Citation: LIU You-chang, WANG Liang. Preparation of p-n heterojunction g-C3N4/BiOBr and its photocatalytic performance under visible light[J]. Journal of Fuel Chemistry and Technology, ;2018, 46(9): 1146-1152. shu

Preparation of p-n heterojunction g-C3N4/BiOBr and its photocatalytic performance under visible light

  • Corresponding author: WANG Liang, wangliang_good@163.com
  • Received Date: 2 April 2018
    Revised Date: 12 July 2018

Figures(7)

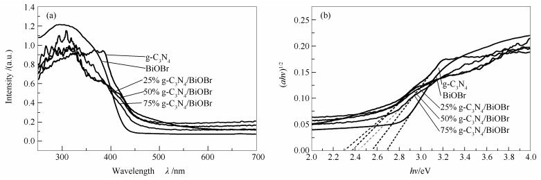
  • g-C3N4 nanosheet was obtained from the precursors melamine and BiOBr nanosheets was synthesized from the raw materials Bi(NO3)3·5H2O and KBr. The two-dimensional g-C3N4/BiOBr heterojunction was synthesized by hydrothermal method. The intimated interface and suitable crystal facets of g-C3N4 and BiOBr were favorable the combination of this two photocatalysts, resulting in enhancing the visible-light photocatalytic activity. The phase structure, optical absorption property as well as composition and structure of as-prepared materials were characterized by X-ray diffraction, transmission electron microscopy, X-ray photoelectron spectroscopy, ultraviolet-visible diffuse reflection spectroscopy (DRS) and photoluminescence emission spectroscopy. The potential mechanisms of constructing two-dimensional g-C3N4/BiOBr heterojunction were revealed. The photocatalytic activity of as-synthesized photocatalysts was evaluated by photocatalytic degradation of RhB under visible light (λ>420 nm) irradiation. Results show that the as-synthesized heterojunctions can significantly enhance photocatalytic activity in comparison with pure g-C3N4 and BiOBr. The mechanisms of enhanced photocatalytic performance were explained.
  • 加载中
    1. [1]

      JI L, WANG H R, YU R M. Preparation, characterization and visible-light photocatalytic activities of p-n heterojunction BiOBr/NaBiO3 composites[J]. Chem J Chin Univ, 2014,35(10):2170-2176.  

    2. [2]

      LUAN Y B, FENG Y J, WANG W X, XIE M Z, JING L Q. Synthesis of BiOBr-TiO2 nanocrystalline composite by micro-emulsion-like chemical precipitation method and its photocatalytic activity[J]. Acta Phys Chim Sin, 2013,29(12):2655-2660.  

    3. [3]

      CAI Q F, SHEN J C, YU F, SHEN Q H, YANG H. Template free preparation and characterization of nanoporous g-C3N4with enhanced visible photocatalytic activity[J]. J Alloys Compd, 2015,628(15):372-378.  

    4. [4]

      YUAN X, GAO S P. Band gap of C3N4 in the GW approximation[J]. Int J Hydrogen Energy, 2012,37(15):11072-11080. doi: 10.1016/j.ijhydene.2012.04.138

    5. [5]

      YAN S C, LI Z S, ZOU Z G. Photodegradation performance of g-C3N4 fabricated by directly heating melamine[J]. Langmuir, 2009,25(17):10397-10401. doi: 10.1021/la900923z

    6. [6]

      SUN Y J, ZHANG W D, XIONG T, ZHAO ZW, FANG D, WANG QR, WING K W. Growth of BiOBr nanosheets on C3N4 nanosheets to construct two-dimensional nanojunctions with enhanced photoreactivity for NO removal[J]. J Colloid Interface Sci, 2014,418:317-323. doi: 10.1016/j.jcis.2013.12.037

    7. [7]

      JIANG G D, GENG K, WU Y, HAN Y H, SHEN X D. High photocatalytic performance of ruthenium complexes sensitizing g-C3N4/TiO2 hybrid in visible light irradiation[J]. Appl Cata B:Environ, 2018,227:366-375. doi: 10.1016/j.apcatb.2018.01.034

    8. [8]

      ZHANG S W, LI J X, ZENG M Y, LI J, XU J Z, WANG X K. Bandgap engineering and mechanism study of nonmetal and metal ion codoped carbon nitride:C+Fe as an example[J]. Chem Eur J, 2014,20(31):9805-9812. doi: 10.1002/chem.201400060

    9. [9]

      LI Z S, YANG S Y, ZHOU J M, LI D H, ZHOU X F, DE C Y, FANG Y P. Novel mesoporous g-C3N4 and BiPO4 nanorods hybrid architectures and their enhanced visible-light-driven photocatalytic performances[J]. Chem Eng J, 2014,241:344-351. doi: 10.1016/j.cej.2013.10.076

    10. [10]

      WANG N N, ZHOU Y, CHEN C H, CHENG L Y, DING H Y. Ag-C3N4 supported graphene oxide/Ag3PO4 composite with remarkably enhanced photocatalytic activity under visible light[J]. Catal Commun, 2016,73:74-79. doi: 10.1016/j.catcom.2015.10.015

    11. [11]

      ZHANG D, LI J, WANG Q G, WU Q. High {001} facets dominated BiOBr lamellas:Facile hydrolysis preparation and selective visible-light photocatalytic activity[J]. J Mater Chem A, 2013,1(30):8622-8629. doi: 10.1039/c3ta11390f

    12. [12]

      ZHANG H J, LIU L, ZHOU Z. Towards better photocatalysts:First-principles studies of the alloying effects on the photocatalytic activities of bismuth oxyhalides under visible light[J]. Phys Chem Chem Phys, 2012,14(3):1286-1292. doi: 10.1039/C1CP23516H

    13. [13]

      PATIL S P, PATIL R P, MAHAJAN V K, SONAWANE G H, SHRIVASTAVA V S, SONAWANE S. Facile sonochemical synthesis of BiOBr-graphene oxide nanocomposite with enhanced photocatalytic activity for the degradation of direct green[J]. Mater Sci Semicond Process, 2016,52:55-61. doi: 10.1016/j.mssp.2016.05.008

    14. [14]

      LI X, DONG C, WU KL, SHAN H X, YU H, LING M, LIU K, LU X L, YE Y, WEI X W. Synthesis of nitrogen-doped graphene-BiOBr nanocomposites with enhanced visible light photocatalytic activity[J]. Mater Lett, 2016,164:502-504. doi: 10.1016/j.matlet.2015.10.128

    15. [15]

      JIANG T T, LI J L, SUN Z, LIU X J, LU T, RAN L K. Reduced graphene oxide as co-catalyst for enhanced visible light photocatalytic activity of BiOBr[J]. Ceram Int, 2016,42:16463-16468. doi: 10.1016/j.ceramint.2016.06.079

    16. [16]

      LI N, WANG M, ZHAO B P, CAO X L. g-C3N4-BiOBr composites:Synthesis and high photocatalytic performance under visible-light irradiation[J]. Chin J Inorg Chem, 2016,32(6):1033-1040.  

    17. [17]

      CAI Q F. Preparation and properties of g-C3N4/BiOBr composite photocatalyst[D]. Hangzhou: Zhejiang University, 2015. 

    18. [18]

      ZHANG X M, CHANG X F, GONDAL M A, ZHANG B, LIU Y S, JI G B. Synthesis and photocatalytic activity of graphene/BiOBr composites under visible light[J]. Appl Surf Sci, 2012,258:7826-7832. doi: 10.1016/j.apsusc.2012.04.049

    19. [19]

      YU X, SHI J J, FENG L J, LI C H, WANG L. A three-dimensional BiOBr/RGO heterostructural aerogel with enhanced and selective photocatalytic properties under visible light[J]. Appl Surf Sci, 2017,396:1775-1782. doi: 10.1016/j.apsusc.2016.11.219

    20. [20]

      YU X, WU P W, SHI J J, FENG L J, LI C H, WANG L. Ternary-component reduced graphene oxide aerogel constructed by g-C3N4/BiOBr heterojunction and graphene oxide with enhanced photocatalytic performance[J]. J Alloy Compd, 2017,729:162-170. doi: 10.1016/j.jallcom.2017.09.175

    21. [21]

      ZHANG W D. Preparation, characteration and visible light pthocatalytic oxidation performance of BiOBr and g-C3N4 in rhodamine B[D]. Chongqing: Chongqing University, 2015. 

    22. [22]

      JIANG Z, YANG F, YANG G D, KONG L, JONES M O, XIAO T C, EDWARDS P P. The hydrothermal synthesis of BiOBr flakes for visible-light-responsive photocatalytic degradation of methyl orange[J]. J Photochem Photobiol A:Chem, 2010,212(1):8-13. doi: 10.1016/j.jphotochem.2010.03.004

  • 加载中
    1. [1]

      Yingqi BAIHua ZHAOHuipeng LIXinran RENJun LI . Perovskite LaCoO3/g-C3N4 heterojunction: Construction and photocatalytic degradation properties. Chinese Journal of Inorganic Chemistry, 2025, 41(3): 480-490. doi: 10.11862/CJIC.20240259

    2. [2]

      Min WANGDehua XINWei ZHANGHaiying YANGYuchun WANGZhaorong LIUMeng SHILe SHI . Preparation and full-spectrum catalytic degradation performance of nitrogen vacancy g-C3N4/Bi/BiOBr/BiOI heterojunction material. Chinese Journal of Inorganic Chemistry, 2025, 41(11): 2283-2298. doi: 10.11862/CJIC.20250109

    3. [3]

      Jiawei HuKai XiaAo YangZhihao ZhangWen XiaoChao LiuQinfang Zhang . Interfacial Engineering of Ultrathin 2D/2D NiPS3/C3N5 Heterojunctions for Boosting Photocatalytic H2 Evolution. Acta Physico-Chimica Sinica, 2024, 40(5): 2305043-0. doi: 10.3866/PKU.WHXB202305043

    4. [4]

      Shiyi ChenJialong FuJianping QiuGuoju ChangShiyou Hao . Waste medical mask-derived carbon quantum dots enhance the photocatalytic degradation of polyethylene terephthalate (PET) over BiOBr/g-C3N4 S-scheme heterojunction. Acta Physico-Chimica Sinica, 2026, 42(1): 100135-0. doi: 10.1016/j.actphy.2025.100135

    5. [5]

      Qin LiHuihui ZhangHuajun GuYuanyuan CuiRuihua GaoWei-Lin DaiIn situ Growth of Cd0.5Zn0.5S Nanorods on Ti3C2 MXene Nanosheet for Efficient Visible-Light-Driven Photocatalytic Hydrogen Evolution. Acta Physico-Chimica Sinica, 2025, 41(4): 100031-0. doi: 10.3866/PKU.WHXB202402016

    6. [6]

      Ke LiChuang LiuJingping LiGuohong WangKai Wang . Architecting Inorganic/Organic S-Scheme Heterojunction of Bi4Ti3O12 Coupling with g-C3N4 for Photocatalytic H2O2 Production from Pure Water. Acta Physico-Chimica Sinica, 2024, 40(11): 2403009-0. doi: 10.3866/PKU.WHXB202403009

    7. [7]

      Tong WANGQinyue ZHONGQiong HUANGWeimin GUOXinmei LIU . Mn-doped carbon quantum dots/Fe-doped ZnO flower-like microspheres heterojunction: Construction and photocatalytic performance. Chinese Journal of Inorganic Chemistry, 2025, 41(8): 1589-1600. doi: 10.11862/CJIC.20250011

    8. [8]

      Yujia LITianyu WANGFuxue WANGChongchen WANG . Direct Z-scheme MIL-100(Fe)/BiOBr heterojunctions: Construction and photo-Fenton degradation for sulfamethoxazole. Chinese Journal of Inorganic Chemistry, 2024, 40(3): 481-495. doi: 10.11862/CJIC.20230314

    9. [9]

      Jingjing LiuAoqi WeiHao ZhangShuwang Duo . SnS2-based heterostructures: advances in photocatalytic and gas-sensing applications. Acta Physico-Chimica Sinica, 2025, 41(12): 100185-0. doi: 10.1016/j.actphy.2025.100185

    10. [10]

      Shijie LiKe RongXiaoqin WangChuqi ShenFang YangQinghong Zhang . Design of Carbon Quantum Dots/CdS/Ta3N5 S-scheme Heterojunction Nanofibers for Efficient Photocatalytic Antibiotic Removal. Acta Physico-Chimica Sinica, 2024, 40(12): 2403005-0. doi: 10.3866/PKU.WHXB202403005

    11. [11]

      Changjun YouChunchun WangMingjie CaiYanping LiuBaikang ZhuShijie Li . Improved Photo-Carrier Transfer by an Internal Electric Field in BiOBr/N-rich C3N5 3D/2D S-Scheme Heterojunction for Efficiently Photocatalytic Micropollutant Removal. Acta Physico-Chimica Sinica, 2024, 40(11): 2407014-0. doi: 10.3866/PKU.WHXB202407014

    12. [12]

      Deyun MaFenglan LiangQingquan XueYanping LiuChunqiang ZhuangShijie Li . Interfacial engineering of Cd0.5Zn0.5S/BiOBr S-scheme heterojunction with oxygen vacancies for effective photocatalytic antibiotic removal. Acta Physico-Chimica Sinica, 2025, 41(12): 100190-0. doi: 10.1016/j.actphy.2025.100190

    13. [13]

      Menglan WeiXiaoxia OuYimeng WangMengyuan ZhangFei TengKaixuan Wang . S-scheme heterojunction g-C3N4/Bi2WO6 highly efficient degradation of levofloxacin: performance, mechanism and degradation pathway. Acta Physico-Chimica Sinica, 2025, 41(9): 100105-0. doi: 10.1016/j.actphy.2025.100105

    14. [14]

      Yuanyin CuiJinfeng ZhangHailiang ChuLixian SunKai Dai . Rational Design of Bismuth Based Photocatalysts for Solar Energy Conversion. Acta Physico-Chimica Sinica, 2024, 40(12): 2405016-0. doi: 10.3866/PKU.WHXB202405016

    15. [15]

      Jianyin HeLiuyun ChenXinling XieZuzeng QinHongbing JiTongming Su . Construction of ZnCoP/CdLa2S4 Schottky Heterojunctions for Enhancing Photocatalytic Hydrogen Evolution. Acta Physico-Chimica Sinica, 2024, 40(11): 2404030-0. doi: 10.3866/PKU.WHXB202404030

    16. [16]

      Yadan LuoHao ZhengXin LiFengmin LiHua TangXilin She . Modulating reactive oxygen species in O, S co-doped C3N4 to enhance photocatalytic degradation of microplastics. Acta Physico-Chimica Sinica, 2025, 41(6): 100052-0. doi: 10.1016/j.actphy.2025.100052

    17. [17]

      Tong ZhouXue LiuLiang ZhaoMingtao QiaoWanying Lei . Efficient Photocatalytic H2O2 Production and Cr(Ⅵ) Reduction over a Hierarchical Ti3C2/In4SnS8 Schottky Junction. Acta Physico-Chimica Sinica, 2024, 40(10): 2309020-0. doi: 10.3866/PKU.WHXB202309020

    18. [18]

      Linfeng XiaoWanlu RenShishi ShenMengshan ChenRunhua LiaoYingtang ZhouXibao Li . Enhancing Photocatalytic Hydrogen Evolution through Electronic Structure and Wettability Adjustment of ZnIn2S4/Bi2O3 S-Scheme Heterojunction. Acta Physico-Chimica Sinica, 2024, 40(8): 2308036-0. doi: 10.3866/PKU.WHXB202308036

    19. [19]

      Jingzhuo TianChaohong GuanHaobin HuEnzhou LiuDongyuan Yang . Waste plastics promoted photocatalytic H2 evolution over S-scheme NiCr2O4/twinned-Cd0.5Zn0.5S homo-heterojunction. Acta Physico-Chimica Sinica, 2025, 41(6): 100068-0. doi: 10.1016/j.actphy.2025.100068

    20. [20]

      Kun RongCuilian WenJiansen WenXiong LiQiugang LiaoSiqing YanChao XuXiaoliang ZhangBaisheng SaZhimei Sun . Hierarchical MoS2/Ti3C2Tx heterostructure with excellent photothermal conversion performance for solar-driven vapor generation. Acta Physico-Chimica Sinica, 2025, 41(6): 100053-0. doi: 10.1016/j.actphy.2025.100053

Metrics
  • PDF Downloads(16)
  • Abstract views(1413)
  • HTML views(129)

通讯作者: 陈斌, bchen63@163.com
  • 1. 

    沈阳化工大学材料科学与工程学院 沈阳 110142

  1. 本站搜索
  2. 百度学术搜索
  3. 万方数据库搜索
  4. CNKI搜索
Address:Zhongguancun North First Street 2,100190 Beijing, PR China Tel: +86-010-82449177-888
Powered By info@rhhz.net

/

DownLoad:  Full-Size Img  PowerPoint
Return