

Citation: Jiaguo Wang, Xiping Jing, Hongping Xiao. Polarization and Deformation of Cations and Anions[J]. Chemistry, 2021, 84(5): 497-505.

离子的极化和形变
English
Polarization and Deformation of Cations and Anions
-
Key words:
- Ionic bond
- / Covalent bond
- / Polarization
- / Deformation
- / Molecular structure
- / Inorganic chemistry
- / Education
-
离子的极化和形变这一对概念一直是国内主流无机化学教科书中的重要内容之一[1, 2],常用来理解无机化合物的结构以及解释无机化合物的一些性质,如颜色、溶解度、水解常数、配合物稳定常数、配位数、热稳定性和导电性等。这一对概念的提出已近百年,早期这对概念主要用于解释离子化合物的一些性质,其定量化成果大多体现为一些经验公式[3~6],后来,其适用范围扩展到非典型离子化合物。量子化学的发展为离子极化和形变的概念赋予了新的生命力,电子定域函数[7](Electron location function,ELF)的处理结果使得对离子极化和形变概念的理解更为清晰。然而,在一些教科书和文献中对离子的极化和形变概念的解释不够准确,常常给学生带来困惑,如有观点认为离子的极化和形变使物质的水溶性下降,而实际情况并非完全如此。以NaCl为参比对象,AgCl中阳离子的极化和阴离子的形变引起化学键共价成分的提高,从而使其水溶性降低。相反地,LiCl中离子的极化强度和形变程度都强于NaCl,但LiCl的水溶性大于NaCl。本文首先讨论了影响离子极化强度和形变程度的因素;在此基础上分析了一些化合物的结构,以及溶解度、颜色和热稳定性等物理和化学性质;特别是对一些教学中有争议的问题给出了合理解释。在分析小分子结构时,极化和形变概念的运用弥补了杂化轨道理论和价层电子对互斥理论的不足。
1. 离子的极化与形变
1.1 阳离子的极化能力与电子构型的关系
教科书中一般将阳离子按电子构型粗略地分为8e-、(9~17)e-、18e-与(18+2)e-三大类,对离子极化和形变作用的描述也比较粗略,往往忽略阴离子的极化作用,致使学生在应用时常感到困惑。如教科书中给出的阳离子的极化能力和形变能力排序均为:8e- < (9~17)e- < [18e-,(18+2)e-]。这些简化致使该概念在解释物质性质时常会使学生产生一些困惑。在实际化合物中,Cr2+表现出强于Mn2+的极化能力,Hg2+的极化能力显著强于Pb2+;如Cr2+的水合焓(-2725kJ/mol)小于Mn2+的(-2666kJ/mol),而HgO(500℃分解)的热稳定性远不如PbO(897℃熔化)等[8]。然而,上述教科书中的粗略排序无法给出这些信息。
实际上,上述三类离子中,每一类中不同离子的极化能力也是有区别的,这种区别在一定程度上是可以分析和把握的。首先,有必要强调一下半充满和全充满电子构型离子的特殊性。基态d5和d10构型的离子其轨道电子通过组合后同样可以形成封闭的结构,屏蔽能力与同层s轨道差异很小,所以,13e-和18e-两种电子构型离子的有效核电荷与周期表中前后相邻离子相比都偏低,其极化能力也较弱。
(18+2)e-电子构型的离子都位于元素周期表重p区。对于同周期元素,其(n-1)d和ns的轨道能量差从左到右逐渐增大,见表 1,说明(n-1)d轨道上的电子屏蔽能力增强;对重p区金属,相对论效应致钻穿能力强的ns电子云收缩程度增大,引起ns轨道能量降低,说明ns屏蔽能力也有所增强。总之,同周期元素相比,(18+2)e-构型离子的极化能力比18e-构型的离子的更弱。
表 1
Sc Ti V Cr Mn Fe Co Ni Cu Zn Ge I2 12.80 13.58 14.66 16.48 15.64 16.19 17.08 18.17 20.29 17.96 15.93 I3 24.76 27.49 29.31 30.96 33.67 30.65 33.50 35.19 36.84 39.72 34.22 Y Zr Nb Mo Tc Ru Rh Pt Ag Cd Sn I2 12.24 13.13 14.32 16.16 15.26 16.76 18.08 19.43 21.49 16.91 14.63 I3 20.52 22.99 25.04 27.13 29.54 28.47 31.06 32.93 34.83 37.48 30.50 教科书中阳离子的极化能力常用Z*/r来表示,其中Z*表示有效核电荷,r表示离子半径。然而,由于有效核电荷的计算比较繁琐,而合理选取离子半径还需要知道物质结构信息[8],如Shannon离子半径,因此用Z*/r来计算极化能力并不方便。如果考虑到极化的本质是阳离子吸引电子的能力,使用阳离子的电子亲和能或对应的电离能[9]来表示极化能力更简单。如对金属离子M2+,其电子亲和能对应该离子原子的第二电离能I2,见表 1。利用I2可以得到+2氧化态离子的更为精确的离子极化力顺序,相似地,I3可以表示+3氧化态离子的极化力顺序。在该顺序中,d轨道的半充满和全充满效应自然被考虑,因此在教学上比Z*/r值更为合用。从表 1的电离能数据中可以看出,生成d轨道半充满和全充满两种电子构型离子的电离能异常地偏小,而生成(18+2)e-电子构型离子的电离能比18e-电子构型的更小。
根据以上分析,电子构型与阳离子的极化能力规律可以表述为:同周期元素从s区到d区随核电荷的增大而增强,其中d轨道半充满和全充满的电子构型的阳离子极化能力比前后相邻离子均弱,(18+2)e-电子构型的阳离子极化能力比同周期的18e-构型的更弱,其变化规律见图 1。
图 1
1.2 离子的形变
离子的形变作用大致可以分为三类:阴离子形变、阳离子形变和π键形变。阴离子形变是阳离子的正电荷吸引阴离子电子云而产生的。形变作用导致阳离子上的电子增加、正电荷减少、离子半径增大;同时导致阴离子上的电子减少、负电荷减少、半径减小。以上效应使得阴阳离子之间的共价键成分增加。阴离子形变是普遍存在的,也是最重要的一类形变作用。虽然阴阳离子之间靠近时并无方向性,但引起共价键形成后则具有方向性,从而对物质结构和性质都会产生影响。
阳离子形变是由阴离子的电子排斥阳离子的电子所导致的局域电子密度变化。当阴离子靠近阳离子时,阴离子的电子会对靠近方向上的阳离子上的电子产生排斥作用,从而使阳离子在该方向上的电子密度减少,而在阳离子该方向的反位,其电子密度必然增加,使阳离子产生形变,见图 2。该形变可以用ELF描述[10~12]。另一种阳离子形变是由Jahn-Teller效应(即电子在d轨道上的非对称占据效应[13])引起的,主要涉及一些过渡金属为中心的化合物。
图 2
实际上,阳离子形变主要发生在最外层电子上,内层电子的形变可以忽略不计,因为内层电子不会对化学键的方向性和稳定性产生实质性影响。f电子对阳离子来说都是内层电子,其形变故可忽略;同层电子比较,电子云形变由小到大的顺序为:s < p < d,因此,不含d电子的8e-构型阳离子形变效应较小;对电荷一样的(9~17)e-构型的同周期元素,d电子越多,则外层的电子密度越大,阳离子形变效应越大;d轨道处于半充满(13e-)和全充满[18e-和(18+2e-)]的离子,尤其是(18+2)e-构型的离子,其d轨道能量偏低,与左右相邻位置的离子相比形变效应较小。对于8e-电子构型的阳离子,半径越小越难以形变,因此,短周期元素阳离子的形变效应可以忽略。长周期和超长周期的元素的阳离子因半径大而形变能力增强,故一般这类阳离子的形变效应需要考虑。p区阳离子处于周期表最右边,离子半径相对较小,比较难以发生形变。而重p区元素的离子尽管半径稍大,但由于相对论效应引起价层ns轨道收缩,其价层的ns轨道与np轨道间的能量差较大。在ns轨道参与形成价键时,离子的氧化态高、半径小从而使其形变效应不大;在ns电子不参与形成价键时,因其能量低也难以形变。因此对于p区阳离子,一般不考虑阳离子形变效应。
综上所述,对于由阴离子的电子排斥阳离子的电子引起的形变,需要考虑形变效应的阳离子包括:长周期和超长周期的s区阳离子、f区阳离子、低氧化态(≤3) d区阳离子。
不同阳离子形变效应的大小有如下的关系:(1)同族元素阳离子,不论主族副族,从上到下形变能力都增强,如:Ca2+ < Sr2+ < Ba2+,Zn2+ < Cd2+ < Hg2+;(2)同周期具有相同电子构型的离子,从左到右,随着电荷的升高,形变能力减小,如:Ca2+>Sc3+>Ti4+;(3)同周期过渡金属离子,电荷相同时,从左到右d电子个数越多形变能力增强,如:Ti2+ < V2+ < Cr2+;然而具有半充满或全充满电子构型的离子例外,这两类离子的形变能力比左右相邻位置的离子小,如:Mn2+ < Cr2+,Zn2+ < Cu2+;(4)中心原子的配位数越高,则空间越拥挤,外围原子间的排斥作用越强,分子结构畸变越小,如:CaF2(g)>ScF3(g)>TiF4(g)。
阳离子相同时,不同阴离子对阳离子形变能力的影响有如下的关系:(1)同族阴离子从上到下随半径增大,负电荷密度变小,诱导出的阳离子形变效应越小,如:F->Cl->Br->I-;(2)电荷相同时,同周期阴离子,从左到右随电负性增大,供电子能力减弱,诱导出阳离子的形变效应越小,如:CH3->NH2->OH->F-;(3)在阳离子半径相近的情况下,阴离子的负电荷越高、非金属性越弱,供电子能力越强,阳离子的形变幅度越大,如:N3->O2->F-;(4)同一非金属原子形成的阴离子,所带负电荷越多,诱导的阳离子形变幅度越大,如:N3->NH2->NH->NH3。
阴离子的极化能力越强,阳离子形变能力越强,体现在结构上键角越小。
π键形变作用是指π键的形成导致的阴阳离子同时形变。π键形变包括两种类型:阳离子提供空轨道形成π键和阳离子提供电子对形成π键。
提供空轨道形成π键的阳离子一般要求第三周期元素及之后的元素形成的高氧化态的硬阳离子,或是短周期缺电子区阳离子。前者通常通过形成p-dπ键形变,如SiF4、TiO2、PO43-等。由于高氧化态的阳离子都难以在阴离子作用下形变,因此此类π键对结构影响较小,可以用价层电子对互斥理论推导结构。后者包括Li+、Be2+、B3+、Na+、Mg2+和Al3+等,当这些离子与非金属元素尤其是原子半径小的元素形成化合物时,易形成p-pπ键或离域大π键而产生形变,如在气态小分子中,Li2O、MgF2、BCl3等,都通过形成π键或离域大π键而稳定各自结构。
提供电子形成π键的阳离子专指价层含d电子的d区和重p区元素阳离子,阴阳离子之间除了有阳离子极化阴离子产生的共价键化(σ键)形变外,还存在阴离子极化阳离子产生的d-dπ或d-π*π反馈键。因此,无价层d电子的金属阳离子,如s区、f区以及最高氧化态的前过渡元素等,即8e-电子构型的阳离子,都不具有供电子形成π键的能力。要形成反馈π键,除了阳离子具有价层d电子外,还必须要求阴离子有能接受d电子的空轨道,包括价层d空轨道或π*轨道,这些阴离子包括:(1)所有第三周期的元素及之后的元素形成的阴离子(均具有价层nd空轨道),如Cl-、S2-和I-等,与富d价电子的金属阳离子形成d-dπ键,见图 3(a),如AgI中;(2)一些有π键的阴离子,如CN-等,与富d价电子的金属阳离子形成d-π*π键,见图 3(b),如K4[Fe(CN)6]中。
图 3
在配位数为6的情况下,阳离子提供电子形成的π键主要体现在dxy、dxz和dyz三个轨道上;当这三个轨道上的d电子达到全满时形成π键数目最大,即d8电子构型(16e-电子构型)的金属阳离子形变能力已达到最大,再增加电子则由于同周期的(n-1)d轨道与ns轨道间的能量差增大,(n-1)d电子发生收缩,反而相对难以形变,因此18e-和(18+2)e-电子构型的金属阳离子,其形变能力又依次变弱。如PtS、HgS和PbS,由于d-dπ反馈键的形成,在水中的溶解度尽管都很小,但依次增大,这是由于5d电子收缩程度依Pt2+、Hg2+和Pb2+增大,d电子反馈能力依次减弱所致。
阳离子提供电子的π键形变能力随d电子增多而增强,但半充满d5和全充满d10电子构型的形变能力反常地小;p区阳离子的极化能力小于d区阳离子,尤其小于后d区阳离子。
π键形变都使得成键方向上原子间的距离缩小、电子密度增大,在易形变的d区阳离子产生反位效应,即反位上的配位原子易受到电子排斥而化学键减弱,或是通过形变降低分子对称性。
在考虑最终极化效果时,既需要考虑阳离子的极化和形变,又需要考虑阴离子的极化、形变和π键形变。实际上,阳离子的形变有时可以忽略,π键形变也并不总是存在,对于每一种具体的化合物需要做具体分析。如比较ZnCO3和CdCO3的热稳定性,两种盐的分解产物类似:尽管Zn2+和Cd2+都是18e-构型的离子,但它们极化的阴离子是不具备形成反馈π键的CO32-,因此其碳酸盐的稳定性由阳离子的极化能力决定,从表 1中可以看出,阳离子的电子亲和能(极化能力)Zn2+>Cd2+,推出热稳定性ZnCO3 < CdCO3。再如考虑ZnS和CdS在水中的溶解度:阴阳离子之间除了形成σ键外,还具有形成d-dπ键的能力,在水中溶解时阳离子由双键转化为水合离子的单键,因此在能量上不利,故都难溶;而与Zn2+的3d10相比,Cd2+的4d10电子更加裸露,形成的d-dπ键更强,即π键极化使阴阳离子相互极化,σ键与π键相互加强,CdS中的双键更强,故水溶性相对更低。
2. 离子的极化和形变对化合物结构的影响
2.1 离子的极化和形变导致阳离子配位数下降
在考虑阴阳离子密堆积时,一般教科书假定,阴阳离子是球形的,在堆积过程中只是紧密接触而不发生形变,配位数由阳阴离子半径比(r+/r-,r+和r-分别代表阳离子半径和阴离子半径)决定。有观点[1]认为,极化引起的配位数减小是因为阳离子钻到阴离子的电子云中,从而导致阳离子半径减小,引起阳阴离子半径比缩小。此观点的争议在于,从极化作用和形变来理解,阳离子在极化阴离子时吸引阴离子的电子,必然导致阳离子上的电子增多,引起阳离子的核外电子之间的斥力增大,也就是阳离子的半径增大;同时,阴离子的电子被吸走,电子减少,引起阴离子核外电子之间的斥力减小,也就是阴离子的半径减小,总结果是阳阴离子半径比增大,以此推出配位数似乎要增大,与事实正好相反。可见,用阳阴离子半径比来说明配位数的变化并不是合理的解释方法。我们建议用共价键的方向性来解释极化引起的阳离子配位数下降:阳离子的极化和阴离子的形变引起共价成分的增加是毫无争议的事实,而共价键的形成来自于原子轨道间的相互作用,具有明显的方向性,即沿电子云最大重叠方向形成共价键具有更高的稳定性,由离子键向共价键转化必然导致核间距减小,成键原子或原子团将离得更近,价层电子和周围原子的电子间的斥力增加,必然要求方向性增强,倾向于配位数减少来降低周围原子上电子间的斥力,即共价键通过方向性来体现配位数少而共价键强。
2.2 离子极化和形变导致小分子结构的变化
小分子结构常用杂化轨道理论或价层电子对互斥理论来推导和解释。这两种理论主要适用于p区元素以及短周期元素金属共价化合物的结构推导。当中心原子难以发生形变时,推导结果与实际结果的吻合度很高。但对重碱土金属、d区和f区元素的气态小分子化合物结构推导却不成功。然而,离子极化理论可以对这一结构偏离给出合理解释,成为杂化轨道理论和价层电子对互斥理论的补充。
以重碱土金属气态化合物MR2(M=Ca、Sr、Ba,R=H、F、Cl、Br、CH3)为例,用杂化轨道理论或价层电子对互斥理论推导的结构均为直线形,但实际上这几种化合物大都是折线形[14, 15]。这是由于Ca2+、Sr2+和Ba2+等离子由于半径增大,其最外层的电子ns2np6越来越容易形变,阳离子周围空间也更大,在富电子的阴离子靠近时,诱导出阳离子的反位电子密度增大,见图 4。若反位方向存在另一个靠近的阴离子,则势必受到更大排斥,阻止阴离子从反位靠近,见图 4(a)。为降低分子能量,从反位靠近的阴离子将避免直接靠近电子密度最大的方向,而选择电子密度相对较小的方向靠近,诱导出的反位电子密度位置也相应改变,见图 4(b)。由于阳离子的半径大,尽管阴离子之间的距离相对变小,其斥力仍然很小,从而使键角不再是180°,分子结构呈折线形能量反而更低。
图 4
同理,镧系和锕系气态三卤化物MX3(M=Ln、An,X=F、Cl、Br)的分子结构也不是杂化轨道理论和价层电子对互斥理论推导的正三角形,而是更稳定的三角锥形[13]。
对于气态碱土金属和f区金属两类碘化物,由于I-对金属阳离子的极化能力弱,阳离子很难形变;另一方面,由于I-的半径大,使阳离子周围的空间相对拥挤,因此I-之间的排斥力大,往往更易形成价层电子对互斥理论推导的结构。
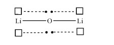
一些短周期的缺电子元素气态氧化物或卤化物小分子则通过π键的形成而偏离价层电子对互斥理论的推导结果。如气态Li2O的结构是直线形。前三周期的元素的原子半径很小,离子的最外层轨道上的电子的能量很低,极难通过离子间诱导形变,也就不存在诱导出反位电子密度明显增大的问题,但条件合适时可以通过形成π键而稳定结构。如图 5,Li2O通过形成相互垂直两条π32键而稳定化,如果以折线形结构只能形成一条π32键,稳定性显然不如前者。
图 5
在一些p区高氧化态(≥3)离子为中心离子的化合物中,若存在ns2孤电子对,高氧化态将使其收缩,从而使其能量降低,且轨道呈球形结构。当外围阴离子的半径大,而中心阳离子半径相对小时,导致外围阴离子在空间上非常拥挤。这种情况下化合物实际的结构也会偏离杂化轨道理论和价层电子对互斥理论的推导结果,即球形对称的ns2电子不参与杂化,采取外围阴离子排斥力最小的空间结构,如BiCl63-、TeCl62-、TeBr62-、ClF6-等均为正八面体结构[15]。
3. 离子的极化和形变对溶解度的影响
一般文献[2, 16, 17]认为离子的极化导致共价成分增加,从而引起在水中的溶解度下降。大都以银的卤化物为例来说明,即F-、Cl-、Br-、I-因为阴离子的形变能力依次增强,Ag+对这些阴离子极化作用依次增强,共价成分依次增大,溶解度因此依次减小;其共价成份增大的原因是Ag+与Cl-、Br-、I-之间各多形成了一条d-dπ键,且该化学键依次增强,即产生的是π键形变,可以归纳为极化产生π键形变的,其溶解度下降。但如果用LiCl、NaCl为例,Li+的极化能力强于Na+,Li-Cl的共价成分高于Na-Cl,在293K水中的溶解度却是LiCl(20mol/L)比NaCl(6mol/L)大[18];这是因为Li+和Na+最外层无d电子,共价成分的提高主要来自阴离子形变,溶解过程中,Li-Cl的长化学键转化为Li-O的短化学键及电荷势场吸引水分子,能量上更有利,即高电荷密度的Li+的水合热大而导致溶解度增大。这一例子说明,离子极化引起的共价成分增加不是溶解度小的判据,只能说离子的极化改变了物质的溶解度,至于如何改变还需要进一步分析。
第二周期元素形成的阴离子,如OH-、O2-、F-,其共性是没有空的价轨道,只能与阳离子形成单键,但键短而稳定性高;这些阴离子被阳离子极化,则阳离子的极化能力增强,主要是阴离子形变,在水中的溶解度先下降再升高,与阳离子的半径和氧化态关系密切。如水中溶解度:NaOH>Mg(OH)2>Al(OH)3 < H4SiO4·nH2SiO3 < H3PO4;K2O>CaO>Sc2O3>TiO2 < V2O5 < CrO3;BeF2》MgF2 < CaF2 < SrF2 < BaF2。
这是因为,对于典型的离子化合物,由电荷提高引起的阳离子的极化能力增强虽然导致共价成份增加,但本质上仍然是离子键的增强,此时溶解度是减小的,如溶解度NaOH < Mg(OH)2,K2O>Sc2O3,都是因为离子键的增强导致的溶解度减小;在离子键过渡到共价键时,如果仍然保持原维度,甚至形成三维结构的原子晶体,则化学键增强,其溶解度仍然是减小的,如由离子晶体的三维Sc2O3过渡到原子晶体的三维TiO2,和由离子键为主的层状结构的Ca(OH)2过渡到以共价成分为主的层状结构的Al(OH)3,溶解度均是减小的。而对于典型的共价键化合物,阳离子的极化能力进一步增强时通过低维化形成小分子,如由Al(OH)3的二维层状结构,过渡到H4SiO4·nH2SiO3的一维链结构,以及到H3PO4小分子,溶解过程中形成溶剂化小分子所要断裂的化学键越来越少,甚至不断化学键,故溶解度依次增大,如由三维的TiO2过渡到二维层状的V2O5和一维链状结构的CrO3,后二者在水中形成含氧酸小分子而溶解,溶解度也依次增大;或是通过形成配阴离子使溶解度增加,如由离子晶体的MgF2过渡到原子晶体的BeF2,后者在水中形成含氟配阴离子[BeF3]-、[BeF4]2-和配阳离子[BeF]+而溶解。以上例子可以得出基本结论,无机酸碱盐或氧化物的溶解度并不是随着阳离子的极化能力增强而单调地下降。
对于Cl-、Br-和I-,它们均具有空的价轨道。当这类阴离子被阳离子极化时,则极化的效果随阳离子的氧化态和电子构型的不同而不同。如果是8e-电子构型的阳离子,或是高氧化态的(9~17)e-、18e-及(18+2)e-构型的阳离子,随着产生的极化和形变效应增强,使化合物在水中的溶解度增大,其溶解的驱动作用主要来自高电荷密度的阳离子引起的水合热增大,且电荷密度越高,水溶过程尽管是熵减小的,但水合热的增大更加明显[19]。如:CaF2《CaCl2 < CaBr2 < CaI2;NaCl < MgCl2 < AlCl3;SnCl2>PbCl2。
如果是低氧化态的(9~17)e-、18e-及(18+2)e-构型的阳离子,尤其是后过渡金属离子、18e-和(18+2)e-构型的重阳离子,它们会与具有空价轨道的阴离子相互极化,即同时还会产生π形变。这种极化效应使得阴阳离子之间同时存在σ键和d-dπ或d-π*π反馈键,成键数量多,故结合更加稳定,从而使水溶性会减小。以MX、M′X2 (M=Cu、Ag,M′=Pb、Hg,X=Cl、Br和I)为例,随着卤素离子半径的增大,相互极化作用加强,导致水溶性下降,即MCl>MBr>MI、M′Cl2>M′Br2>M′I2。
4. 离子的极化和形变对物质颜色的影响
一般教科书及文献[2, 16, 17]认为,离子的极化导致物质的颜色加深。其实,这一说法在概念上是含混的,因为没有指出颜色加深的物理含义,究竟极化的效果是吸收带的波长范围有所变化,还是吸收率的变化。
显然极化和形变导致物质的能级或能带结构发生改变,从而引起吸收光谱的改变,导致颜色改变。
对于小分子来说,没有能带,只有能级,且能级是离散的,化学键上的电子运动几乎是定域的,电子在离散的能级之间跃迁产生颜色。电子的定域程度越高,体现在成键轨道能量越低,反键轨道能量越高,电子在离散的分子轨道之间的跃迁所需要的能量越高。
对于一维、二维尤其是三维结构来说,具有能带结构,化学键上的电子运动是离域的,电子在导带和价带之间跃迁产生颜色。电子的离域程度越高,参与成键的原子数越多,形成的成键轨道和反键轨道数量越多,能带覆盖能量段越宽,禁带宽度越小。三维结构的离子晶体,尽管也形成能带,但阴阳离子价轨道间的能量差较大,成键电子基本上定域在阴离子上,而阴离子又被阳离子隔开,因此禁带宽度大,跃迁易进入紫外区,表现无色。随着极化作用增强,阴阳离子价轨道间的能量差趋近,电子离域程度提高,禁带宽度变小,吸收光谱向长波方向移动,尤其是存在d-dπ键的结构,弱π键导致成键轨道和反键轨道间的能量差更小,禁带宽度更小,甚至小至红外区,能吸收全部可见光而表现黑色。对于低维结构来说,处于边界上的原子化学键能级是离散的,处于中心化学键形成连续能带,因此维度越低,电子的离域程度越差,禁带宽度越大。
阴离子相同时,随着阳离子极化作用增强,可以导致化合物结构由三维网状的离子晶体向三维网状的原子晶体、二维层状和一维线状的混合晶体以及零维的小分子过渡,即阳离子极化作用越强,物质的结构维度越低。在结构维度不变的情况下,阳离子的极化会导致禁带宽度变小,引起吸收光谱向长波方向移动,如ZnS(白色,三维)、CdS(黄色,三维)、HgS(黑色,三维;红色,一维),其中ZnS的禁带宽度在紫外区故为白色,CdS的禁带宽度在蓝光区为黄色,HgS的结构有两种维度,三维结构的禁带宽度在红外区故能吸收所有可见光为黑色;由于降维作用,一维链状结构的HgS禁带宽度增大,吸收光谱进入可见区,吸收绿光故为红色。
在阳离子相同时,由阴离子形变能力增强引起的极化作用的增强,可导致晶体结构向高维度转化,能级趋向连续,禁带宽度减小,吸收光谱向长波方向移动。如HgBr2和HgI2的颜色,前者是三原子小分子,能级离散,吸收在紫外区,故为白色;后者I-的形变能力更强,配位能力强,形成二维层状结构的巨型分子,禁带宽度进入可见区,导致红色。
而当极化引起化合物结构维度降低,尤其是产生零维结构小分子时,高维度的连续能级会被破坏,导致能级的离散,从而会引起能级差变大,导致光谱吸收带向短波方向移动。我们首先讨论SnS和SnS2的颜色。Sn2+极化能力虽然相对弱一些,但极化结果使SnS形成三维结构的原子晶体,禁带宽度接近红外区,因此可见光几乎被全吸收,化合物体色表现为棕色;而极化能力更强的Sn4+使SnS2变为二维的层状结构,结构维度低,化合物吸收谱带蓝移至蓝紫光区,化合物体色表现为黄色。我们接着讨论HgI2和K2[HgI4]的颜色。前者为层状结构,晶体为红色;后者虽然成盐后形成三维结构晶体,但盐的形成使[HgI4]2-离子被极化能力弱的K+阳离子隔开而孤立,价电子几乎定域在配阴离子上,导致能级离散,使光谱吸收带蓝移至紫外区,化合物体色为无色。以上两例都说明极化能力增强可以导致吸收波长往短波方向移动。再如,在V2O5、CrO3和Mn2O7一组化合物中,阳离子的极化作用按V5+→Cr6+→Mn7+的顺序依次增强。然而,三个氧化物的颜色却非常接近,都为橙红色,这是因为三个氧化物结构维度依次降低所导致。从V2O5的二维层状结构到CrO3的一维链状结构,再到Mn2O7的零维小分子结构,结构维度降低与极化增强之间的效应大致相互抵消,导致三种物质的颜色接近。所以,并不是阳离子的极化能力越强而颜色越深,或吸收波长一定向长波方向移动,而是需要同时考虑结构维度变化带来的影响。结构维度不变时,极化和形变能力增强导致光谱吸收带红移;而结构维度降低的极化和形变导致光谱吸收带蓝移。
5. 离子的极化和形变对物质热稳定性的影响
对于二元化合物来说,极化作用会引起离子键向共价键过渡。而共价成分增加意味着化学键方向性更强,成键个数会减少,化学键强度增强,从而使化合物热稳定性增加。然而,极化作用不仅会使共价键成分增加,还会导致电子从阴离子向阳离子的转移,发生氧化还原反应,这一效应会使化合物的热稳定性降低。因而在过渡极化的条件下,随极化作用的增强,化合物的热稳定性下降。第四周期部分元素的氧化物的热稳定性顺序可以说明所述规律:
$ \mathrm{K}_{2} \mathrm{O} <\mathrm{CaO} <\mathrm{Sc}_{2} \mathrm{O}_{3} \sim \mathrm{TiO}_{2}>\mathrm{V}_{2} \mathrm{O}_{5}>\mathrm{CrO}_{3}>\mathrm{Mn}_{2} \mathrm{O}_{7} $ 对于含有空价轨道的阴离子,当与d电子较多的阳离子形成化合物时,阴阳离子之间相互极化导致反馈化学键的形成,从而引起化学键个数增加,所以化合物的热稳定性也是增加的。阴离子半径越大,反馈化学键也越强,化合物的热稳定性也就越高。下列两组化合物热稳定性顺序支持以上观点:
$ \begin{aligned} &\mathrm{CuS}>\mathrm{CuO} \\ &\mathrm{K}_{2} \mathrm{HgCl}_{4} <\mathrm{K}_{2} \mathrm{HgBr}_{4} <\mathrm{K}_{2} \mathrm{HgI}_{4} \end{aligned} $ 在酸式盐的热稳定性分析中,有观点将酸根上的H看成H+,即认为其为裸露的质子,极化能力是所有离子中最强的。我们觉得这一理解的正确性值得商榷。如同样是酸式盐的NaHCO3(分解温度50℃)和NaHSO4(分解温度315℃)[8],分解温度却显著不同,其中HSO4-给H+的趋势比HCO3-的大得多,热稳定性却是NaHSO4高得多。
氢离子水合焓[8]达到-1530kJ/mol,可以说明游离的H+极不稳定,难以独立存在;H+容易通过氢键在富电子原子间传递[20]。因此,酸式盐分解体系中可以只考虑束缚H+,以及H+在酸根之间传递。质子传递提供了酸式盐热分解的动力学活性。
由于酸式盐热分解是化学反应,其反应趋势必然涉及化学反应热力学,即既与反应物有关,又与产物有关。对酸式盐的热分解来说,首先它与酸根的酸性强弱有关,以及酸的稳定性有关,一般规律是:(1)酸的酸性越强,则酸式酸根的供电子能力越弱,H+在酸根间的传递越困难,酸式盐脱水越不容易,酸式盐的热稳定性越高,如酸性强弱:H2SO4>H3PO4;酸式盐的稳定性:NaHSO4>NaH2PO4;(2)金属离子的极化能力越强酸式盐的稳定性越差,如极化能力:Na+ < Ag+;酸式盐稳定性:NaH2PO4>AgH2PO4。
其次,热分解过程还与分解产物有关,包括产物的稳定性和状态,一般规律是:(1)产物越稳定则正向趋势越大越易分解;(2)生成易挥发的产物则分解反应增熵越大,酸式盐越易分解,如分解温度:(NH4)2HPO4 < Na2HPO4;(3)如果分解在溶液中进行,则容易生成沉淀产物的,分解温度越低。如分解温度:Ca(HCO3)2 < NaHCO3。
含氧酸式盐的分解可能的机理如图式 1。高温下,由金属阳离子及成酸元素(用A表示)阳离子共同极化使酸根阴离子电荷重新分布,诱导酸根之间发生H+传递,当H+传递到-OH基团上,形成A-OH2+,使化学键A-OH2+被削弱,脱水分解得到中间产物II;如果II的异构化产物III很稳定,则酸式盐分解的最终产物为I和III,如酸式碳酸盐的热分解都属于这一类;中间产物I和II之间也可以发生亲核连接,得到最常见的稳定的聚合酸根IV,如酸式硫酸盐、酸式磷酸盐以及各种氢氧化物等的热分解都属于这一类。
图式 1
6. 结语
本文利用离子极化和形变的概念分析了化合物的结构,以及溶解度、颜色和热稳定性等物理和化学性质,特别是对一些有争议的问题给出了合理的解释。离子的极化和形变概念虽然简单,却能对化合物的许多物理性质和化学性质给与合理的解释,特别是在解释小分子结构方面,弥补了杂化轨道理论和价层电子对互斥理论的不足。建议在无机化学教学中强化离子极化和形变概念的讲授。
-
-
[1]
大连理工大学无机化学教研室. 无机化学(第五版), 2012. https://cdmd.cnki.com.cn/Article/CDMD-10135-1013272186.htm
-
[2]
宋天佑, 程鹏, 徐家宁, 等. 无机化学(第四版), 2020. https://www.cnki.com.cn/Article/CJFDTOTAL-ZZXX202009049.htm
-
[3]
温元凯. 中国科学技术大学学报, 1978(1): 152~169. https://www.cnki.com.cn/Article/CJFDTOTAL-ZKJD201605016.htm
-
[4]
温元凯, 邵俊. 化学通报, 1978(2): 26~27. https://www.cnki.com.cn/Article/CJFDTOTAL-KYDH201706003.htm
-
[5]
温元凯, 邵俊. 科学通报, 1977(6): 267~268. https://www.cnki.com.cn/Article/CJFDTOTAL-BJXB201906019.htm
-
[6]
温元凯, 邵俊. 科学通报, 1975(3): 131~134. https://www.cnki.com.cn/Article/CJFDTOTAL-BJXB201906019.htm
-
[7]
郑世钧, 李晓艳, 默丽欣. 化学通报, 2010, 73(3): 235~240. https://www.cnki.com.cn/Article/CJFDTOTAL-SHXJ201402004.htm
-
[8]
CRC Handbook of Chemistry and Physics, 84th Ed. 2003~2004.
-
[9]
Ahrens L H. Nature, 1952, 169(4298): 463.
-
[10]
Pendas A M, Costales A, Luana V. Phys. Rev. B, 1997, 55(7): 4275~4284. doi: 10.1103/PhysRevB.55.4275
-
[11]
Pendas A M, Costales A, Luana V. J. Phys. Chem. B, 1998, 102: 6937~6984. doi: 10.1021/jp980906f
-
[12]
Contreras-Garcia J, Recio J M. J. Phys. Chem. C, 2011, 115: 257~263. doi: 10.1021/jp106370z
-
[13]
Isaac B B. Chem. Rev., 2001, 101(4): 1067~1114. doi: 10.1021/cr0004411
-
[14]
Bytheway I, Gillespie R J, Tang T H, et al. Inorg. Chem., 1995, 34: 2407~2414. doi: 10.1021/ic00113a023
-
[15]
Hargittai M. Chem. Rev., 2000, 100(6): 2233~2301. doi: 10.1021/cr970115u
-
[16]
王红艳, 王凯, 焦恒, 等. 大学化学, 2021, 36(3): 2~7. https://www.cnki.com.cn/Article/CJFDTOTAL-SXYB201904002.htm
-
[17]
王福海, 覃松. 广州化工, 2020, 48(21): 5~6. doi: 10.3969/j.issn.1001-9677.2020.21.003
-
[18]
Dean J A. Lange's Handbook of Chemistry. 15thEd., 2003.
-
[19]
王稼国, 荆西平. 化学通报, 2018, 81(3): 278~287. http://www.ccspublishing.org.cn/article/id/b7463118-2cc7-402f-8d06-6f3020753b39
-
[20]
Kreuer K D, Paddison S J, Spohr E, et al. Chem. Rev., 2004, 104(10): 4637~4678. doi: 10.1021/cr020715f
-
[1]
-
表 1 部分金属元素的第二、三电离能(eV)[8]
Table 1. The second and third ionization energies of some metal elements[8]
Sc Ti V Cr Mn Fe Co Ni Cu Zn Ge I2 12.80 13.58 14.66 16.48 15.64 16.19 17.08 18.17 20.29 17.96 15.93 I3 24.76 27.49 29.31 30.96 33.67 30.65 33.50 35.19 36.84 39.72 34.22 Y Zr Nb Mo Tc Ru Rh Pt Ag Cd Sn I2 12.24 13.13 14.32 16.16 15.26 16.76 18.08 19.43 21.49 16.91 14.63 I3 20.52 22.99 25.04 27.13 29.54 28.47 31.06 32.93 34.83 37.48 30.50 -

计量
- PDF下载量: 108
- 文章访问数: 8121
- HTML全文浏览量: 2281