕士学位论文, 2009. http://cdmd.cnki.com.cn/Article/CDMD-10431-2009219632.htm
    [22] X J Lu, X F Zhou. Oxid. Commun., 2014, 37: 572-582.
    [23] J J Bozell, B R Hames, D R Dimmel. Cheminform., 1995, 26: 2398-2404.
    [24] B Biannic, J J Bozell, T Elder. Green Chemistry, 2014, 16: 3635-3642. http://dx.doi.org/10.1039/C4GC00709C
    [25] S Son, F D Toste. Angew. Chem. Int. Ed., 2010, 49: 3791-3794. http://dx.doi.org/10.1002/anie.201001293
    [26] S K Hanson, R Wu, L A Silks. Angew. Chem. Int. Ed., 2012, 51: 3410-3413. http://dx.doi.org/10.1002/anie.201107020
    [27] S K Hanson, R T Baker, J C Gordon et al. Inorg. Chem., 2010, 49: 5611-5618. http://dx.doi.org/10.1021/ic100528n
    [28] H Werhan, J M Mir, T Voitl et al. Holzforschung, 2011, 65: 703-709.
    [29] 石忠亮, 刘仕伟, 于世涛.化工科技, 2012, 20(5): 1-3. http://www.cqvip.com/QK/97639X/201205/43987084.html
    [30] K Stärk, N Taccardi, A Bçsmann et al. ChemSusChem, 2010, 3: 719-723. http://dx.doi.org/10.1002/cssc.200900242
    [31] I A Pearl, D L Beyer. Tappi, 1959, 42(9): 800-804.
    [32] J I Hedges, G L Cowie, J R Ertel et al. Geochim. Cosmochim. Acta, 1985, 49(3): 701-711. http://dx.doi.org/10.1016/0016-7037(85)90165-6
    [33] J C Villar, A Caperod, F Garcia-Ochoa. J. Wood Chem. Technol., 1997, 17(3): 259-285. http://dx.doi.org/10.1080/02773819708003131
    [34] R C Sun, J M Lawther, W B Banks. Ind. Crop. Prod., 1995: 4241-4254.
    [35] M A Goni, S Montgomery. Anal. Chem., 2000, 72: 3116-3121. http://dx.doi.org/10.1021/ac991316w
    [36] 邓海波, 林鹿, 孙勇等.催化学报, 2008, 29(8): 753-757. http://www.cnki.com.cn/Article/CJFDTotal-CHUA200808014.htm
    [37] J H Zhang, H B Deng, L Lin. Molecules, 2009, 14: 2747-2757. http://dx.doi.org/10.3390/molecules14082747
    [38] H B Deng, L Lin, Y Sun et al. Energ. Fuel., 2009, 23: 19-24. http://dx.doi.org/10.1021/ef8005349
    [39] H B Deng, L Lin, S J Liu. Energ. Fuel., 2010, 24: 4797-4802. http://dx.doi.org/10.1021/ef100768e
    [40] P Gao, N Li, A Wang et al. Mater. Lett., 2013, 92: 173-176. http://dx.doi.org/10.1016/j.matlet.2012.10.091
    [41] Z Q Zhao, X P Ouyang. Adv. Mater. Res., 2012, 550-553:1208-1213.
    [42] 欧阳新平, 谭友丹, 邱学青.燃料化学学报, 2014, 42(6): 677-682. http://www.cqvip.com/QK/90650X/201406/661847562.html
    [43] X L Gu, K H Cheng, M He et al. Maderas Cienc. Tecnol., 2012, 14(1): 31-42. http://dx.doi.org/10.4067/S0718-221X2012000100003
    [44] Y Zhou, J P Zhang, X G Luo et al. J. Appl. Polym. Sci., 2014, 131(18): 40749.
    [45] S K Badamali, R Luque, J H Clark et al. Catal. Commun., 2009, 10: 1010-1013. http://dx.doi.org/10.1016/j.catcom.2008.12.051
    [46] 李忠正, 任承霞, 王海燕.中国造纸学报, 2006, 21(3): 1-5. http://www.cnki.com.cn/Article/CJFDTotal-ZGZB200603000.htm
    [47] S P Mishra, J Thirree, A S Manent et al. Bioresources, 2011, 6: 121-143.
    [48] A Rahimi, A Azarpira, H Kim et al. J. Am. Chem. Soc., 2013, 135: 6415-6418. http://dx.doi.org/10.1021/ja401793n
    [49] S W Liu, Z L Shi, L Li et al. RSC Adv., 2013, 3: 5789-5793. http://dx.doi.org/10.1039/c3ra40391b
    [50] X P Ouyang, Z X Lin, Y H Deng et al. Chin. J. Chem. Eng., 2010, 18(4): 695-702. http://dx.doi.org/10.1016/S1004-9541(10)60277-7
    [51] 陈云平, 傅艳斌, 杨平等.生物质化学工程, 2009, 43(6): 31-35. http://d.wanfangdata.com.cn/Periodical/lchgtx200906007
    [52] 刘飞跃, 徐银崧.纤维素科学与技术, 2006, 14(3): 24-31. http://d.wanfangdata.com.cn/Periodical/xwskxyjs200603005
    [53] K Walsh, H F Sneddon, C J Moody. Org. Lett., 2014, 16: 5224-5227. http://dx.doi.org/10.1021/ol502664f
    [54] Y Q Pu, S Anderson, L Lucia et al. J. Photochem. Photobiol. A, 2004, 163: 215-221. http://dx.doi.org/10.1016/j.jphotochem.2003.11.009
    [55] M Ugurlu, M H Karaoglu, Chem. Eng. J., 2011, 166: 859-867.
    [56] S K Kansal, M Singh, D Sud. J. Hazard. Mater., 2008, 153: 412-417. http://dx.doi.org/10.1016/j.jhazmat.2007.08.091
    [57] E I Kovalenko, V A Smirnov, V N Shalimov. Zhurnal Prikladnoi Khimii, 1977, 50(8): 1741-1744.
    [58] E Reichert, R Wintringer, D A Volmer et al. Phys. Chem. Chem. Phys., 2012, 14: 5214-5221. http://dx.doi.org/10.1039/c2cp23596j
    [59] M Díaz-González, T Vidal, T Tzanov. Appl. Microbiol. Biotechnol., 2011, 89: 1693-1700. http://dx.doi.org/10.1007/s00253-010-3007-3
    [60] L Pollegioni, F Tonin, E Rosini. FEBS J., 2015, 282(7): 1190-1213. http://dx.doi.org/10.1111/febs.13224
    [61] H Lange, S Decina, C Crestini. Eur. Polym. J., 2013, 49:1151-1173. http://dx.doi.org/10.1016/j.eurpolymj.2013.03.002
    [62] 胡立红, 周永红, 刘瑞杰等.生物质化学工程, 2012, 46(1): 23-33. http://www.cqvip.com/QK/94390A/201201/40827172.html
    [63] 杨伯伦, 贺拥军.现代化工, 2001, 21(4):8-12. http://www.cnki.com.cn/Article/CJFDTotal-XDHG200104002.htm
    [64] 薛建军, 李忠正.林产化学与工业, 2001, 21(2):5-8. http://d.wanfangdata.com.cn/Periodical/lchxygy200102002
    [65] M Olivares, J A Guzmán, A Natho et al. Wood Sci. Technol., 1988, 22:157-165. http://dx.doi.org/10.1007/BF00355851