Citation: Zhiwei Xi, Liqiu Liu, Yingchun Wang. Recent Advances in Palladium Catalyzed Isocyanide Reactions[J]. Chemistry, 2021, 84(5): 450-459.
钯催化异腈参与的反应研究进展
English
Recent Advances in Palladium Catalyzed Isocyanide Reactions
-
Key words:
- Isocyanide
- / Pd-catalysis
- / Insertion reaction
- / Coupling reaction
- / Tandem reaction
-
异腈又称胩,泛指形如R-NC的一类化合物,通常是具有恶臭和剧毒的无色液体或者固体。1859年,德国化学家Lieke[1]首次合成了第一个异腈化合物,由于异腈是以一对共振体的形式存在,末端碳原子介于二价与四价之间的特殊结构(图式 1),它易与亲核试剂、亲电试剂及自由基发生反应,从而打开了异腈化学时代的大门。近几十年来,随着异腈参与的插入反应迅速发展,异腈作为一类重要的活泼合成子参与各类有机合成反应,在高效合成天然产物、药物分子以及具有潜在生物活性的含氮分子或杂环化合物中具有广泛的应用[2]。另一方面,自然界中的许多天然异腈类化合物[3]和一些人工合成或改良后的异腈类化合物[4]皆具有良好的杀虫、抗菌、抗疟疾和抗肿瘤等活性。因此,异腈化合物在有机合成化学中占据着非常重要的地位。
图式 1
异腈的分子结构与CO类似,是非常重要的C1源[2a, 5],能与过渡金属表现出很强的配位能力,特别是Pd催化异腈参与的反应可高效便捷地构建C-C、C-N、C-O键等,而成为合成含氮非环或杂环化合物的有效策略[6]。Pd是一种多功能、应用广泛的过渡金属,它能够活化多种官能团,广泛应用于合成化学、材料化学以及医药工业等领域[7]。与Co、Cu、Ag、Ni、Ru等[8]过渡金属催化相比,Pd催化异腈参与的反应具有可预测性、高度的区域和立体选择性,较高的官能团兼容性、高效的转化率以及原子经济性等[9]优势。此外,Pd不仅能催化烯丙基磷酸酯高度区域选择性合成多种异腈化合物[10],也能与异腈形成络合物作为活性催化剂[11],还能与金属Sc结合异腈合成具有良好活泼特性的异质双金属催化体系[12]。因此,近几年Pd催化异腈参与的反应已被广泛应用于有机化学、药物化学和组合化学等。2013年,Wu课题组[2a]和Orru课题组[2b]详细地综述了过渡金属催化异腈参与反应的研究进展,但是近年来对Pd催化异腈参与的反应综述却鲜有报道,本文将根据不同反应类型介绍近几年有关Pd催化异腈参与反应的最新研究进展。
1. Pd催化异腈参与的插入反应
1974年,Saegusa课题组[13]首次报道了Pd催化异腈参与的插入反应。研究发现,以PdCl2为催化剂、THF为溶剂,叔丁基异腈与氨基醇或硫醇在66~80 ℃下反应5~11 h,可环化生成环状(硫代)咪唑(图式 2),以73%~98%的较高产率合成了7个相关目标产物,并提出了形成A中间体的反应机理。从此,过渡金属催化的异腈插入反应快速发展,尤其是对Pd催化异腈插入反应的研究最为广泛和深入,其中,Pd/Cu[14]和Pd/Ag[15]协同催化表现出独特高效的催化作用。Pd催化异腈插入反应的作用不同于路易斯酸催化的异腈插入反应,一般机理表现为氧化加成、异氰酸酯插入和还原消除的催化循环[16](图式 3)。
图式 2
图式 3
1.1 Pd催化异腈插入C-X和C-B键
异腈插入卤化物中的碳-卤键已被广泛研究和应用,反应模式通常是通过异腈的自由基加成或者过渡金属催化卤化物插入异氰酸酯。其中Pd催化异腈插入反应研究最为热门,能高效便捷地插入C(sp)-X、C(sp2)-X、C(sp3)-X(X=I,Br,Cl)、C-B等键,近几年国内外课题组对这方面的研究进行了大量的报道。
2016年,Yang等[17]用Pd催化异腈迁移插入法合成了C-膦酰基烯酮亚胺类化合物(图式 4)。这一方法具有良好的官能团兼容性和原子经济性,除了苄基异腈,其他脂肪族和芳基异腈都能得到相应的产物。质谱监测表明,反应形成的Pd(0)(tBuNC)2与氯(苯基)甲基膦酸二乙酯发生氧化加成得到α-磷酰化苄基Pd(Ⅱ)中间体,然后一分子异腈迁移插入得到α-膦酰化苄基亚胺Pd(Ⅱ)中间体,通过β-消除得到最终产物C-膦酰基烯胺类化合物和异腈Pd(0)中间体,为合成新烯酮亚胺类化合物提供了一种新的方法。所合成的C-膦烯基亚胺产物可进一步转化为β-氨基膦酸酯、β-氨基乙烯基膦酸酯以及C-磷酸化四唑等化合物。
图式 4
2019年,Li等[18]报道了Pd/Ag协同催化下,异氰酸盐、卤代炔烃和胺的多组分反应合成丙二酰胺类化合物(图式 5)。该反应可高效构建C(sp)-C(sp2)和C(sp2)=N键,且反应具有良好的底物普适性和官能团耐受性,各种脂肪族和芳香族的伯胺、对称和不对称的仲胺都能以良好的产率得到产物,但各种芳基异腈都不能发生反应。通过这种方法可进一步合成氨基喹啉、异噁唑和功能化的三唑等各种有用的骨架,证实了方法的实用性。
图式 5
最近,Chen等[19]报道了以叔丁基异腈为CO源、Pd催化芳基卤化物与有机铝试剂合成1, 2-二酮的新方法(图式 6),反应具有良好的官能团耐受性,多种芳基卤化物、烷基和芳基铝试剂都能以良好的产率得到相应的产物。在PdCl2作用下依次配位插入两分子异氰化物于芳基卤化物中,然后取代有机铝试剂,通过还原消除得到二亚胺产物,再经过水解后便可得到1, 2-二酮。
图式 6
此外,合成化学家对Pd催化异腈插入C-B键的反应研究也具有浓厚的兴趣。2017年,Chen等[20]报道了Pd/Cu协同催化下异腈与芳基硼酸或烯基硼酸的羧化反应(图式 7)。此反应底物范围广、官能团耐受性好,能以中等至优良的产率得到相应的羧酸。反应历程为:从芳基硼酸为原料开始,经过Pd(OAc)2金属化得到中间体芳基Pd(Ⅱ),接着一分子异腈插入得到中间体亚胺Pd(Ⅱ),然后可能与水作用,随后还原消除获得相应的羧酸和Pd(0),Pd(0)物种被Cu(Ⅱ)氧化,得到Pd(Ⅱ)物种,完成催化循环;也可能是直接通过还原消除得到亚胺Cu(Ⅱ)中间体,再经过两步水解获得最终产物。但是,此反应只适合叔丁基异腈。
图式 7
1.2 Pd催化异腈插入N-H和O-H键
近年来,Pd催化异腈插入N-H键的研究也有较多的报道。2018年,Clemenceau等[21]报道了Pd/Cu协同催化α-异氰乙酸甲酯、伯胺和芳基(乙烯基)卤代烃合成四取代咪唑啉酮(图式 8)的三组分反应。该方法以良好的产率形成了三个化学键,且底物范围广泛,各种伯胺、芳基(乙烯基)卤化物均能反应;但是,芳香胺不适用此类方法。机理研究表明,反应通过Cu2O催化α-异氰乙酸甲酯配位和迁移插入伯胺形成Cu(Ⅰ)中间体,接着分子内酰胺化后被卤化物Pd(Ⅱ)中间体金属化原位形成五元环Pd(Ⅱ)中间体,然后还原消除得到最终产物四取代咪唑啉酮和催化剂Pd(0)。该方法为构建重要的药用非芳香杂环提供了一种新的途径。
图式 8
另一方面,Pd催化异腈插入O-H键的反应也有报道,可以得到具有良好生物活性的产物。最近,Wang等[22]报道了一种方便、高效的Pd催化异腈和酰胺肟中合成5-氨基-1, 2, 4-噁二唑的方法(图式 9)。此方法产率适中,具有良好的官能团兼容性,原子经济性高,实验操作简单,反应温度低,可使用分子氧作氧化剂在温和条件下高效构建C-N和C-O键。不过此反应只适合各种脂肪族异腈,各类芳基异腈都不能发生反应。
图式 9
1.3 Pd催化异腈插入其他类型的键
近年来,Pd催化异腈插入C-S键的反应也有报道。2018年,Otsuka等[23]通过Pd催化叔丁基异腈和杂芳基硫化物反应合成了硫代酰亚胺(图式 10),并在酸性条件下可进一步合成用途广泛的硫代酯。该反应原料易得、底物普适性强,各种苯并噻唑硫化物和简单的噻唑、噁唑、呋喃、噻吩硫化物都能以良好的产率获得对应产物。但此反应只有叔丁基异腈产率较高,其他异腈产率较低或不能反应。通过结合Pummerer反应和Liebeskind-Srogl交叉偶联反应也成功合成了目标产物,进一步证实和拓展了反应的适用性,为合成杂环羰基化合物提供了一种新合成路径。
图式 10
除此之外,Pd催化异腈插入C-Pd(包括C(sp)-Pd、C(sp2)-Pd、C(sp3)-Pd)、Pd-N、Pd=N、Pd-O等[6c, 24]键的反应也有报道。总的来说,Pd催化异腈的插入反应已经成为有机合成化学中一种重要的方法。
2. Pd催化异腈参与的偶联反应
1975年,Ito等[25]首次报道了Pd/Ag协同催化异腈参与的氧化偶联反应。以PdCl2为催化剂、Ag2O为氧化剂、苯作溶剂,异腈与胺在20~80 ℃下反应0.5~7 h可生成碳二亚胺类化合物(图式 11)。他们利用此反应以77%~94%的较高产率合成了6个相关目标产物,并提出了一个形成卡宾络合物B中间体的机理。此后,Pd催化异腈参与的偶联反应得到了广泛的发展,通过这类反应可以快速高效便捷地构建C-C[26]、C-N[27]、C-O[28]键等,成为合成含氮分子或杂环化合物的有效策略,进一步丰富了异腈参与的反应类型以及拓展了异腈化学的研究范畴。
图式 11
Pd催化异腈参与的交叉偶联反应[29]、氧化偶联反应[30]、多组分偶联反应[31]等偶联反应是热门的研究方向。2017年,Hu等[32]报道了一种Pd催化异氰酸酯与炔基羧酸的交叉偶联反应,此反应条件简单温和、反应效率高、具有广泛的底物范围且可以通过不同溶剂来控制异腈单插入合成5-亚氨基呋喃酮和异腈双插入合成5-亚氨基吡咯啉酮衍生物(图式 12)。通过此方法高效构建了新的C-C、C-N键或者C-C、C-O键,而且具有良好的Z/E比率(71%~100%);遗憾的是,反应只适合于芳基、杂环炔酸和脂肪族异腈。推测反应机理为:以苯丙炔酸为原料在Pd(OAc)2催化下形成苯炔酸Pd中间体,接着插入一分子异腈形成亚胺酰Pd(Ⅱ)中间体,进行炔烃的反碳钯化反应或者顺式加成,然后在另一种钯物种的协助下进行可逆的E/Z异构化,在CH2Cl2溶剂中生成烯基Pd中间体,经过质子化便可得到5-亚氨基呋喃酮。在DMF溶剂中,分子内的酰基先发生转移形成氨基甲酰Pd(Ⅱ)中间体,接着发生脱羰反应生成酰胺Pd(Ⅱ)中间体,然后再插入一分子异腈得到亚胺Pd中间体,随后炔烃的迁移插入形成烯基Pd中间体,经过质子化得到5-亚氨基吡咯啉酮衍生物和Pd(Ⅱ)。该方法成功实现了不同溶剂控制异腈单插入或双插入合成不同的目标产物,也进一步说明了反应溶剂对Pd催化异腈反应有着重要的影响。
图式 12
2019年,Tao等[33]报道了Pd/Cu协同催化异腈、芳基硼酸以及2-(苯乙炔基)苯胺合成N-亚氨基-(1H)-吲哚的氧化偶联反应(图式 13)。通过此方法高效构建了C-C和C-N键,该方法条件温和、底物适用性好,为高效构建杂环分子提供了一种新的策略。遗憾的是,反应只适合芳基硼酸和脂肪族异腈,且R2为H时也不能进行类似的反应。
图式 13
此外,多组分偶联反应研究也比较广泛。2019年,Dechert-Schmitt等[34]通过Pd催化异腈参与的四组分偶联反应合成了不对称1, 2-二酮并进一步合成了喹噁啉类化合物(图式 14)。该反应产率适中,具有良好的官能团兼容性,适用于各种芳香和杂环芳基卤化物、各类脂肪族有机锌试剂,但都仅限于叔丁基异腈的反应。机理研究表明,形成Pd(Ⅱ)中间体络合物和碱的加入对这类反应的催化循环非常重要。近几年,也有研究者报道了其他经典类型的偶联反应,如Buchwald-Hatwaig交叉偶联反应[35]、Suzuki偶联反应[36]、Heck反应[37]、Sonogashira偶联反应[38]等。
图式 14
3. Pd催化异腈参与的串联反应
2002年,Curran等[39]首次报道了Pd/Ag共催化富电子芳基异腈插入与C-H芳基化相结合的级联反应(图式 15)。可合成多环喹啉并应用于生产具有抗癌、抗肿瘤作用的麦皮星酮、喜树碱和喜树碱衍生物,具有极高的医药价值,且具有良好的产率。该反应由Pd(OAc)2和Ag2CO3催化芳基异腈和6-碘代-N-炔丙基吡啶酮反应生成多环喹啉。反应从6-碘代-N-炔丙基吡啶酮开始,在Pd催化下,形成Pd中间体,接着一分子1, 1-加成形成亚胺Pd中间体,然后分子内加成形成乙烯基Pd中间体,随后氧化加成邻位C-H键和还原消除(或者芳香环化加成和钯氢消除)得到11H-吲哚并[1, 2-b]喹啉-9-酮。此反应中形成的是有机Pd中间体而不是自由基中间体。
图式 15
近二十年,Pd催化异腈参与的串联反应得到了广泛的发展,这类反应可以快速高效便捷地构建C-C[40]、C-N[41]、C-O[42]等键,可以有效合成杂环化合物,无需分离和纯化中间产物,极大地减少了对环境的污染,推动了异腈化学往绿色化学方向发展。更重要的是,此类反应操作简单、条件温和、产率较高,而且产物一般具有较好的生物活性,为研究异腈化学在生物医药等领域的应用奠定了良好的基础。
2018年,Tong等[43]报道了Pd催化异腈和硫代酰胺合成两种类型的噻唑衍生物的多步级联反应(图式 16);在K2CO3的作用下,进一步分子内环化得到多取代噻唑。该反应底物范围广,官能团耐受性好,并具有高效性和良好的化学选择性;各类异腈和硫代芳香酰胺都能以中等至优良的产率得到相应的产物。最重要的是,反应使用具有高度稳定和可回收重复使用的金属Pd掺磷多孔有机聚合物多相催化剂;不过脂肪族的硫代酰胺没有得到对应的产物。进一步通过MTT法检测了这些新化合物的体外抗癌活性,结果表明,间位为氟取代基的产物具有良好的抗肿瘤活性。
图式 16
研究表明,Pd催化异腈参与的偶联反应和串联反应能同时存在[44]。2019年,Chen等[45]报道了Pd催化的3-(2-异氰乙基)吲哚与重氮乙酸酯的交叉偶联反应及随后的螺环化/Mannich型反应的串联反应(图式 17),以良好的产率合成多环螺吲哚骨架。该反应底物范围广,官能团耐受性好,为合成具有利尿、抗菌作用的白坚木碱和消炎止痛的柯蒲木宁碱等生物碱的关键骨架提供了新的合成策略,在合成化学中具有极其重要的指导意义。
图式 17
4. Pd催化异腈参与的活化C-H键的反应
近几十年,过渡金属催化C-H键活化和官能化一直是化学家们研究的重点。2017年,Song等[46]对此进行了详细综述,他们指出,Pd是C-H键官能化中最常用的催化剂,这可能与这种金属离子的高亲电性以及C-H键与Pd容易发生亲电钯化反应有关,因此,Pd配合物仍然是碳氢化合物氧化偶联的主要催化体系,为高效构建C-C和C-X键提供了新策略。近年来,许多课题组报道了Pd催化异腈参与的活化C-H键的反应(图式 18),这类反应广泛应用于天然产物、药物、各种化学品等化合物的合成。
图式 18
Pd催化异腈参与C-H键活化可简单分为C(sp)-H、C(sp2)-H、C(sp3)-H键的活化,其中C(sp2)-H键活化的研究最为广泛。2018年,Luo等[47]报道了Pd催化的对映选择性异腈插入和不对称C(sp2)-H键活化反应,高效合成了平面手性吡啶并[3, 4-b]二茂铁(图式 19)。该反应条件温和,具有良好的官能团耐受性和较高的产率(77%~99%)以及对映选择性(72%~99% ee)。反应从N-(2-碘苯基)甲基丙烯酰胺开始,在Pd(OAc)2催化下经过氧化加成、分子内烯烃插入得到C(sp3)-Pd(Ⅱ)中间体,接着一分子二茂铁异腈插入通过亚胺基环化得到吡啶并[3, 4-b]二茂铁,为合成有机催化剂或配体设计提供了新的策略。当使用(R)-L*配体时,通过柱层析分离就能得到的两个非对映异构体(R, Sp)和(S, Sp),且具有良好的对映选择性(90% ee,97% ee),dr=1.7∶1。此外,Pd催化异腈参与的活化其他类型键的反应也有报道,如活化Si-Si键[48]的反应。
图式 19
5. Pd催化异腈参与的其他类型的反应
5.1 Pd催化异腈参与的自由基反应
近年来,金属催化或者光催化异腈作为高效便捷的自由基受体在级联反应中得到了新的关注,该方法已成功应用于重要的氮杂环化合物的合成,如菲啉、吲哚、喹啉、异喹啉等含氮杂环化合物[49]。其中,Pd催化通过单电子转移(SET)途径产生的自由基很容易加入到异腈碳原子中,形成相应的亚胺基自由基中间体,经过后续的环化反应最终得到氮杂环化合物(图式 20)[46]。
图式 20
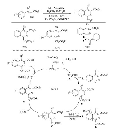
2017年,Liu等[50]报道了Pd催化异腈与二氟烷基溴化合物反应合成二氟烷基化菲啶衍生物(图式 21)。机理研究发现,反应从二氟烷基卤化合物开始,经过Pd(0)(Ln)促进SET历程产生二氟烷基自由基和Pd(Ⅰ)(Ln)X,接着与异腈形成亚胺基自由基中间体,随后分子内环化得到环己二烯基自由基中间体,然后可能是在碱作用下,失去质子得到自由基阴离子中间体,进一步与Pd(Ⅰ)(Ln)X反应得到二氟烷基化菲啶衍生物和Pd(0)(Ln),也可能是直接与Pd(Ⅰ)(Ln)X反应生成配合物Pd(Ⅱ)中间体,再经过β-氢消除得到目标产物和Pd(0)(Ln)。该反应也适用于全氟烷基碘化物,反应底物范围广,产率适中。
图式 21
5.2 Pd催化异腈参与的聚合反应
2017年,Huang等[51]报道了一种新的Pd催化异腈参与的多组分聚合(MCP)反应,高效合成聚炔丙基亚胺(图式 22)。该反应比Sonogashira反应具有更高的选择性,可获得高分子量(分子量达38200)和高收率的含亚胺聚合物,而且操作简单,底物范围广,反应条件温和。所得聚合物在普通有机溶剂中具有良好的溶解性、较高的热稳定性、折射率以及较好的成膜能力。更重要的是,含四苯基乙烯(TPE)的聚合物表现出聚集诱导发光(AIE)效应,能对各种酸性蒸气产生敏感的响应。然而,此反应不适合芳香族异腈。
图式 22
6. 结语
本文总结了近几年有关Pd催化异腈参与的不同反应类型。虽然,Pd催化异腈参与的反应能够快速高效地构建C1骨架,合成具有药物或生物活性的含氮化合物。但迄今为止,极少例子报道异腈多次插入反应,异腈的多次不可控制的插入反应机理仍是一个未解决的问题,配体、溶剂、异腈种类等都是重要的影响因素。因此,研究异腈与具有不同潜在反应位点的中间体的反应可能是实现异腈有序插入的有效策略。此外,由于不同取代基的异腈的空间位阻效应和异腈的强配位特性,大部分异腈参与的反应普适性较低。另一方面,Pd在地表含量较低、价格昂贵,从而开发具有高度稳定、较高活性、良好的化学选择性以及优良可回收利用性的Pd催化剂,或者寻找廉价等效的催化剂将会成为以后研究异腈化学的热点和重点,进一步优化异腈在有机化学、药物化学和组合化学中的研发与应用。
-
-
[1]
Lieke W. Ann. Chem. Pharm., 1859, 112: 316~321. doi: 10.1002/jlac.18591120307
-
[2]
(a) Qiu G, Ding Q P, Wu J. Chem. Soc. Rev., 2013, 42(12): 5257~5269; (b) Vlaar T, Ruijter E, Maes B U W, et al. Angew. Chem. Int. Ed., 2013, 52(28): 7084~7097; (c) Giustiniano M, Basso A, Mercalli V, et al. Chem. Soc. Rev., 2017, 46(5): 1295~1357.
-
[3]
(a) Pishchany G, Mevers E, Ndousse-Fetter S, et al. PNAS, 2018, 115(40): 10124~10129; (b) Daub M E, Prudhomme J, Mamoun C B, et al. ACS Med. Chem. Lett., 2017, 8(3): 355~360; (c) Carbone M, Ciavatta M L, Manzo E, et al. Mar. Drugs, 2019, 17(11): 603.
-
[4]
(a) Wang L J, Zhu M Y, Zhang Q B, et al. ACS Chem. Biol., 2017, 12(12): 3067~3075; (b) King A P, Marker S C, Swanda R V, et al. Chem. Eur. J., 2019, 25(39): 9206~9210; (c) Daub M E, Roosen P C, Vanderwal C D. J. Org. Chem., 2017, 82(9): 4533~4541; (d) Khatri Y, Hohlman R M, Mendoza J, et al. ACS Synth. Biol., 2020, 9(6): 1349~1360.
-
[5]
Boyarskiy V P, Bokach N A, Luzyanin K V, et al. Chem. Rev., 2015, 115(7): 2698~2779. doi: 10.1021/cr500380d
-
[6]
(a) Liu Y J, Xu H, Kong W J, et al. Nature, 2014, 515(7527): 389~393; (b) Tereniak S J, Stahl S S. J. Am. Chem. Soc., 2017, 139(41): 14533~14541; (c) Wang F, Xu P, Liu B B, et al. Org. Chem. Front., 2019, 6(22): 3754~3758.
-
[7]
(a) Knappke C E I, von Wangelin A J. Chem. Soc. Rev., 2011, 40(10): 4948~4962; (b) Enthaler S, Company A. Chem. Soc. Rev., 2011, 40(10): 4912~4924; (c) Kambe N, Iwasaki T, Terao J. Chem. Soc. Rev., 2011, 40(10): 4937~4947.
-
[8]
(a) Yan K L, Yang D S, Wei W, et al. Org. Chem. Front., 2016, 3(5): 556~560; (b) Gu Z Y, Liu Y, Wang F, et al. ACS Catal., 2017, 7(6): 3893~3899; (c) Ghorai S, Lin Y J, Xia Y Z, et al. Org. Lett., 2020, 22(2): 642~647; (d) Liu R J, Wang P F, Yuan W K, et al. Adv. Synth. Catal., 2017, 359(8): 1373~1378; (e) Zhang Z, Huang B L, Qiao G Y, et al. Angew. Chem. Int. Ed., 2017, 56(1): 4320~4323.
-
[9]
Sadjadi S, Heravi M M, Nazari N. RSC Adv., 2016, 6(58): 53203~53272. doi: 10.1039/C6RA02143C
-
[10]
Yurino T, Tani R, Ohkuma T. ACS Catal., 2019, 9(5): 4434~4440. doi: 10.1021/acscatal.9b00858
-
[11]
Okumura S, Sun F Z, Ishida N, et al. J. Am. Chem. Soc., 2017, 139(36): 12414~12417. doi: 10.1021/jacs.7b07667
-
[12]
Du J, Huang Z M, Zhang Y N, et al. Chem. Eur. J., 2019, 25(43): 10149~10155. doi: 10.1002/chem.201901424
-
[13]
Ito Y, Ito I, Hirao T, et al. Synth. Commun., 1974, 4(2): 97~103. doi: 10.1080/00397917408063498
-
[14]
(a) Cao M, Liu L Q, Tang S, et al. Adv. Synth. Catal., 2019, 361(8): 1887~1895; (b) Wu W Q, Li M, Zheng J, et al. Chem. Commun., 2018, 54(50): 6855~6858; (c) Sun H W, Tang S, Li D K, et al. Org. Biomol. Chem., 2018, 16(21): 3893~3896.
-
[15]
(a) Gao M C, Zou M F, Wang J, et al. Org. Lett., 2019, 21(6): 1593~1597; (b) Qiu G, Qiu X C, Liu J P, et al. Adv. Synth. Catal., 2013, 355: 2441~2446; (c) Wang L J, Ferguson J, Zeng F L. Org. Biomol. Chem., 2015, 13(47): 11486~11491.
-
[16]
Collet J W, Roose T R, Ruijter E, et al. Angew. Chem. Int. Ed., 2019, 59(2): 540~558.
-
[17]
Yang Q, Li C, Cheng M X, et al. ACS Catal., 2016, 6(7): 4715~4719. doi: 10.1021/acscatal.6b01253
-
[18]
Li M, Fang S J, Zheng J, et al. Org. Lett., 2019, 21(20): 8439~8443. doi: 10.1021/acs.orglett.9b03201
-
[19]
Chen B, Wu X F. Org. Lett., 2020, 22(2): 636~641. doi: 10.1021/acs.orglett.9b04414
-
[20]
Chen Z B, Liu K, Zhang F L, et al. Org. Biomol. Chem., 2017, 15(38): 8078~8083. doi: 10.1039/C7OB01428G
-
[21]
Clemenceau A, Wang Q, Zhu J P. Org. Lett., 2018, 20(1): 126~129. doi: 10.1021/acs.orglett.7b03479
-
[22]
Wang X, Fu J P, Xie J X, et al. Org. Biomol. Chem., 2020, 18(26): 4936~4940. doi: 10.1039/D0OB01092H
-
[23]
Otsuka S, Nogi K, Yorimitsu H. Angew. Chem. Int. Ed., 2018, 57(22): 6653~6657. doi: 10.1002/anie.201802369
-
[24]
(a) Chen S, Wei W X, Wang J, et al. Adv. Synth. Catal., 2017, 359(20): 3538~3544; (b) Qiu G, Mamboury M, Wang Q, et al. Angew. Chem. Int. Ed., 2016, 55(49): 15377~15381; (c) Palinkas N, Kollar L, Kegl T. ACS Omega, 2018, 3(11): 16118~16126; (d) Wang J, Luo S, Li J, et al. Org. Chem. Front., 2014, 1(11): 1285~1288.
-
[25]
Ito Y, Hirao T, Saegusa T. J. Org. Chem., 1975, 40(20): 2981~2982. doi: 10.1021/jo00908a038
-
[26]
(a) Kobiki Y, Kawaguchi S, Ogawa A. Org. Lett., 2015, 17(14): 3490~3493; (b) Chen Z, Duan H Q, Jiang X, et al. J. Org. Chem., 2015, 80(16): 8183~8188; (c) Tran C C, Kawaguchi S, Kobiki Y, et al. J. Org. Chem., 2019, 84(18): 11741~11751; (d) Xi Z W, He Y, Liu L Q, et al. Org. Biomol. Chem., 2020, 18(40): 8089~8093.
-
[27]
Zhu F X, Li Y H, Wang Z C, et al. Chem. Eur. J., 2016, 22(23): 7743~7746. doi: 10.1002/chem.201601262
-
[28]
Lu F L, Chen Z Y, Li Z, et al. Org. Lett., 2017, 19(15): 3954~3957. doi: 10.1021/acs.orglett.7b01548
-
[29]
Zhang Z, Li Z Y, Fu B, et al. Chem. Commun., 2015, 51(91): 16312~16315. doi: 10.1039/C5CC05981J
-
[30]
(a) Liu B F, Yin M Z, Gao H L, et al. J. Org. Chem., 2013, 78: 3009~3020; (b) Qian C, Liu K, Tao S W, et al. J. Org. Chem., 2018, 83(16): 9201~9209.
-
[31]
Wang B, He D, Ren B G, et al. Chem. Commun., 2020, 56(6): 900~903. doi: 10.1039/C9CC08438J
-
[32]
Hu W G, Li Z, Li J W, et al. Adv. Synth. Catal., 2017, 359(20): 3509~3514. doi: 10.1002/adsc.201700533
-
[33]
Tao S W, Zhou J Y, Liu R Q, et al. J. Org. Chem., 2019, 84(12): 8121~8130. doi: 10.1021/acs.joc.9b00990
-
[34]
Dechert-Schmitt A, Garnsey M R, Wisniewska H M, et al. ACS Catal., 2019, 9(5): 4508~4515. doi: 10.1021/acscatal.9b00581
-
[35]
Liu B, Gao H L, Yu Y, et al. J. Org. Chem., 2013, 78(20): 10319~10328. doi: 10.1021/jo401707j
-
[36]
Chen Z, Duan H Q, Jiang X, et al. Synlett, 2014, 25(123): 1425~1430.
-
[37]
Wang J, Tang S, Zhu Q. Org. Lett., 2016, 18(13): 3074~3077. doi: 10.1021/acs.orglett.6b01174
-
[38]
Tang T, Fei X D, Ge Z Y, et al. J. Org. Chem., 2013, 78(7): 3170~3175. doi: 10.1021/jo4001096
-
[39]
Curran D P, Du W. Org. Lett., 2002, 4(19): 3215~3218. doi: 10.1021/ol026408d
-
[40]
(a) Pathare R S, Sharma S, Elagandhula S, et al. Eur. J. Org. Chem., 2016, 2016(33): 5579~5587; (b) Ren Z L, He P, Lu W T, et al. Org. Biomol. Chem., 2018, 16(34): 6322~6331; (c) Hu W G, Li M, Jiang G B, et al. Org. Lett., 2018, 20(12): 3500~3503; (d) Huang J, Li F, Cui L, et al. Chem. Commun., 2020, 56(33): 4555~4558. https://www.cnki.com.cn/Article/CJFDTOTAL-SHEH201502004.htm
-
[41]
(a) Qiao G Y, Zhang Z, Huang B L, et al. Synthesis, 2018, 50(2): 330~340; (b) Peng X J, Qin F, Xu M Y, et al. Org. Biomol. Chem., 2019, 17(36): 8403~8407. https://www.cnki.com.cn/Article/CJFDTOTAL-SHEH201502004.htm
-
[42]
(a) Li Z, Zheng J, Hu W G, et al. Org. Chem. Front., 2017, 4(9): 1768~1771; (b) Chen D P, Yang M, Li J M, et al. J. Org. Chem., 2020, 85(10): 6441~6449. https://www.cnki.com.cn/Article/CJFDTOTAL-SHEH201502004.htm
-
[43]
Tong W, Li W H, He Y, et al. Org. Lett., 2018, 20(8): 2494~2498. doi: 10.1021/acs.orglett.8b00886
-
[44]
(a) Senadi G C, Hu W P, Boominathan S S K, et al. Chem. Eur. J., 2015, 21(3): 998~1003; (b) Feng Q X, Mu Z Y, Yao G, et al. Synlett, 2020, 31(10): 1003~1006. https://www.cnki.com.cn/Article/CJFDTOTAL-SHEH201502004.htm
-
[45]
Chen G S, Chen S J, Luo J, et al. Angew. Chem. Int. Ed., 2020, 59(2): 614~621. doi: 10.1002/anie.201911614
-
[46]
Song B R, Xu B. Chem. Soc. Rev., 2017, 46(4): 1103~1123. doi: 10.1039/C6CS00384B
-
[47]
Luo S, Xiong Z, Lu Y Z, et al. Org. Lett., 2018, 20(7): 1837~1840. doi: 10.1021/acs.orglett.8b00348
-
[48]
Tahara A, Nagino S, Sunada Y, et al. Organometallics, 2018, 37(15): 2531~2543. doi: 10.1021/acs.organomet.8b00302
-
[49]
(a) Qiu G, Sornay C, Savary D, et al. Tetrahedron, 2018, 74(49): 6966~6971; (b) Gu J W, Zhang X A. Org. Lett., 2015, 17(21): 5384~5387; (c) Sumino S, Ryu I. Org. Lett., 2016, 18(1): 52~55. https://www.cnki.com.cn/Article/CJFDTOTAL-QXXB201603001.htm
-
[50]
Liu Y L, Zhang K, Jiang W D, et al. Chem. Asian J., 2017, 12(5): 568~576. doi: 10.1002/asia.201601645
-
[51]
Huang H C, Qiu Z J, Han T, et al. ACS Macro Lett., 2017, 6(12): 1352~1356. doi: 10.1021/acsmacrolett.7b00872
-
[1]
-
-
扫一扫看文章
计量
- PDF下载量: 68
- 文章访问数: 7206
- HTML全文浏览量: 1286

下载:
下载: