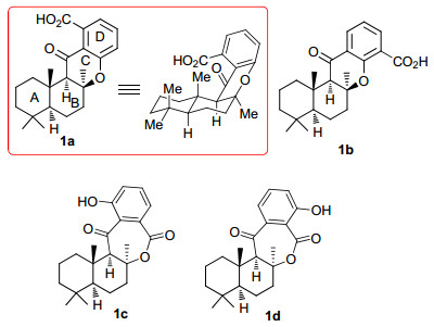
Asymmetric Total Synthesis of the Possible Structure 1b of 15-Oxopuupehenoic Acid
- Corresponding author: Xie Xingang, xiexg@lzu.edu.cn
Citation:
Song Huayue, Liu Lin, Xie Xingang. Asymmetric Total Synthesis of the Possible Structure 1b of 15-Oxopuupehenoic Acid[J]. Chinese Journal of Organic Chemistry,
;2020, 40(10): 3420-3425.
doi:
10.6023/cjoc202005058
(a) Kohmoto, S.; McConnell, O. J.; Wright, A.; Koehn, F.; Thompson, W.; Lui, M.; Snader, K. M. J. Nat. Prod. 1987, 50, 336.
(b) Sova, V.; Fedoreev, S. A. Khim. Prir. Soedin. 1990, 497.
(c) Longley, R. E.; McConnel, O. J.; Essich, E.; Harmody, D. J. Nat. Prod. 1993, 56, 915.
(d) El Sayed, K. A.; Dunbar, D. C.; Perry, T. L.; Wilkins, S. P.; Hamann, M. T.; Greenplate, J. T.; Wideman, M. A. J. Agric. Food Chem. 1997, 45, 2735.
(e) Faulkner, D. J. Nat. Prod. Rep. 1998, 15, 113 and references cited therein.
(f) ourguet-Kondracki, M. L.; Lacombe, F.; Guyot, M. J. Nat. Prod. 1999, 62, 1304.
(g) Popov, A. M.; Stekhova, S. I.; Utkina, N. K.; Rebachuk, N. M. Pharm. Chem. J. 1999, 33, 71.
(h) El Sayed, K. A.; Bartyzel, P.; Shen, X.; Perry, T. L.; Zjawiony, J. K.; Hamann, M. T. Tetrahedron 2000, 56, 949.
(i) Takamatsu, S.; Hodges, T. W.; Rajbhandari, I.; Gerwick, H.; Hamann, M. T.; Nagle, D. G. J. Nat. Prod. 2003, 66, 605.
(j) Pina, I. C.; Sanders, M. L.; Crews, P. J. J. Nat. Prod. 2003, 66, 2.
(k) Hamann, M. T. Curr. Pharm. Des. 2003, 9, 879.
(l) Graus, G. A.; Nguyen, T.; Bae, J.; Hostetter, J.; Steadham, E. Tetrahedron 2004, 60, 4223.
Robinson, S. J.; Hoobler, E. K.; Riener, M.; Loveridge, S. T.; Tenney, K.; Valeriote, F. A.; Holman, T. R.; Crews, P. J. Nat. Prod. 2009, 72, 1857.
doi: 10.1021/np900465e
Boulifa, E.; Fernández, A.; Alvarez, E.; Alvarez-Manzaneda, R.; Mansour, A. I.; Chahboun, R.; Alvarez-Manzaneda, E. J. Org. Chem. 2014, 79, 10689.
doi: 10.1021/jo502048y
Liu, L.; Song, H.-Y.; Chen, P.; Yuan, Z.-Y.; Feng, S.-B.; Zhang, W.-W.; Fang, B.-W.; Xie, X.-G.; She, X.-G. Org. Chem. Front. 2018, 5, 3013.
doi: 10.1039/C8QO00901E
Sumino, S.; Ui, T.; Ryu, I. Org. Chem. Front. 2015, 2, 1085.
doi: 10.1039/C5QO00185D
Wang, Z.-J.; Wang, X.-Y.; Wang, X.; Liang, Z.-W.; Xu, X. Catal. Commun. 2017, 101, 10.
doi: 10.1016/j.catcom.2017.06.005
Wójcik, P.; Sygellou, L.; Gniewek, A.; Skarżyńska, A.; Trzeciak, A. Chem. Cat. Chem. 2017, 9, 4397.
Gautam, P.; Bhanage, B. M. J. Org. Chem. 2015, 80, 7810.
doi: 10.1021/acs.joc.5b01160
Ketike, T.; Velpula, V. R. K.; Madduluri, V. R.; Kamaraju, S. R. R.; Burri, D. R. ChemistrySelect 2018, 3, 7164.
doi: 10.1002/slct.201801100
Song, H.-Y.; Liu, L.; Yang, M.-Y.; Wu, G.-M.; Chen, P.; Xie, X.-G.; She, X.-G. Org. Chem. Front. 2020, 7, 35.
doi: 10.1039/C9QO01027K
Gesson, J. P.; Jacquesy, J. C.; Renoux, B. Tetrahedron 1989, 45, 5853.
doi: 10.1016/S0040-4020(01)89112-2
Jinyao Du , Xingchao Zang , Ningning Xu , Yongjun Liu , Weisi Guo . Electrochemical Thiocyanation of 4-Bromoethylbenzene. University Chemistry, 2024, 39(6): 312-317. doi: 10.3866/PKU.DXHX202310039
Zhongyan Cao , Youzhi Xu , Menghua Li , Xiao Xiao , Xianqiang Kong , Deyun Qian . Electrochemically Driven Denitrative Borylation and Fluorosulfonylation of Nitroarenes. University Chemistry, 2025, 40(4): 277-281. doi: 10.12461/PKU.DXHX202407017
Xiyuan Zhang , Rui Dong , Yang Yang , Jiapeng Ding , Zhiwei Miao . Palladium-Catalyzed Tandem Cyclization of 4-Vinylbenzoxazinone and Indene-2-carbaldehyde: A Comprehensive Organic Chemistry Experiment. University Chemistry, 2025, 40(9): 361-367. doi: 10.12461/PKU.DXHX202410062
Chengxiao Zhao , Zhaolin Li , Dongfang Wu , Xiaofei Yang . SBA-15 templated covalent triazine frameworks for boosted photocatalytic hydrogen production. Acta Physico-Chimica Sinica, 2026, 42(1): 100149-0. doi: 10.1016/j.actphy.2025.100149
Yue Zhao , Yanfei Li , Tao Xiong . Copper Hydride-Catalyzed Nucleophilic Additions of Unsaturated Hydrocarbons to Aldehydes and Ketones. University Chemistry, 2024, 39(4): 280-285. doi: 10.3866/PKU.DXHX202309001
Guojie Xu , Fang Yu , Yunxia Wang , Meng Sun . Introduction to Metal-Catalyzed β-Carbon Elimination Reaction of Cyclopropenones. University Chemistry, 2024, 39(8): 169-173. doi: 10.3866/PKU.DXHX202401060
Weicheng Feng , Jingcheng Yu , Yilan Yang , Yige Guo , Geng Zou , Xiaoju Liu , Zhou Chen , Kun Dong , Yuefeng Song , Guoxiong Wang , Xinhe Bao . Regulating the High Entropy Component of Double Perovskite for High-Temperature Oxygen Evolution Reaction. Acta Physico-Chimica Sinica, 2024, 40(6): 2306013-0. doi: 10.3866/PKU.WHXB202306013
Ziyu Bai , Jiaxin Zhou , Sisi Zhao , Siyu Teng , Xinxin Li , Xiting Wang , Yuwei Dong , Zhen Zhao . Delving into the Captivating Color Transformation of Cobalt: Digital Empowerment of Intelligent Visual Robot Monitoring System for Measuring Thermodynamic Parameters. University Chemistry, 2026, 41(1): 122-132. doi: 10.12461/PKU.DXHX202505103
.
CCS Chemistry | 超分子活化底物为自由基促进高效选择性光催化氧化
. CCS Chemistry, 2025, 7(10.31635/ccschem.025.202405229): -.Yuan Yang , Jian Zhang , Shaomin Shuang . Promoting an All-English Teaching Approach in the Chemistry English Curriculum to Enhance Internationalization. University Chemistry, 2025, 40(5): 238-243. doi: 10.12461/PKU.DXHX202403079
Zihao Guo , Shichen Ma , Kin Shing Chan . 烯烃环化反应中6电子试剂的等瓣相似性和等电子关系. University Chemistry, 2025, 40(6): 160-166. doi: 10.12461/PKU.DXHX202408038
Fanpeng Meng , Fei Zhao , Jingkai Lin , Jinsheng Zhao , Huayang Zhang , Shaobin Wang . Optimizing interfacial electric fields in carbon nitride nanosheet/spherical conjugated polymer S-scheme heterojunction for hydrogen evolution. Acta Physico-Chimica Sinica, 2025, 41(8): 100095-0. doi: 10.1016/j.actphy.2025.100095
Wenlong Wang , Wentao Hao , Lang He , Jia Qiao , Ning Li , Chaoqiu Chen , Yong Qin . Bandgap and adsorption engineering of carbon dots/TiO2 S-scheme heterojunctions for enhanced photocatalytic CO2 methanation. Acta Physico-Chimica Sinica, 2025, 41(9): 100116-0. doi: 10.1016/j.actphy.2025.100116
Yiting Huo , Xin Zhou , Feifan Zhao , Chenbin Ai , Zhen Wu , Zhidong Chang , Bicheng Zhu . Boosting photocatalytic CO2 methanation through TiO2/CdS S-scheme heterojunction and fs-TAS mechanism study. Acta Physico-Chimica Sinica, 2025, 41(11): 100148-0. doi: 10.1016/j.actphy.2025.100148
Lili Jiang , Shaoyu Zheng , Xuejiao Liu , Xiaomin Xie . Copper-Catalyzed Oxidative Coupling Reactions for the Synthesis of Aryl Sulfones: A Fundamental and Exploratory Experiment for Undergraduate Teaching. University Chemistry, 2025, 40(7): 267-276. doi: 10.12461/PKU.DXHX202408004
Shiyan Cheng , Yonghong Ruan , Lei Gong , Yumei Lin . Research Advances in Friedel-Crafts Alkylation Reaction. University Chemistry, 2024, 39(10): 408-415. doi: 10.12461/PKU.DXHX202403024
Wenyan Dan , Weijie Li , Xiaogang Wang . The Technical Analysis of Visual Software ShelXle for Refinement of Small Molecular Crystal Structure. University Chemistry, 2024, 39(3): 63-69. doi: 10.3866/PKU.DXHX202302060
Xuefei Zhao , Xuhong Hu , Zhenhua Jia . 理论与计算化学在傅-克烷基化反应教学中的应用. University Chemistry, 2025, 40(8): 360-367. doi: 10.12461/PKU.DXHX202410008
Lihui Jiang , Wanrong Dong , Hua Yang , Yongqing Xia , Hongjian Peng , Jun Yuan , Xiaoqian Hu , Zihan Zeng , Yingping Zou , Yiming Luo . Study on Extraction of p-Hydroxyacetophenone. University Chemistry, 2024, 39(11): 259-268. doi: 10.12461/PKU.DXHX202402056
Liang TANG , Jingfei NI , Kang XIAO , Xiangmei LIU . Synthesis and X-ray imaging application of lanthanide-organic complex-based scintillators. Chinese Journal of Inorganic Chemistry, 2024, 40(10): 1892-1902. doi: 10.11862/CJIC.20240139