Citation: JI Jie, LI Hui, WANG Jia-ni, SUO Zhi, XU Ying. Effect of compatibilizer on low-temperature performances of modified asphalts from direct coal liquefaction residue[J]. Journal of Fuel Chemistry and Technology, ;2019, 47(8): 925-933. shu

Effect of compatibilizer on low-temperature performances of modified asphalts from direct coal liquefaction residue

  • Corresponding author: JI Jie, jijie@bucea.edu.cn
  • Received Date: 8 April 2019
    Revised Date: 5 June 2019

    Fund Project: The project was supported by the National Natural Science Foundation of China(51778038), Beijing Natural Science Foundation Committee-Beijing Municipal Education Commission(KZ201910016017), Yangtse Rive Scholar and Innovation Team Development Plan(IRT-17R06), Fundamental Research Business Expenses of Municipal Universities-ZC Major Key Scientific Research Support Projects-ZC05 Scientific Research and Innovation Team Building Plan(X18259)Fundamental Research Business Expenses of Municipal Universities-ZC Major Key Scientific Research Support Projects-ZC05 Scientific Research and Innovation Team Building Plan X18259Yangtse Rive Scholar and Innovation Team Development Plan IRT-17R06Beijing Natural Science Foundation Committee-Beijing Municipal Education Commission KZ201910016017the National Natural Science Foundation of China 51778038

Figures(9)

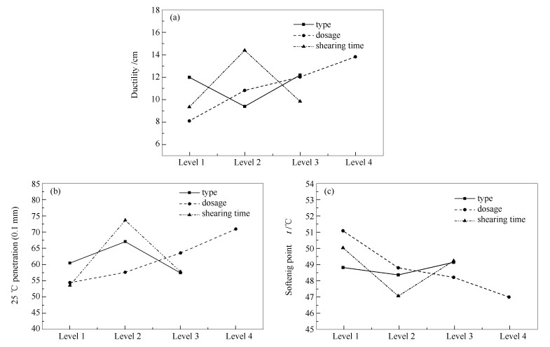
  • In order to evaluate influence of different compatibilizers on low-temperature performances of direct coal liquefaction residue modified asphalts (DCLR modified asphalt), 3 compatibilizers including silane coupling agent, benzaldehyde and xylene were used. At first, the optimum dosage and mixing mode of the compatibilizers were determined by orthogonal test. Secondly, resistance to low-temperature cracking of the asphalt after adding compatibilizer was evaluated using the Double-Edge-Notched Tension (DENT) test. Finally, dispersion state of DCLR in asphalt were analyzed by scanning electron microscopy and software of Image Pro Plus diagram to quantitatively analyze low-temperature performances of the asphalts after adding compatibilizer. The test results show that addition of compatibilizer is helpful to improve dispersion of DCLR in asphalt and compatibility between them. Thus, the long-term stability of DCLR modified asphalt after adding compatibilizer can be maintained and its low-temperature performances are enhanced. Additionally, the 3 compatibilizers have different effects on low-temperature performances of the DCLR modified asphalt, silane coupling agent is the best, followed by benzaldehyde and xylene.
  • 加载中
    1. [1]

      ELLIOT M A. Chemistry of Coal Utilization (Second Supplementary Volume)[M]. New York:John Wiley and Sons, Inc, 1981.

    2. [2]

      ZHENG L Z, WANG X H, ZHANG T S, ZHENG C H. Research progress in utilizations of coal liquefaction residues[C]//IEEE. 2011 International Conference on Materials for Renewable Energy and Environment. New York: IEEE. 2011: 1627-1630.

    3. [3]

      PATEL P. China and south africa pursue coal liquefaction[J]. MRS Bulletin, 2012,37(3):204-205. doi: 10.1557/mrs.2012.64

    4. [4]

      CN: 201010614927. (LAI Shi-liu, CHEN Xue-lian, SHENG Ying. An ionic liquid extractant used to separate asphaltenes, asphaltenes and heavy oils from direct coal liquefaction residue[P]. CN: 201010614927.

    5. [5]

      ADACHI Y, NAKAMIZ M. Chemical structure of pyridine soluble matter of coal liquefaction residue[J]. J Japan Inst Energy, 1993,72(10):930-934. doi: 10.3775/jie.72.930

    6. [6]

      SUGANO M, IKEMIZU R, MASHIMO K. Effects of the oxidation pretreatment with hydrogen peroxide on the hydrogenolysis reactivity of the coal liquefaction residue[J]. Fuel Process Technol, 2002,77/78(1):67-73.  

    7. [7]

      RATHBONE R F, HOWER J C, DERBYSHIRE F J. The application of fluorescence microscopy to coal-derived characterization[J]. Fuel, 1993,72(8):1177-1185. doi: 10.1016/0016-2361(93)90328-Y

    8. [8]

      WANG Zhai-xia, YANG Jian-li, LIU Zhen-yu. Preliminary evaluation of direct coal liquefaction residue modification effect on road asphalt[J]. J Fuel Chem Technol, 2007,35(1):109-112. doi: 10.3969/j.issn.0253-2409.2007.01.021 

    9. [9]

      JI J, ZHAO Y S, XU S F. Study on properties of the Blends with Direct Coal Liquefaction Residue and Asphalt[C]//Materials Science, Civil Engineering and Architecture Science, Mechanical Engineering and Manufacturing Technology, ICAEMAS 2014. Xi'an, China, 2014. USA: Trans Tech Publication Inc, 2014: 316-321.

    10. [10]

      JI Jie, SHI Yue-feng, SUO Zhi, XU Shi-fa, YANG Song, LI Peng-fei. Comparison on properties of modified asphalt blended with DCLR and TLA[J]. J Fuel Chem Technol, 2015,43(9):1061-1067. doi: 10.3969/j.issn.0253-2409.2015.09.006 

    11. [11]

      JI J, YAO H, YANG X, XU Y, SUO Z, YOU Z P. Performance analysis of direct coal liquefaction residue (DCLR) and Trinidad lake asphalt (TLA) for the purpose of modifying tradition alasphalt[J]. Arabian J Sci Engineer, 2016,41(10):3983-3993. doi: 10.1007/s13369-016-2034-5

    12. [12]

      HE Liang. Research on preparation and properties of direct coal liquefaction residue modified asphalt[D]. Xi'an: Chang'an University, 2013.

    13. [13]

      SU Man-man, ZHANG Hong-liang, ZHANG Yong-ping, ZHANG Zeng-ping. Miscibility and mechniclanical properties of SBS and asphalt blends based on molecular dynamics simulation[J]. J Chang'an Univ (Nat Sci Ed), 2017,37(3):24-32. doi: 10.3969/j.issn.1671-8879.2017.03.004

    14. [14]

      LIU Ke-fei, DENG Lin-fei, ZHENG Jia-yu, JIANG Kang. Compatibility evaluation of waste tire rubber power modified asphalt binder[J]. New Build Mater, 2017,44(5):13-16. doi: 10.3969/j.issn.1001-702X.2017.05.004

    15. [15]

      LI Kuan, PAN Yong-qiang, ZHANG Hui, CHEN Li-feng, ZHANG Jian. Research progress of compatibility of epoxy asphalt for steel deck pvement[J]. Mater Rev, 2018,32(9):1534-1540.  

    16. [16]

      CHEN Jing, SUN Ming, DAI Xiao-min, YAO Yi, LIU Yuan-yuan, HE Min, LÜ Bo, ZHAO Xiang-long, MA Xiao-xun. Asphalt modification with direct coal liquefaction residue based on benzaldehyde crosslinking agent[J]. J Fuel Chem Technol, 2015,43(9):1052-1060. doi: 10.3969/j.issn.0253-2409.2015.09.005 

    17. [17]

      CHAO Wei-dong, LIU Shu-tang. Effect of silane coupling agent on properties of asphalt-rubber(AR)binders[J]. J Build Mater, 2009,12(4):497-500. doi: 10.3969/j.issn.1007-9629.2009.04.026

    18. [18]

      SU Da-gen, ZHANG Jing-feng, HE Juan. Study on the function of emulsified asphalt modified by silance coupling[J]. Guangzhou Chem Ind, 2006(3):32-34. doi: 10.3969/j.issn.1001-9677.2006.03.014

    19. [19]

      FAN Yun-zhu. Exploratory study on properties and application of coal direct liquefaction residue[D]. Shanghai: East China University of Science and Technology, 2011.

    20. [20]

      CHEN Song, PEI Xiao-guang, LIU Rong-bo. Evaluation method of low temperature performance of SBS modified asphalt[J]. Shandong Chem Ind, 2018,47(9):49-50+52. doi: 10.3969/j.issn.1008-021X.2018.09.020

    21. [21]

      COTTERELL B, REDDEL J K. The essential work of plane stress ductile fracture[J]. Inter J Fract, 1977,13(3):267-277.  

    22. [22]

      ANDRIESCU A, HESP S, YOUTCHEFF J S. Essential and Plastic Works of Ductile Fracture in Asphalt Binders[M]. 2004.

    23. [23]

      ZHOU F, MOGAWER W, LI H, ANDRIESCU A, COPELAND A. Evaluation of fatigue tests for characterizing asphalt binders[J]. J Mater Civ Eng, 2013,25(5):610-617. doi: 10.1061/(ASCE)MT.1943-5533.0000625

    24. [24]

      TABATABAEE H, CLOPOTEL C, ARSHADI A. Critical problems with using the asphalt ductility test as a performance index for modified binders[J]. Transportation Research Record:Journal of the Transportation Research Board, 2013(2370):84-91.  

    25. [25]

      PALIUKAITE M, ASSURAS M, SILVA S C, DING H, GOTAME Y, NIE Y, UBAID I, HESP S A M. Implementation of the double-edge-notched tension test for asphalt cement acceptance[J]. Trans Dev Eco, 2017,3(1)6. doi: 10.1007/s40890-017-0034-0

    26. [26]

      PALIUKAITE M, ASSURAS M, HESP S A M. Effect of recycled engine oil bottoms on the ductile failure properties ofstraight and polymer-modified asphalt cements[J]. Constr Build Mater, 2016,126:190-196. doi: 10.1016/j.conbuildmat.2016.08.156

    27. [27]

      SINGH D, GIRIMATH S. Influence of RAP sources and proportions on fracture and low temperature cracking performance of polymer modified binder[J]. Constr Build Mater, 2016,120:10-18. doi: 10.1016/j.conbuildmat.2016.05.094

    28. [28]

      AASHTO TP 113-15, Standard Method of Test for Determination of Asphalt Binder Resistance to Ductile Failure Using Double-Edge-Notched Tension (DENT) Test[S]. Washington, 2015.

  • 加载中
    1. [1]

      Jiahe LIUGan TANGKai CHENMingda ZHANG . Effect of low-temperature electrolyte additives on low-temperature performance of lithium cobaltate batteries. Chinese Journal of Inorganic Chemistry, 2025, 41(4): 719-728. doi: 10.11862/CJIC.20250023

    2. [2]

      Yanan Liu Yufei He Dianqing Li . Preparation of Highly Dispersed LDHs-based Catalysts and Testing of Nitro Compound Reduction Performance: A Comprehensive Chemical Experiment for Research Transformation. University Chemistry, 2024, 39(8): 306-313. doi: 10.3866/PKU.DXHX202401081

    3. [3]

      Zhiwen HUWeixia DONGQifu BAOPing LI . Low-temperature synthesis of tetragonal BaTiO3 for piezocatalysis. Chinese Journal of Inorganic Chemistry, 2024, 40(5): 857-866. doi: 10.11862/CJIC.20230462

    4. [4]

      Yanzhe WANGXiaoming GUOQiangsheng GUOLiang LIBin LUPeihang YE . Effect of Ce introduction on the low-temperature performance of NiAl catalyst for CO2 methanation. Chinese Journal of Inorganic Chemistry, 2025, 41(11): 2218-2228. doi: 10.11862/CJIC.20250202

    5. [5]

      Jiapei Zou Junyang Zhang Xuming Wu Cong Wei Simin Fang Yuxi Wang . A Comprehensive Experiment Based on Electrocatalytic Nitrate Reduction into Ammonia: Synthesis, Characterization, Performance Exploration, and Applicable Design of Copper-based Catalysts. University Chemistry, 2024, 39(6): 373-382. doi: 10.3866/PKU.DXHX202312081

    6. [6]

      Qianqian Zhong Yucui Hao Guotao Yu Lijuan Zhao Jingfu Wang Jian Liu Xiaohua Ren . Comprehensive Experimental Design for the Preparation of the Magnetic Adsorbent Based on Enteromorpha Prolifera and Its Utilization in the Purification of Heavy Metal Ions Wastewater. University Chemistry, 2024, 39(8): 184-190. doi: 10.3866/PKU.DXHX202312013

    7. [7]

      Zhaomei LIUWenshi ZHONGJiaxin LIGengshen HU . Preparation of nitrogen-doped porous carbons with ultra-high surface areas for high-performance supercapacitors. Chinese Journal of Inorganic Chemistry, 2024, 40(4): 677-685. doi: 10.11862/CJIC.20230404

    8. [8]

      Yuting ZHANGZunyi LIUNing LIDongqiang ZHANGShiling ZHAOYu ZHAO . Nickel vanadate anode material with high specific surface area through improved co-precipitation method: Preparation and electrochemical properties. Chinese Journal of Inorganic Chemistry, 2024, 40(11): 2163-2174. doi: 10.11862/CJIC.20240204

    9. [9]

      Yuanyuan JIANGFangfang TUYuhong ZHANGShi CHENJiayuan XIANGXinhui XIA . Preparation and electrochemical properties of high-stability cathode prelithiation additive. Chinese Journal of Inorganic Chemistry, 2025, 41(6): 1101-1111. doi: 10.11862/CJIC.20240441

    10. [10]

      Huiwei DingBo PengZhihao WangQiaofeng Han . Advances in Metal or Nonmetal Modification of Bismuth-Based Photocatalysts. Acta Physico-Chimica Sinica, 2024, 40(4): 2305048-0. doi: 10.3866/PKU.WHXB202305048

    11. [11]

      Wenhui LiYakun TangYusheng ZhouYue ZhangWenhai ZhangQingtao MaLang LiuSen DongYuliang Cao . Enhanced sodium storage performance of asphalt-derived hard carbon through intramolecular oxidation for high-performance sodium-ion batteries. Acta Physico-Chimica Sinica, 2025, 41(10): 100119-0. doi: 10.1016/j.actphy.2025.100119

    12. [12]

      Wen YANGDidi WANGZiyi HUANGYaping ZHOUYanyan FENG . La promoted hydrotalcite derived Ni-based catalysts: In situ preparation and CO2 methanation performance. Chinese Journal of Inorganic Chemistry, 2024, 40(3): 561-570. doi: 10.11862/CJIC.20230276

    13. [13]

      Juan WANGZhongqiu WANGQin SHANGGuohong WANGJinmao LI . NiS and Pt as dual co-catalysts for the enhanced photocatalytic H2 production activity of BaTiO3 nanofibers. Chinese Journal of Inorganic Chemistry, 2024, 40(9): 1719-1730. doi: 10.11862/CJIC.20240102

    14. [14]

      Yang WANGXiaoqin ZHENGYang LIUKai ZHANGJiahui KOULinbing SUN . Mn single-atom catalysts based on confined space: Fabrication and the electrocatalytic oxygen evolution reaction performance. Chinese Journal of Inorganic Chemistry, 2024, 40(11): 2175-2185. doi: 10.11862/CJIC.20240165

    15. [15]

      Xichen YAOShuxian WANGYun WANGCheng WANGChuang ZHANG . Oxygen reduction performance of self?supported Fe/N/C three-dimensional aerogel catalyst layers. Chinese Journal of Inorganic Chemistry, 2025, 41(7): 1387-1396. doi: 10.11862/CJIC.20240384

    16. [16]

      Hailang JIAPengcheng JIHongcheng LI . Preparation and performance of nickel doped ruthenium dioxide electrocatalyst for oxygen evolution. Chinese Journal of Inorganic Chemistry, 2025, 41(8): 1632-1640. doi: 10.11862/CJIC.20240398

    17. [17]

      Hailang JIAYujie LUPengcheng JI . Preparation and properties of nitrogen and phosphorus co-doped graphene carbon aerogel supported ruthenium electrocatalyst for hydrogen evolution reaction. Chinese Journal of Inorganic Chemistry, 2025, 41(11): 2327-2336. doi: 10.11862/CJIC.20250021

    18. [18]

      Qin′ai FENGJianjun LILili ZHANGLinxin WUHuiling WANGWenjing HOULei WANGMingjie REN . Amphiphilic surface modification of magnetic adsorbents and its adsorption properties of two microplastics. Chinese Journal of Inorganic Chemistry, 2026, 42(4): 789-807. doi: 10.11862/CJIC.20250208

    19. [19]

      Yuping Wei Yiting Wang Jialiang Jiang Jinxuan Deng Hong Zhang Xiaofei Ma Junjie Li . Interdisciplinary Teaching Practice——Flexible Wearable Electronic Skin for Low-Temperature Environments. University Chemistry, 2024, 39(10): 261-270. doi: 10.12461/PKU.DXHX202404007

    20. [20]

      Xiaosong PUHangkai WUTaohong LIHuijuan LIShouqing LIUYuanbo HUANGXuemei LI . Adsorption performance and removal mechanism of Cd(Ⅱ) in water by magnesium modified carbon foam. Chinese Journal of Inorganic Chemistry, 2024, 40(8): 1537-1548. doi: 10.11862/CJIC.20240030

Metrics
  • PDF Downloads(7)
  • Abstract views(1125)
  • HTML views(88)

通讯作者: 陈斌, bchen63@163.com
  • 1. 

    沈阳化工大学材料科学与工程学院 沈阳 110142

  1. 本站搜索
  2. 百度学术搜索
  3. 万方数据库搜索
  4. CNKI搜索
Address:Zhongguancun North First Street 2,100190 Beijing, PR China Tel: +86-010-82449177-888
Powered By info@rhhz.net

/

DownLoad:  Full-Size Img  PowerPoint
Return