Citation: ZHAN Hao, LIN Jun-heng, HUANG Yan-qin, YIN Xiu-li, LIU Hua-cai, YUAN Hong-you, WU Chuang-zhi. Evolution of nitrogen functionalities and their relation to NOx precursors during pyrolysis of antibiotic mycelia wastes[J]. Journal of Fuel Chemistry and Technology, ;2017, 45(10): 1219-1229. shu

Evolution of nitrogen functionalities and their relation to NOx precursors during pyrolysis of antibiotic mycelia wastes

  • Corresponding author: WU Chuang-zhi, wucz@ms.giec.ac.cn
  • Received Date: 25 May 2017
    Revised Date: 13 August 2017

    Fund Project: The project was supported by the National Natural Science Foundation of China 51676195The project was supported by the National Natural Science Foundation of China 51661145022The project was supported by the National Natural Science Foundation of China (51676195, 51661145022)

Figures(8)

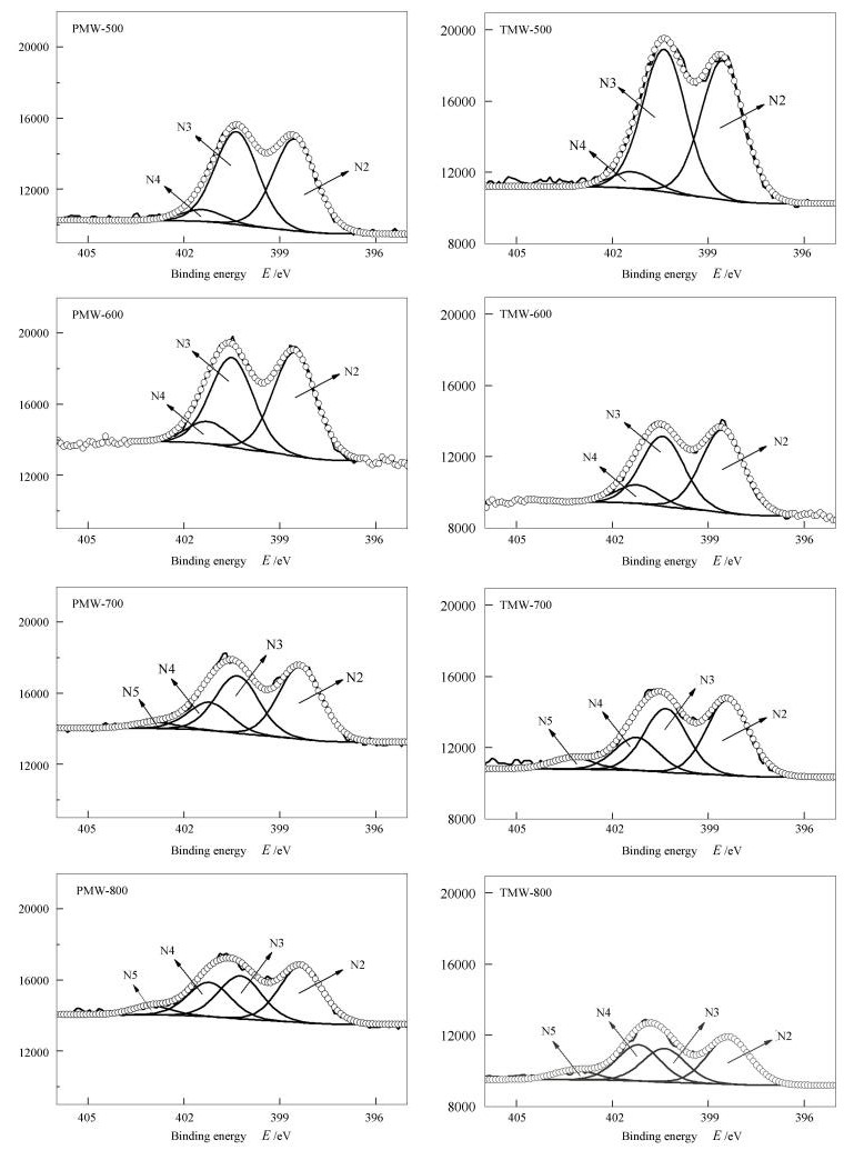
  • On the basis of rapid pyrolysis of two antibiotic mycelial wastes (AMWs), viz., penicillin mycelia waste (PMW) and terramycinmycelial waste (TMW), in a horizontal tubular quartz reactor, evolution of nitrogen functionalities and their relation to NOx precursors were investigated with the help of XPS and chemical absorption-spectrophotometry methods.The results indicate that inorganic-N (N-IN) and amide-N/amine-N/amino-N (N-A) are two kinds of nitrogen functionalities in the raw AMWs samples, determining the predominance of NH3-N among NOx precursors. N-A is found to be the main one with the proportion of 81.1% and 59.0% for PMW and TMW, respectively. At low temperatures, the decomposition of N-IN and the conversion of N-A mainly occur at 150-250℃ and 250-450℃, respectively, which are two routes for most NH3-N with yields of 20.9% (PMW) and 25.6% (TMW). While HCN-N is produced with a small amount less than 2%, having no relationship with the characteristics of nitrogen functionalities in fuels. Besides, pyridinic-N (N-6) and pyrrolic-N (N-5) are also formed and then converted with peak values at 350-400℃. At high temperatures, the conversion of N-6 and N-5 is prevailing, leading to the basically equal increments on NH3-N and HCN-N. Simultaneously, a minor amount of more stable quaternary nitrogen (N-Q) and N-oxide (N-X) is produced. Typically, due to the rapid decomposition of N-IN and labile N-A at low-temperature pyrolysis, nitrogen removal can reach up to 40% while energy loss can be controlled within 25% when pyrolyzing at 250-300℃. As a result, low-temperature pyrolysis could be an effective method for nitrogen removal whereas preserving the energy in AMWs.
  • 加载中
    1. [1]

      GONG Li-peng, GUO Bin, REN Ai-ling, LIU Ren-ping, SONG Han-ning. Physical and chemical properties of antibiotics bacterial residue[J]. J Heibei Univ Sci Technol, 2012,33(2):190-196. doi: 10.7535/hbkd.2012yx02023

    2. [2]

      XU Guang-wen, JI Wen-feng, LIU Zhou-en, WAN Yin-hua, ZHANG Xiao-yong. Necessity and technical route of value-added utilization of biomass process residues in light industry[J]. Chin J Process Eng, 2009,9(3):618-624.  

    3. [3]

      GUO B, GONG L, DUAN E, LIU R, REN A, HAN J, ZHAO W. Characteristics of penicillin bacterial residue[J]. J Air Waste Manage, 2012,62(4):485-8. doi: 10.1080/10962247.2012.658956

    4. [4]

      ZHANG G Y, MA D C, PENG C N, LIU X X, XU G W. Process characteristics of hydrothermal treatment of antibiotic residue for solid biofuel[J]. Chem Eng J, 2014,252(252):230-238.  

    5. [5]

      Ma D C, Zhang G Y, Zhao P T, AREEPRASERT C, SHEN Y F, YOSHIKAWA K, XU G W. Hydrothermal treatment of antibiotic mycelial dreg:More understanding from fuel characteristics[J]. Chem Eng J, 2015,273(8):147-155.  

    6. [6]

      YOU Zhan-ping, HAO Chang-sheng, JIAO Yong-gang, ZHAO Liang, FENG Chun-hong. Pyrolysis and combustion characteristics comparison studies of two kinds of antibiotic residues[J]. Ind Safety Environ Prot, 2016,42(05):41-43. doi: 10.3969/j.issn.1001-425X.2016.05.012

    7. [7]

      GONG Li-peng. Research on pyrolysis technology of terramycin bacterial residue[D]. Shijiazhuang:Hebei University of Science & Technology, 2012.

    8. [8]

      ZHOU B H, GAO Q, WANG H H, DUAN E H, GUO B, ZHU N. Preparation, characterization, and phenol adsorption of activated carbons from oxytetracycline bacterial residue[J]. J Air Waste Manage, 2012,62(12):1394-1402. doi: 10.1080/10962247.2012.716013

    9. [9]

      YANG S J, ZHU X D, WANG J S, XING J, LIU Y C, FENG Q, ZHANG S C, CHEN J M. Combustion of hazardous biological waste derived from the fermentation of antibiotics using TG-FTIR and Py-GC/MS techniques[J]. Bioresource Technol, 2015,193:156-163. doi: 10.1016/j.biortech.2015.06.083

    10. [10]

      DU Y Y, JIANG X G, MA X J, LIU X D, LÜ G J, JIN Y Q, WANG F, CHI Y, YAN J H. Evaluation of cofiring bioferment residue with coal at different proportions:Combustion characteristics and kinetics[J]. Energy Fuels, 2013,27(10):6295-6303. doi: 10.1021/ef401536b

    11. [11]

      BALAT M, BALAT M, KIRTAY E, BALAT H. Main routes for the thermo-conversion of biomass into fuels and chemicals. Part 1:Pyrolysis systems[J]. Energy Convers Manage, 2009,50(12):3147-3157. doi: 10.1016/j.enconman.2009.08.014

    12. [12]

      HANSSON K M, SAMUELSSON J, TULLIN C, AMAND L E. Formation of HNCO, HCN, and NH3 from the pyrolysis of bark and nitrogen-containing model compounds[J]. Combust Flame, 2004,137(3):265-277. doi: 10.1016/j.combustflame.2004.01.005

    13. [13]

      CAO J J, SHEN Z X, CHOW J C, WATSON J G, LEE S C, TIE X X, HO K F, WANG G H, HAN Y M. Winter and summer PM2.5 chemical compositions in fourteen chinese cities[J]. J Air Waste Manage, 2012,62(10):1214-1226. doi: 10.1080/10962247.2012.701193

    14. [14]

      TIAN F J, LI B Q, CHEN Y, LI C Z. Formation of NOx precursors during the pyrolysis of coal and biomass. Part Ⅴ. Pyrolysis of a sewage sludge[J]. Fuel, 2002,81(17):2203-2208. doi: 10.1016/S0016-2361(02)00139-4

    15. [15]

      TIAN F J, YU J L, MCKENZIE L J, HAYASHI J I, CHIBA T, LI C Z. Formation of NOx precursors during the pyrolysis of coal and biomass. Part Ⅶ. Pyrolysis and gasification of cane trash with steam[J]. Fuel, 2005,84(4):371-376. doi: 10.1016/j.fuel.2004.09.018

    16. [16]

      CAO J P, LI L Y, MORISHITA K, XIAO X B, ZHAO X Y, WEI X Y, TAKARADA T. Nitrogen transformations during fast pyrolysis of sewage sludge[J]. Fuel, 2013,104:1-6. doi: 10.1016/j.fuel.2010.08.015

    17. [17]

      TIAN Y, ZHANG J, ZUO W, CHEN L, CUI Y N, TAN T. Nitrogen conversion in relation to NH3 and HCN during microwave pyrolysis of sewage sludge[J]. Environ Sci Technol, 2013,47(7):3498-3505. doi: 10.1021/es304248j

    18. [18]

      WEI L H, WEN L, YANG T H, ZHANG N. Nitrogen transformation during sewage sludge pyrolysis[J]. Energy Fuels, 2015,29(8):5088-5094. doi: 10.1021/acs.energyfuels.5b00792

    19. [19]

      CHENG J H, ZHANG W L. Technological design of antibiotic residue treatment[J]. Chem Pharm Eng, 2003,24(2):31-34.  

    20. [20]

      MA D C, ZHANG G Y, AREEPRASERT C, LI C X, SHEN Y F, YOSHIKAWA K, XU G W. Characterization of NO emission in combustion of hydrothermally treated antibiotic mycelial residue[J]. Chem Eng J, 2016,284(1):708-715.  

    21. [21]

      ZHU X D, YANG S J, WANG L, LIU Y C, QIAN F, YAO W Q, ZHANG S C, CHEN J M. Tracking the conversion of nitrogen during pyrolysis of antibiotic mycelial fermentation residues using XPS and TG-FTIR-MS technology[J]. Environ Pollut, 2016,211:20-27. doi: 10.1016/j.envpol.2015.12.032

    22. [22]

      CHEN H F, WANG Y, XU G W, YOSHIKAWA K. Fuel-N evolution during the pyrolysis of industrial biomass wastes with high nitrogen content[J]. Energies, 2012,5(12):5418-5438. doi: 10.3390/en5125418

    23. [23]

      ZHAN H, YIN X L, Huang Y Q, Zhang X H, Yuan H Y, Xie J J, Wu C Z. Characteristics of NOx precursors and their formation mechanism during pyrolysis of herb residues[J]. J Fuel Chem Technol, 2017,45(3):279-288. doi: 10.1016/S1872-5813(17)30017-8

    24. [24]

      KELEMEN S R, AFEWORKI M, GORBATY M L, KWIATEK P J, SANSONE M, WALTERS C C, COHEN A D. Thermal transformations of nitrogen and sulfur forms in peat related to coalification[J]. Energy Fuels, 2006,20(2):635-652. doi: 10.1021/ef050307p

    25. [25]

      TIAN K, LIU W J, QIAN T T, JIANG H, YU H Q. Investigation on the evolution of N-containing organic compounds during pyrolysis of sewage sludge[J]. Environ Sci Technol, 2014,48(18):10888-10896. doi: 10.1021/es5022137

    26. [26]

      LI Mei, YANG Jun-he, ZHANG Qi-feng, CHANG Hai-zhou, SUN Hui. XPS study on transformation of N-and S-functionalgroups during pyrolysis of high sulfur New Zealand coal[J]. J Fuel Chem Technol, 2013,41(11):1287-1293.  

    27. [27]

      GUO Bin, GONG Li-peng, LIU Ren-ping, REN Ai-ling, SONG Han-ling. Study on pyrolysis characteristics and kinetics of terramycin bacterial residue[J]. Acta Energi Sin, 2013,34(9):1504-1508.  

    28. [28]

      ZHAN Hao, ZHANG Xiao-hong, YIN Xiu-li, WU Chuang-zhi. Formation of nitrogenous pollutants during biomass thermo-chemical conversion[J]. Prog Chem, 2016,28(12):1880-1890. doi: 10.7536/PC160438

    29. [29]

      CHEN H F, NAMIOKA T, YOSHIKAWA K. Characteristics of tar, NOx precursors and their absorption performance with different scrubbing solvents during the pyrolysis of sewage sludge[J]. Appl Energ, 2011,88(12):5032-5041. doi: 10.1016/j.apenergy.2011.07.007

    30. [30]

      HANSSON K M, AMAND L E, HABERMANN A, WINTER F. Pyrolysis of poly-L-leucine under combustion-like conditions[J]. Fuel, 2003,82(6):653-660. doi: 10.1016/S0016-2361(02)00357-5

    31. [31]

      LIU Hai-ming, ZHANG Jun-ying, ZHENG Chu-guang, MENG Yun. Quantum chemical study of the pyrolysis stability of pyrrolic nitrogen and pyridinic nitrogen in coal[J]. J Huazhong Univ Sci Technol:Nat Sci Ed, 2004,32(11):13-15.  

    32. [32]

      XIE Z L, FENG J, ZHAO W, XIE K C, PRATT K C, LI C Z. Formation of NOx and SOx precursors during the pyrolysis of coal and biomass. Part Ⅳ. Pyrolysis of a set of Australian and Chinese coals[J]. Fuel, 2001,80(15):2131-2138. doi: 10.1016/S0016-2361(01)00103-X

  • 加载中
    1. [1]

      Wuxin BaiQianqian ZhouZhenjie LuYe SongYongsheng Fu . Co-Ni Bimetallic Zeolitic Imidazolate Frameworks Supported on Carbon Cloth as Free-Standing Electrode for Highly Efficient Oxygen Evolution. Acta Physico-Chimica Sinica, 2024, 40(3): 2305041-0. doi: 10.3866/PKU.WHXB202305041

    2. [2]

      Shijie LiKe RongXiaoqin WangChuqi ShenFang YangQinghong Zhang . Design of Carbon Quantum Dots/CdS/Ta3N5 S-scheme Heterojunction Nanofibers for Efficient Photocatalytic Antibiotic Removal. Acta Physico-Chimica Sinica, 2024, 40(12): 2403005-0. doi: 10.3866/PKU.WHXB202403005

    3. [3]

      Shengwen XULonglong YANGHouji CAODeshuang TUXing WEIChangsheng LUHong YAN . Research progress on light-induced functionalization of polyhedral carborane clusters. Chinese Journal of Inorganic Chemistry, 2025, 41(11): 2187-2200. doi: 10.11862/CJIC.20250192

    4. [4]

      Qi Zhang Ziyu Liu Hongxia Tan Jun Tong Dazhen Xu . Research Progress on Direct Synthesis of β-Hydroxy Sulfones via Difunctionalization of Olefins. University Chemistry, 2025, 40(11): 199-209. doi: 10.12461/PKU.DXHX202412064

    5. [5]

      Kexin DongChuqi ShenRuyu YanYanping LiuChunqiang ZhuangShijie Li . Integration of Plasmonic Effect and S-Scheme Heterojunction into Ag/Ag3PO4/C3N5 Photocatalyst for Boosted Photocatalytic Levofloxacin Degradation. Acta Physico-Chimica Sinica, 2024, 40(10): 2310013-0. doi: 10.3866/PKU.WHXB202310013

    6. [6]

      Deyun MaFenglan LiangQingquan XueYanping LiuChunqiang ZhuangShijie Li . Interfacial engineering of Cd0.5Zn0.5S/BiOBr S-scheme heterojunction with oxygen vacancies for effective photocatalytic antibiotic removal. Acta Physico-Chimica Sinica, 2025, 41(12): 100190-0. doi: 10.1016/j.actphy.2025.100190

    7. [7]

      Xinyu Zhu Meili Pang . Application of Functional Group Addition Strategy in Organic Synthesis. University Chemistry, 2024, 39(3): 218-230. doi: 10.3866/PKU.DXHX202308106

    8. [8]

      Wen Jiang Jieli Lin Zhongshu Li . 低配位含磷官能团的研究进展. University Chemistry, 2025, 40(8): 138-151. doi: 10.12461/PKU.DXHX202409144

    9. [9]

      Jijun Sun Qianlang Wang Qian Chen Quanqin Zhao Shumei Zhai . The Antibiotic Legion’s Manifesto to Human Allies. University Chemistry, 2025, 40(4): 307-321. doi: 10.12461/PKU.DXHX202405206

    10. [10]

      Yuanyuan Ping Wangqing Kong . 光催化碳氢键官能团化合成1-苯基-1,2-乙二醇. University Chemistry, 2025, 40(6): 238-247. doi: 10.12461/PKU.DXHX202408092

    11. [11]

      Lijun YanShiqi ChenPenglu WangXiangyu LiuLupeng HanTingting YanYuejin LiDengsong Zhang . Hydrothermally stable metal oxide-zeolite composite catalysts for low-temperature NOx reduction with improved N2 selectivity. Chinese Chemical Letters, 2024, 35(6): 109132-. doi: 10.1016/j.cclet.2023.109132

    12. [12]

      Shanyuan BiJin ZhangDengchao PengDanhong ChengJianping ZhangLupeng HanDengsong Zhang . Improved N2 selectivity for low-temperature NOx reduction over etched ZSM-5 supported MnCe oxide catalysts. Chinese Chemical Letters, 2025, 36(5): 110295-. doi: 10.1016/j.cclet.2024.110295

    13. [13]

      Danqing Wu Jiajun Liu Tianyu Li Dazhen Xu Zhiwei Miao . Research Progress on the Simultaneous Construction of C—O and C—X Bonds via 1,2-Difunctionalization of Olefins through Radical Pathways. University Chemistry, 2024, 39(11): 146-157. doi: 10.12461/PKU.DXHX202403087

    14. [14]

      Jie ZHAOHuili ZHANGXiaoqing LUZhaojie WANG . Theoretical calculations of CO2 capture and separation by functional groups modified 2D covalent organic framework. Chinese Journal of Inorganic Chemistry, 2025, 41(2): 275-283. doi: 10.11862/CJIC.20240213

    15. [15]

      Fugui XIDu LIZhourui YANHui WANGJunyu XIANGZhiyun DONG . Functionalized zirconium metal-organic frameworks for the removal of tetracycline from water. Chinese Journal of Inorganic Chemistry, 2025, 41(4): 683-694. doi: 10.11862/CJIC.20240291

    16. [16]

      Chao LiuHuan YuJiaming LiXi YuZhuangzhi YuYuxi SongFeng ZhangQinfang ZhangZhigang Zou . 具有光热效应的多级Ti3C2/Bi12O17Br2肖特基异质结简单合成及其太阳能驱动抗生素光降解的研究. Acta Physico-Chimica Sinica, 2025, 41(7): 100075-0. doi: 10.1016/j.actphy.2025.100075

    17. [17]

      Zhanhui Yang Jiaxi Xu . (m+n+…) or [m+n+…]cycloaddition?. University Chemistry, 2025, 40(3): 387-389. doi: 10.12461/PKU.DXHX202406032

    18. [18]

      Jiahong WANGZekun XUTianjiao LUJinming HUANG . Performance of N, Mn doped semi-coke activated carbon catalyzed ozone oxidation for the degradation of tetracycline hydrochloride in water. Chinese Journal of Inorganic Chemistry, 2025, 41(12): 2549-2560. doi: 10.11862/CJIC.20250120

    19. [19]

      Yuanpei ZHANGJiahong WANGJinming HUANGZhi HU . Preparation of magnetic mesoporous carbon loaded nano zero-valent iron for removal of Cr(Ⅲ) organic complexes from high-salt wastewater. Chinese Journal of Inorganic Chemistry, 2024, 40(9): 1731-1742. doi: 10.11862/CJIC.20240077

    20. [20]

      Le Ye Wei-Xiong Zhang . Structural phase transition in a new organic-inorganic hybrid post-perovskite: (N,N-dimethylpyrrolidinium)[Mn(N(CN)2)3]. Chinese Journal of Structural Chemistry, 2024, 43(6): 100257-100257. doi: 10.1016/j.cjsc.2024.100257

Metrics
  • PDF Downloads(0)
  • Abstract views(1300)
  • HTML views(131)

通讯作者: 陈斌, bchen63@163.com
  • 1. 

    沈阳化工大学材料科学与工程学院 沈阳 110142

  1. 本站搜索
  2. 百度学术搜索
  3. 万方数据库搜索
  4. CNKI搜索
Address:Zhongguancun North First Street 2,100190 Beijing, PR China Tel: +86-010-82449177-888
Powered By info@rhhz.net

/

DownLoad:  Full-Size Img  PowerPoint
Return