Citation: LIU Ya-cong, DONG Mei, FAN Wei-bin, QIN Zhang-feng, WANG Jian-guo. The deactivation mechanism of Zn/HZSM-5 zeolites in ethylene aromatization reaction[J]. Journal of Fuel Chemistry and Technology, ;2018, 46(7): 826-834. shu

The deactivation mechanism of Zn/HZSM-5 zeolites in ethylene aromatization reaction

  • Corresponding author: DONG Mei, mdong@sxicc.ac.cn FAN Wei-bin, fanwb@sxicc.ac.cn
  • Received Date: 27 March 2018
    Revised Date: 4 May 2018

    Fund Project: Strategic Priority Research Program of the Chinese Academy of Sciences XDA21000000The project was supported by the National Key R & D Program of China (2018YFB0604802), National Natural Science Foundation of China (21573270, U1510104, 21773281) and Strategic Priority Research Program of the Chinese Academy of Sciences (XDA21000000)National Natural Science Foundation of China U1510104National Natural Science Foundation of China 21573270the National Key R & D Program of China 2018YFB0604802National Natural Science Foundation of China 21773281

Figures(9)

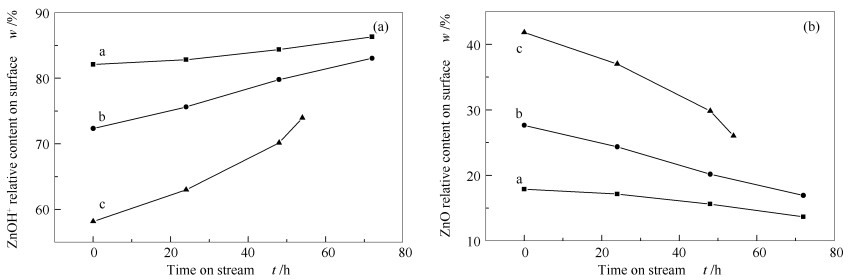
  • Zn/HZSM-5 zeolites, with zinc contents of 1%, 2%, and 3%, were prepared by impregnation method and characterized by XRD, N2 adsorption, NH3-TPD, Py-FTIR, XPS, and TG-DTA techniques to investigate the deactivation mechanism in ethylene aromatization reaction. It shows that coking is the main reason for catalysts deactivation, which is considerably depressed with the presence of Zn in the HZSM-5 catalysts. The deactivation is slow for the catalysts with low Zn loading. However, high content of Zn in the catalysts brings in problems such as decrease of surface area and microporous volume, and hence accelerates the deactivation. In the reaction, zinc species lose from the catalysts, accompanied with the migration and redistribution of Zn from bulk to surface of zeolite. The losing rate was constant with the time on stream, but influenced by the zinc content of the catalyst. ZnO on the external surface of the catalyst are the main species leaching from zeolite. Zn leaching is accelerated with the increase of zinc content, and has correlation with coking rate to some extent.
  • 加载中
    1. [1]

      NAYAK V S, CHOUDHARY V R. Selective poisoning of stronger acid sites on HZSM-5 in the conversion of alcohols and olefins to aromatics[J]. Appl Catal, 1984,9(2):251-261. doi: 10.1016/0166-9834(84)80069-X

    2. [2]

      KITAGAWA H, SENDODA Y, ONO Y. Transformation of propane into aromatic hydrocarbons over ZSM-5 zeolites[J]. J Catal, 1986,101(1):12-18. doi: 10.1016/0021-9517(86)90223-X

    3. [3]

      ONO Y, KANAE K. Transformation of butanes over ZSM-5 zeolites. Part 1.-Mechanism of cracking of butanes over H-ZSM-5[J]. J Chem Soc Faraday Trans, 1991,87(4):663-667. doi: 10.1039/FT9918700663

    4. [4]

      GUISNET M, GNEP N S, AITTALEB D, DOYEMET Y J. Conversion of light alkanes into aromatic hydrocarbons:VI. Aromatization of C2-4 alkanes on H-ZSM-5-reaction mechanisms[J]. Appl Catal A:Gen, 1992,87(2):255-270. doi: 10.1016/0926-860X(92)80060-P

    5. [5]

      BLEKEN F, SKISTAD W, BARBERA K, KUSTOVA M, BORDIGA S, BEATO P, LILLERUD K P, SVELLE S, OLSBYE U. Conversion of methanol over 10-ring zeolites with differing volumes at channel intersections:Comparison of TNU-9, IM-5, ZSM-11 and ZSM-5[J]. Phys Chem Chem Phys, 2011,13(7):2539-2549. doi: 10.1039/C0CP01982H

    6. [6]

      ZHANG L, LIU S, XIE S, XU L. Organic template-free synthesis of ZSM-5/ZSM-11 co-crystalline zeolite[J]. Microporous Mesoporous Mater, 2012,147(1):117-126. doi: 10.1016/j.micromeso.2011.05.033

    7. [7]

      MOLE T, ANDERSON J R, CREER G. The reaction of propane over ZSM-5-H and ZSM-5-Zn zeolite catalysts[J]. Appl Catal, 1985,17(1):141-154. doi: 10.1016/S0166-9834(00)82709-8

    8. [8]

      CHEN X, DONG M, NIU X, WANG K, CHEN G, FAN W, WANG J, QIN Z. Influence of Zn species in HZSM-5 on ethylene aromatization[J]. Chin J Catal, 2015,36(6):880-888. doi: 10.1016/S1872-2067(14)60289-8

    9. [9]

      NIU X, GAO J, WANG K, MIAO Q, DONG M, WANG G, FAN W, QIN Z, WANG J. Influence of crystal size on the catalytic performance of H-ZSM-5 and Zn/H-ZSM-5 in the conversion of methanol to aromatics[J]. Fuel Process Technol, 2017,157:99-107. doi: 10.1016/j.fuproc.2016.12.006

    10. [10]

      BISCARDI J A, MEITZNER G D, IGLESIA E. Structure and density of active Zn species in Zn/H-ZSM5 propane aromatization catalysts[J]. J Catal, 1998,179(1):192-202. doi: 10.1006/jcat.1998.2177

    11. [11]

      BERNDT H, LIETZ G, LUCKE B, VOLTER J. Zinc promoted H-ZSM-5 catalysts for conversion of propane to aromatics I. Acidity and activity[J]. Appl Catal A:Gen, 1996,146(2):351-363. doi: 10.1016/S0926-860X(96)00092-0

    12. [12]

      BERNDT H, LIETZ G, VOLTER J. Zinc promoted H-ZSM-5 catalysts for conversion of propane to aromatics Ⅱ. Nature of the active sites and their activation[J]. Appl Catal A:Gen, 1996,146(2):365-379. doi: 10.1016/S0926-860X(96)00124-X

    13. [13]

      NIU X, GAO J, MIAO Q, DONG M, WANG G, FAN W, QIN Z, WANG J. Influence of preparation method on the performance of Zn-containing HZSM-5 catalysts in methanol-to-aromatics[J]. Microporous Mesoporous Mater, 2014,197:252-261. doi: 10.1016/j.micromeso.2014.06.027

    14. [14]

      WEI Chun-lei, GAO Jie, WANG Kai, DONG Mei, FAN Wei-bin, QIN Zhang-feng, WANG Jian-guo. Effect of hydrogen pre-treatment on the catalytic properties of Zn/HZSM-5 zeolite for ethylene aromatization reaction[J]. Acta Phys Chim Sin, 2017,33(7):1483-1491. doi: 10.3866/PKU.WHXB201704133

    15. [15]

      ROESSNER F, HAGEN A, MROCZEK U, KARGE H G, STEINBERG K H. Conversion of ethane into aromatic compounds on zsm-5 zeolites modified by zinc[J]. Stud Surf Sci Catal, 1993,75:1707-1710. doi: 10.1016/S0167-2991(08)64515-2

    16. [16]

      CHENG Chang-rui, TAN Chang-yu, PENG Shao-yi. Study of lower paraffins to aromaticsⅡ. Conversion of light hydrocarbons over Zn/HZSM-5 catalysts[J]. J Fuel Chem Technol, 1995,23(3):289-294.  

    17. [17]

      ANUNZIATA O A, PIERELLA L B, MARINO R G. Selective transformation of light olefins into aromatic hydrocarbons over pentasil zeolites[J]. React Kinet Catal Lett, 1995,54(2):229-237. doi: 10.1007/BF02071013

    18. [18]

      CHEN Jun, ZHANG Liu, KANG Hui-min. Stability of Zn promoter in Zn/HZSM-5 catalyst for C3H8 aromatization[J]. Chin J Catal, 2000,21(2):128-131.  

    19. [19]

      SHE Li-qin, WANG Duo-cai, LI Xuan-wen, LIU Xing-yun, HAN Ming. The states of zinc in ZnZSM-5 zeolites and their catalysis[J]. Acta Phys Chim Sin, 1994,10(3):247-253.  

    20. [20]

      CHEN Jun, ZHANG Liu, KANG Hui-min, DING Fu-xin. XPS characterization and propane aromatization over zinc promoted HZSM-5 catalysts[J]. Acta Pet Sin (Pet Process Sect), 2000,16(5):8-13.  

  • 加载中
    1. [1]

      Yufang GAONan HOUYaning LIANGNing LIYanting ZHANGZelong LIXiaofeng LI . Nano-thin layer MCM-22 zeolite: Synthesis and catalytic properties of trimethylbenzene isomerization reaction. Chinese Journal of Inorganic Chemistry, 2024, 40(6): 1079-1087. doi: 10.11862/CJIC.20240036

    2. [2]

      Li LinSong-Lin TianZhen-Yu HuYu ZhangLi-Min ChangJia-Jun WangWan-Qiang LiuQing-Shuang WangFang Wang . Molecular crowding electrolytes for stabilizing Zn metal anode in rechargeable aqueous batteries. Chinese Chemical Letters, 2024, 35(7): 109802-. doi: 10.1016/j.cclet.2024.109802

    3. [3]

      Jiao WangShuang-Yan LangZhen-Zhen ShenGui-Xian LiuRui WenIn situ nanoscale insights into the interfacial degradation of Zn metal anodes. Chinese Chemical Letters, 2025, 36(8): 110308-. doi: 10.1016/j.cclet.2024.110308

    4. [4]

      Kaimin WANGXiong GUNa DENGHongmei YUYanqin YEYulu MA . Synthesis, structure, fluorescence properties, and Hirshfeld surface analysis of three Zn(Ⅱ)/Cu(Ⅱ) complexes based on 5-(dimethylamino) isophthalic acid. Chinese Journal of Inorganic Chemistry, 2024, 40(7): 1397-1408. doi: 10.11862/CJIC.20240009

    5. [5]

      Youlin SIShuquan SUNJunsong YANGZijun BIEYan CHENLi LUO . Synthesis and adsorption properties of Zn(Ⅱ) metal-organic framework based on 3, 3', 5, 5'-tetraimidazolyl biphenyl ligands. Chinese Journal of Inorganic Chemistry, 2024, 40(9): 1755-1762. doi: 10.11862/CJIC.20240061

    6. [6]

      Xiping DongXuan WangZhixiu LuQinhao ShiZhengyi YangXuan YuWuliang FengXingli ZouYang LiuYufeng Zhao . Construction of Cu-Zn Co-doped layered materials for sodium-ion batteries with high cycle stability. Chinese Chemical Letters, 2024, 35(5): 108605-. doi: 10.1016/j.cclet.2023.108605

    7. [7]

      Jie ZhouQuanyu LiXiaomeng HuWeifeng WeiXiaobo JiGuichao KuangLiangjun ZhouLibao ChenYuejiao Chen . Water molecules regulation for reversible Zn anode in aqueous zinc ion battery: Mini-review. Chinese Chemical Letters, 2024, 35(8): 109143-. doi: 10.1016/j.cclet.2023.109143

    8. [8]

      Xinxiu YanXizhe HuangYangyang LiuWeishang JiaHualin ChenQi YaoTao Chen . Hyperbranched polyamidoamine protective layer with phosphate and carboxyl groups for dendrite-free Zn metal anodes. Chinese Chemical Letters, 2024, 35(10): 109426-. doi: 10.1016/j.cclet.2023.109426

    9. [9]

      Yunfei Shen Long Chen . Gradient imprinted Zn metal anodes assist dendrites-free at high current density/capacity. Chinese Journal of Structural Chemistry, 2024, 43(10): 100321-100321. doi: 10.1016/j.cjsc.2024.100321

    10. [10]

      Qiaojia GUOJunkai CAIChunying DUAN . Effects of anions on the structural regulation of Zn-salen-modified metal-organic cage. Chinese Journal of Inorganic Chemistry, 2024, 40(11): 2203-2211. doi: 10.11862/CJIC.20240209

    11. [11]

      Yan-Kai ZhangYong-Zheng ZhangChun-Xiao JiaFang WangXiuling ZhangYuhang WuZhongmin LiuHui HuDa-Shuai ZhangLonglong GengJing XuHongliang Huang . A stable Zn-MOF with anthracene-based linker for Cr(VI) photocatalytic reduction under sunlight irradiation. Chinese Chemical Letters, 2024, 35(12): 109756-. doi: 10.1016/j.cclet.2024.109756

    12. [12]

      Chuyuan Lin Hui Lin Lingxing Zeng . Optimization strategy for rechargeable Zn metal batteries over wide-pH aqueous electrolytes. Chinese Journal of Structural Chemistry, 2025, 44(1): 100407-100407. doi: 10.1016/j.cjsc.2024.100407

    13. [13]

      Shilong LiMing ZhaoYefei XuZhanyi LiuMian LiQing HuangXiang Wu . Performance optimization of aqueous Zn/MnO2 batteries through the synergistic effect of PVP intercalation and GO coating. Chinese Chemical Letters, 2025, 36(3): 110701-. doi: 10.1016/j.cclet.2024.110701

    14. [14]

      Shuwen SUNGaofeng WANG . Design and synthesis of a Zn(Ⅱ)-based coordination polymer as a fluorescent probe for trace monitoring 2, 4, 6-trinitrophenol. Chinese Journal of Inorganic Chemistry, 2025, 41(4): 753-760. doi: 10.11862/CJIC.20240399

    15. [15]

      Lin Peng Xincheng Liang Zelong Sun Xingfa Chen Dexin Meng Renshu Huang Qian Liu Huan Wen Shibin Yin . Microenvironment regulation of anode-electrolyte interface enables highly stable Zn anodes. Chinese Journal of Structural Chemistry, 2025, 44(4): 100542-100542. doi: 10.1016/j.cjsc.2025.100542

    16. [16]

      Dong XiangKunzhen LiKanghua MiaoRan LongYujie XiongXiongwu Kang . Amine-Functionalized Copper Catalysts: Hydrogen Bonding Mediated Electrochemical CO2 Reduction to C2 Products and Superior Rechargeable Zn-CO2 Battery Performance. Acta Physico-Chimica Sinica, 2024, 40(8): 2308027-0. doi: 10.3866/PKU.WHXB202308027

    17. [17]

      Zihao WangJing XueZhicui SongJianxiong XingAijun ZhouJianmin MaJingze Li . Li-Zn alloy patch for defect-free polymer interface film enables excellent protection effect towards stable Li metal anode. Chinese Chemical Letters, 2024, 35(10): 109489-. doi: 10.1016/j.cclet.2024.109489

    18. [18]

      Xiao SANGQi LIUJianping LANG . Synthesis, structure, and fluorescence properties of Zn(Ⅱ) coordination polymers containing tetra-alkenylpyridine ligands. Chinese Journal of Inorganic Chemistry, 2024, 40(11): 2124-2132. doi: 10.11862/CJIC.20240158

    19. [19]

      Jing LIANGQian WANGJunfeng BAI . Synthesis and structures of cdq-topological quaternary and (4, 4, 8)-c topological quinary Zn-MOFs with both oxalic acid and triazole ligands. Chinese Journal of Inorganic Chemistry, 2024, 40(11): 2186-2192. doi: 10.11862/CJIC.20240177

    20. [20]

      Yanfen PENGXinyue WANGTianbao LIUXiaoshuo WUYujing WEI . Syntheses and luminescence of four Cd(Ⅱ)/Zn(Ⅱ) complexes constructed by 1,3‐bis(4H‐1,2,4‐triazole)benzene. Chinese Journal of Inorganic Chemistry, 2025, 41(7): 1416-1426. doi: 10.11862/CJIC.20250018

Metrics
  • PDF Downloads(13)
  • Abstract views(1572)
  • HTML views(286)

通讯作者: 陈斌, bchen63@163.com
  • 1. 

    沈阳化工大学材料科学与工程学院 沈阳 110142

  1. 本站搜索
  2. 百度学术搜索
  3. 万方数据库搜索
  4. CNKI搜索
Address:Zhongguancun North First Street 2,100190 Beijing, PR China Tel: +86-010-82449177-888
Powered By info@rhhz.net

/

DownLoad:  Full-Size Img  PowerPoint
Return