

Citation: Sun Jing, Cao Jun, Han Ying, Yan Chao-Guo. Progress in Multicomponent Reactions Involving 1, 3-Indanedione[J]. Chinese Journal of Organic Chemistry, 2020, 40(12): 4122-4146. doi: 10.6023/cjoc202005003

1, 3-茚满二酮参与的多组分反应研究进展
English
Progress in Multicomponent Reactions Involving 1, 3-Indanedione
-
Key words:
- 1, 3-indanedione
- / heterocycle
- / multicomponent reaction
- / cycloaddition reaction
- / Domino reaction
-
在形式多样的碳环和杂环化合物中, 含茚酮结构片段的稠环化合物是一类重要的化合物骨架, 在药物化学中得到了广泛的应用, 已成为各种生物活性物质、合成药物和农用化学品的重要组分.文献报道, 含茚酮片段的许多衍生物具有多种药理活性[1], 包括抗惊厥药、抗微生物药、抗癌药、抗炎药和氧化酶等, 在生物和化学领域得到了广泛应用, 引起了研究人员的广泛兴趣.含茚酮片段或由茚酮片段衍生出来的多环结构广泛存在于多种天然产物中, 例如Pterosin P (4), Monachosorin A (5), Pauciflorol F (6), Purpurogallin (7), Theaflavic acid (8)和Pubialatin B (9)等.市场上也有很多含茚酮及其衍生物片段的药物, 例如抗帕金森病药Donepezil (10), 抗耐药性恶性疾病药Indanocine (11), 蛋白酶抑制剂Crixivan (12)和利尿剂Indacrinone (13)等.很多人工合成的含茚酮结构的酰胺类化合物14和15能诱导细胞程序化死亡, 具有潜在的抗癌药开发前景.
方便易得的1, 3-茚满二酮是合成含茚酮结构片段的稠环化合物最合适的原料, 1, 3-茚满二酮是一种典型的环状1, 3-二羰基化合物[2], 所具有的一个亚甲基、两个羰基和苯环结构以及高活性烯醇化形式, 使其具有连续的三个亲电反应和亲核反应位点.另一方面, 1, 3-茚满二酮能够在酸或碱催化下发生自身多分子缩合[3], 形成一系列稠环多羰基化合物. 1, 3-茚满二酮(1)与芳香醛2发生Knoevenagel反应得到的2-芳亚甲基-1, 3-茚满二酮3, 是活泼的α, β-不饱和羰基化合物, 因此1, 3-茚满二酮具有多重反应活性, 可作为多组分反应和多米诺反应中的关键底物, 构建一系列螺环、桥环以及稠环化合物[4].本文总结了近年来1, 3-茚满二酮参与的一系列多组分串联反应以及其在构建具有重要生物学活性的茚酮稠合多环化合物方面的应用.
1. 合成三元环状化合物
三元环是最小的环, 环张力较大, 通常含三元环的化合物, 都具有较高的反应活性.含三元环的化合物经常被用作反应中间体, 在一定条件下使三元环发生开环反应, 为在医药和生物等方面有应用价值的化合物提供了有效的合成途径.环丙烷的合成方法很多, 如Simoms-Smith反应、叶立德与烯烃的环化、碱催化α-卤代物与烯烃的环化以及金属介导的烯烃与重氮化合物的反应[5].
2009年, 王官武课题组[6]在无溶剂存在下, 以单质碘作氧化剂、4-二甲氨基吡啶(DMAP)为碱, 在研磨机中实现了两分子1, 3-茚满二酮与一分子芳醛的“一锅法”反应, 形成环丙烷双螺环衍生物16的反应(Scheme 1).该反应具有反应时间短、原料易得、操作简便和产率高等特点, 是环丙烷类化合物绿色合成的一种快捷方法.
图式 1
2010年, 曹卫国等[7]报道了在二氯甲烷中, 碳酸钾或氟化钾存在下, 2-(4-三氟甲基苯亚甲基)-1, 3-茚满二酮(3a)与鉮盐17的环加成反应(Scheme 2), 可高产率和高立体选择性地得到以反式构型为主的含三氟甲基的3'-螺环丙基取代的茚满二酮衍生物18.
图式 2
2013年, 林文伟课题组[8]报道了碱催化下的2-芳亚甲基-1, 3-茚满二酮3与含吸电子基团的α-卤代化合物19的反应(Scheme 3), 在手性硫脲催化剂存在下, 得到了具有两个手性中心的环丙烷衍生物20. 2020年, Bako等[9]也报道了类似环加成反应.
图式 3
2015年, Bavantula等[10]用“一锅法”的方式合成了多取代环丙烷衍生物(Scheme 4).该反应只需催化量的吡啶, 反应首先在常温条件下形成活泼的N-苯甲酰基亚基吡啶盐中间体, 随后在加热条件下脱去吡啶形成三元环22, 同时吡啶进入催化循环.
图式 4
2017年, 颜朝国课题组[11]报道了溴化异喹啉盐、芳香醛2和1, 3-茚满二酮1之间的三组分反应(Scheme 5).当异喹啉季铵盐的取代基为对硝基苄基(23)时, 以53%~75%产率得到了环丙烷衍生物24, 反应过程中脱去异喹啉.
图式 5
同年, 颜朝国课题组[12]发现在三联吡啶氯化钌光敏剂存在下, 可以顺利实现2-芳亚甲基-1, 3-茚满二酮3的光催化环氧化, 生成螺[环氧丙烷-茚满二酮]衍生物25 (Scheme 6).
图式 6
2. 合成五元环状化合物
含五元环结构的杂环化合物, 如呋喃、吡咯、噻吩、吡唑、噻唑和咪唑等, 杂原子的存在使得环的电子云密度升高从而使环活化, 具有较高的亲电取代反应活性.含五元环结构的衍生物在化学领域具有丰富的应用.通常在反应中引入杂原子以得到多元杂环结构产物.构建五元环常见的方法有[3+2]和[4+1]环加成反应.
2.1 [3+2]环加成反应构建五元环状化合物
2.1.1 合成螺环化合物
在碱作用下, 1, 3-茚满二酮与芳香醛很容易缩合形成2-芳亚甲基-1, 3-茚满二酮, 这是许多串联反应的常用起始原料. 2012年, 施敏课题组[13]报道了在甲苯溶剂中, 手性硫脲催化2-芳亚甲基-1, 3-茚满二酮与Morita-Baylis-Hillman (MBH)碳酸酯衍生物的不对称合成反应, 但此反应在0 ℃条件下反应需要6 d. 2016年, 陈应春课题组[14]拓展了此反应(Scheme 7), 采用手性膦催化剂, 2-芳亚甲基-1, 3-茚满二酮3与靛红衍生的MBH碳酸酯26环化反应, 使用不同手性催化剂, 反应的立体选择性完全不同, 而且反应时间也大大缩短, 产率可达90%, 以较高的非对映选择性得到产物27和28.
图式 7
2020年, 陈应春课题组[15]又报道了2-芳亚甲基- 1, 3-茚满二酮3与活化的2-芳亚甲基-1-茚满酮29之间的不对称环加成反应(Scheme 8).反应仅需1 mol%的手性催化剂, 能够以优异的非对映选择性和对映选择性得到一系列含茚酮结构的螺环化合物30.
图式 8
2016年, 颜朝国课题组[16]报道了2-芳亚甲基-1, 3-茚满二酮3与1, 3-偶极子偶氮亚甲胺31的[3+2]环加成生成螺[茚-2, 2'-吡唑并[1, 2-a]吡唑]衍生物32的反应(Scheme 9), 该反应具有条件温和、非对映选择性好以及较高产率等特点. Kumar等[17]也报道了类似反应, 他们以L-脯氨酸为催化剂, 将芳香醛、1, 3-茚满二酮和偶氮甲亚胺三组分进行“一锅法”反应, 0.5 h就能以令人满意的产率得到目标产物, 大大缩短了反应时间.
图式 9
同样, 由脯氨酸与芳醛形成的1, 3-偶极子与2-芳亚甲基-1, 3-茚满二酮3的[3+2]环加成反应(Scheme 10), 生成具有抗高血压和抗炎活性的螺吡咯嗪衍生物35和36[18].由于脯氨酸与芳醛形成的1, 3-偶极子存在两种共振式, 通过[3+2]环加成反应形成了两种位置异构体(Scheme 11).
图式 10
图式 11
2016年, 颜朝国课题组[19]报道了以三乙胺作催化剂, 溴化-N-苯甲酰基苯并噻唑37、芳香醛2和1, 3-茚满二酮(1)在乙醇中的三组分反应(Scheme 12), 生成官能化的螺[苯并-[d]吡咯并[2, 1-b]噻唑-3, 2'-茚]衍生物38, 该反应具有产率高及非对映选择好等特点.如在同样的反应条件下, 将溴化-N-苯甲酰基苯并噻唑盐替换成溴化-N-正丁基-N'-苯甲酰基苯并咪唑(39), 反应却按照不同的反应方向进行, 以高产率形成两性离子盐40[20].在第一步Michael加成完成后, 并没有继续进行预期的环化过程.这一结果不仅表明溴化-N-苯甲酰基苯并噻唑与溴化-N-正丁基-N'-苯甲酰基苯并咪唑的反应性能不同, 而且说明此环加成反应是分步进行的.
图式 12
2017年, 颜朝国课题组[21]报道了三乙胺促进的2-芳亚甲基-1, 3-茚满二酮3与氯化-N-氰甲基异喹啉(41)的串联环加成反应(Scheme 13), 在干燥的四氢呋喃中, 可得到预期的螺[茚-2, 1'-吡咯并[2, 1-a]异喹啉]衍生物42.但如果还是以三乙胺作碱, 溶剂换为乙腈, 1, 3-茚满二酮、芳香醛及氯化-N-氰甲基异喹啉三组分却发生了串联的双[3+2]环加成反应, 以令人满意的产率生成了结构独特的[苯并[f]咪唑并[5, 1, 2-cd]-吲哚嗪-4, 2'-茚]衍生物43.反应过程如Scheme 14所示:首先在三乙胺的催化下, 1, 3-茚满二酮与芳香醛形成缩合2-芳亚甲基-1, 3-茚满二酮, N-氰甲基异喹啉氯化物在三乙胺作用下形成氮叶立德; 然后2-芳亚甲基-1, 3-茚满二酮与氮叶立德发生[3+2]环加成反应形成化合物42; 最后化合物42与另一分子1, 3-茚满二酮发生环加成反应形成化合物43.
图式 13
图式 14
同年, 颜朝国课题组[12]还报道了可见光催化的四氢异喹啉衍生物44与2-芳亚甲基-1, 3-茚满二酮3的[3+2]环加成形成吡咯并[2, 1-a]异喹啉衍生物45的反应(Scheme 15).显然在光照条件下N-取代四氢异喹啉衍生物形成1, 3-偶极子, 再与2-芳亚甲基-1, 3-茚满二酮进行[3+2]环加成反应.反应具有很高的非对映选择性.
图式 15
2016年, 颜朝国课题组[22]报道了三苯基膦(46)、2-芳亚甲基-1, 3-茚满二酮3与2-烯-4-炔己二酸二酯47在干燥的乙二醇二甲醚(DME)中合成1', 3'-二氢螺[环戊烷-1, 2'-茚满]-2-烯衍生物48的多组分反应(Scheme 16), 反应条件温和, 以高产率和高非对映选择性得到螺环产物.在相同条件下, 三苯基膦、2-芳亚甲基-1, 3-茚满二酮与丁炔二酸二酯49的三组分反应也生成螺环产物[23].在反应过程中三苯基膦不仅是驱动反应的亲核催化剂, 而且以异立德的形式保留在螺环产物结构中.
图式 16
2017年, 颜朝国课题组[24]报道了乙醇作溶剂, 2-芳亚甲基-1, 3-茚满二酮3、α-氨基酸和丁炔二酸二酯49的三组分反应(Scheme 17). α-氨基酸与丁炔二酸二酯形成的新型活性偶氮甲亚胺偶极中间体, 具有不同的立体构型, 其与2-芳亚甲基-1, 3-茚满二酮的1, 3-偶极环加成反应, 也表现出反应的多样性.当氨基酸为脯氨酸(51)或硫代脯氨酸时, 产物为螺[茚-2, 2'-吡咯嗪]或螺[茚-2, 6'-吡咯-[1, 2-c]噻唑]衍生物55.当氨基酸为肌氨酸(52)时, 生成螺[茚-2, 3'-吡咯烷]衍生物56.甘氨酸(53)参加反应时, 生成了不同构型的螺[茚-2, 3'-吡咯烷]衍生物57; 丙氨酸、苯丙氨酸或亮氨酸等烷基取代氨基酸54参加反应时, 由于烷基的立体效应, 生成了两种结构的螺[茚-2, 3'-吡咯烷]衍生物58和59; 而不同结构的氨基酸, 反应的区域选择性和非对映选择性也有所不同.此反应具有原料易得、条件温和及操作简便等优点, 为合成多样性的杂环化合物分子提供了方便途径, 具有很高的潜在应用价值.
图式 17
同年, 颜朝国课题组[25]发现甘氨酸乙酯盐酸盐(60)可在上述反应中代替α-氨基酸发生类似反应(Scheme 18).在乙醇中, 三乙胺促进盐酸甘氨酸乙酯与丁炔二酸二酯49反应得到了另一种新型的1, 3-偶极偶氮甲亚胺叶立德, 其可与2-芳亚甲基-1, 3-茚满二酮3发生[3+2]环加成, 以高度的非对映选择性和中等至良好的产率生成了官能化的螺[茚-2, 3'-吡咯烷]衍生物61和62.
图式 18
2017年, 魏晔课题组[26]报道了在CuBr催化下, 酮肟醚63与2-芳亚甲基-1, 3-茚满二酮3形成螺-2H-吡咯骨架衍生物64的反应(Scheme 19).该反应简单高效, 操作简便, 具有广泛的底物拓展性和良好的官能团相容性.此法可用于各类含吡咯骨架衍生物的构建, 还被成功用于生物活性孕烯醇酮衍生物的后期修饰.
图式 19
2018年, 林文伟课题组[27]报道了在碱性条件下, 2-羟基苯亚甲基-1, 3-茚满二酮(3b)与亚基丙二酸二乙酯65的1, 3-偶极环加成反应(Scheme 20).利用两个不同的有机碱DMAP (66)和四甲基胍(TMG) (67), 生成两种形式的偶氮甲亚胺中间体, 从而通过不同的环加成反应途径得到两种苯并吡咯烷衍生物70和71.该反应产率中等, 并具有出色的非对映选择性.
图式 20
同年, 林文伟课题组[28]还报道了手性催化下3-乙酰基香豆素72与2-芳亚甲基-1, 3-茚满二酮3的[3+2]环加成反应(Scheme 21), 成功合成了一系列带有四个连续的立体异构中心的茚满稠合的螺环戊烷衍生物73.
图式 21
2020年, 郭凯课题组[29]报道了铜催化的2-芳亚甲基-1, 3-茚满二酮3与N-乙酰基酰胺74形成螺吡咯啉衍生物75的[3+2]环加成反应(Scheme 22), 为将吡咯啉这一重要的药物核心组成结构应用于药物化学提供了新思路.
图式 22
2019年, 颜朝国课题组[30]报道了在乙酸催化下, 四氢吡咯(76)、芳香醛2和2-芳亚甲基-1, 3-茚满二酮3在回流的甲苯中形成7'-芳亚甲基螺并[茚-2, 1'-吡咯烷酮]衍生物77的三组分反应(Scheme 23).其中两分子芳香醛参加反应.该反应不仅包含正常的1, 3-偶极中间体, 而且还通过氮原子β-C—H的活化作用, 形成β-芳亚甲基取代的1, 3-偶极中间体.后者与2-芳亚甲基-1, 3-茚满二酮进行[3+2]环加成反应.
图式 23
近年来, 含氟α-氨基酸受到广泛研究.含氟α-或β-氨基酸或肽会严重影响机体生物化学和生物物理特性[31-32], 引入三氟甲基是改变生物活性分子性质的一种特别有效的方法[33-34].
2019年, Waser等[35]报道了在相转移催化剂季铵盐催化下, 3, 3, 3-三氟甲基氨基酸与芳香醛衍生的亚胺78和2-芳亚甲基-1, 3-茚满二酮之间的[3+2]环化形成新型螺环α-CF3-α-脯氨酸衍生物79的反应(Scheme 24).
图式 24
2.1.2 合成稠环化合物
2017年, 苗志伟课题组[36]报道了以甲苯作溶剂, 三苯膦存在下, 2-芳亚甲基-1, 3-茚满二酮3与过量的偶氮二甲酸二酯(DEAD)(80)发生的新型串联环化反应(Scheme 25), 成功构建了具有两个连续手性中心(包括一个季碳手性中心)的多官能化的茚并吡唑啉衍生物81.反应过程如下:首先三苯基膦与DEAD反应形成Huisgen两性离子, 再与2-芳亚甲基-1, 3-茚满二酮通过1, 4-加成得到两性离子中间体, 然后该两性离子中间体的酯基发生分子内Aldol反应, 接着再发生分子内加成到1, 3-茚满二酮的一个羰基上, 最后消除三苯氧膦, 以较高产率(60%~87%)得到具有高非对映选择性的茚并吡唑啉衍生物81.
图式 25
文献报道, 咪唑并吲哚和吡咯并咪唑衍生物具有广泛的生物活性.细微结构修饰会导致结构多样性, 继而导致功能多样化, 并且伴随着结构的改变生物活性也有所改变.近年来, 低共熔体溶剂(DES)被认为是常规离子液体和挥发性有机溶剂的绿色且可持续发展的替代品[37-41].低共熔体溶剂具有特殊的性质, 引起了许多领域的广泛的关注, 如生物催化、电化学和生物医学等.
2019年, Kumar课题组[42]首次报道了由氯化胍和尿素组成的低共熔体溶剂DES在乙内酰脲(82)、醛2和1, 3-二羰基化合物的三组分多米诺反应中的应用(Scheme 26), DES既作为可持续的绿色溶剂又作为反应的促进剂.首先1, 3-茚满二酮(1)和醛2发生Knoevenagel缩合形成2-芳亚甲基-1, 3-茚满二酮3, 接着2-芳亚甲基-1, 3-茚满二酮与烯醇化的乙内酰脲发生Michael加成, 最后进一步环化脱水得到咪唑并吲哚类杂环衍生物83.
图式 26
2019年, 林文伟课题组[43]报道了2-三氟乙酰基-2'-亚烷基-1, 3-茚满二酮84与3-亚烷基吲哚酮85之间的不对称合成反应(Scheme 27), 成功合成了具有五个季碳手性中心和一个三级立体中心的结构复杂的螺吲哚骨架.反应过程中先生成中间体86, 桥头烯酮发生分子内Michael加成得到最终产物87.
图式 27
2.2 [4+1]环加成反应构建五元环状化合物
2013年, Bhuyan课题组[44]报道了在无溶剂条件下, 三乙胺作碱, 微波促进的1, 3-茚满二酮(1)、芳香醛2和溴化-N-苯甲酰基吡啶(88)的“一锅法”三组分[4+1]环加成反应(Scheme 28), 脱去一分子吡啶, 以较高产率(52%~78%)得到二氢吲哚[1, 2-b]呋喃衍生物89.
图式 28
2014年, 颜朝国课题组[45]报道了以乙醇作溶剂, 三乙胺作碱, 1, 3-茚满二酮(1)、N-取代靛红(90')及溴化N-苯甲酰基异喹啉(91)的三组分反应(Scheme 29).该反应并没有发生预期的[3+2]环加成反应, 而是N-苯甲酰基异喹啉叶立德与靛红反应得到中间体, 该中间体在碱作用下, 形成碳负离子, 然后碳负离子与1, 3-茚满二酮发生[4+1]环加成反应, 最后经分子内亲核加成, 以高产率和高非对映选择性得到官能化的螺[茚-2, 1'-吡咯并[2, 1-a]异喹啉]衍生物92 (Scheme 30).
图式 29
图式 30
3. 合成六元环化合物
3.1 [3+3]环加成反应构建六元环状化合物
2012年, Kantevari课题组[46]报道了在二甲基甲酰胺(DMF)溶剂中, 1, 3-茚满二酮(1)、1-芳基-2-丁基-4-氯咪唑甲醛93、芳甲基酮94和醋酸铵的多组分反应, 以较高产率(77%~86%)形成咪唑-4-氮杂芴酮衍生物(Scheme 31).反应过程为:首先1, 3-茚满二酮与1-苄基-2-丁基- 4-氯咪唑甲醛反生Knoevenagel缩合, 芳甲基酮与醋酸铵反应形成芳胺, 然后两者发生原位的Michael加成得到反应中间体, 最后氨基与茚满二酮的一个羰基发生分子内加成环化脱氢得到咪唑-4-氮杂芴酮衍生物95.
图式 31
2016年, 颜朝国课题组[47]报道了芳胺96与丁炔二酸二酯49在DMF中生成β-烯胺酯, 再在路易斯酸BF3•OEt2中与2-芳亚甲基-1, 3-茚满二酮(3)形成1, 4-二苯基茚并[1, 2-b]吡啶衍生物97的多米诺反应(Scheme 32).
图式 32
2017年, Razieh课题组[48]报道了在低共熔体溶剂(DES)中, 1, 3-茚满二酮(1)、芳香醛2和6-氨基嘧啶-2, 4-二酮(98)的三组分形成茚并吡啶并[2, 3-d]嘧啶衍生物101的反应(Scheme 33).此反应中, 低共熔体溶剂为V(ChCl)/V(尿素)=1/2的混合溶剂, 既作反应溶剂, 又作反应的催化剂, 可通过氢键活化羰基, 促进[3+3]反应的进行.
图式 33
同年, Pelit课题组[49]报道了在无溶剂、超声辐射下经(±)-樟脑-10-磺酸(CAS)催化的1, 3-茚满二酮(1)、芳香醛2和2-萘酚(102)形成萘并吡喃类衍生物103的三组分反应(Scheme 34).该反应具有反应时间短及反应产率高等优点, 并使用了催化性能好的无毒、廉价、环保、可回收且易于处理的水溶性有机催化剂.
图式 34
2018年, 徐大振课题组[50]报道了在离子液体催化下的1, 3-茚满二酮(1)、靛红90和丙二腈(104)的三组分串联反应, 经过Knoevenagel/Michael/环化反应生成了螺[2-氨基-4H-吡喃]衍生物105 (Scheme 35).该反应具有产率高及反应时间短等优点.
图式 35
2017年, Yeganeh课题组[51]报道了在无溶剂条件下, 廉价且绿色的磺化磁性纤维素基纳米复合材料Fe3O4@ cellulose-SO3H作催化剂, 1, 3-茚满二酮(1)、芳香醛2和1-萘胺(106)三组分形成茚并喹啉衍生物107的反应(Scheme 36).该反应具有反应时间短、反应产率高(79%~98%)、催化剂性能高效和后处理简单等优点.
图式 36
2019年, Siddiqui课题组[52]报道了在室温、无溶剂条件下, 使用新型Ag3PO4@MOF-5复合催化剂, 芳香醛2、1, 3-茚满二酮(1)和烯胺酮108的研磨一锅多组分反应, 实现了茚并喹啉二酮109的绿色合成(Scheme 37).在Ag3PO4@MOF-5催化作用下, 1, 3-茚满二酮与芳香醛发生Knoevenagel缩合形成2-芳亚甲基-1, 3-茚满二酮, 烯胺酮与2-芳亚甲基-1, 3-茚满二酮发生Michael加成反应生成一个无环的中间体, 该中间体的氨基与羰基发生分子内环化, 再经过进一步脱水形成茚并喹啉二酮衍生物109. Ag3PO4@MOF-5作为催化剂可在反应最后一步再生, 进入催化循环(Scheme 38).
图式 37
图式 38
2019年, Samira等[53]报道了在磁性纳米复合催化剂Fe3O4@SiO2@L-proline存在下, 水作溶剂, 芳醛2、2-氨基苯并咪唑(110)和1, 3-茚满二酮(1)形成苯并咪唑[1, 2-a]嘧啶酮衍生物111的反应(Scheme 39).该反应具有简单通用、条件温和及溶剂绿色等特点.
图式 39
同年, Portilla课题组[54]报道了1, 3-茚满二酮(1)、芳香醛2和5-氨基-1-芳基吡唑112的三组分反应(Scheme 40), 产物为吡唑稠合的4-氮杂芴酮113, 其可作为合成荧光二氰基亚乙烯基取代衍生物114的关键试剂.
图式 40
同年, Badiei课题组[55]报道了基于二氧化硅负载的非均相双官能催化剂FSi (Fumed Silica)催化下, 1, 3-茚满二酮(1)、靛红90'和β-羰基酸酯115的多组分形成氮杂富烯酮衍生物116的反应(Scheme 41).催化剂FSi的表面同时存在酸性和碱性基团, 其在质子化和去质子化步骤中起着非常重要的作用.
图式 41
2019年, Nasri课题组[56]报道了在无催化剂的温和条件下, 双甲硫基硝基乙烯(117)、烷基胺/苄胺118、靛红90和可烯醇化的1, 3-二羰基化合物如1, 3-茚满二酮(1)的四组分形成螺吲哚-4H-吡喃衍生物119的反应(Scheme 42).
图式 42
2019年, 严胜骄课题组[57]报道了1, 1-烯二胺120与2-芳亚甲基-1, 3-茚满二酮3在不同反应条件下的选择性合成(Scheme 43), 在乙醇中可得到茚并二氢吡啶121, 在1, 4-二氧六环中可得到茚并吡啶化合物122.
图式 43
2019年, 黄维课题组[58]报道了手性N-杂卡宾(NHC) (123)催化2-氧代-3-烯酸钾125与2-芳亚乙基- 1, 3-茚满二酮124的[3+3]环加成反应(Scheme 44), 成功构建了2, 2-二酰基螺环己二烯酮衍生物126.值得一提的是, 所得的2, 2-二酰基螺环己酮与肼反应可进一步开环, 以良好的收率形成2, 3-二氮杂萘酮衍生物127.
图式 44
具有桥环结构的化合物在化学反应中具有非常重要的意义. 2018年, 颜朝国课题组[59]报道了在乙醇溶剂中, 吗啉促进的1, 3-茚满二酮(1)、2-芳亚甲基-1, 3-茚满二酮3和N-烷基哌啶酮128的多米诺反应, 生成结构新颖桥环结构的茚满酮稠合的3-氮杂双环[3.3.1]壬烷衍生物129 (Scheme 45); 如果改用乙腈作溶剂, 2-芳亚甲基- 1, 3-茚满二酮3和N-取代哌啶酮作反应底物, 则得到不同的桥环结构产物130, 表现出反应的多样性.反应进程涉及Michael加成和连续的环加成反应过程.
图式 45
3.2 [4+2]环加成反应构建六元环状化合物
3.2.1 合成螺环化合物
2015年, 陈焜铭课题组[60]报道了1, 3-茚满二酮(1)、芳香醛2和手性4-取代的环己酮131的三组分串联反应(Scheme 46), 以43%~80%的产率和高立体选择性(>19:1 dr和99% ee)生成含有四个连续手性中心的螺环官能化衍生物132, 该反应具有很好的非对映选择性和对映选择性.
图式 46
2016年, 林文伟课题组[61]报道了在手性催化剂存在下, 2-芳亚甲基-1, 3-茚满二酮3与烷基烯基酮类化合物133形成1, 3-茚满二酮稠合的2, 6-二取代螺环己酮衍生物134的反应(Scheme 47).使用不同的手性催化剂, 该反应的产物构型有所不同, 表现出很好的非对映选择性、对映选择性以及反应产物的多样性.
图式 47
2018年, 颜朝国课题组[62]报道了在离子液体[Bmim]Br中频哪醇135与2-芳亚甲基-1, 3-茚满二酮3反应生成螺[环己烷-1, 2'-茚满]-3-烯-1', 3'-二酮136的多米诺反应(Scheme 48).反应过程中, 频哪醇脱水原位生成的1, 3-二烯与亲双烯体2-芳亚甲基-1, 3-茚满二酮发生Diels-Alder反应.
图式 48
2019年, Comesse等[63]首次使用丙烯酰胺作为合成δ-内酰胺的关键底物.在碱催化下, N-烷氧基丙烯酰胺137与2-芳亚甲基-1, 3-茚满二酮3发生多米诺反应(Scheme 49), 以良好的收率和良好的立体选择性合成了含茚酮片段的多取代δ-内酰胺138.
图式 49
2019年, 颜朝国课题组[64]报道了α, β-不饱和亚胺139与两分子2-芳亚甲基-1, 3-茚满二酮3在无催化剂条件下形成螺[茚-2, 3'-茚[2', 1':5, 6]吡喃并[2, 3-b]吡啶]衍生物140的多米诺反应(Scheme 50).反应具有很高的非对映选择性.反应是通过连续的氮杂和氧杂Diels-Alder反应完成的. 2-芳亚甲基-1, 3-茚满二酮不仅是氮杂和氧杂Diels-Alder反应的亲二烯体, 而且作为1-氧杂-丁二烯完成氧杂Diels-Alder反应.
图式 50
2019年, 颜朝国课题组[65]报道了在NH4I催化下, 2-芳亚甲基-1, 3-茚满二酮3、吲哚141、芳甲基酮94的三组分串联反应, 形成cis-2, 4-二芳基二氢螺[咔唑-1, 2'-茚]-1', 3'-二酮衍生物(Scheme 51).在NH4I催化下, 吲哚和苯乙酮先形成3-烯基吲哚, 然后3-烯基吲哚与2-亚芳基-1, 3-茚满二酮3发生Diels-Alder反应, 最后环化的中间体通过1, 3-H迁移得到热力学更稳定的顺式异构体142.
图式 51
最近, 颜朝国课题组[66]报道了类似的三组分串联反应(Scheme 52).反应过程中, 2-吲哚乙酸乙酯143与芳醛生成的中间体3-烯基吲哚与2-芳亚甲基-1, 3-茚满二酮3发生Diels-Alder反应时, 反应经过不同稳定性的内外型环状过渡态, 可以形成两种异构体, 其中异构体144为主要产物, 而异构体144'为次要产物(Scheme 53).
图式 52
图式 53
2019年, 颜朝国课题组[67]还报道了用四甲基哌啶氧化物氧化甲基芳酮与苯肼缩合形成的酮腙, 原位生成的1, 2-二氮杂-1, 3-二烯与2-芳亚甲基-1, 3-茚满二酮3发生aza-Diels-Alder反应(Scheme 54), 合成了一系列螺[吲哚-2, 3'-哒嗪]化合物146, 收率中等.
图式 54
3.2.2 合成稠环化合物
文献报道, 茚并异喹啉衍生物具有对拓扑异构酶I的潜在抑制活性(Top1)[68], 是新型Top1抑制剂, 具有良好的药代动力学特征和化学稳定性[69]. 2017年, 姚清发课题组[70]报道了在温和条件下, 铜(Ⅱ)催化2-碘苯甲酰胺150与1, 3-茚满二酮(1)形成茚并异喹啉衍生物151的反应(Scheme 55).该方法适用于一步合成一系列有临床活性的拓扑异构酶I抑制剂, 例如NSC-314622 (147), LMP-400 (148)和LMP-776 (149)等.此外, 该方法已被成功应用于其它具有茚并异喹啉骨架化合物的合成.
图式 55
2019年, Jaeger等[71]报道了水杨醛或吡啶-4-重氮氯化物分别与1, 3-茚满二酮和丙二腈形成五环并联的多环化合物的反应(Scheme 56).乙醇作溶剂, 三乙胺作催化剂的条件下, 1, 3-茚满二酮(1)、丙二腈(104)和水杨醛(2a)在60 ℃反应1 h, 再用稀盐酸处理, 即可形成茚并- [20, 10:5, 6]-吡喃基-[3, 4-c]-色烯153. 1, 3-茚满二酮(1)、丙二腈(104)和吡啶-4-重氮氯化物(155, 156, 157)的反应过程中, 1, 3-茚满二酮与吡啶-4-重氮氯化物, 更易形成偶氮/缩合衍生物[72-73], 而N—H…O=C氢键的存在使C=O的反应活性降低无法成环, 必须先将1, 3-茚满二酮与丙二腈缩合, 得到2-(3-氧代茚满-1-亚基)-丙二腈(154)[74], 再与吡啶-4-重氮氯化物进行偶联, 在偶联条件下进行环化, 得到茚并[2, 1-c]-哒嗪-3-亚胺化合物159和161.
图式 56
2019年, Yennam等[75]报道了从原位生成的苯炔(162)与2-芳亚甲基-1, 3-茚满二酮3的[4+2]环加成反应, 获得相对稀有的二苯并[a, c]蒽-9, 14-二酮衍生物163 (Scheme 57).反应过程中, 1, 3-茚满二酮发生了扩环反应过程.
图式 57
2020年, 李振江等[76]报道了铜催化的α, β-不饱和酮肟乙酸酯164与1, 3-茚满二酮(1)的[4+2]环化反应(Scheme 58), 以中高产率合成了多官能团的吡啶稠环类化合物165.
图式 58
1, 3-茚满二酮(1)作为一种常见的1, 3-二羰基化合物, 在一定条件下可发生自缩合反应, 生成具有较高反应活性的稠环多羰基化合物[77]. 2011年, Elliott课题组[3]实现在高氯酸锂、催化剂三乙胺存在下, 微波辅助下无溶剂的1, 3-茚满二酮的自缩合反应, 该反应可通过调控高氯酸锂的用量来控制两分子缩合产物和三分子缩合产物的比例.如在三乙胺和高氯酸锂存在下能以92%的高产率得到比例为99:1的双茚满二酮166和三聚茚满二酮167 (Scheme 59).双茚满二酮具有活泼双键, 为后续的反应研究提供了诸多便利.三聚茚满二酮不仅具有很好的光电性质, 而且成为合成碗状半富勒烯类的先躯体[78], 受到广泛关注.
图式 59
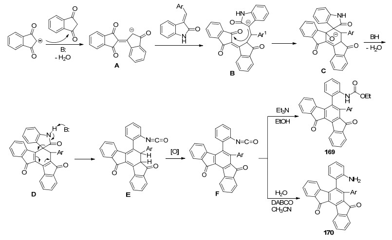
2019年, 颜朝国课题组[79]报道了在适当溶剂中, 1, 3-茚满二酮(1)和3-芳亚甲基-2-吲哚酮168在碱作用下的涉及五元环开环的多米诺反应(Scheme 60), 以中等产率(58%~85%)得到吲哚[1, 2-a]芴-7, 12-二酮衍生物169和171.产物结构中芳基和邻(烷氧羰基氨基)苯基存在很强的旋转位阻效应, 导致芳基上有邻位或间位取代基时, 产物通常以两种异构体形式存在.而对位取代芳基仅生成一种产物.在反应中, 直接投入双茚满二酮也可得到同样的实验结果, 证明1, 3-茚满二酮在反应过程中先发生自缩合反应, 生成双茚满二酮166 (Scheme 61).可能的反应机理为双茚满二酮和3-芳亚甲基-2-吲哚酮经过环加成反应形成螺环化合物中间体.由于该螺环化合物中间体不稳定, 开环形成异氰酸酯中间体.后者经过醇解生成烷氧羰基氨基取代的吲哚[1, 2-a]芴- 7, 12-二酮衍生物169, 169经过水解形成氨基取代的衍生物170.
图式 60
3.2.3 合成桥环化合物
2019年, 朱钢国课题组[80]报道了在温和的反应条件下, 三氯化铁作催化剂, 2-烯丙基芳醛171与1, 3-茚满二酮(1)形成二氢吡喃并氧代双环[3.3.1]壬烯衍生物172的反应(Scheme 62), 该反应具有非常好的非对映选择性.
图式 61
图式 62
2020年, 颜朝国课题组[81]报道了在三乙胺存在下, 1, 3-茚满二酮(1)与芳香醛2的多米诺反应(Scheme 63).不同结构的芳醛, 反应类型有所不同.邻羟基芳醛(2a)参加反应时, 产物为九元环的内酯化合物173, 其中含两分子1, 3-茚满二酮单元.其他芳醛参加时, 得到具有复杂桥环结构的化合物174, 其中含两分子1, 3-茚满二酮单元.
图式 63
两种产物的形成都经过了一系列串联反应过程.邻羟基芳醛(2a)参加反应时, 1, 3-茚满二酮的自缩合反应生成双分子缩合产物中间体B, 再与原位生成的含有羟基的2-芳亚甲基-1, 3-茚满二酮3经过Michael加成、环加成、开环和内酯化等步骤, 生成了九元环的内酯化合物173 (Scheme 64).其它芳醛反应时, 在碱性条件下, 1, 3-茚满二酮的自缩合反应生成三分子缩合产物中间体A, 其具有1, 3-二烯的结构单元, 与在体系中原位形成的2-芳亚甲基-1, 3-茚满二酮3进行Diels-Alder反应, 形成了复杂的桥环化合物174 (Scheme 65).
图式 64
图式 65
2017年, 颜朝国课题组[11]报道了溴化-N-烷氧羰基甲基异喹啉盐175、芳香醛2和1, 3-茚满二酮(1)发生的独特的[3+2]-[4+2]-[3+2]环加成反应(Scheme 66), 以良好的产率、高度的区域选择性和立体选择性构建了结构复杂的多环化合物176.当异喹啉季铵盐上N-取代基为苯甲酰甲基时, 得到的产物结构不太稳定, 仅以30%~34%产率分离到预期桥环产物.在该反应中, 溴化-N-烷氧羰基甲基异喹啉盐扮演三重反应角色, 分别为通过形成1, 3-偶极子中间体进行[3+2]环加成反应、作为缺电子的双烯体进行Diels-Alder反应以及原位生成的1, 3-偶极子中间体再次进行[3+2]环加成反应.充分体现了异喹啉盐的方法反应活性.
图式 66
3.3 [2+2+2]环加成反应合成六元环状化合物
2015年, 贺铮杰等[82]报道了以DMF作溶剂, 1, 4-二氮杂双环[2.2.2]辛烷(DABCO)催化的2-芳亚甲基-1, 3-茚满二酮、MBH酯的特殊的[2+2+2]环加成形成多取代的螺环己烷衍生物178的反应(Scheme 67).在该反应中, BMH酯177在碱性条件下生成的两性离子盐与两分子的2-芳亚甲基-1, 3-茚满二酮3发生两次亲核加成进行反应, 并以较高产率得到目标产物.
图式 67
2017年, 颜朝国课题组[83]报道了在乙腈中, 2-芳亚甲基-1, 3-茚满二酮3、丁炔二酸二酯49和异喹啉(179)的[2+2+2]环加成形成螺[茚-2, 1'-吡啶[2, 1-a]异喹啉]衍生物180的反应(Scheme 68).如果使用4-二甲氨基吡啶参加反应, 则生成脱去吡啶环的二氢茚酮[1, 2-b]吡喃衍生物181.该反应具有原料易得、操作简便、条件温和、反应时间短、产率高及非对映选择性良好等特点.
图式 68
同年, 颜朝国课题组[84]报道了α, β-不饱和亚胺139、丁炔二酸二酯49和2-芳亚甲基-1, 3-茚满二酮3在DMF中形成1, 2', 3, 4'-四氢-1'H-螺[茚-2, 3'-吡啶]衍生物182的[2+2+2]环加成反应(Scheme 69).但反应的非对映选择性较低, 生成的顺反异构体的比例相近.反应经过串联的亲核环加成反应过程, 首先是α, β-不饱和亚胺对丁炔二酸二甲酯的亲核加成形成离子中间体, 然后碳负离子对2-芳亚甲基-1, 3-茚满二酮的Michael加成, 再通过碳负离子和亚胺正离子的环合而完成反应.
图式 69
2020年, Commeiras等[85]报道了3-烷氧基或3-乙酰氧基茚酮183与双炔184在铑催化下的[2+2+2]环加成反应(Scheme 70), 在该反应中, 3-烷氧基或3-乙酰氧基茚酮可看作具有高度反应活性的1, 3-茚满二酮的2π配位体, 与双炔经过β-消除和重排芳构化后以较高收率得到多环芴酮类化合物185.
图式 70
4. 合成七元环状化合物
二苯并氮杂环庚烷是一种特殊的杂环骨架, 两个苯环稠合在环庚烷基团的不同位置上, 是具有多种药理特性的药剂的基本骨架[86-87].二苯并[b, d]氮杂烷是一类重要的药物化学活性结构, 在药物化学中的应用尚未得到充分开发, 但其在中枢神经系统中的潜在应用引起了药物化学家的关注.例如, 最近研发的结构LY411575 (186)是一种有效的针对阿尔茨海默氏病的γ分泌酶抑制剂[88], 因此进一步研究二苯并[b, d]氮杂骨架的构建方法是十分必要的.
2016年, 颜朝国课题组[89]报道了1, 3-茚满二酮(1)、靛红90和溴化-N-苯甲酰吡啶88在一定条件下实现了独特的靛红的扩环反应(Scheme 71), 以中高产率方便地构建了官能化的二苯并[b, d]氮杂庚酮衍生物187.反应经过一系列串联反应过程.并且两个碳原子来源不同, 一个碳来自于苯甲酰甲基, 另一个碳原子来自于1, 3-茚满二酮(Scheme 72).
图式 71
图式 72
2016年, Mehta课题组[90]报道了一种将原位生成的苯炔162插入1, 3-茚满二酮C—C键的方法(Scheme 73), 以较高产率(65%~79%)得到了二苯并环庚烷衍生物188.这一反应已被成功用于天然产物Radermachol的合成. 2019年, Yennam等[75]也报道了类似反应.
图式 73
2018年, 李艳忠课题组[91]报道了无过渡金属存在下, 1, 3-茚满二酮(1)与丙炔酮衍生物189的扩环反应(Scheme 74), 生成了官能化的苯并七元环衍生物190和191.该方法为C—C σ-键活化合成苯并七元环化合物提供了一种直接而有效的方法, 具有原料易得、原子经济性高、官能团兼容性好和产率高等特点.
图式 74
5. 总结与展望
近年来, 1, 3-茚满二酮参与的多组分串联反应已经受到了化学家的普遍关注, 许多螺环、稠环、桥环的官能团化的化合物被合成出来, 许多新的反应途径和合成方法被不断报道.这些研究成果表明, 1, 3-茚满二酮具有丰富多彩的反应活性, 可以参与到许多环状化合物的简洁高效合成中, 可望在药物合成上得到广泛的应用.但该领域还是存在着很多值得深入研究的课题和较大的挖掘空间: (1)很多已被应用的合成方法还需要进一步优化, 希望通过加入不同的催化剂或优化化学环境, 以提高反应的区域选择性或对映选择性; (2)在成功合成目标化合物的基础上需积极寻求绿色健康的实验方法, 实现绿色化学; (3)反应类型不够丰富, 还有很多新型反应类型有待开发, 特别是不对称合成反应还比较少; (4)在药物开发和天然产物合成领域的应用研究上还有很大提升空间, 需进一步探究新型结构的生物活性和药物应用.随着化学工作者对有机反应研究的不断深入, 我们相信更多新型反应类型将被开发, 反应体系也能进一步被优化, 更多官能团化的1, 3-茚满二酮衍生物也将继续被研究报道, 这也将极大地推进有机多组分串联环化反应在有机合成、药物化学等多领域的研究应用.
-
-
[1]
Khan, F. A.; Maalik, A. Trop. J. Pharm. Res. 2015, 14, 1937. doi: 10.4314/tjpr.v14i10.28
-
[2]
(a) Tu, S. J.; Jiang, B.; Zhang, J. Y.; Jia, R. H.; Zhang, Y.; Yao, C. S. Org. Biomol. Chem. 2006, 4, 3980.
(b) Majumder, S.; Sharma, M.; Bhuyan, P. J. Tetrahedron Lett. 2013, 54, 6868.
(c) Ahadi, S.; Moafi, L.; Feiz, A.; Bazgir, A. Tetrahedron 2011, 67, 3954.
(d) Liang, B.; Kalidindi, S.; Porco, J. A. Stephenson, C. Org. Lett. 2010, 12, 572.
(e) Nishiyama, T.; Shiotsu, S.; Tsujita, H. Polym. Degrad. Stab. 2002, 76, 435. -
[3]
Sharma, L. K.; Kimb, K. B.; Elliott, G. I. Green Chem. 2011, 13, 1546. doi: 10.1039/c1gc15164a
-
[4]
Asadi, S.; Mohammadi Z. G. Mol. Diversity 2015, 20, 111.
-
[5]
(a) Hoveyda, A. H.; Evans, D. A.; Fu, G. C. Chem. Rev. 1993, 93, 1307.
(b) Peppe, C.; Chagas, R. P.; Burrow, R. A. J. Organomet. Chem. 2008, 693, 3441.
(c) Ren, Z.; Cao, W.; Ding, W.; Wang, Y.; Wang, L. Synth. Commun. 2004, 34, 3785.
(d) Arai, S.; Nakayama, K.; Hatano, K.; Shioiri, T. J. Org. Chem. 1998, 63, 9572.
(e) Miyagawa, T.; Tatenuma, T.; Tadokoro, M.; Satoh, T. Tetrahedron 2008, 64, 5279. -
[6]
Wang, G. W.; Gao, J. Org. Lett. 2009, 11, 2385. doi: 10.1021/ol900451d
-
[7]
杨树新, 陈杰, 吴小余, 邓红梅, 邵敏, 张慧, 曹卫国, 有机化学, 2010, 30, 1521. http://sioc-journal.cn/Jwk_yjhx/CN/Y2010/V30/I10/1521Yang, S. X.; Chen, J.; Wu, X. Y.; Deng, H. M.; Shao, M.; Zhang, H.; Cao, W. G. Chin. J. Org. Chem. 2010, 30, 1521(in Chinese). http://sioc-journal.cn/Jwk_yjhx/CN/Y2010/V30/I10/1521
-
[8]
Das, U.; Tsai, Y. L.; Lin, W. W. Org. Biomol. Chem. 2013, 11, 44. doi: 10.1039/C2OB26943K
-
[9]
Nemcsok, T.; Rapi, Z.; Bagi, P.; Olah, A.; Keglevich, G.; Bako, P. Catal. Lett. 2020, 150, 930. doi: 10.1007/s10562-019-03013-0
-
[10]
Banothu, J.; Basavoju, S.; Bavantula, R. J. Heterocycl. Chem. 2015, 52, 853. doi: 10.1002/jhet.2059
-
[11]
Liu, R. Z.; Shi, R. G.; Sun, J.; Yan, C. G. Org. Chem. Front. 2017, 4, 354. doi: 10.1039/C6QO00615A
-
[12]
Jiang, Y. H.; Sun, J.; Sun, Q.; Yan, C. G. Asian J. Org. Chem. 2017, 6, 862. doi: 10.1002/ajoc.201700125
-
[13]
Hu, F.; Wei, Y.; Shi, M. Tetrahedron 2012, 68, 7911. doi: 10.1016/j.tet.2012.07.013
-
[14]
Zhan, G.; Shi, M. L.; He, Q.; Lin, W. J.; Ouyang, Q.; Du, W.; Chen, Y. C. Angew. Chem., Int. Ed. 2016, 55, 2147. doi: 10.1002/anie.201510825
-
[15]
Yang, Y.; Jiang, Y.; Du, W.; Chen, Y. C. Chem.-Eur. J. 2020, 26, 1754. doi: 10.1002/chem.201904930
-
[16]
Lu, Y. L.; Sun, J.; Jiang, Y. H.; Yan, C. G. RSC Adv. 2016, 6, 50471. doi: 10.1039/C6RA02358D
-
[17]
Ramachary, D. B.; Reddy, T. P.; Kumar, A. S. Org. Biomol. Chem. 2016, 14, 6517. doi: 10.1039/C6OB01009A
-
[18]
Manjappa, K. B.; Peng, Y. T.; Jhang, W. F.; Yang, D. Y. Tetrahedron 2016, 72, 853. doi: 10.1016/j.tet.2015.12.056
-
[19]
Shen, G. L.; Sun, J.; Yan, C. G. Chin. J. Chem. 2016, 34, 412. doi: 10.1002/cjoc.201500896
-
[20]
Jin, G.; Sun, J.; Yan, C. G. RSC Adv. 2016, 6, 84379. doi: 10.1039/C6RA16838H
-
[21]
Shi, R. G.; Sun, J.; Yan, C. G. ACS Omega 2017, 2, 7820. doi: 10.1021/acsomega.7b01391
-
[22]
Liu, C. Z.; Han, Y.; Qi, W. J.; Yan, C. G. Heterocycl. Commun. 2016, 22, 301.
-
[23]
Qi, W. J.; Han, Y.; Liu, C. Z.; Yan, C. G. Synthesis 2016, 48, 4465. doi: 10.1055/s-0036-1588309
-
[24]
Chen, L.; Sun, J.; Huang, Y.; Zhang, Y.; Yan, C. G. Sci. Rep. 2017, 7, 12418. doi: 10.1038/s41598-017-12361-z
-
[25]
Huang, Y.; Sun, J.; Yan, C. G. ChemistrySelect 2017, 2, 10496. doi: 10.1002/slct.201702162
-
[26]
Zhao, B.; Liang, H. W.; Yang, J.; Yang, Z.; Wei, Y. ACS Catal. 2017, 7, 5612. doi: 10.1021/acscatal.7b01876
-
[27]
Yu, J.; Chien, H.; Lin, Y.; Karanam, P.; Chen, Y.; Lin, W. W. Chem. Commun. 2018, 54, 9921. doi: 10.1039/C8CC05693E
-
[28]
Chen, Y. R.; Ganapuram, M. R.; Hsieh, K. H.; Chen, K. H.; Karanam, P.; Vagh, S.; Liou, Y. C.; Lin, W. W. Chem. Commun. 2018, 54, 12702. doi: 10.1039/C8CC07271J
-
[29]
Duan, J. D.; Mao, Y. Y.; Zhang, L.; Zhu, N.; Fang, Z.; Guo, K. Adv. Synth. Catal. 2020, 362, 695. doi: 10.1002/adsc.201901333
-
[30]
Huang, Y.; Fang, H. L.; Huang, Y. X.; Sun, J.; Yan, C. G. J. Org. Chem. 2019, 84, 12437. doi: 10.1021/acs.joc.9b01920
-
[31]
(a) Qiu, X. L.; Meng, W. D.; Qing, F. L. Tetrahedron 2004, 60, 6711.
(b) Qiu, X. L.; Qing, F. L. Eur. J. Org. Chem. 2011, 3261.
(c) Smits, R.; Cadicamo, C. D.; Burger, K.; Koksch, B. Chem. Soc. Rev. 2008, 37, 1727.
(d) Acena, J. L.; Simon-Fuentes, A.; Fustero, S. Curr. Org. Chem. 2010, 14, 928.
(e) March, T. L.; Johnston, M. R.; Duggan, P. J.; Gardiner, J. Chem. Biodiversity 2012, 9, 2410.
(f) Remete, A. M.; Nonn, M.; Fustero, S.; Fülöp, F.; Kiss, L. Tetrahedron 2018, 74, 6367. -
[32]
(a) Yoder, N. C.; Jumar, K. Chem. Soc. Rev. 2002, 31, 335.
(b) Akcay, G.; Kumar, K. J. Fluorine Chem. 2009, 130, 1178.
(c) Salwiczek, M.; Nyakatura, E. K.; Gerling, U. I. M.; Ye, S.; Koksch, B. Chem. Soc. Rev. 2012, 41, 2135.
(d) Marsh, E.; Neil, G. Acc. Chem. Res. 2014, 47, 2878.
(e) Berger, A. A.; Völler, J. S.; Budisa, N.; Koksch, B. Acc. Chem. Res. 2017, 50, 2093.
(f) Huhmann, S.; Koksch, B. Eur. J. Org. Chem. 2018, 3667. -
[33]
Zhou, Y.; Wang, J.; Gu, Z.; Wang, S.; Zhu, W.; Acena, J. L.; Soloshonok, V. A.; Izawa, K.; Liu, H. Chem. Rev. 2016, 116, 422. doi: 10.1021/acs.chemrev.5b00392
-
[34]
Smits, R. C.; Cadicamo, D.; Burger, K.; Koksch, B. Chem. Soc. Rev. 2008, 37, 1727. doi: 10.1039/b800310f
-
[35]
Winter, M.; Faust, K.; Himmelsbach, M.; Waser, M. Org. Biomol. Chem. 2019, 17, 5731. doi: 10.1039/C9OB01134J
-
[36]
Li, Y. M.; Zhang, H. K.; Wei, R.; Miao, Z. W. Adv. Synth. Catal. 2017, 359, 4158. doi: 10.1002/adsc.201701013
-
[37]
Rajawat, A.; Khandelwal, S.; Kumar, M. RSC Adv. 2014, 4, 5105. doi: 10.1039/c3ra44600j
-
[38]
Khandelwal, S.; Tailor, Y. K.; Kumar, M. J. Mol. Liq. 2016, 215, 345. doi: 10.1016/j.molliq.2015.12.015
-
[39]
Tailor, Y. K.; Khandelwal, S.; Jain, H. K. Curr. Org. Synth. 2015, 12, 484. doi: 10.2174/157017941204150522190425
-
[40]
Khandelwal, S.; Rajawat, A.; Tailor, K. Y.; Kumar, M. Comb. Chem. High Throughput Screening 2014, 17, 763. doi: 10.2174/1386207317666141016125218
-
[41]
Liu, P.; Hao, J. W.; Mo, L. P.; Zhang, Z. H. RSC Adv. 2015, 5, 48675. doi: 10.1039/C5RA05746A
-
[42]
Rushell, E.; Tailor, Y. K.; Khandelwal, S.; Verma, K.; Agarwal, M.; Kumar, M. New J. Chem. 2019, 43, 12462. doi: 10.1039/C9NJ02694K
-
[43]
Yang, S. M.; Karanam, P.; Wang, M.; Jang, Y. J.; Yeh, Y. S.; Tseng, P. Y.; Ganapuram, M. R.; Liou, Y. C.; Lin, W. W. Chem. Commun. 2019, 55, 13981.
-
[44]
Majumder, S.; Sharma, M.; Bhuyan, P. J. Tetrahedron Lett. 2013, 54, 6868. doi: 10.1016/j.tetlet.2013.10.023
-
[45]
Wang, X. H.; Yan, C. G. Synthesis 2014, 46, 1059. doi: 10.1055/s-0033-1340815
-
[46]
Addla, D.; Bhima; Sridhar, B.; Devi, A.; Kantevari, S. Bioorg. Med. Chem. Lett. 2012, 22, 7475. doi: 10.1016/j.bmcl.2012.10.042
-
[47]
Yang, W. J.; Zhang, J.; Sun, J.; Yan, C. G. Eur. J. Org. Chem. 2016, 5423.
-
[48]
Mohammad, H. R.; Mohammad, H. M.; Razieh, M. J. Chem. Res. 2017, 41, 430. doi: 10.3184/175815517X14981249895596
-
[49]
Pelit, E. Chem. Sci. Int. J. (CSIJ) 2017, 20, 1.
-
[50]
Li, M. M.; Duan, C. S.; Yu, Y. Q.; Xu, D. Z. Dyes Pigm. 2018, 150, 202. doi: 10.1016/j.dyepig.2017.12.007
-
[51]
Maleki, A.; Yeganeh, N. N. Appl. Organomet. Chem. 2017, 31, e3814. doi: 10.1002/aoc.3814
-
[52]
Rather, R. A.; Siddiqui, Z. N. Appl. Organomet. Chem. 2019, 33, e5176.
-
[53]
Leila, Z. F.; Mohammad, N.; Samira, N. K. J. Organomet. Chem. 2019, 894, 18. doi: 10.1016/j.jorganchem.2019.05.004
-
[54]
Hernandez, J. O.; Lizarazo, C.; Cobo, J.; Portilla, J. RSC Adv. 2019, 9, 27318. doi: 10.1039/C9RA04682H
-
[55]
Bagheri, M.; Gholamzadeh, P.; Ziarani, G. M.; Badiei, A. Res. Chem. Intermed. 2019, 45, 3301. doi: 10.1007/s11164-019-03740-4
-
[56]
Mohammadi, A.; Mohammad, B.; Nasri, S. RSC Adv. 2019, 9, 16525. doi: 10.1039/C9RA03214B
-
[57]
Luo, Q.; Huang, R.; Xiao, Q.; Kong, L. B.; Lin, J.; Yan, S. J. ACS Omega 2019, 4, 6637. doi: 10.1021/acsomega.9b00407
-
[58]
Gao, Y.; Liu, D. H.; Fu, Z. Q.; Huang, W. Org. Lett. 2019, 21, 926. doi: 10.1021/acs.orglett.8b03892
-
[59]
Cao, J.; Sun, J.; Yan, C. G. Org. Biomol. Chem. 2018, 16, 4170. doi: 10.1039/C8OB00144H
-
[60]
Chang, Y. P.; Gurubrahamam, R.; Chen, K. M. Org. Lett. 2015, 17, 2908. doi: 10.1021/acs.orglett.5b01040
-
[61]
Reddy, G. M.; Ko, C. T.; Hsieh, K. H.; Lee, C. J.; Das, U.; Lin, W. W. J. Org. Chem. 2016, 81, 2420. doi: 10.1021/acs.joc.5b02921
-
[62]
Yang, R. Y.; Sun, J.; Yan, C. G. ACS Omega 2018, 3, 5406. doi: 10.1021/acsomega.8b00464
-
[63]
Champetter, P.; Castillo-Aguilera, O.; Taillier, C. Briere, J. F.; Dalla, V.; Oudeyer, S.; Comesse, S. Eur. J. Org. Chem. 2019, 7703.
-
[64]
Yang, W. J.; Fang, H. L.; Sun, J.; Yan, C. G. ACS Omega 2019, 4, 13553. doi: 10.1021/acsomega.9b01960
-
[65]
Sun, J.; Yang, R. Y.; Zhan, S. C.; Yan, C. G. ChemistrySelect 2019, 4, 10100. doi: 10.1002/slct.201902619
-
[66]
Zhan, S. C.; Sun, J.; Liu, R. Z.; Yan, C. G. Org. Biomol. Chem. 2020, 18, 163. doi: 10.1039/C9OB02013F
-
[67]
Ye, R.; Yan, C. G. Eur. J. Org. Chem. 2019, 5882.
-
[68]
(a) Kohlhagen, G.; Paull, K.; Cushman, M.; Nagafuji, P.; Pommier, Y. Mol. Pharmacol. 1998, 54, 50.
(b) Strumberg, D.; Pommier, Y.; Paull, K.; Jayaraman, M.; Nagafuji, P.; Cushman, M. J. Med. Chem. 1999, 42, 446.
(c) Cushman, M.; Jayaraman, M.; Vroman, J. A.; Fukunaga, A. K.; Fox, B. M.; Kohlhagen, G.; Strumberg, D.; Pommier, Y. J. Med. Chem. 2000, 43, 3688. -
[69]
(a) Nagarajan, M.; Morrell, A.; Ioanoviciu, A.; Antony, S.; Kohlhagen, G.; Agama, K.; Hollingshead, M.; Pommier, Y.; Cushman, M. J. Med. Chem. 2006, 49, 6283.
(b) Morrell, A.; Placzek, M.; Parmley, S.; Antony, S.; Dexheimer, T. S.; Pommier, Y.; Cushman, M. J. Med. Chem. 2007, 50, 4419.
(c) Kiselev, E.; DeGuire, S.; Morrell, A.; Agama, K.; Dexheimer, T. S.; Pommier, Y.; Cushman, M. J. Med. Chem. 2011, 54, 6106.
(d) Kiselev, E.; Agama, K.; Pommier, Y.; Cushman, M. J. Med. Chem. 2012, 55, 1682.
(e) Nguyen, T. X.; Abdelmalak, M.; Marchand, C.; Agama, K.; Pommier, Y.; Cushman, M. J. Med. Chem. 2015, 58, 3188.
(f) Lv, P. C.; Elsayed, M. S. A.; Agama, K.; Marchand, C.; Pommier, Y.; Cushman, M. J. Med. Chem. 2016, 59, 4890. -
[70]
Huang, C. Y.; Kavala, V.; Kuo, C. W.; Konala, A.; Yang, T. H.; Yao, C. F. J. Org. Chem. 2017, 82, 1961. doi: 10.1021/acs.joc.6b02814
-
[71]
Abdelrazek, F. M.; Metz, P.; Jaeger, A. J. Heterocycl. Chem. 2019, 56, 1939. doi: 10.1002/jhet.3572
-
[72]
Eisert, B.; Geiss, F. Chem. Ber. 1961, 94, 929. doi: 10.1002/cber.19610940410
-
[73]
Drew, M. G. B.; Vickery, B.; Willey, G. R. J. Chem. Soc., Perkin Trans. 2 1982, 1297.
-
[74]
Bello, K. A.; Cheng, L.; Griffiths, J. J. Chem. Soc., Perkin Trans. 2 1987, 815.
-
[75]
Payili, N.; Rekula, S. R.; Aitha, A.; Mutha, A. K.; Naidu, C. G.; Yennam, S. Org. Biomol. Chem. 2019, 17, 9442. doi: 10.1039/C9OB01900F
-
[76]
Zhang, L.; Duan, J. D.; Xu, G. C.; Ding, X. J.; Mao, Y. Y.; Rong, B. S.; Zhu, N.; Fang, Z.; Li, Z. J.; Guo. K. J. Org. Chem. 2020, 85, 2532. doi: 10.1021/acs.joc.9b03238
-
[77]
Abdelrazek, F. M.; Metz, P.; Jaeger, A. J. Heterocycl. Chem. 2019, 56, 1939. doi: 10.1002/jhet.3572
-
[78]
Amsharov, K. Y.; Jansen, M. J. Org. Chem. 2008, 73, 2931. doi: 10.1021/jo7027008
-
[79]
Cao, J.; Sun, J.; Yan, C. G. Org. Biomol. Chem. 2019, 17, 9008. doi: 10.1039/C9OB01779H
-
[80]
Wu, M. C.; Yang, J. H, ; Luo, F.; Cheng, C. G.; Zhu, G. G. Org. Biomol. Chem. 2019, 17, 5684. doi: 10.1039/C9OB00836E
-
[81]
Cao, J.; Sun, J.; Yan, C. G. J. Org. Chem. 2020, 85, 2168. doi: 10.1021/acs.joc.9b02911
-
[82]
Chen, R.; Xu, S.; Fan, X.; Li, H.; Tang, Y.; He, Z. J. Org. Biomol. Chem. 2015, 13, 398. doi: 10.1039/C4OB01927J
-
[83]
Zhang, Y. Y.; Han, Y.; Sun, J.; Yan, C. G. ChemistrySelect 2017, 2, 7382. doi: 10.1002/slct.201701348
-
[84]
Yang, W. J.; Zhang, J.; Sun, J.; Xie, Y. J.; Yan, C. G. Tetrahedron 2017, 73, 3387. doi: 10.1016/j.tet.2017.05.019
-
[85]
Manick, A. D.; Salgues, B.; Parrain, J. L.; Zaborova, E.; Fages, F.; Amatore, M.; Commeiras L. Org. Lett. 2020, 22, 1894. doi: 10.1021/acs.orglett.0c00235
-
[86]
Liegeois, J. F.; Bruhwyler, J.; Rogister, F.; Delarge, J. Curr. Med. Chem. 1995, 1, 471.
-
[87]
Peters, J. U.; Galley, G.; Jacobsen, H.; Czech, C.; DavidPierson, P.; Kitas, E. A.; Ozmen, L. Bioorg. Med. Chem. Lett. 2007, 17, 5918. doi: 10.1016/j.bmcl.2007.07.078
-
[88]
Fuwa, H.; Takahashi, Y.; Konno, Y.; Watanabe, N.; Miyashita, H.; Sasaki, M.; Natsugari, H.; Kan, T.; Fukuyama, T.; Tomita, T.; Iwatsubo, T. ACS Chem. Biol. 2007, 2, 408. doi: 10.1021/cb700073y
-
[89]
Shi, R. G.; Wang, X. H.; Liu, R. Z.; Yan, C. G. Chem. Commun. 2016, 52, 6280. doi: 10.1039/C6CC00525J
-
[90]
Samineni, R.; Srihari, P.; Mehta, G. Org. Lett. 2016, 18, 2832. doi: 10.1021/acs.orglett.6b01078
-
[91]
Yao, Q. Y.; Kong, L. K.; Wang, M. D.; Yuan, Y.; Sun, R. Z.; Li, Y. Z. Org. Lett. 2018, 20, 1744. doi: 10.1021/acs.orglett.8b00206
-
[1]
-
-

计量
- PDF下载量: 159
- 文章访问数: 10161
- HTML全文浏览量: 1567