Citation: DIAO Rui, WANG Chu, ZHU Xie-fei, ZHU Xi-feng. Influence of carbonization degree of walnut shell char on pore structure and combustion characteristics[J]. Journal of Fuel Chemistry and Technology, ;2019, 47(10): 1173-1180. shu

Influence of carbonization degree of walnut shell char on pore structure and combustion characteristics

  • Corresponding author: ZHU Xi-feng, xfzhu@ustc.edu.cn
  • Received Date: 18 July 2019
    Revised Date: 23 August 2019

    Fund Project: The project was supproted by the National Key Research and Development Program of China (2018YFB1501404)the National Key Research and Development Program of China 2018YFB1501404

Figures(7)

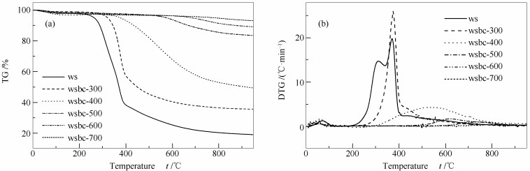
  • The effect of carbonization degree on pore structure and microstructure of walnut shell chars was studied by Fourier transform infrared spectroscopy (FT-IR), scanning electron microscopy (SEM) and X-ray diffraction (XRD). The combustion characteristics of raw material and walnut shell chars were analyzed using a thermogravimetry coupled with differential scanning calorimeter (TG-DSC). The results show that the appropriate degree of carbonization (volatile content is 6%-15%) leads to the disorderly crystallization of turbostratic and the increase of defects in the carbonaceous microcrystalline structure, which causes a relatively flourishing pore structure and an increase of specific surface. Pyrolysis char at temperature of 500℃ has the maximum specific surface area of 374.60 m2/g, while walnut shell char prepared at 600℃ has the optimal combustion characteristics with the combustion characteristics index of 7.16×106, which indicate that the appropriate carbonization degree of char could reduce the volatile content and increase the higher calorific value of char during combustion process. Moreover, the developed pore structure can increase the contact area between char and air, leading to the accelerated combustion rate of char.
  • 加载中
    1. [1]

      LIU Z, HAN G. Production of solid fuel biochar from waste biomass by low temperature pyrolysis[J]. Fuel, 2015,158:159-165. doi: 10.1016/j.fuel.2015.05.032

    2. [2]

      TAN X, LIU S, LIU Y, GU Y, ZENG G, HU X, WANG X, LIU S. Biochar as potential sustainable precursors for activated carbon production: multiple applications in environmental protection and energy storage[J]. Bioresour Technol, 2017,227:359-372. doi: 10.1016/j.biortech.2016.12.083

    3. [3]

      LI Wen-yue, WU Shi-yong, WU You-qing, HUANG Sheng, GAO Jin-sheng. Pore structure characterization of coconut shell char with narrow microporosity[J]. J Fuel Chem Technol, 2019,47(3):297-305.  

    4. [4]

      GENG Yi-de, LIANG Wei-guo, LIU Jian, KANG Zhi-qin, WU Peng-fei, JIANG Yu-long. Experimental study on the variation of pore and fracture structure of oil shale under different temperatures and pressures[J]. Chin J Rock Mech Eng, 2017,227(11):359-372.  

    5. [5]

      QIU Qian-yuan, CHEN Qian-yang, LIU Zhi-jun, LIU Jiang. Biochar derived from coconut as fuel for the direct carbon solid oxide fuel cell[J]. J Fuel Chem Technol, 2019,47(3):352-360.  

    6. [6]

      WANG An, LUO Zhong-yang, FANG Meng-xiang, CEN Jian-meng, YAO Peng. Influence of carbonization degree of coal pyrolytic pitch on the pore structure of carbon activated with KOH[J]. J Zhejiang Univ, 2018,52(8):1551-1557.  

    7. [7]

      ZHOU Fang-lei, HU Yu-yan, CHEN De-zhen. Production of CO by CO2 gasification of biomass-derived char[J]. Acta Energ Sol Sin, 2017,38(5):1440-1446.  

    8. [8]

      CHEN T, CAI J, LIU R. Combustion kinetics of biochar from fast pyrolysis of pine sawdust: isoconversional analysis[J]. Energy Sin, 2015,37(20):2208-2217.  

    9. [9]

      YOUSAF B, LIU G, ABBAS Q, WANG R, ALI M U, ULLAH H, LIU R, ZHOU C. Systematic investigation on combustion characteristics and emission-reduction mechanism of potentially toxic elements in biomass-and biochar-coal co-combustion systems[J]. Appl Energy, 2017,208:142-157. doi: 10.1016/j.apenergy.2017.10.059

    10. [10]

      DUNNIGAN L, ASHMAN P J, ZHANG X, KWONG C. Production of biochar from rice husk: Particulate emissions from the combustion of raw pyrolysis volatiles[J]. J Clean Prod, 2018,172:1639-1645. doi: 10.1016/j.jclepro.2016.11.107

    11. [11]

      BRASSARD P, GODBOUT S, RAGHAVAN V, PALACIOS H J, GRENIER M, DAN Z. The production of engineered biochars in a vertical auger pyrolysis reactor for carbon sequestration[J]. Energies, 2017,10(3)288. doi: 10.3390/en10030288

    12. [12]

      BAI Yun-po, YANG Yong, WANG Jue, ZHENG Lin, LIAN Peng-fei, QING Ming, WANG You-liang, WANG Hong, ZHANG Guang-ji. Effect of carbonization process on the strength and structure of Fe-based Fischer-Tropsch synthesis catalyst[J]. J Fuel Chem Technol, 2018,46(2):204-210. doi: 10.3969/j.issn.0253-2409.2018.02.010 

    13. [13]

      LI K, ZHU C, ZHANG L, ZHU X. Study on pyrolysis characteristics of lignocellulosic biomass impregnated with ammonia source[J]. Bioresour Technol, 2016,209:142-147. doi: 10.1016/j.biortech.2016.02.136

    14. [14]

      CHEN D, ZHENG Y, ZHU X. In-depth investigation on the pyrolysis kinetics of raw biomass. Part Ⅰ: Kinetic analysis for the drying and devolatilization stages[J]. Bioresour Technol, 2013,131:40-46. doi: 10.1016/j.biortech.2012.12.136

    15. [15]

      ZHU Xie-fei, LI Kai, MA Shan-wei, ZHU Xi-feng. Physicochemical characteristics and TGA of distillation residues from bio-oil[J]. J Fuel Chem Technol, 2017,45(1):29-33. doi: 10.3969/j.issn.0253-2409.2017.01.005 

    16. [16]

      LI Xiao-hui. Structure changes and electrochemical performance of activated carbon fibers during heat-treatment[D]. Shanghai: East China University of Science and Technology, 2018.

    17. [17]

      WANG Shuang, JIANG Xiu-min, WANG Qian, JI Heng-song. Fluidized bed combustion of seaweed biomass particles[J]. J Chem Ind Eng, 2013,64(5):1592-1600. doi: 10.3969/j.issn.0438-1157.2013.05.013

    18. [18]

      KRÓI M, GRYGLEWICAZ G, MACHNIKOWSKI J. KOH activation of pitch-derived carbonaceous materials-Effect of carbonization degree[J]. Fuel Process Technol, 2011,92(1):158-165. doi: 10.1016/j.fuproc.2010.09.019

    19. [19]

      LIN Shu-ping, XU Hao, LUO Shi-yuan, MA Zhi-chao, LIN Qi-liang. Preparation and property of pitch-based activated carbons with high surface area[J]. New Chem Mater, 2015,43(12):137-139.  

    20. [20]

      KANEKO K, ISHII C, RUIKE M. Origin of superhigh surface area and microcrystalline graphitic structures of activated carbons[J]. Carbon, 1992,30(7):1075-1088. doi: 10.1016/0008-6223(92)90139-N

    21. [21]

      WANG G, YANG J, PARK J, GOU X, WANG B, LIU H, YAO J. Facile synthesis and characterization of graphene nanosheets[J]. J Phys Chem C, 2008,112(22):8192-8195. doi: 10.1021/jp710931h

    22. [22]

      ZHANG L, LI S, LI K, ZHU X. Two-step pyrolysis of corncob for value-added chemicals and high quality bio-oil: Effects of pyrolysis temperature and residence time[J]. Energy Convers Manage, 2018,166:260-267. doi: 10.1016/j.enconman.2018.04.002

    23. [23]

      CHEN Hong, SUN Xue-xin, HAN Cai-yuan, CUI He-ping. Effects of porous structure on coal particle reactivity of combustion[J]. J Chem Ind Eng, 1994,4(3):327-333.  

    24. [24]

      XIONG Shao-wu, ZHANG Shou-yu, WU Qiao-mei, GUO Xi, DONG Ai-xia, CHEN Chuan, ZHENG Hong-jun, DENG Wen-xiang, LIU Da-hai, TANG Wen-jiao. Investigation on combustion characterisitcs and kinetics of bio-char[J]. J Fuel Chem Technol, 2013,64(8):958-965. doi: 10.3969/j.issn.0253-2409.2013.08.009 

    25. [25]

      ZOU Chong, WEN Liang-ying, ZHANG Sheng-fu, BAI Chen-guang, LV Xue-wei, WANG Kun, TAN Xiu-qin. Effect of calcium peroxide on combustion efficiency of pulverized coal[J]. Proc CSEE, 2012,32(5):15-20.  

  • 加载中
    1. [1]

      Jing ZhangSu ZhangQiqi LiLinken JiYutong LiYukang RenXiaobei ZangNing CaoHan HuPeng LiangZhuangjun Fan . Integrating high surface area and electric conductivity in activated carbon by in situ formation of the less-defective carbon network during selective chemical etching. Acta Physico-Chimica Sinica, 2025, 41(10): 100114-0. doi: 10.1016/j.actphy.2025.100114

    2. [2]

      Xia Shu Longtian Sima Jiali Wang Jiacheng Chu Xieyidai·Yusunjiang Mubareke·Maimaitijiang Yingwei Lu Yan Wang . Analysis of the Report Generated by the QuadraSorb evo BET Surface Area Analyzer. University Chemistry, 2025, 40(5): 391-400. doi: 10.12461/PKU.DXHX202411013

    3. [3]

      Zhaomei LIUWenshi ZHONGJiaxin LIGengshen HU . Preparation of nitrogen-doped porous carbons with ultra-high surface areas for high-performance supercapacitors. Chinese Journal of Inorganic Chemistry, 2024, 40(4): 677-685. doi: 10.11862/CJIC.20230404

    4. [4]

      Yuting ZHANGZunyi LIUNing LIDongqiang ZHANGShiling ZHAOYu ZHAO . Nickel vanadate anode material with high specific surface area through improved co-precipitation method: Preparation and electrochemical properties. Chinese Journal of Inorganic Chemistry, 2024, 40(11): 2163-2174. doi: 10.11862/CJIC.20240204

    5. [5]

      Heng ChenLonghui NieKai XuYiqiong YangCaihong Fang . Remarkable Photocatalytic H2O2 Production Efficiency over Ultrathin g-C3N4 Nanosheet with Large Surface Area and Enhanced Crystallinity by Two-Step Calcination. Acta Physico-Chimica Sinica, 2024, 40(11): 2406019-0. doi: 10.3866/PKU.WHXB202406019

    6. [6]

      Shuyong Zhang Yaxian Zhu Wenqing Zhang Yuzhi Wang Jing Lu . Ideological and Political Design of Combustion Heat Measurement Experiment: Determination of Heat Value of Agricultural and Forestry Wastes. University Chemistry, 2024, 39(2): 1-6. doi: 10.3866/PKU.DXHX202303026

    7. [7]

      Houzhen Xiao Mingyu Wang Yong Liu Bangsheng Lao Lingbin Lu Minghuai Yu . Course Ideological and Political Design of Combustion Heat Measurement Experiment. University Chemistry, 2024, 39(2): 7-13. doi: 10.3866/PKU.DXHX202310011

    8. [8]

      Qin′ai FENGJianjun LILili ZHANGLinxin WUHuiling WANGWenjing HOULei WANGMingjie REN . Amphiphilic surface modification of magnetic adsorbents and its adsorption properties of two microplastics. Chinese Journal of Inorganic Chemistry, 2026, 42(4): 789-807. doi: 10.11862/CJIC.20250208

    9. [9]

      Qi LiPingan LiZetong LiuJiahui ZhangHao ZhangWeilai YuXianluo Hu . Fabricating Micro/Nanostructured Separators and Electrode Materials by Coaxial Electrospinning for Lithium-Ion Batteries: From Fundamentals to Applications. Acta Physico-Chimica Sinica, 2024, 40(10): 2311030-0. doi: 10.3866/PKU.WHXB202311030

    10. [10]

      Yinyin Qian Rui Xu . Utilizing VESTA Software in the Context of Material Chemistry: Analyzing Twin Crystal Nanostructures in Indium Antimonide. University Chemistry, 2024, 39(3): 103-107. doi: 10.3866/PKU.DXHX202307051

    11. [11]

      Xin XIONGQian CHENQuan XIE . First principles study of the photoelectric properties and magnetism of La and Yb doped AlN. Chinese Journal of Inorganic Chemistry, 2024, 40(8): 1519-1527. doi: 10.11862/CJIC.20240064

    12. [12]

      Xueyu LinRuiqi WangWujie DongFuqiang Huang . Rational Design of Bimetallic Oxide Anodes for Superior Li+ Storage. Acta Physico-Chimica Sinica, 2025, 41(3): 100021-0. doi: 10.3866/PKU.WHXB202311005

    13. [13]

      Liang MAHonghua ZHANGWeilu ZHENGAoqi YOUZhiyong OUYANGJunjiang CAO . Construction of highly ordered ZIF-8/Au nanocomposite structure arrays and application of surface-enhanced Raman spectroscopy. Chinese Journal of Inorganic Chemistry, 2024, 40(9): 1743-1754. doi: 10.11862/CJIC.20240075

    14. [14]

      Xinting XIONGZhiqiang XIONGPanlei XIAOXuliang NIEXiuying SONGXiuguang YI . Synthesis, crystal structures, Hirshfeld surface analysis, and antifungal activity of two complexes Na(Ⅰ)/Cd(Ⅱ) assembled by 5-bromo-2-hydroxybenzoic acid ligands. Chinese Journal of Inorganic Chemistry, 2024, 40(9): 1661-1670. doi: 10.11862/CJIC.20240145

    15. [15]

      Hexing SONGZan SUN . Synthesis, crystal structure, Hirshfeld surface analysis, and fluorescent sensing for Fe3+ of an Mn(Ⅱ) complex based on 1-naphthalic acid. Chinese Journal of Inorganic Chemistry, 2025, 41(5): 885-892. doi: 10.11862/CJIC.20240402

    16. [16]

      Yuan Chun Yongmei Liu Fuping Tian Hong Yuan Shu'e Song Wanchun Zhu Yunchao Li Zhongyun Wu Xiaokui Wang Yunshan Bai Li Wang Jianrong Zhang Shuyong Zhang . Suggestions on Operating Specifications of Physical Chemistry Experiment: Measurement of Colloidal and Surface Chemical Properties, Molecular Structure and Properties. University Chemistry, 2025, 40(5): 178-188. doi: 10.12461/PKU.DXHX202503053

    17. [17]

      Yuting BaiCenqi YanZhen LiJiaqiang QinPei Cheng . Preparation of High-Strength Polyimide Porous Films with Thermally Closed Pore Property by In Situ Pore Formation Method. Acta Physico-Chimica Sinica, 2024, 40(9): 2306010-0. doi: 10.3866/PKU.WHXB202306010

    18. [18]

      Xuyu WANGXinran XIEDengke CAO . Photoreaction characteristics and luminescence modulation in phosphine-anthracene-based Au(Ⅰ) and Ir(Ⅲ) complexes. Chinese Journal of Inorganic Chemistry, 2025, 41(8): 1513-1522. doi: 10.11862/CJIC.20250113

    19. [19]

      Gang ZHANGJian ZHANGHaiyang CHUChongxin QIANLai WEI . Chlorobenzene additive-assisted regulation of (PMA)2PbBr4 crystal growth and photoelectric properties. Chinese Journal of Inorganic Chemistry, 2026, 42(4): 713-721. doi: 10.11862/CJIC.20250318

    20. [20]

      Zehao ZhangZheng WangHaibo Li . Preparation of 2D V2O3@Pourous Carbon Nanosheets Derived from V2CFx MXene for Capacitive Desalination. Acta Physico-Chimica Sinica, 2024, 40(8): 2308020-0. doi: 10.3866/PKU.WHXB202308020

Metrics
  • PDF Downloads(15)
  • Abstract views(2496)
  • HTML views(311)

通讯作者: 陈斌, bchen63@163.com
  • 1. 

    沈阳化工大学材料科学与工程学院 沈阳 110142

  1. 本站搜索
  2. 百度学术搜索
  3. 万方数据库搜索
  4. CNKI搜索
Address:Zhongguancun North First Street 2,100190 Beijing, PR China Tel: +86-010-82449177-888
Powered By info@rhhz.net

/

DownLoad:  Full-Size Img  PowerPoint
Return