Citation: Liu Lang, Feng Jundong, Sheng Yingzhong, Wang Jing, Qiu Liang. Preparations, Characterizations and Antibacterial Activities of High-Valence Silver Complexes[J]. Chemistry, ;2017, 80(4): 378-384. shu

Preparations, Characterizations and Antibacterial Activities of High-Valence Silver Complexes

  • Corresponding author: Feng Jundong, jundongfeng@nuaa.edu.cn
  • Received Date: 16 July 2016
    Accepted Date: 16 November 2016

Figures(8)

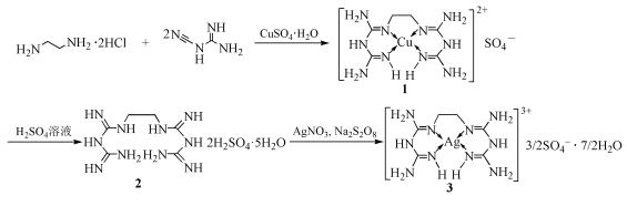
  • Three fairly stable high-valence silver complexes [AgEn(BigH)2]2(SO4)3·7H2O (3), [Ag(Py)2(N2)2](OH)2 (4) and [Ag(2-Apy)3(OH)](HSO4)·H2O (5) have been synthesized with ethylenebisbiguanide, pyridine and pyridine derivative as ligands. The products were characterized by IR, elemental analysis and X-ray photoelectron spectroscopy. The growth-inhibitory curves and the minimal inhibitory concentration (MIC) were applied to evaluate the antibacterial ability of complexes, and the photostability of complexes was detected. The results showed that all the complexes begin to inhabit the growth of test bacteria at very low concentration of 0.5 μg/mL, and the MIC values for E.coli are 10, 5, and 5 μg/mL respectively, the MIC values for S.aureus are 40, 20, and 20 μg/mL respectively, indicating the synthesized high-valence silver complexes possess an excellent antibacterial activity. Besides, all the complexes have better antibacterial activity to E.coli than S.aureus.
  • 加载中
    1. [1]

      X Wang, G Herting, I O Wallinder et al. Langmuir, 2014, 30(46): 13877~13889.

    2. [2]

      C Marambio-Jones, E M V Hoek. J. Nanopart. Res., 2010, 12(5): 1531~1551.

    3. [3]

      K Sugiura. USP:8231883, 2012-7-31.

    4. [4]

      C A Bignozzi, V Dissette, G D Lallo et al. WO/2015/044707, 2015-2-4.

    5. [5]

      S Pal, E J Yoon, Y K Tak et al. J. Am. Chem. Soc., 2009, 131(44): 16147~16155. 

    6. [6]

      A Melaiye, W J Youngs. Expert Opin. Ther. Pat., 2005, 15(2): 125~130. 

    7. [7]

      M S Antelman. USP: 6, 436, 420, 2002-8-20.

    8. [8]

      H N Po. Coordin. Chem. Rev., 1976, 20(2): 171~195.

    9. [9]

      W Levason, M D Spicer. Coordin. Chem. Rev., 1987, 76: 45~120. 

    10. [10]

      M A Eltayeb, Y Sulfab. Polyhedron, 2007, 26(1): 39~42. 

    11. [11]

      L J Kirschenbaum, J D Rush. J. Am. Chem. Soc., 1984, 106(4): 1003~1010. 

    12. [12]

      E K Barefield, M T Mocella. Inorg. Chem., 1973, 12(12): 2829~2832.

    13. [13]

      M Stefanelli, J Shen, W Zhu et al. Inorg. Chem., 2009, 48(14): 6879~6887. 

    14. [14]

      J A El-Beck, T D Lash. Org. Lett., 2006, 8(23): 5263~5266. 

    15. [15]

      G V Gyulkhandanyan, M H Paronyan, A S Hovsepyan et al. 12th World Congress of the International Photodynamic Association. International Society for Optics and Photonics, 2009: 73803I~73803I-7. 

    16. [16]

      M S Antelman. USP: 5, 223, 149, 1993-6-29.

    17. [17]

      M E Olson, N Allan, A M Omar et al. US:13/515, 633, 2010-12-14. 

    18. [18]

      P Rȃy, W C Fernelius, S N Holter. Inorg. Synth., 1960, 6: 74~79.

    19. [19]

      C Brückner, C A Barta, R P Brinas et al. Inorg. Chem., 2003, 42(5): 1673~1680. 

    20. [20]

      D A Zatko, J W Prather. J. Electron. Spectrosc. Relat. Phenom., 1973, 2(2): 191~197. 

    21. [21]

      D Karweik, N Winograd, D G Davis et al. J. Am. Chem. Soc., 1974, 96(2): 591~592. 

    22. [22]

      T Ibusuki, Y Saito. Inorg. Chim. Acta, 1976, 19: 87~90.

    23. [23]

      S Y Liau, D C Read, W J Pugh et al. Lett. Appl. Microbial., 1997, 25(4): 279~283. 

    24. [24]

      C Marambio-Jones, E M V Hoek. J. Nanopart. Res., 2010, 12(5): 1531~1551.

    25. [25]

      M S Antelman. USP: 5, 336, 499, 1994-8-9.

    26. [26]

      H J Fan, S T Huang, W H Chung et al. J. Hazard. Mater., 2009, 171(1): 1032~1044. 

  • 加载中
    1. [1]

      Changqing MIAOFengjiao CHENWenyu LIShujie WEIYuqing YAOKeyi WANGNi WANGXiaoyan XINMing FANG . Crystal structures, DNA action, and antibacterial activities of three tetranuclear lanthanide-based complexes. Chinese Journal of Inorganic Chemistry, 2024, 40(12): 2455-2465. doi: 10.11862/CJIC.20240192

    2. [2]

      Xiaotong LUPan ZHANGZijie ZHAOLei HUANGHongwei ZUOLili LIANG . Antitumor and antibacterial activities of pyridyl Schiff base indium and dysprosium complexes. Chinese Journal of Inorganic Chemistry, 2025, 41(8): 1523-1532. doi: 10.11862/CJIC.20250073

    3. [3]

      Xinting XIONGZhiqiang XIONGPanlei XIAOXuliang NIEXiuying SONGXiuguang YI . Synthesis, crystal structures, Hirshfeld surface analysis, and antifungal activity of two complexes Na(Ⅰ)/Cd(Ⅱ) assembled by 5-bromo-2-hydroxybenzoic acid ligands. Chinese Journal of Inorganic Chemistry, 2024, 40(9): 1661-1670. doi: 10.11862/CJIC.20240145

    4. [4]

      Xuyu WANGXinran XIEDengke CAO . Photoreaction characteristics and luminescence modulation in phosphine-anthracene-based Au(Ⅰ) and Ir(Ⅲ) complexes. Chinese Journal of Inorganic Chemistry, 2025, 41(8): 1513-1522. doi: 10.11862/CJIC.20250113

    5. [5]

      Zuozhong Liang Lingling Wei Yiwen Cao Yunhan Wei Haimei Shi Haoquan Zheng Shengli Gao . Exploring the Development of Undergraduate Scientific Research Ability in Basic Course Instruction: A Case Study of Alkali and Alkaline Earth Metal Complexes in Inorganic Chemistry. University Chemistry, 2024, 39(7): 247-263. doi: 10.3866/PKU.DXHX202310103

    6. [6]

      Jiarong ZHUXiaohua ZHANGXinting XIONGXuliang NIEXiuying SONGMiaomiao ZHANGDayong PENGXiuguang YI . Crystal structure, Hirshfeld surface analysis, and antifungal activity of five complexes based on 2,5-bis(carboxymethoxy)terephthalic acid. Chinese Journal of Inorganic Chemistry, 2025, 41(11): 2358-2370. doi: 10.11862/CJIC.20250150

    7. [7]

      Hong RAOYang HUYicong MAChunxin LÜWei ZHONGLihua DU . Synthesis and in vitro anticancer activity of phenanthroline-functionalized nitrogen heterocyclic carbene homo- and heterobimetallic silver/gold complexes. Chinese Journal of Inorganic Chemistry, 2024, 40(12): 2429-2437. doi: 10.11862/CJIC.20240275

    8. [8]

      Xiaopei HEJing HANZhong YUNa YEYi WAN . Preparation and antimicrobial properties of polyvinyl alcohol composite film based on Ag(Ⅰ) complex. Chinese Journal of Inorganic Chemistry, 2026, 42(3): 531-542. doi: 10.11862/CJIC.20250271

    9. [9]

      Haitang WANGYanni LINGXiaqing MAYuxin CHENRui ZHANGKeyi WANGYing ZHANGWenmin WANG . Construction, crystal structures, and biological activities of two Ln3 complexes. Chinese Journal of Inorganic Chemistry, 2024, 40(8): 1474-1482. doi: 10.11862/CJIC.20240188

    10. [10]

      Jingjing QINGFan HEZhihui LIUShuaipeng HOUYa LIUYifan JIANGMengting TANLifang HEFuxing ZHANGXiaoming ZHU . Synthesis, structure, and anticancer activity of two complexes of dimethylglyoxime organotin. Chinese Journal of Inorganic Chemistry, 2024, 40(7): 1301-1308. doi: 10.11862/CJIC.20240003

    11. [11]

      Jing WUPuzhen HUIHuilin ZHENGPingchuan YUANChunfei WANGHui WANGXiaoxia GU . Synthesis, crystal structures, and antitumor activities of transition metal complexes incorporating a naphthol-aldehyde Schiff base ligand. Chinese Journal of Inorganic Chemistry, 2024, 40(12): 2422-2428. doi: 10.11862/CJIC.20240278

    12. [12]

      Jia JITengqi YAOWenqian DENGWenjing SHIXuan LÜLin TIANXiaoyan XINYinling HOU . Structures, antibacterial activities, and interactions with DNA of two nickel complexes. Chinese Journal of Inorganic Chemistry, 2026, 42(1): 78-86. doi: 10.11862/CJIC.20250141

    13. [13]

      Huilin ZHENGTao WANGRuilin GAOMengke ZHOUXinyue LIHui WANGXiaoxia GU . Antitumor and antibacterial activities of transition metal complexes incorporating pyridyl salicylaldehyde Schiff base. Chinese Journal of Inorganic Chemistry, 2026, 42(5): 897-905. doi: 10.11862/CJIC.20250358

    14. [14]

      Yingyue ZHANGLiuqing KANGYating YANGXiaofen GUANWenmin WANG . Crystal structure and antibacterial activity of two Gd2 complexes based on polydentate Schiff-base ligands. Chinese Journal of Inorganic Chemistry, 2025, 41(9): 1867-1877. doi: 10.11862/CJIC.20250100

    15. [15]

      Chengyu JIANGXufeng LIU . Synthesis, structural characterization, electrocatalytic proton reduction, and fungicidal activity of thiazole-containing di-iron complexes. Chinese Journal of Inorganic Chemistry, 2026, 42(2): 355-364. doi: 10.11862/CJIC.20250253

    16. [16]

      Xinzhe ZHANGJiarong XUMochou GAOYage LIUYanbao ZHAOJingzeng CUIXueyan ZOU . Silver chloride/chitosan-based chloramine nanohybrid with excellent antibacterial activity: Design and structure characterization as well as Ag+-Cl- synergistic antibacterial effect. Chinese Journal of Inorganic Chemistry, 2026, 42(2): 428-438. doi: 10.11862/CJIC.20250123

    17. [17]

      Jing FENGRenshu WANGHu WANGHailong LIU . Co(Ⅱ) and Ni(Ⅱ) complexes of 3,3-diphenylpropionic acid and 2,2′-dipyridylamine: Structures and biological activities. Chinese Journal of Inorganic Chemistry, 2026, 42(3): 617-631. doi: 10.11862/CJIC.20250265

    18. [18]

      Kaimin WANGXiong GUNa DENGHongmei YUYanqin YEYulu MA . Synthesis, structure, fluorescence properties, and Hirshfeld surface analysis of three Zn(Ⅱ)/Cu(Ⅱ) complexes based on 5-(dimethylamino) isophthalic acid. Chinese Journal of Inorganic Chemistry, 2024, 40(7): 1397-1408. doi: 10.11862/CJIC.20240009

    19. [19]

      Dan PENGHao WANGYanyan WANGHongpeng YOUWuping LIAO . Synthesis and fluorescent properties of a one-dimensional Tb-calixarene complex as a luminescent thermometer material. Chinese Journal of Inorganic Chemistry, 2025, 41(9): 1859-1866. doi: 10.11862/CJIC.20250128

    20. [20]

      Zhenghua ZHAOYufeng LIUQing ZHANGZifa SHIJinzhong GU . Syntheses, crystal structures, catalytic and anti-wear properties of zinc(Ⅱ), nickel(Ⅱ) and cadmium(Ⅱ) complexes constructed from a terphenyl-tricarboxylate ligand. Chinese Journal of Inorganic Chemistry, 2026, 42(1): 170-180. doi: 10.11862/CJIC.20250161

Metrics
  • PDF Downloads(24)
  • Abstract views(3547)
  • HTML views(831)

通讯作者: 陈斌, bchen63@163.com
  • 1. 

    沈阳化工大学材料科学与工程学院 沈阳 110142

  1. 本站搜索
  2. 百度学术搜索
  3. 万方数据库搜索
  4. CNKI搜索
Address:Zhongguancun North First Street 2,100190 Beijing, PR China Tel: +86-010-82449177-888
Powered By info@rhhz.net

/

DownLoad:  Full-Size Img  PowerPoint
Return