化学教育   2016, Vol. 37 Issue(24): 66-73   PDF    
硝基苯还原反应的机理探讨
崔文辉     
陇南师范高等专科学校化学系 甘肃成县 742500
摘要: 硝基苯在不同的还原剂及不同的介质中可以被还原成亚硝基苯、苯胲、偶氮苯、氧化偶氮苯、氢化偶氮苯等不同产物。这一性质深刻揭示了还原剂的还原能力除了与本身的性质有关之外,还与反应介质密切相关。由于这些还原产物结构复杂,相应反应的机理在国内外常见经典有机化学教科书中鲜有描述,给初学者的学习理解造成了困难。本文从氧化还原反应中电子守恒原理出发,探讨了这一组还原反应的可能机理,并导出了完整的化学反应方程式。
关键词硝基苯     还原     反应机理     总反应    
Discussion on Mechanisms of Reduction Reactions of Nitrobenzene
CUI Wen-Hui     
Department of Chemistry, Longnan Teachers College, Chengxian 742500, China
Abstract: Nitrobenzene can be reducted to all kinds of products such as nitrosobenzene, phenylhydroxylamine, azobenzene, azoxybenzene, hydrazobenzene etc. in different reducing agents and reaction medium. This property reveals deeply that the reduction ability of the reducing agents not only related to the property of itself, but also closely related to reaction medium. Due to the complex structure of these reduction products, and the corresponding reaction mechanism is rarely described in the classical organic chemistry textbooks at home and abroad, which is difficult to understand for beginners.In this paper, the possible mechanisms and the complete chemical reaction equations of these reduction reactions were discussed, according to the principle of conservation of electrons in the redox reaction.
Key Words: nitrobenzene     reduction reaction     reaction mechanism     complete equation    

根据电化学知识,氧化还原反应的电极电势不仅受氧化剂还原剂自身浓度的影响,而且经常受到非氧化还原组分的浓度的影响,包括酸度(pH)对反应的影响[1]。在有机化学知识中,还原剂的还原能力与介质有关的典型例子就是硝基苯的还原反应,如图 1所示,硝基苯在6种不同条件下能被还原成6种不同的产物[2]

图 1 硝基苯在不同条件下的还原反应产物 Fig. 1 Reduction reaction products of nitrobenzene under different conditions

其中,亚硝基苯、苯胲、苯胺及氢化偶氮苯是用同一种还原剂金属锌,分别在中性(水)、弱酸性(NH4Cl水溶液)、强酸性(HCl)及强碱性(NaOH)4种不同的介质中还原硝基苯的产物。而氢化偶氮苯、偶氮苯和氧化偶氮苯 是在同一种介质(NaOH溶液)中,用Zn、Fe、As2O33种不同的还原剂还原硝基苯的产物。

由同一种反应物是如何转变成结构各异的不同种产物的呢?还原剂与介质又是怎样具体参与反应的呢?这需要用反应机理解释,但常见的基础有机化学教材中很难找到或找全这些反应机理。查阅文献的结果是,大量的研究致力于改进硝基苯还原为苯胺的方法[3-8],以提高转化率及促进其转化消除环境污染方面,而阐述反应机理的文献相对很少。在文献中涉及到的反应机理大致可以分为3种类型,第1种是以图 2[9]为代表的网络型[4, 7, 10-12]

图 2 硝基苯氢化机理 Fig. 2 Mechanism of hydrogenation of nitrobenzene

第2种是图 3[13]所示流水线型 [8, 14-15]

图 3 硝基苯生成氢化偶氮苯的反应机理 Fig. 3 Mechanism for the reduction of nitrobenzene to hydrazobenzene

第3类是图 4所示[16]带箭头的分段递进式类型,段内具有流水线特征。

图 4 硝基苯还原成苯胺的反应机理 Fig. 4 Mechanism for the reduction of nitrobenzene to aniline

第1类反应机理(图 2所示)与图 1一样其实就是一个转化关系略图,没有标明电子转移的数目和方向,虽然在科学研究中能简明扼要地解释一些产物的生成途径,但作为教材中的知识点,太过于粗略反而不利于初学者掌握。第2类虽然标明了电子转移的数目,但电子转移方向不明确(图 3中只有1步标明电子转移方向)。第3类(图 4)标明了电子转移的数目和方向,相对而言,是比较规范的有机反应机理表达式,但仍然存在着有些步骤中电子转移方向不完整、原子之间的结合指向不明确等缺陷。同时,这些已见报道的机理仅局限于强酸性介质,其他类型介质参与的反应机理非常鲜见。因此,本文从基础有机化学理论教学角度出发,结合氧化还原反应中电子守恒原理,参考现有文献报道的研究结论,用当今国内外通用的有机化学机理表达方式,探讨了硝基苯各种转化中涉及的反应机理并给出了总反应方程式。当然,也不排除还有其他的反应机理存在的可能性。

1 中性条件下,硝基苯由锌还原成亚硝基苯的反应机理及总反应方程式

硝基苯中N元素的化合价是+3,亚硝基苯中的N是+1。该反应系统电子守恒关系如图 5所示:

图 5 锌-水还原体系中电子守恒关系 Fig. 5 Relationship of conservation of electrons inthe reduction system of Zn/H2O

1.1 反应机理

第1步,由于硝基中2个氧原子的吸电子作用,使得氮原子周围电子云密度低,显正电性,还原剂金属锌转移给硝基中的氮原子2个电子,生成硝基负离子。第2步,硝基负离子夺取水中的质子生成 N ,N -二羟基苯胺。第3步,从 N ,N -二羟基苯胺中脱去1分子水生成亚硝基苯(Scheme 1)。

反应式1 锌在水中将硝基苯还原为亚硝基苯的反应机理 Scheme1 The mechanism for the Zinc-mediated reduction of nitrobenzene to nitrosobenzene in water

1.2 总反应方程式

该转化总反应式如(1) 式所示。

(1)

2 弱酸性条件下,锌将硝基苯还原为苯胲的反应机理及总反应方程式

硝基苯中N元素的化合价是+3,苯胲(苯基羟胺)中N元素的化合价是-1,该反应系统电子守恒关系如图 6所示:

图 6 锌-氯化铵还原体系中电子守恒关系 Fig. 6 Relationship of conservation of electronsin the reduction system of Zn/NH4Cl

2.1 反应机理

第1步,由于硝基中2个氧原子的吸电子作用,使得氮原子周围电子云密度低,显正电性,2个电子从金属锌转移给硝基中的氮原子,相应的氮氧原子之间的 π 键断裂,电子转移给氧原子生成硝基负离子。第2步,硝基负离子从铵离子中夺取质子生成 N ,N -二羟基苯胺。第3步,N ,N -二羟基苯胺分子中的1个羟基接受1个质子后再脱去1个水分子,生成苯基羟胺氮鎓离子与氧鎓离子共振杂化体。第4步,第2个锌原子失去2个电子转移给缺电子的氮原子后生成羟胺氮负离子。第5步,羟胺氮负离子从铵离子中夺取1个质子生成苯胲(苯基羟胺)(Scheme 2)。该反应历程中关键中间体与文献[15]报道一致。

反应式2 锌在铵盐存在下将硝基苯还原为苯胲的反应机理 Scheme2 The mchanism for the Zinc-mediated reduction of nitrobenzene to phenylhydroxylamine in the presence of ammonium salts

2.2 总反应方程式

反应过程中共有2个Zn原子和4个NH4+ 参与了反应,总反应方程式如(2) 式所示。

(2)

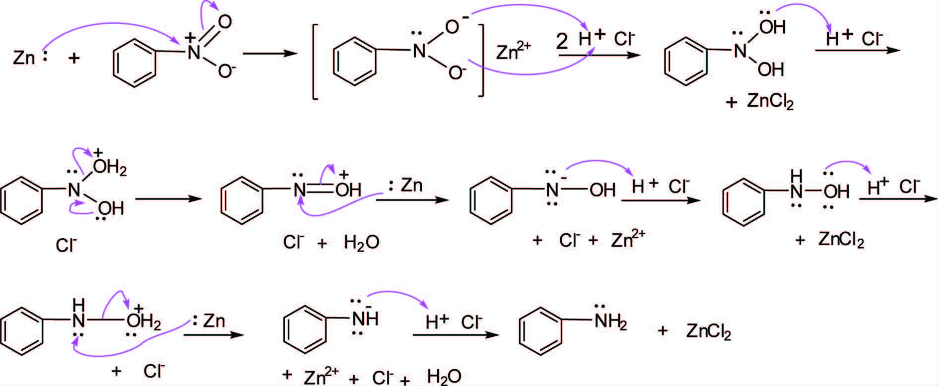
3 强酸性条件下,金属锌(锡或铁)还原硝基苯成苯胺的反应机理及总反应方程式

硝基苯中N元素的化合价是+3,苯胺中的N元素的化合价是-3,反应中共需要3个锌原子失去6个电子。该反应系统电子守恒关系如图 7所示:

图 7 锌-盐酸还原体系中电子守恒关系 Fig. 7 Relationship of conservation of electrons in the reduction system of Zn/HCl

3.1 反应机理

第1步,2个电子从金属锌转移给硝基中缺电子的氮原子,生成硝基负离子。第2步,硝基负离子从反应介质(HCl)中夺取质子生成 N ,N -二羟基苯胺。第3步,N ,N -二羟基苯胺分子中的1个羟基再接受1个质子后脱去1个水分子,生成苯基羟胺氧鎓离子。第4步,第2个锌原子失去2个电子转移给缺电子的氮原子后生成羟胺氮负离子。第5步,羟胺氮负离子从酸中夺取1个质子生成苯基羟胺。第6步,羟胺中的羟基质子化,并在第3个锌原子转移2个电子的情况下脱去1个水分子生成苯胺负离子。第7步,苯胺负离子夺取介质(HC1) 中的1个质子生成苯胺(Scheme 3)。该反应历程中关键中间体与文献[15]报道一致。

反应式3 锌在强酸性条件下将硝基苯还原为苯胺的反应机理 Scheme3 The mechanism for the Zinc-mediated reduction of nitrobenzene to aniline under the condition of strong acid

3.2 总反应方程式

反应过程中共有3个Zn原子和6个质子参与了反应,总反应方程式如(3) 式所示。

(3)

4 锌在强碱性介质中还原硝基苯为氢化偶氮苯的机理及总反应方程式

硝基苯中N元素的化合价是+3,氢化偶氮苯中的N元素的化合价是-2,该反应系统电子守恒关系如图 8所示。生成1个氢化偶氮苯分子需要2个氮原子参与反应,故相应需要5个锌原子失去10个电子。

图 8 锌-氢氧化钠还原体系中电子守恒关系 Fig. 8 Relationship of conservation of electrons in the reduction system of Zn/NaOH

4.1 反应机理

第1步,金属锌转移给硝基中的氮原子2个电子,生成硝基负离子。第2步,硝基负离子夺取水中的质子生成 N ,N -二羟基苯胺和氢氧化锌。第3步,从 N ,N -二羟基苯胺中脱去1分子水生成亚硝基苯。第4步,2个亚硝基苯分子从1个锌原子各得到1个电子,即单电子转移,生成2个亚硝基苯氧负离子自由基,2个自由基偶合生成 N ,N ′-二氧负离子偶氮苯。第5步,N ,N ′-二氧负离子偶氮苯从水分子中夺取质子后生成 N ,N ′-二羟基偶氮苯和氢氧化锌。第6步,二羟基偶氮苯不稳定,脱去1分子水生成氧化偶氮苯。第7步,氧化偶氮苯中的氧原子在水分子作用下质子化成羟基后,缺电子的氮原子从锌原子得到电子并脱除1个氢氧根离子,生成偶氮苯。第8步,偶氮苯分子中的2个氮原子各得到1个锌原子中的电子生成苯偶氮负离子。第9步,苯偶氮负离子从水分子得到质子转变为氢化偶氮苯(Scheme 4)。该反应机理中涉及到的一些中间体的分子结构如硝基负离子、亚硝基苯氧负离子自由基、 N ,N ′-二羟基偶氮苯等与文献[13]报道一致,差别仅在于质子的供给方式不同,碱性介质中由水分子提供质子。

反应式4 锌在强碱性条件下将硝基苯还原为氢化偶氮苯的反应机理 Scheme4 The mechanism for the Zinc-mediated reduction of nitrobenzene to hydrazobenzene in strong alkaline medium

4.2 总反应方程式

综合计算上述各步反应中参与反应和生成的物种数量,得到反应的总方程式如(4) 式所示。

(4)

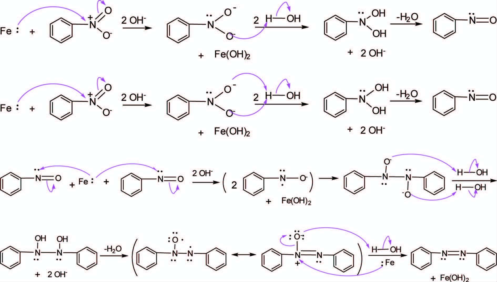
5 铁在强碱性条件下将硝基苯还原为偶氮苯的反应机理及总反应方程式

硝基苯中N元素的化合价是+3,偶氮苯中的N是-1价,该反应系统电子守恒关系如图 9所示。2个硝基苯分子中+3价的氮原子转变为偶氮苯分子中-1价的氮原子需要得到8个电子,共需要4个铁原子参与失电子的反应。

图 9 铁-氢氧化钠还原体系中电子守恒关系 Fig. 9 Relationship of conservation of electrons in the reduction system of Fe/NaOH

5.1 反应机理

第1步,2个电子由金属铁转移给硝基中的缺电子的氮原子,生成硝基负离子。亚铁离子与介质中的氢氧根离子生成氢氧化亚铁是铁原子失电子的推动力之一。第2步,硝基负离子夺取水中的质子生成 N ,N -二羟基苯胺和氢氧化亚铁。第3步,N ,N -二羟基苯胺分子不稳定,脱去1分子水生成亚硝基苯。第4步,2个亚硝基苯分子从一 个铁原子各得到一个电子,即单电子转移,生成2个亚硝基苯氧负离子自由基。第5步,2个自由基偶合生成二氧负离子偶氮苯。第6步,N ,N ′-二氧负离子偶氮苯从水分子中夺取质子后生成 N ,N ′-二羟基偶氮苯和氢氧化亚铁。第7步,二羟基偶氮苯分子不稳定,脱去1分子水生成氧化偶氮苯。第8步,氧化偶氮苯中的氧原子在水分子作用下质子化成羟基后生成羟基偶氮苯。第9步,羟基偶氮苯缺电子的氮原子从铁原子得到电子后脱除1个氢氧根离子,生成偶氮苯及氢氧化亚铁(Scheme 5)。该反应机理与锌在碱性介质中还原硝基苯到氢化偶氮苯相同。

反应式5 铁在强碱性条件下将硝基苯还原为偶氮苯的反应机理 Scheme5 The Mechanism for the iron-mediated reduction of nitrobenzene to azobenzene in strong alkaline medium

5.2 总反应方程式

综合计算上述各步反应中参与反应和生成的物种数量,得到反应的总方程式如(5) 式所示。

(5)

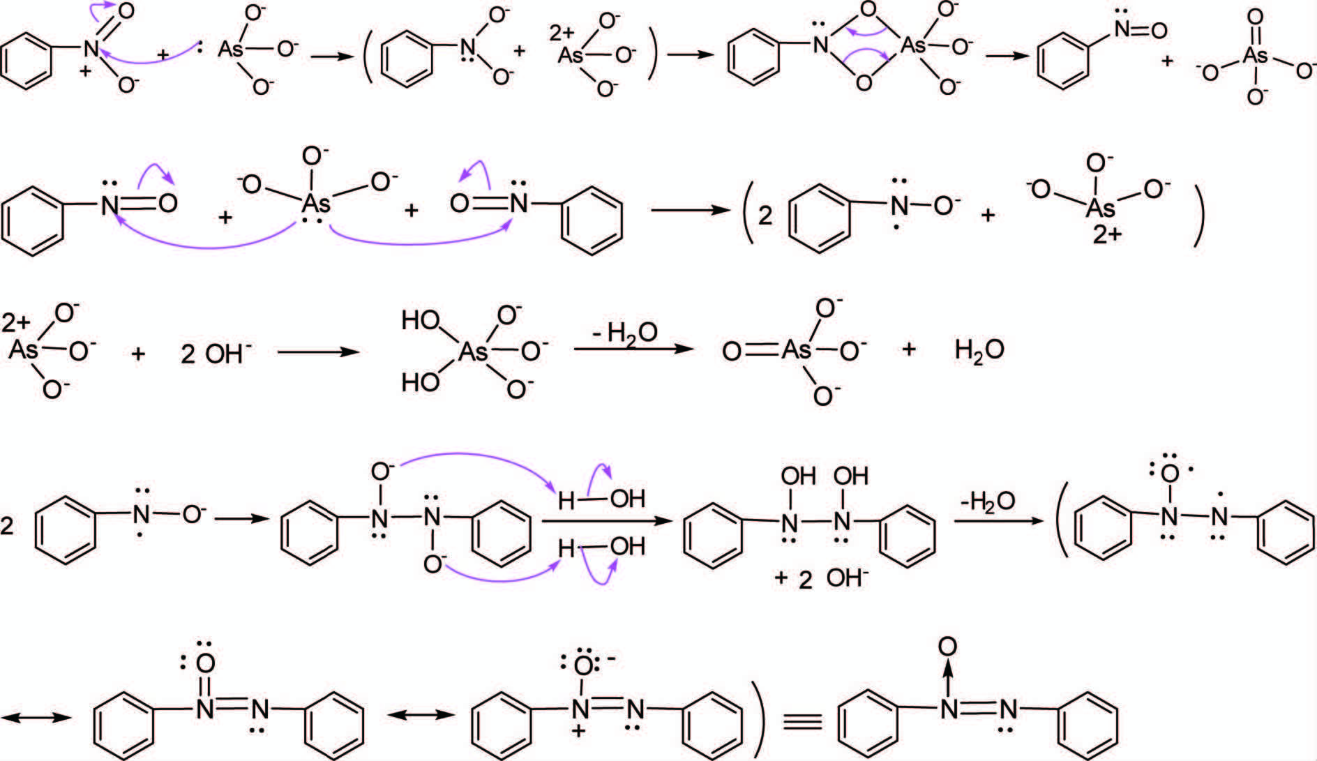
6 三氧化二砷在强碱性条件下将硝基苯还原为氧化偶氮苯的反应机理及总反应方程式

三氧化二砷在强碱(NaOH)中会发生反应生成亚砷酸钠。

因此,三氧化二砷在强碱性介质中是以亚砷酸根离子的形式存在的。又由于H3AsO3的结构与H3PO3的不同,分子中没有As-H键存在3[17],故,H3AsO3和AsO3-的构造式应写成下式:

硝基苯中N元素的化合价是+3,氧化偶氮苯分子偶氮基的2个氮原子中,与氧原子形成配位键的氮原子的化合价是+1,另一个氮原子的化合价是-1。该反应系统电子守恒关系如图 10所示。2个硝基苯分子中的N原子共得到6个电子,需要3个As(Ⅲ)原子参与失电子的反应。

图 10 三氧化二砷-氢氧化钠还原体系中电子守恒关系 Fig. 10 Relationship of conservation of electrons in the reduction system of As2O3/NaOH

6.1 反应机理

第1步,强碱性条件下,2个电子从具有较强还原性的亚砷酸根离子中As(Ⅲ)原子转移到硝基中缺电子的氮原子上,生成的负二价的硝基负离子与呈+2价的砷氧化物结合生成一种不稳定的四元环状化合物中间体。第2步,环状物分子内部电子发生转移,重排为亚硝基苯和砷酸根离子,再重复一次上述过程,共生成2个亚硝基苯分子。第3步,亚砷酸根离子各转移1个电子(单电子转移)给2个亚硝基苯分子,生成2个亚硝基苯氧负离子氮自由基和呈+2价的砷氧化物。第4步,由于是碱性介质,呈+2价的砷氧化物与反应介质中的2 个氢氧根离子结合后,再脱1分子水生成砷酸根离子(As(V))。而2个亚硝基苯氧负离子氮自由基偶合生成 N ,N ′-二氧化偶氮苯负离子。第5步,N ,N ′-二氧化偶氮苯负离子结合水分子中的质子生成 N ,N ′-二羟基偶氮苯。第6步,N ,N ′-二羟基偶氮苯分子不稳定,脱去1分子水生成氧化偶氮苯(Scheme 6)。该反应机理中一些中间体的分子结构与铁在碱性介质中还原硝基苯到偶氮苯相同,与文献[13]报道一致。

反应式6 三氧化二砷在强碱性条件下将硝基苯还原为氧化偶氮苯的反应机理 Scheme6 The mechanism for arsenic trioxide-mediated reduction of nitrobenzene to azoxybenzene in strong alkaline medium

6.2 总反应方程式

综合计算上述各步反应中参与反应和生成的物种数量,亚砷酸根离子参与反应的总方程式如(6) 式所示。

(6)

将Na3AsO3转换为As2O3后,对应的反应总方程式如(7) 式所示。

(7)

硝基苯在上述6种还原条件下发生的反应在机理中的相同或不同点,可以用图 11所示的网络关系图来形象地归纳总结。

图 11 硝基苯在6种还原条件下的机理比较 Fig. 11 Comparison of the mechanisms of nitrobenzene in six kinds of reducing conditions ① (Zn+H2O),② (Zn+NH4Cl),③(Zn+HCl),④ (Zn+NaOH),⑤ (Fe+NaOH),⑥ (As2O3+NaOH)。

7 总结

(1) 图(11) 中编号与正文中还原剂体系出现的顺序一致。在同一个箭头上的数字表明它们所代表的还原体系这一步的反应机理相同,同一个数字出现的次数越多说明其代表的还原体系经过的中间体阶段也越多。

(2) 由硝基苯夺取各种还原剂失去的电子生成硝基苯负离子的第一步机理都相同,但接下来,在硝基中的氧负离子结合质子生成二羟基苯胺的一步发生了差异,分为2种方向,②③的酸性方向和①④⑤⑥的碱性方向。酸性介质中,存在大量的质子,硝基中的氧负离子直接结合质子变成羟基,并进一步使羟基质子化,然后脱去水分子。而在中性及碱性介质中,由水分子提供质子,水是弱电解质,产生质子能力很弱,导致反应推动力下降,改变了反应路径。

(3) 在本文讨论的6种还原体系中,金属锌作还原剂的有4 种,但产物各不相同。在①-④中,相同点是锌原子失电子,硝基中的氮原子接受电子,不同点在于因为介质不同,导致反应路径(机理)发生了异化。同一路径内,介质参与反应的机理虽然相同,但介质的酸、碱性的强弱又直接影响了还原剂的电极电势的高低,又使它们的还原能力不同。

(4) 用NaOH溶液作反应介质的有3种情况,即,④-⑥组合。这3 种情况产物不同的原因是,在介质参与反应机理相同的前提下,Zn、Fe和As2O3(碱性介质中以亚砷酸根离子形式存在)三种还原剂的本身的氧化还原电极电势不同[18],还原能力不同。

(5) 图 11中,由氢化偶氮苯转化为苯胺的机理不在本文讨论之列。但从此网络图中可以清晰地看出包括苯基羟胺在内的亚硝基苯、氧化偶氮苯、偶氮苯和氢化偶氮苯都是由硝基苯还原为苯胺中间体[7, 9-10, 12, 15]

参考文献
[1] 北京师范大学. 无机化学(上册). 4版.北京: 高等教育出版社, 2002 : 364 -365
[2] 东北师范大学, 等. 有机化学(下册). 5版.北京: 高等教育出版社, 2011 : 81
[3] Wang , A J; Cheng , H Y; Liang , B Environ. Sci.Technol 2011 ,45 ,(23) ,10186. doi: 10.1021/es202356w
[4] Khan , F A; Dash , J; Sudheer , C Tetrahedron Letters 2003 ,44 ,(42) ,7783. doi: 10.1016/j.tetlet.2003.08.080
[5] Kelly , S M; Lipshutz , B H Org.Lett 2014 ,16 ,(1) ,98. doi: 10.1021/ol403079x
[6] Kiasat , A R; Mirzajani , R; Ataeian , F Chin.Chem.Lett 2010 ,21 ,(9) ,1015. doi: 10.1016/j.cclet.2010.05.024
[7] Dell'Anna , M M; Intinia , S; Romanazzi , G J.Mol.Catal.A:Chem 2014 ,395 ,(12) ,307.
[8] Mu , Y; Rozendal , R A; Rabaey , K Environ.Sci.Technol 2009 ,43 ,(22) ,8690. doi: 10.1021/es9020266
[9] Wisniak , J; Klein , M Ind. Eng. Chem. Prod. Res. Dev 1984 ,23 ,(1) ,44. doi: 10.1021/i300013a009
[10] Baumeister , P; Blaser , H U; Studer , M Cata.Lett 1997 ,49 ,(4) ,219.
[11] Yu , C Z; Liu , B; Hu , L Q J.Org.Chem 2001 ,66 ,(3) ,919. doi: 10.1021/jo005666q
[12] Shi , Q X; Lu , R W; Jin , K Chem.Lett 2006 ,35 ,(2) ,226. doi: 10.1246/cl.2006.226
[13] Khurana , J M; Singh , S Chem. Soc., Perkin Trans 1 1999 ,(13) ,1893.
[14] Brady , E D; Clark , D; Keogh , D W J.Am. Chem. Soc 2002 ,124 ,(24) ,7007. doi: 10.1021/ja0168918
[15] Ung , S; Falguie'res , A; Guy , A Tetrahedron Lett 2005 ,46 ,(35) ,5913. doi: 10.1016/j.tetlet.2005.06.126
[16] 南京大学化学系有机化学教研室. 有机化学(上册). 北京: 人民教育出版社, 1978 : 9
[17] 北京师范大学. 无机化学(下册). 4版.北京: 高等教育出版社, 2003 : 549 -550
[18] 尹敬执, 申泮文. 基础无机化学(下册). 北京: 人民教育出版社, 1980 : 531 -560