Citation: FU Bin-bin, ZHENG Yu-ying, CHEN Jian, ZOU Hai-qiang, ZHENG Wei-jie, CHEN Xue-hong. Preparation of the Mn-Ce-Co-Ox/PPS filter material by a redox method and its activity in the low-temperature selective catalytic reduction of NOx[J]. Journal of Fuel Chemistry and Technology, ;2017, 45(6): 731-739. shu

Preparation of the Mn-Ce-Co-Ox/PPS filter material by a redox method and its activity in the low-temperature selective catalytic reduction of NOx

  • Corresponding author: ZHENG Yu-ying, yyzheng@fzu.edu.cn
  • Received Date: 16 January 2017
    Revised Date: 14 April 2017

    Fund Project: the Science and Technology Plan of Fuzhou City 2015H0016

Figures(8)

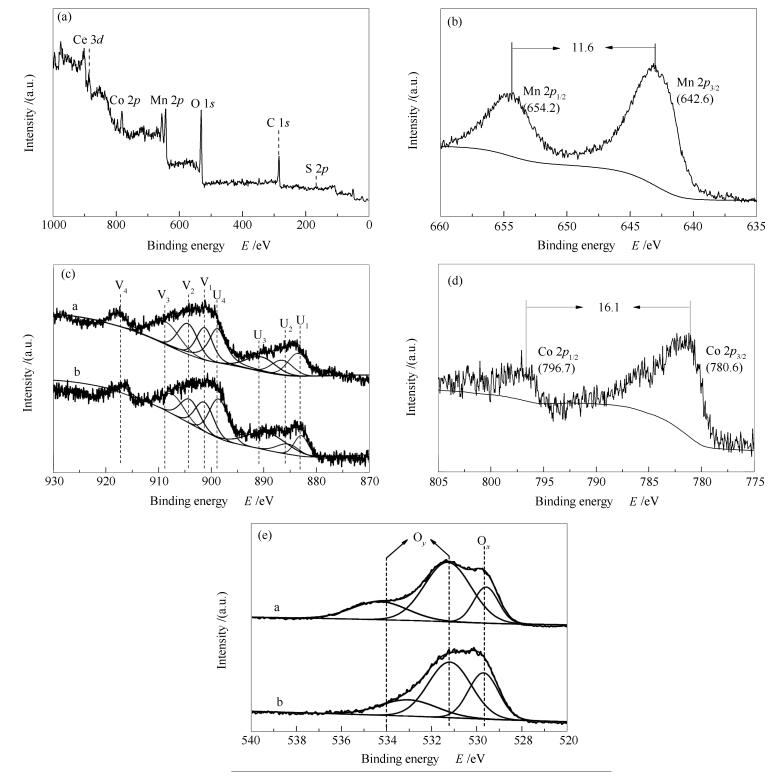
  • A series of Mn-Ce-Co-Ox/PPS composite filter materials with different mass ratios were obtained by modifying the pristine polyphenylene sulfide (PPS) filter material with sodium dodecyl sulfate (SDS) and then treated by a redox precipitation method. The Mn-Ce-Co-Ox/PPS composite filter materials were characterized by XRD, FESEM, TEM and XPS; their catalytic performance in the low-temperature selective catalytic reduction (SCR) of NOx was then investigated. The results show that the Mn-Ce-Co-Ox/PPS composite filter materials obtained by the redox method presents higher low-temperature SCR activity than the Mn-Ce-Co-Ox/PPS-UM composite filter material fabricated via the ultrasonic method; over the former material, the NOx conversion reaches 86%-100% at 120-160℃. Among them, the 1.2Mn-Ce-Co-Ox/PPS composite filter material displays the highest SCR activity, which is probably ascribed to the high Ce3+/(Ce3++Ce4+) ratio and high concentration of Co; moreover, honeycomb-like MnO2, Ce2O3, CeO2, CoO and Co3O4 are uniformly distributed on the PPS filter material in the weak crystalline structure. In comparison with Mn-Ce-Co-Ox/PPS-UM, the 1.2Mn-Ce-Co-Ox/PPS composite filter material also exhibits higher resistance to H2O and SO2.
  • 加载中
    1. [1]

      QIU Yun-shun, SHEN Yue-song, YANG Bo, SHEN Shu-bao, ZHU She-min. Mn-Ce-Ni-Ox/PPS filter material research to the influential factors of denitration at low temperature[J]. Coal Technol, 2015,34(2):316-318.  

    2. [2]

      LIU Qing, ZHENG Yu-ying, WANG Xie. Based on MnOx-CeO2/PPSN of low temperature SCR denitration[J]. J Fuel Chem Technol, 2012,40(4):452-455.  

    3. [3]

      YANG B, ZHENG D H, SHEN Y S, QIU Y S, LI B, ZENG Y W, SHEN S B, ZHU S M. Influencing factors on low-temperature deNOx, performance of Mn-La-Ce-Ni-Ox/PPS catalytic filters applied for cement kiln[J]. J Ind Eng Chem, 2015,24:148-152. doi: 10.1016/j.jiec.2014.09.022

    4. [4]

      PARK Y O, LEE K W, RHEE Y W. Removal characteristics of nitrogen oxide of high temperature catalytic filters for simultaneous removal of fine particulate and NOx[J]. J Ind Eng Chem, 2009,15(1):36-39. doi: 10.1016/j.jiec.2008.07.009

    5. [5]

      MIN K, PARK E D, KIM J M, YIE J E. Simultaneous removal of particulates and NO by the catalytic bag filter containing MnOx catalysts[J]. Korean J Chem Eng, 2009,26(1):86-89. doi: 10.1007/s11814-009-0014-0

    6. [6]

      XIE G, LIU Z, ZHU Z, LIU Q, GE J, HUANG Z. Simultaneous removal of SO2 and NOx from flue gas using a CuO/Al2O3 catalyst sorbent[J]. J Catal, 2004,224(1):42-49. doi: 10.1016/j.jcat.2004.02.016

    7. [7]

      KIJLSTRA W S, BIERVLIET M, POELS E K, BLIEK A. Deactivation by SO2, of MnOx/Al2O3, catalysts used for the selective catalytic reduction of NO with NH3, at low temperatures[J]. Appl Catal B:Environ, 1998,16(4):327-337. doi: 10.1016/S0926-3373(97)00089-1

    8. [8]

      ZHANG Xian-long, PENG Zhen, LIU Peng, WU Xue-ping, GUO Ya-qing, Lü Shuang-shuang. Based on the PPS of manganese base catalysis denitration-dust removal work Can integration preparation of filter material and its low temperature SCR denitration[J]. J Funct Mater, 2015(S2):160-164.  

    9. [9]

      TAN Z, ABE H, NAITO M, OHARA S. Arrangement of palladium nanoparticles templated by supramolecular self-assembly of SDS wrapped on single-walled carbon nanotubes[J]. Chem Commun, 2010,46(46):4363-4365.  

    10. [10]

      ZHANG Y B, ZHENG Y Y, ZOU H Q, ZHANG X. One-step synthesis of ternary MnO2-Fe2O3-CeO2-Ce2O3/CNT catalysts for use in low-temperature NO reduction with NH3[J]. Catal Commun, 2015,71:46-50. doi: 10.1016/j.catcom.2015.08.011

    11. [11]

      CHEN Jian, ZHENG Yu-ying, ZHANG Yan-bing, ZOU Hai-qiang, LU Xiu-lian. Oxidation reduction precipitation MnO2/MWCNTs catalyst preparation and the low temperature SCR activity[J]. J Inorg Mater, 2016,31(12):1347-1354.  

    12. [12]

      HE M, ZHENG Y, DU Q. Three-dimensional polypyrrole/MnO2, composite networks deposited on graphite felt as free-standing electrode for supercapacitors[J]. Mater Lett, 2013,104(3):48-52.  

    13. [13]

      KAPTEIJN F, SINGOREDJO L, ANDREINI A, MOULIJN J A. Activity and selectivity of pure manganese oxides in the selective catalytic reduction of nitric oxide with ammonia[J]. ChemInform, 1994,3(23):173-189.  

    14. [14]

      WU Z, JIN R, LIU Y, WANG H. Ceria modified MnOx/TiO2, as a superior catalyst for NO reduction with NH3, at low-temperature[J]. Catal Commun, 2008,9(13):2217-2220. doi: 10.1016/j.catcom.2008.05.001

    15. [15]

      GUAN B, LIN H, ZHU L, HUANG Z. Selective catalytic reduction of NOx with NH3 over Mn, Ce substitution Ti00.9V0.1O2-δ nanocomposites catalysts prepared by self-propagating high-temperature synthesis method[J]. J Phys Chem C, 2011,115(26):12850-12863. doi: 10.1021/jp112283g

    16. [16]

      LI Bing-zhi, ZHU Liang, XU Xiang-yang, LIN Kuang-fei. MnOx-CoOx/diatomite catalyst preparation, characterization and catalytic activity[J]. J Chem Eng Chin Univ, 2011,25(3):475-481.  

    17. [17]

      FENG Yun-sang, LIU Shao-guang, CHEN Cheng-wu, WU Jin-ming, XU Yu-song. The influence of Co-Ce oxide to MnOx/TiO2 low temperature SCR denitration reminders agent[J]. J Mater Heat Treat, 2014,35(6):26-33.  

    18. [18]

      YU Guo-feng, WEI Yan-fei, JIN Rui-ben, ZHU Hong, GU Zhen-yu, PAN Li-li. Mn-Ce-Co/TiO2 low-temperature denitration catalyst activity research[J]. J Environ Sci-China, 2012,32(7):1743-1749.  

    19. [19]

      LIU F, HE H, DING Y, ZHANG C. Effect of manganese substitution on the structure and activity of iron titanate catalyst for the selective catalytic reduction of NO with NH3[J]. Appl Catal B:Environ, 2009,93(1):3760-3769.  

    20. [20]

      SHEN Bo-xiong, LIU Ting. Low temperature NH3-SCR catalysts MnOx-CeOx/ACF poisoning mechanism of SO2[J]. J Phys Chem, 2010,26(11):78-85.  

    21. [21]

      YU Guo-feng, GU Yue-ping, JIN Rui-ben. Mn/TiO2and Mn-Ce/TiO2 low temperature sulfur resistance of denitration catalyst research[J]. J Environ Sci-China, 2013,33(8):2149-2157.  

    22. [22]

      YU Guo-feng, JIN Rui-ben, GU Yue-ping. Mn-Ce/TiO2 system denitration catalyst at low temperature sulfur resistance study[J]. J Huzhou Univ, 2013(S1):1-7.  

  • 加载中
    1. [1]

      Ning CHENJingle CHENHongyuan ZHUHuali CHENLiguang WUTing WANG . Mechanism and performance regulation of Co/Zr-doped mesoporous TiO2 catalysts in activating sodium persulfate for tetracycline degradation. Chinese Journal of Inorganic Chemistry, 2026, 42(3): 507-518. doi: 10.11862/CJIC.20250275

    2. [2]

      Jingkun YuXue YongAng CaoSiyu Lu . Bi-Layer Single Atom Catalysts Boosted Nitrate-to-Ammonia Electroreduction with High Activity and Selectivity. Acta Physico-Chimica Sinica, 2024, 40(6): 2307015-0. doi: 10.3866/PKU.WHXB202307015

    3. [3]

      Feifei YangWei ZhouChaoran YangTianyu ZhangYanqiang Huang . Enhanced Methanol Selectivity in CO2 Hydrogenation by Decoration of K on MoS2 Catalyst. Acta Physico-Chimica Sinica, 2024, 40(7): 2308017-0. doi: 10.3866/PKU.WHXB202308017

    4. [4]

      Peng YUELiyao SHIJinglei CUIHuirong ZHANGYanxia GUO . Effects of Ce and Mn promoters on the selective oxidation of ammonia over V2O5/TiO2 catalyst. Chinese Journal of Inorganic Chemistry, 2025, 41(2): 293-307. doi: 10.11862/CJIC.20240210

    5. [5]

      Qi WangYuqing LiuJiefei WangYuan-Yuan MaJing DuZhan-Gang Han . Catalysts for electrocatalytic dechlorination of chlorinated aromatic hydrocarbons: synthetic strategies, applications, and challenges. Acta Physico-Chimica Sinica, 2025, 41(10): 100120-0. doi: 10.1016/j.actphy.2025.100120

    6. [6]

      Shihui Shi Haoyu Li Shaojie Han Yifan Yao Siqi Liu . Regioselectively Synthesis of Halogenated Arenes via Self-Assembly and Synergistic Catalysis Strategy. University Chemistry, 2024, 39(5): 336-344. doi: 10.3866/PKU.DXHX202312002

    7. [7]

      Haiqiang Lin Weizheng Weng Jingdong Lin Mingshu Chen Xueming Fang Lefu Yang . Diverse Variables-Driven Catalytic Optimization: Experimental Enhancement and Instructional Design for Selective Methane Oxidation on Supported Nickel-based Catalysts. University Chemistry, 2025, 40(11): 327-336. doi: 10.12461/PKU.DXHX202505106

    8. [8]

      Yu WangHaiyang ShiZihan ChenFeng ChenPing WangXuefei Wang . 具有富电子Ptδ壳层的空心AgPt@Pt核壳催化剂:提升光催化H2O2生成选择性与活性. Acta Physico-Chimica Sinica, 2025, 41(7): 100081-0. doi: 10.1016/j.actphy.2025.100081

    9. [9]

      CCS Chemistry | 超分子活化底物自由基促进高效选择性光催化氧化

      . CCS Chemistry, 2025, 7(10.31635/ccschem.025.202405229): -.

    10. [10]

      Xinyu XuJiale LuBo SuJiayi ChenXiong ChenSibo Wang . Steering charge dynamics and surface reactivity for photocatalytic selective methane oxidation to ethane over Au/Ti-CeO2. Acta Physico-Chimica Sinica, 2025, 41(11): 100153-0. doi: 10.1016/j.actphy.2025.100153

    11. [11]

      Dingwen CHENSiheng YANGHaiyan FUHua CHENXueli ZHENGWeichao XUEJiaqi XURuixiang LI . NiOOH-mediated synthesis of gold nanoaggregates for electrocatalytic performance for selective oxidation of glycerol to glycolate. Chinese Journal of Inorganic Chemistry, 2025, 41(11): 2317-2326. doi: 10.11862/CJIC.20250053

    12. [12]

      Ze LuoYukun ZhuYadan LuoGuangmin RenYonghong WangHua Tang . Photocatalytic selective oxidation of 5-hydroxymethylfurfural coupled with H2 evolution over In2O3/ZnIn2S4 S-scheme heterojunction. Acta Physico-Chimica Sinica, 2026, 42(3): 100166-0. doi: 10.1016/j.actphy.2025.100166

    13. [13]

      Zhen LiSujuan ZhangZhongliao WangJinfeng ZhangGaoli ChenShifu Chen . Rational design of S-scheme CdS/MnO2 heterojunctions for high-value photothermal synergistic catalytic oxidation of toluene. Acta Physico-Chimica Sinica, 2026, 42(4): 100179-0. doi: 10.1016/j.actphy.2025.100179

    14. [14]

      Qingqing SHENXiangbowen DUKaicheng QIANZhikang JINZheng FANGTong WEIRenhong LI . Self-supporting Cu/α-FeOOH/foam nickel composite catalyst for efficient hydrogen production by coupling methanol oxidation and water electrolysis. Chinese Journal of Inorganic Chemistry, 2024, 40(10): 1953-1964. doi: 10.11862/CJIC.20240028

    15. [15]

      Tao WangQin DongCunpu LiZidong Wei . Sulfur Cathode Electrocatalysis in Lithium-Sulfur Batteries: A Comprehensive Understanding. Acta Physico-Chimica Sinica, 2024, 40(2): 2303061-0. doi: 10.3866/PKU.WHXB202303061

    16. [16]

      Ruolin CHENGHaoran WANGJing RENYingying MAHuagen LIANG . Efficient photocatalytic CO2 cycloaddition over W18O49/NH2-UiO-66 composite catalyst. Chinese Journal of Inorganic Chemistry, 2024, 40(3): 523-532. doi: 10.11862/CJIC.20230349

    17. [17]

      Lijun Yue Siya Liu Peng Liu . 不同晶相纳米MnO2的制备及其对生物乙醇选择性氧化催化性能的测试——一个科研转化的综合化学实验. University Chemistry, 2025, 40(8): 225-232. doi: 10.12461/PKU.DXHX202410005

    18. [18]

      Fangxuan LiuZiyan LiuGuowei ZhouTingting GaoWenyu LiuBin Sun . 中空结构光催化剂. Acta Physico-Chimica Sinica, 2025, 41(7): 100071-0. doi: 10.1016/j.actphy.2025.100071

    19. [19]

      Kun WANGWenrui LIUPeng JIANGYuhang SONGLihua CHENZhao DENG . Hierarchical hollow structured BiOBr-Pt catalysts for photocatalytic CO2 reduction. Chinese Journal of Inorganic Chemistry, 2024, 40(7): 1270-1278. doi: 10.11862/CJIC.20240037

    20. [20]

      Xueting FengZiang ShangRong QinYunhu Han . Advances in Single-Atom Catalysts for Electrocatalytic CO2 Reduction. Acta Physico-Chimica Sinica, 2024, 40(4): 2305005-0. doi: 10.3866/PKU.WHXB202305005

Metrics
  • PDF Downloads(0)
  • Abstract views(1817)
  • HTML views(440)

通讯作者: 陈斌, bchen63@163.com
  • 1. 

    沈阳化工大学材料科学与工程学院 沈阳 110142

  1. 本站搜索
  2. 百度学术搜索
  3. 万方数据库搜索
  4. CNKI搜索
Address:Zhongguancun North First Street 2,100190 Beijing, PR China Tel: +86-010-82449177-888
Powered By info@rhhz.net

/

DownLoad:  Full-Size Img  PowerPoint
Return