Citation: Liu Jiahao, Han Jingjie, Yi Xiaoyi, Liu Chao, He Piao. Research Progress of Homogeneous Catalyst for the Dehydrogenation of Formic Acid[J]. Chinese Journal of Organic Chemistry, 2020, 40(9): 2658-2668. doi: 10.6023/cjoc202003060
甲酸分解制氢均相催化剂的研究进展
English
Research Progress of Homogeneous Catalyst for the Dehydrogenation of Formic Acid
-
Key words:
- hydrogen energy
- / formic acid dehydrogenation
- / homogeneous catalysis
- / metal catalyst
-
随着社会经济的发展及人类环保意识的日益增强, 人们开始寻找新的能源以代替现有的石化燃料.氢能具有清洁、高效、安全和可持续等优点, 将成为本世纪极具发展潜力的能源.我国经济高速增长、能源进口依赖较大、消耗与日俱增, 因此, 氢能源的开发和利用具有十分重要的战略意义.一个以氢为基础的能源体系包括氢气的生产、储藏、运输及转化应用等一系列环节, 其关键在于氢气的生产与贮存问题.一方面, 目前工业制备氢气的主要方法有化石燃料制氢、电解水制氢和催化热分解碳氢化合物制氢.以上这些方法, 都存在能耗过高等缺点.另一方面, 氢气存储的方法有高压/液化、多孔材料吸附(分子筛、金属有机材料以及高分子聚合物等)、化学储氢(金属氢化物、硼氢化合物、有机小分子等), 但由于条件严苛而带来成本过高的问题.所以, 在温和的条件下实现氢气的制备和存储具有重要的科学意义和应用前景.
1. 甲酸储氢
甲酸(HCOOH, FA)是最简单的一元有机羧酸, 具有较高的储氢含量(w=4.4%, 53 g/L), 在合适的催化剂作用下, 室温下即可分解为CO2和H2.甲酸价格低廉、来源广泛、毒性较低、常温常压是液态、性质稳定、不易燃烧、运输和储存安全方便, 作为一种极具潜力的化学储氢材料而被广泛研究[1].甲酸分解主要通过两种反应路径(图 1): (1)分解为CO2和H2; (2)分解为CO和H2O.两个反应在标准状态下均为自发反应, 但动力学受阻.而且CO会使燃料电池中毒, 因此, 甲酸分解的研究主要集中在开发低温下工作的高稳定性、高选择性、高活性的制氢催化剂, 使甲酸的分解过程按照式(1)的途径进行.此外, 甲酸和二氧化碳在储氢系统中的结合是一种非常高效的储氢途径, 即可以通过还原CO2生成甲酸以存储氢气, 又可以适当分解甲酸释放氢气, 从而实现氢能源的循环利用.
图 1
图 1. (a) HCOOH和CO2的循环系统以及(b)甲酸分解的两种路径Figure 1. (a) HCOOH and CO2 circulation system, and (b) two paths for formic acid decomposition2. 均相催化剂
甲酸脱氢催化剂主要包括异相催化剂和均相催化剂.其中, 异相催化剂(贵金属、金属氧化物、碳负载金属催化剂等)具有稳定性好、容易制备、易于分离、可重复使用和回收等优点, 但催化剂的活性低[以转换频率(TOF)来计算], 选择性复杂, 产生氢气的速度较慢.均相催化剂, 主要结构单一, 选择性比较好, 反应产生的CO体积分数一般在0.01%以下.均相催化剂自1967年Coffey[2]提出并应用于甲酸分解反应以来, 已经成功制备了Pt、Ru、Ir磷配位催化剂.随后, 人们发展了一系列以Ru、Rh和Ir等过渡金属为中心, 以含膦化合物(苯基膦磺酸盐、苄基膦、苯基膦等)、含氮化合物(联吡啶、联嘧啶、二羟基联吡啶、邻二氮杂菲等)为配体的金属络合物作为甲酸脱氢催化剂, 取得突破性进展.
3.1 钌金属络合物
1998年, Puddephatt等[3]报道了双核钌膦络合物[Ru2(μ-CO)(CO)4(μ-dppm)2] (1, dppm=Ph2PCH2PPh2), 在没有碱的情况下, 室温下以TOF 500 h-1的初始速率从甲酸中快速产生氢气, 并且活性随着胺的加入而增加.同年, Gao等[4]利用核磁共振波谱对各种中间氢化物和甲酸盐络合物进行了鉴定, 成功分离出了[Ru2H(μ-H)(μ-CO)(CO)2(μ-dppm)2] (2).通过核磁检测该物质在丙酮(5×10-3 mol·L-1)与甲酸(10-1 mol·L-1)的密闭管内反应, 20 ℃下在0.3 h内完成, 平均转换数(TON)约为70 h-1.随后, Wills等[5-7]在以往转移氢化经验的基础上, 研究了三乙胺存在下钌催化剂对于甲酸脱氢反应的催化性能.其中, RuCl2(DMSO)4、RuCl2(NH3)6和无水RuCl3在120 ℃下4次循环后, 表现出相同的活性, TOF高达18000 h-1[8].由于在前三个循环中观察到活性的增加, 推测在反应温度大于100 ℃的活化过程中, 形成了常见的双核Ru2(HCO2)2(CO)4络合物(3).但反应温度升高存在一个缺点:甲酸脱羰基化的发生导致CO的形成(体积分数为0.02%), 这将阻碍其与燃料电池的长期耦合.为了保持稳定的催化活性, 建立了连续的制氢装置, 可用高沸点的二甲胺取代三乙胺作为添加剂[9].根据温度或阻抗反馈机制, 可调整甲酸的用量以达到稳定(最大)的氢气输出, 但仍会产生CO.
图 2
在过去几十年的研究中, 甲酸一直被定义为转移氢化反应中的氢供体, 而不是储氢介质.直到2008年, 甲酸作为液态有机氢载体的潜在应用研究不断深入, 甲酸和甲酸盐的脱氢催化剂的活性和稳定性都得到了提高.人们研究了添加物(醇、卤化物、水)、胺配体、膦配体、光和溶剂对钌前体原位催化性能的影响, 结果表明碱强度与催化剂活性有较强的相关性.
2008年以来, Laurenczy和同事[10]开发了一种亲水性均相催化体系4, 可以选择性地将甲酸分解成氢气和二氧化碳.他们报道了含有微量甲酸盐的甲酸水溶液与[Ru(H2O)6](tos)2 (tos=甲苯-4-磺酸盐)在大范围的温度(70~120 ℃)和压力(1~22.0 MPa)下可进行有效分解, 其中甲酸盐起到关键作用.随着温度的升高, 反应速率增大(120 ℃时TOF=670 h-1), 并且所有反应的转化率都高于90%.当[Ru(H2O)6](tos)2作为催化剂前体时, 需要一个诱导期才能形成活性组分, 催化剂在温度达到170 ℃以及在溶液中放置一年后仍然表现出显著的稳定性.核磁共振谱研究表明, 反应机理由两个相互竞争的循环组成, 通过一种具有两个顺式膦配体的氢化钌中间体连接[11].在连续的甲酸脱氢装置中, 120 ℃下90 h内TON可达到40000以上, 且没有检测到一氧化碳的生成.在RuCl3·xH2O/mTPPTS存在的情况下, 在第一个循环中观察到初始的甲酸脱氢速率较高, 几次运行后最终活性与Ru(II)前体相当.动力学研究表明, 三膦钌参与了快速循环, 而双膦络合物被确定为较慢的循环部分[12].一系列具有给电子/吸电子和亲水性的磺化芳基与RuCl3·xH2O结合形成了高稳定和活性的催化剂体系, 在90 ℃的10 mol·L-1 HCOOH/NaOOCH (m:m=9:1)溶液中, TOF达到476 h-1[13].在其它条件都相同的情况下, 120 ℃下亲水性氨甲基化三芳基膦的存在进一步提高了催化活性(TOF=1950 h-1)[14].
自2008年以来, Beller和他的同事对甲酸分解催化剂开展了详细研究, 报道了在40 ℃和有胺添加剂的条件下, 不同均相催化剂包括RuBr3·xH2O、[{RuCl2-(p-cymene)}2]、[RuCl2(PPh3)3]、[{RuCl2(benzene)2}2]等甲酸脱氢反应.以0.1% [{RuCl2(p-cymene)}2]为标准催化剂前体, 甲酸与胺的比例为5:2, 探究了不同胺类对催化活性的影响.在N, N-二甲基甲酰胺(DMF)和FA/NEt3 (m:m=5:2)下催化活性最高的两种催化剂[(RuCl2(PPh3)3] (TOF=445 h-1)[15]和[RuCl2(C6H6)2/ DPPE] (5) (TOF=460 h-1)[16].为了避免在连续制氢过程中胺的排放而导致催化失活, 使用N, N-二甲基己胺替代挥发性三乙胺, 在室温下, 使用优化的[RuCl2(C6H6)]2/DPPE催化剂可以高效稳定地催化甲酸产氢, TON大约260000, TOF超过900 h-1[17-18].此外, 他们首次发现甲酸与钌前体的催化体系在光照射下的活性增加1个数量级, 例如, 采用[RuCl2(C6H6)2/DPPE]催化剂时, TON从407增加到2804, 几乎增加了7倍.这是由于光诱导了钌芳烃络合物的活化, 以及光促进了活性催化剂的再生[19].近期, Beller与Laurenczy合作研究将甲酸脱氢和二氧化碳加氢反应应用于可充电氢气电池, 在一个连续产氢装置中, 基于[RuCl2(C6H6)]2/DPPE催化剂, 以N, N-二甲基己胺为添加剂, 在80 ℃和101 kPa下TOF达到47970 h-1[20].他们也解释了在三乙胺存在等容条件下, 产生的氢气压力决定了热力学平衡, 从而决定了甲酸的转化率[21].此后, Beller等[22]对几种胺的筛选使系统的稳定性得到了改善, 在25 ℃和N, N-二甲基己胺存在下, 45 d TON达到1000000.重要的是, 产生的气体混合物中只检测到H2和CO2, 未检测到CO, 这使得催化体系可以应用于燃料电池之中.
2004年, Geldbach、Dyson和Ohta等[23-24]已经开始研究离子液体(IL)作为溶剂和辅助催化剂在以FA/NEt3混合物中的转移加氢反应.然而直到2010年, Shi和Deng团队[25]报道了使用一种胺功能化离子液体(IL1)作为碱, 以[RuCl2(p-cymene)]2为催化剂前体进行分解甲酸产氢.通过使用IL, 可避免挥发性溶剂/添加剂的排放及气体产物污染问题.将甲酸钠和iPr2NE-MimCl (EMim=1-乙基-3-甲基咪唑离子)结合, IL的量增加到10 mmol, 同时减少催化剂的负载, TON最大可达1267, 该体系的主要局限在于FA转化不完全, 以及在第一次运行后催化剂失活. 2010年, Dupont等[26]使用钌催化剂([RuCl2(p-cymene)]2)和离子液体Et2NEM-imCl (IL2)对甲酸进行脱氢.在80 ℃下7 h内超过90%的甲酸发生脱氢, 初始TOF为1540 h-1.该催化体系相对稳定, 而且催化剂可以回收使用, 催化活性只有轻微的下降. 2011年, Wasserscheid等[27]测试了RuCl3和离子液体IL3, 用于从FA/NaOOCH生成H2. [EMMim][OAc] (EMMim=1-乙基-2, 3-二甲基咪唑离子)的催化活性最佳, 在80 ℃下反应84 h, 甲酸转化率为91%, 然而[EMim]- [OAc]的催化活性只能达到59%.在第一个循环中观察到一个诱导期, 在80 ℃时随后的循环产生了更高且更加稳定的TOF (150 h-1).作者提出诱导期与Ru(III)活性物质还原为Ru(II)活性物质有关, 这一点通过对Ru(II)前体的进一步研究得到了证实[28].
图 3
图 4
2011年, Prakash和Olah等[29]研究了在109 ℃下, 以RuCl3为催化剂前体, 不含任何添加剂的FA/ NaOOCH水溶液体系的甲酸脱氢反应.该条件下, 发生了FA脱羧(0.21% CO).在没有甲酸钠的情况下, 反应速率明显降低.添加碱后使最初的活性得以恢复, 并分离表征了一个四核[Ru4(HCO2)4(CO)8(PPh3)2]络合物(6), 且该络合物一旦形成, 就不容易发生CO解离.他们还研究了同一催化剂前体RuCl3与许多稳定的膦配体的FA脱氢反应[30].在循环过程中, 使用PPh3·HBr后活性有所改善, 这是因为它在水溶剂中的溶解度更高.此外, 从反应中得到了[Ru(HCO2)2(CO)2(PPh3)2]、[Ru(CO)3-(PPh3)2]、[Ru2(HCO2)2(CO)4(PPh3)2]和一个Ru12簇, 但相对于原位形成的催化剂, 这些化合物对整体性能的贡献有限. 2015年, 作者研究了从甲酸盐中产生H2的过程, 这使得H2可以可逆地储存在碳酸氢盐中, 从而避免需要额外的碱[31].报道的两种脂肪族钌螯合催化剂(7, 8), 1, 4-二氧烷和水的混合物在69 ℃下, 初始TOF为286 h-1时, 甲酸钠100%脱氢.另一种含有甲基的钌催化剂, 其初始TOF为430 h-1.
图 5
最近, 一些带有钳型配体的金属化合物在选择性FA脱氢反应中表现出了很高的活性.在Nozaki和Milstein等[32-33]报道钳型Fe和Re催化剂之后, Pidko和同事[34]研究了可逆H2固定框架下钌PNP型螯合催化剂的FA脱氢反应.其中一种钌PNP [2, 6-双(二叔丁基膦甲基)-吡啶]螯合物(9), 当存在DMF和三乙胺时, 在90 ℃无CO污染的情况下, TOF为256000 h-1, TON超过706500.作者还证明了反应决速步骤取决于碱的性质:对于较弱的NEt3, 通过结合金属氢化物和质子化的碱形成H2, 要比C—H键裂解更容易, 使得后者成为决速步.然而, 当存在更强的1, 5-二氮杂二环[5.4.0]十一烯-5 (DBU)时, 该速率被认为依赖于H2生成步骤. 2016年, Zheng和Huang团队[35]研究了三个含有去芳构化吡啶和亚胺的手臂的PN3-Ru螯合物催化FA脱氢反应(10~12).络合物在二甲基亚砜(DMSO)溶液活性最高, TON和TOF分别为95000和2380 h-1, 而在甲苯、乙腈、DMF、四氢呋喃(THF)溶剂中催化剂的稳定性降低.三乙胺的引入和加热至90 ℃, 反应速率提高了3倍(TOF=7333 h-1), 稳定性也有所增加(TON=1100000).催化转化机制包括三个步骤:将脱芳基螯合物的亚胺臂质子化得到氢化物中间体, 甲酸盐分解并释放CO2, 消除氢以再生催化剂.
图 6
3.2 铱金属络合物
1967年Coffey[2]发表了第一篇关于甲酸脱氢均相催化剂的报告, 研究了带有膦配体的过渡金属络合物催化甲酸分解的过程.其中, [IrH3(PPh3)3]使得甲酸的初始脱氢率高达80 mol·L-1·h-1 (TOF≈8900 h-1).在随后的几十年里, 人们研究了以铑、铱和钌为基础的催化剂, 但它们的甲酸脱氢活性并不高.
在2008年报道了一种亲水性半三明治铑络合物之后, 2010年, Fukuzumi等[36]采用[RuII(bpy)2(bpm)](SO4)与[IrIII(Cp*)(H2O)3](SO4)在H2O中298 K反应, 合成了一种异二核铱钌络合物[Cp*Ir(H2O)(bpm)Ru(bpy)2]- (SO4)2 (bpm=2, 2'-联嘧啶, bpy=联吡啶) (13), 该络合物在25 ℃时甲酸钠存在的状况下, 催化甲酸选择性脱氢. TOF随着HCOOH与HCOONa混合溶液中甲酸盐总浓度的增加而逐渐增大, 在pH=3.8时TOF达到最大为426 h-1.由[HCOO-]对TOF的影响表明, H2的生成经过[IrIII(Cp*)(O(CO)H)(bpm)RuII(bpy)2]3+这种复杂的络合物.并且当pH>3.8时TOF降低, 表明反应的决速步骤是氢化物络合物[IrIII(Cp*)(H)(bpm)RuII(bpy)2]3+的反应. 2012年, Fukuzumi等[37]以三水络合物[IrIII(Cp*)-(H2O)]SO4与4-(1H-吡唑-1-酰基)苯甲酸在水中回流反应合成了水溶性铱水络合物(14), 用于催化分解甲酸产生氢气, 在298 K和pH=2.8时, TOF最大为1880 h-1, 随着pH的升高, 络合物发生去质子反应, TOF也随之减少, 当pH=9.0时, TOF为0.此外, 该络合物在常温低压的碱性水中对碳酸氢盐加氢反应也具有较高的催化活性.
图 7
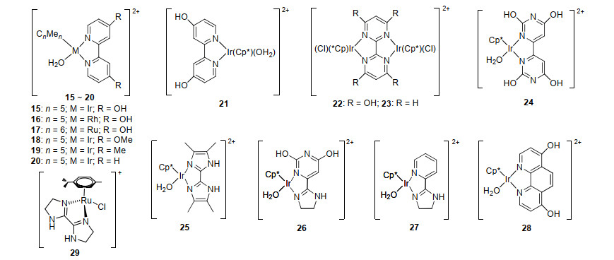
Himeda[38]自2009年报道了甲酸脱氢反应催化剂以来, 筛选并优化了大量的水溶性金属络合物和及其反应条件, 显著改善催化剂的效率和稳定性, 并详细深入研究反应机理.他们最初研究了一系列含有双吡啶基的铱、铑和钌金属络合物15~20, 其中[Cp*Ir(4, 4'-dhbp)-(H2O)]SO4 (15, dhbp=4, 4'-二羟基-2, 2'-联吡啶)在90 ℃的2 mol·L-1甲酸水溶液中的TOF达到14000 h-1, 由于吡啶配体的羟基取代基的两种形式之间存在酸碱平衡, 因此对溶液pH有很强的依赖性.在60 ℃时, 没有甲酸盐的情况下, 当pH=2时FA水溶液中初始的TOF达到2500 h-1, 而当pH>4.5时催化剂几乎没有活性.在4 mol·L-1甲酸溶液中, 初始TOF最高可达到3000 h-1以上, 但随着甲酸浓度进一步增加TOF反而降低.研究表明铱催化剂的TOF值与Hammett取代基常数有较好的相关性, 即具有较强供电子的双吡啶配体有较高的反应速率. 2012年, Himeda与其他研究小组[39]合作开发了一种可对pH响应的铱络合物21~23, 在90 ℃条件下催化FA脱氢, 其中22的初始TOF为228000 h-1.虽然甲酸和甲酸盐都可作为底物, 但后者的脱氢效率明显较低. 2014年, 他们[40]报道了(Cp*Ir(thbpm)(H2O))SO4 (thbpm=2, 2', 6, 6'-四羟基-4, 4'-联嘧啶)络合物(24), 在1 mol·L-1的FA/NaOOCH溶液中, 初始TOF达到39500 h-1.在相同条件且没有甲酸钠情况下, 另一种铱催化剂[Cp*Ir(tmbi)(H2O)]SO4 (tmbi=四甲基二咪唑) (25)表现出相当的活性(TOF=34000 h-1)[41]. 2015年, 作者[42]提出了含有功能化的嘧啶基咪唑啉配体的铱催化剂(26), 在甲酸盐存在下, 100 ℃时的TOF可达322000 h-1.此外, 他们演示了一个潜在的FA脱氢装置, 可以产生1.02 m3的H2 (pmax=1.0 MPa), 采用吡啶基咪唑啉基铱络合物(27)[43], 在363 h后的TON为2000000.该催化剂在酸性环境(pH=1.7)中十分稳定, 在不需要碱的情况下, 平均TOF为6250 h-1.随后, Himeda和Kawanami等[44]研究了一种含有1, 10-邻二氮菲-4, 7-二醇配体的铱络合物(28), 在60 ℃时催化剂保持稳定性和活性长达3.5个月, 甲酸(10 mol·L-1) 100%分解产生H2且不含CO, TON为5000000 (TOF=3010 h-1).为了寻求更高效的催化剂, Himeda和Huang等[45]开发了一种含有2, 2-联吡唑配体的钌络合物(29). NaOOCH/HCOOH的最佳比例为5:1, 在90 ℃条件下反应前10 min内, TOF最高可达12000 h-1.在没有碱的情况下, 催化剂初始TOF降低为3750 h-1.在催化效率实验中, 35 h后催化剂的TON达到350000.最近, Himeda等[46]报道了[Cp*Ir (4, 4'-dhbp)(H2O)]SO4催化剂用于选择性FA脱氢, 在H2/CO2压力为120.0 MPa和80 ℃反应条件下, 生成的气体混合物存在超临界相, 因此可以通过简单的降低温度来净化H2.作者认为以这种方式从FA中释放H2可以充分满足燃料电池汽车的需要.
2013年, Xiao和Barnard等[47]研究了25 ℃共沸三乙胺甲酸(5FA/2NEt3)体系, 考察了环化铱催化剂各组成部分对其FA脱氢活性的影响(图 9).一方面研究了N供体组的影响, 即带有N—H质子的亚胺基络合物(L1~L5)的初始TOF在500~1000 h-1, 而N-杂环(L6, L7)、亚胺(L8, L9)和饱和苄胺(L10)的络合物活性不高.当N—H质子被供电子(L11, L12)或吸电子(L13)取代, 导致催化剂失活, 说明N—H质子对于催化起到关键作用.通过在配体上引入苯基(L4, L5), 可以提高催化剂的使用寿命, 从而克服在空间要求较低的情况下催化剂快速失活的问题(L1~L3).另一方面, 研究了环化基团(L14~L18)对甲酸脱氢的影响, 发现具有强电子释放取代基的活性更高, 其中以L18为配体的络合物的最大初始TOF为1960 h-1.作者还发现咪唑啉环C2位置进行环化反应可得到最优构型, 并使用优化的铱催化剂[Cp*IrCl(L19)], 在25 ℃初始TOF最高可达到2570 h-1.由于反应速率与FA浓度成正比, 因此在40 ℃连续制氢装置中, 加入足量的FA, 反应速率急剧增加至147000 h-1, 持续时间为10 s.
图 8
图 9
2011年, Nozaki等[48]采用铱PNP1螯合物三氢化物络合物(30)对FA进行脱氢反应.该催化剂在FA/TEA和叔丁醇混合物中, 80 ℃时反应1 min后的TOF可达到120000 h-1, 在4 h后下降到1200 h-1, 甲酸完全分解的TON值为5000. 2017年, Fink和Laurenczy[49]报道了一系列Rh(III)和Ir(III)基催化剂下甲酸(4 mol·L-1)脱氢, 具有多种电子和空间性质的双齿二氮配体使得催化剂的稳定性提高, 但它们的活性一般, 在[Cp*Ir(C6H14-N2)Cl]Cl的存在下, 90 ℃时最大TOF为3278 h-1. 2019年, Onishi等[50]开发出了含有吡啶和不同的吡唑基N, N-二齿配体的Cp*Ir络合物(31~34)用于FA脱氢.在吡唑环上引入OH基团提高了催化活性, 这一趋势与吡啶型配体相似.该催化剂在甲酸脱氢过程中保持了35 d的催化活性, 在4 mol·L-1的甲酸中进行脱氢反应, TON可达到100000.
图 10
图 11
2018年, 李灿等[51]研发了一种新型二氨基乙二醛肟衍生铱催化剂体系(35~37), 该体系在没有添加剂的情况下, 通过甲酸在水中的分解, 实现了高效产氢.这些催化剂由[IrCp*Cl2]2和二肟配体原位制备得到.胺取代基二肟配体具有更多电子, 使催化剂体系具有较高的稳定性.并且可以根据实际需要, 在高温或低温下都能高效工作, 在90 ℃时TON达到3900000(平均速率TOF=65000 h-1), 在70 ℃时TON达到5020000(平均速率TOF=28700 h-1), 在25~26 ℃时TON达到400000(平均速率TOF=1053 h-1).该催化剂具有制备简单、效率高、长期稳定等优点, 使其更适合于甲酸脱氢.
3.3 铑金属络合物
2008年, Fukuzumi等[52]报道了一种亲水性的半三明治结构的铑络合物[Cp*Rh(H2O)(bpy)]2+(bpy=联吡啶)(38), 该络合物在25 ℃时甲酸钠存在下的情况下, 对于甲酸的选择性脱氢具有催化活性.当pH=3.8时, 刚好与甲酸的pKa值相对应, 最高TOF可达到28 h-1.而当pH大于pKa值时, 由于形成了非活性的羟基络合物[Cp*Rh(OH)(bpy)]+, 导致催化剂失活.
2016年, 李灿等[53]报道了催化剂[(Cp*RhCl2)]2二聚物(39)在共沸FA/NEt3中的脱氢反应.当添加卤素阴离子, 尤其是碘离子的加入使得催化剂的活性和稳定性显著提高(60 ℃时, TON (30 min)为706, TOF=4375 h-1).值得注意的是, 该体系并不需要添加稳定的配体.研究表明, 卤化物影响了决速步骤, 活性催化剂是单核的, 在催化循环外与双核氢化物处于平衡状态. TOF值在较高的FA比时下降, 直到在纯底物中降为0, 说明氢化物的形成限制了脱氢反应.此外, 叔胺比伯胺和仲胺更合适作为反应的添加物, 主要是因为后两者和碘离子之间的氢键更强, 从而降低了溶液中卤化物的有效性.由于碘化物对金属的亲和力比氯化物更强, 促进甲酸盐络合物通过释放二氧化碳生成相应氢化物.
2016年, Reek等[54]报道了Rh(CO)(L) [L=2-二(叔丁基膦甲基)-6-苯基吡啶] (40)用于无碱FA脱氢, 其中金属-碳部分起到碱的作用.在75 ℃条件下, 将1, 4-二恶烷中加入0.5 mol%铑进行催化反应, 在连续8次运行中, TOF稳定为169 h-1, 而三乙胺并没有起到增强催化活性的作用.研究表明可逆的环金属化反应可以促进甲酸活化, 在添加FA时, Rh—C键断裂产生金属-甲酸盐络合物, 苯基连接的起始络合物在底物被完全消耗后重新形成.作者认为, 用氯、吡啶或P(tBu)2基取代苯环会导致活性抑制, 这表明配体的配位数和金属上的配位点对于催化活性至关重要.
2016年, Kühn等[55]报道了一种具有双-N杂环碳烯的铑络合物(41)在水溶液和无添加剂条件下选择性催化FA脱氢.该催化剂在25 ℃下的TOF已经达到了90 h-1, 这是少有的性能优异的铑催化剂.通过优化溶液pH值并逐渐降低催化剂用量, 在100 ℃时最大TOF为39200 h-1.在此条件下, 催化剂稳定使用50 h以上, TON为449000.为进一步证明催化稳定性, 他们测试了铑络合物在80 ℃下连续72 h FA脱氢反应, TOF为4300 h-1.
图 12
3.4 非贵金属催化剂
尽管贵金属催化剂在选择性脱氢上取得了重要进展, 但用非贵金属替代贵金属也成为了科研工作者的研究目标.非贵金属催化剂主要优势在于其金属丰富性, 以及大规模应用情况下具有低成本等优点.此外, 大自然中有效的脱氢反应是由非贵金属活性位点(Fe, Ni)酶催化的.近年来, 人们已经开发了铁、钴、镍、铝等非贵金属甲酸脱氢催化剂.
2010年, Beller等[56]报道了几种非贵金属羰基化合物[Fe3(CO)12]、[Mo(CO)6]、[Mn2(CO)10]、[Cr(CO)6]和[Co(CO)8]等与不同膦和三联吡啶原位应用于FA溶液脱氢.其中, 由[Fe3(CO)12]/PPh3/TPY生成的催化剂42稳定性较差, 在60 ℃时的最大初始TOF为200 h-1.通过光谱和密度泛函理论(DFT)研究发现, 铁羰基/膦催化剂只在光的存在下形成活性铁氢化物.随后, 用PBn3取代PPh3形成了一种更稳定催化剂43[57], 在相同的反应条件下, [Fe3(CO)12]/PBn3/TPY催化体系51 h内TON达到1266.作者还指出催化剂的稳定性与邻位金属化之间存在联系.
2011年, Beller和Laurenczy合作[58]开发了一种由Fe(BF4)2·6H2O和PP3在碳酸酯中组成的高活性催化体系(44), 其TOF可达9425 h-1, 在80 ℃下TON超过92000.此外, 他们采用Fe(BF4)2·6H2O或[FeH(PP3)]- (BF4)2(BF4)2以及2倍PP3, 在40 ℃下3 h的TON约1900, 而[Co(BF4)2·6H2O]和[Mn(acac)2]几乎无活性.其中PP3配体既作为碱也起到了稳定金属中心的作用[59].最近, 将多齿sPP3配体磺化原位生成铁(II)催化剂, TOF在80 ℃下可达240 h-1 (FeCl2:sPP3, m:m=1:2), 这是在没有添加剂的水介质中起催化作用的铁催化剂[60].
2013年, Milstein等[32]用铁PNP3螯合物45~47在2FA/1NEt3中选择性催化甲酸脱氢.研究表明加入THF、1, 4-二恶烷和DMSO可以使催化活性升高, 而在EtOH、MeCN和水中活性降低.在40 ℃时50 mol%胺存在下, TOF为520 h-1.在催化剂用量仅为0.001 mol%的情况下, 10 d内TON为100000.此外, 在初始H2/CO2压力为0~1.0 MPa时, 甲酸脱羧没有发生抑制作用, 说明在特定的条件下, 反应是不可逆的.
2014年, Hazari和Schneider等[61]研究表明铁PNP2螯合物48~49在不需要碱的情况下, 以路易斯酸作为辅催化剂, 1, 4-二恶烷作为溶剂催化甲酸脱氢.路易斯酸对羧酸盐更高的亲和力使得活性增强, 这归因于结合的甲酸盐中间体十分稳定.当LiBF4为10 mol%, 催化剂浓度仅为0.0001 mol%, 在80 ℃下运行4次, TOF大于196000 h-1, TON大于980000.
图 13
2015年, Gonsalvi等[62]以[Fe(rac-P4)(CH3CN)2](BF4) (P4=1, 1, 4, 7, 10, 10-六苯基-1, 4, 7, 10-四环磷酰胺膦) (50)为催化剂, 在碳酸丙烯酯中进行甲酸无碱脱氢.在40 ℃下, 催化剂形成Fe(BF4)2·6H2O/P4 (meso/rac=3)时, 反应6 h后甲酸的转化率只有4%.当Fe(II)/rac-P4 (m:m=1:1)时, 60%的甲酸以35 h-1的初始速率脱氢.当中心离子结合2个配体时甲酸完全转化, 其TOF可达到139 h-1.然而在40 ℃的循环试验表明, 进行到第三个循环时, 催化活性已经下降了70%.当Fe(II)/rac-P4 (1:4)时, TON由原来的6061增加到10000.此外, 无论纯meso-P4配体与铁的比例如何, 催化活性都很低.
2016年, Kirchner和Gonsalvi等[63]研究了碱、添加剂、溶剂、温度和催化剂负载对Fe-PNNNP1催化的FA脱氢的影响.在无碱的情况下不发生反应, 而在THF中加入1 equiv. NEt3时, 5 mol·L-1 FA溶液完全反应, 且反应速率在610~720 h-1 (60 ℃).当路易斯酸取代碱时, 所有催化剂的FA脱氢反应被完全抑制.此外, 在非质子溶剂如THF、PC和1, 4-二恶烷中, 可以获得更高的反应速率和总FA转化率.在络合物51存在的情况下, 将FA浓度增加一倍至10 mol·L-1, 并将催化剂负载降低到0.01 mol%, 得到最高的TOF (2635 h-1), 并在80 ℃条件下6 h后完全转换.该催化剂可以重复利用, TON高于12000.
图 14
2014年, Myers和Berben[64]首次研究了铝络合物52~53对甲酸脱氢反应的影响, 提出了一种协同的金属配体氢键参与碳氢键的裂解过程.当FA/NEt3 (m: m=5:2)时, THF作为溶剂, 加入0.006 mol%催化剂, 初始TOF可达5200 h-1.甲酸脱氢可通过催化剂活化形成双质子化的[(PhH2I2P)Al(OOCH)2]+络合物, 然后通过β-氢化物消除释放CO2和H2, 并进一步使甲酸质子化.
2015年, Enthaler等[65]报道了[(PCP)Ni(H)]催化剂54.在常温下反应时分离出中间产物[(PCP)Ni-(H2BH2)], 并用X射线衍射对其进行了表征.使用二甲基正辛胺(FA/胺, m:m=11:10)代替三乙胺作为溶剂, 在80 ℃时3 h TON达到626.用二甘醇或1, 4-二恶烷代替碳酸丙烯酯, 催化剂活性降低65%.当催化剂的溴、甲酸和硼烷衍生物在60 ℃的碳酸丙烯酯中进行FA脱氢时, TON分别下降到初始值的85%、39%和36%.
2014年, Zaccheria等[66]研究了FA/胺混合物中Cu(OAc)2、Cu(OOCH)2、Cu(acac)2、Cu(NO3)2、CuO等铜催化剂的甲酸脱氢.除了CuCl2和铜粉外, 其他的前体几乎都没有活性.在95 ℃条件下Cu(OAc)2含量为0.93%时, 三丁胺取代三乙胺使FA转化率从17.2%提高到25.6%.使用不易还原的铜前体, 如CuI, 进一步增强了FA/NEt3 (1:1)脱氢, 反应45 h后最大转化率达到66%, 以及TON为72.
2015年, Neary和Parkin[67]研究了一系列钼络合物[CpRMo(PMe3)3‑x(CO)xH] [CpR=Cp(环戊二烯基), Cp*; x=0, 1, 2, 3], 在无碱条件下催化甲酸脱氢.在杂化络合物[CpMo(PMe3)2(CO)H] (55)存在的情况下, 以苯作为溶剂, 反应温度为100 ℃时, 氢的反应速率可以达到31 h-1.采用空间位阻更大的Cp*配体时, TOF略有增加到54 h-1.而[CpMo(PMe3)(CO)2H]和[CpMo(CO)3H]对于甲酸脱氢反应不具有催化活性, 可以被理解为它们不容易被甲酸质子化.在随后的一项研究中, 作者报道了镍络合物[Ni(PMe3)4]在苯中80 ℃无添加碱条件下催化甲酸脱氢, TOF为0.2 h-1, 14 h后的TON为70[68].
表 1
表 1 部分甲酸分解制氢均相催化剂的性能Table 1. Performance of some homogeneous catalysts for hydrogen production from formic acid decompositionCompd. Solutiona Additive θ/℃ t/h TON TOFb/h-1 (t/min) Ref. 4 H2O HCO2Na 120 — — 670 [10] 5 DMF NEt3 40 3 459 — [16] 7 C4H8O2+H2O HCO2Na 69 5 990 286 (120) [31] 8 C4H8O2+H2O HCO2Na 68 4 1000 430 (120) [31] 9 DMF NEt3 90 — 706500 256000 [34] 10 DMSO — 50 — 9800 — [35] 11 DMSO — 50 — 2400 — [35] 12 DMSO NEt3 90 150 1100000 7333 [35] 13 H2O HCO2Na 25 — — 426 [36] 14 H2O HCO2Na 25 — — 1880 (10) [37] 15 H2O / 90 1.5 — 14000 [38] 21 — KHCO3 60 4 5000 2400 (5~15) [39] 22 — KHCO3 90 7 165000 228000 (5~15) [39] 23 — KHCO3 60 1.5 10000 32000 (5~15) [39] 24 H2O HCO2Na 80 8 11000 39500 (5) [40] 25 H2O — 80 0.5 10000 34000 (10) [41] 26 — HCO2Na 100 0.5 68000 322000 (10) [42] 27 H2O — 60 2.5 20000 13300 (10) [43] 28 H2O — 98.8 6.5 320000 62900 (30) [44] 29 — HCO2Na 90 35 350000 12000 (10) [45] 30 tBuOH NEt3 80 0.016 2000 120000 (1) [48] 31 H2O NaHCO3 50 1 20 20 (60) [50] 32 H2O NaHCO3 50 1 11 11 (60) [50] 33 H2O NaHCO3 50 1 130 130 (60) [50] 34 H2O NaHCO3 50 48 7850 650 (60) [50] 35 H2O — 60 0.33 7750 28750 (3) [51] 36 H2O — 60 0.33 8333 33750 (3) [51] 37 H2O — 60 0.33 8167 31250 (3) [51] 38 H2O HCO2Na 20 7 20 28 [52] 39 — NEt3+KI 60 0.5 706 4375 (3~6) [53] 40 C4H8O2 — 75 16 1024 169 (10) [54] 41 H2O — 100 50 449000 39200 (180) [55] 42 DMF NEt3 60 3 19 200 [56] 43 DMF NEt3 60 15 702 138 (180) [57] 44 PC — 80 16 92000 9425 [58] 45 THF NEt3 40 3 >999 500 (60) [32] 46 THF NEt3 40 3 >999 503 (60) [32] 47 THF NEt3 40 3 >999 393 (60) [32] 48 C4H8O2 Li'BF4 80 9.5 983642 196728 (60) [61] 49 C4H8O2 NEt3 80 2.5 994 739 (10) [61] 50 PC — 60 6 6061 1737 (10) [62] 51 PC NEt3 80 6 10000 2635 (60) [63] 52 THF NEt3 65 1 2200 5200 (15) [64] 53 THF NEt3 65 1 2000 4800 (15) [64] 54 PC nOctNMe2 80 3 626 481 (120) [65] 55 C6H6 — 100 — — 31 [67] a All solutions add formic acid by default; b The time corresponding to TOF is in brackets. 3. 结论
人类对可持续和可再生能源的不断追求将主导未来的能源研究.如果能克服氢气安全高效储存的瓶颈, 氢气将成为未来广泛使用的能源.甲酸/甲酸盐具有作为液氢储存材料和清洁制氢的巨大潜力.在过去的十几年中, 人们不仅在开发活性更强、更稳定、选择性更强的催化剂方面取得了重大进展, 而且提出了H2释放和储存循环系统的概念.例如, Himeda开发的碱性催化剂可以在室温和常压下催化甲酸水溶液中的可逆氢生成.此外, Laurenczy的水溶性Ru催化剂在高效制氢和储存氢气方面也很有价值.除水外, 有机介质(溶剂、胺)和双相介质(溶剂、水)也为甲酸高效催化释氢提供了基础.含有螯合型、质子反应性和多齿配体的催化剂体系也备受科研工作者的关注.除了钌、铑和铱等贵金属催化剂, 包括铁、钴、镍、铜和铝等非贵金属催化剂也逐渐发展起来, 尤其是铁基催化剂体系, Milstein从胺和无胺的甲酸溶液改进了铁催化产氢的效率.与此同时, 近年来对甲酸脱氢催化机理也有了更为详细的了解.
然而, 在这一领域仍然存在一些挑战, 例如:只有少数催化剂体系在较温和的反应条件下仍然具有良好的催化性能, 当反应条件比较恶劣时, 催化剂往往会存在失活或者活性降低的现象.铁基催化剂体系的配体范围有限, 还需要开发稳定的、合适的非贵金属催化剂.目前, 很多金属催化剂需要有碱添加剂的情况才表现出高活性, 但这导致了实际氢气充放电装置的构造复杂化, 未来储氢系统的特点应该是简单和环境兼容性, 要求没有添加剂和有机溶剂, 依然实现氢气高效存储和释放.自2008年Laurenczy和Beller提出二氧化碳和氢气可逆循环系统的概念以来, 在脱氢和加氢这两个半反应的结合方面取得了较大进展.除了开发合适的脱氢/加氢催化剂外, 如何控制这两种半反应显得至关重要.而且, 为了建立实用的可逆储氢体系, 还需要解决可回收性和能源效率方面的问题.此外, 甲醇、乙醇、甘油, 以及从生物质衍生的复杂多元醇, 如葡萄糖、果糖和纤维二糖等成功制取氢气, 也为未来氢能源开发提供了多样化途径.
-
-
[1]
Sordakis, K.; Tang, C.; Vogt, L. K.; Junge, H.; Dyson, P. J.; Beller, M.; Laurenczy, G. Chem. Rev. 2018, 118, 372. doi: 10.1021/acs.chemrev.7b00182
-
[2]
Coffey, R. S. Chem. Commun. 1967, 923.
-
[3]
Gao, Y.; Kuncheria, J.; Puddephatt, R. J.; Yap, G. P. A. Chem. Commun. 1998, 2365.
-
[4]
Gao, Y.; Kuncheria, J. K.; Jenkins, H. A.; Puddephatt, R. J.; Yap, G. P. A. J. Chem. Soc., Dalton Trans. 2000, 3212.
-
[5]
Hannedouche, J. M.; Clarkson, G. J.; Wills, M. J. Am. Chem. Soc. 2004, 126, 986. doi: 10.1021/ja0392768
-
[6]
Hayes, A. M.; Morris, D. J.; Clarkson, G. J.; Wills, M. J. Am. Chem. Soc. 2005, 127, 7318. doi: 10.1021/ja051486s
-
[7]
Matharu, D. S.; Morris, D. J.; Clarkson, G. J.; Wills, M. Chem. Commun. 2006, 3232.
-
[8]
Morris, D. J.; Clarkson, G. J.; Wills, M. Organometallics 2009, 28, 4133. doi: 10.1021/om900099u
-
[9]
Majewski, A.; Morris, D. J.; Kendall, K.; Wills, M. ChemSusChem 2010, 3, 431. doi: 10.1002/cssc.201000017
-
[10]
Fellay, C.; Paul; nbsp; Dyson, J.; Laurenczy, G. Angew. Chem., Int. Ed. 2008, 120, 4030. doi: 10.1002/ange.200800320
-
[11]
Fellay, C.; Yan, N.; Dyson, P. J.; Laurenczy, G. Chem.-Eur. J. 2009, 15, 3752. doi: 10.1002/chem.200801824
-
[12]
Thevenon, A.; Frost-Pennington, E.; Weijia, G.; Dalebrook, A. F.; Laurenczy, G. ChemCatChem 2014, 6, 3146. doi: 10.1002/cctc.201402410
-
[13]
Gan, W.; Fellay, C.; Dyson, P. J.; Laurenczy, G. J. Coord. Chem. 2010, 63, 2685. doi: 10.1080/00958972.2010.492470
-
[14]
Gan, W.; Snelders, D. J. M.; Dyson, P. J.; Laurenczy, G. B. ChemCatChem 2013, 5, 1126. doi: 10.1002/cctc.201200782
-
[15]
Loges, B.; Boddien, A.; Junge, H.; Beller, M. Angew. Chem., Int. Ed. 2008, 47, 3962. doi: 10.1002/anie.200705972
-
[16]
Boddien, A.; Loges, B. R.; Junge, H.; Beller, M. ChemSusChem 2008, 1, 751. doi: 10.1002/cssc.200800093
-
[17]
Boddien, A.; Loges, B.; Junge, H.; Gärtner, F.; Beller, M. Adv. Synth. Catal. 2009, 351, 2517. doi: 10.1002/adsc.200900431
-
[18]
Boddien, A.; Loges, B.; Junge, H.; Noyes, J. R.; Beller, M. Tetrahedron Lett. 2009, 50, 1603. doi: 10.1016/j.tetlet.2009.01.101
-
[19]
Loges, B.; Boddien, A.; Junge, H.; Noyes, J. R.; Baumann, W.; Beller, M. Chem. Commun. 2009, 4185.
-
[20]
Boddien, A.; Federsel, C.; Sponholz, P.; Mellmann, D.; Jackstell, R.; Junge, H.; Laurenczy, G.; Beller, M. Energy Environ. Sci. 2012, 5, 8907. doi: 10.1039/c2ee22043a
-
[21]
Sordakis, K.; Beller, M.; Laurenczy, G. ChemCatChem 2014, 6, 96. doi: 10.1002/cctc.201300740
-
[22]
Sponholz, P.; Mellmann, D. r.; Junge, H.; Beller, M. ChemSusChem 2013, 6, 1172. doi: 10.1002/cssc.201300186
-
[23]
Geldbach, T. J.; Dyson, P. J. J. Am. Chem. Soc. 2004, 126, 8114. doi: 10.1021/ja048886k
-
[24]
Kawasaki, I.; Tsunoda, K.; Tsuji, T.; Yamaguchi, T.; Shibuta, H.; Uchida, N.; Yamashita, M.; Ohta, S. Chem. Commun. 2005, 2134.
-
[25]
Li, X.; Ma, X.; Shi, F.; Deng, Y. ChemSusChem 2010, 3, 71. doi: 10.1002/cssc.200900218
-
[26]
Scholten, J. D.; Prechtl, M. H. G.; Dupont, P. Â. J. ChemCatChem 2010, 2, 1265. doi: 10.1002/cctc.201000119
-
[27]
Berger, M. E. M.; Assenbaum, D.; Taccardi, N.; Spiecker, E.; Wasserscheid, P. Green Chem. 2011, 13, 1411. doi: 10.1039/c0gc00829j
-
[28]
Schuster, O.; Yang, L.; Raubenheimer, H. G.; Albrecht, M. Chem. Rev. 2009, 109, 3445. doi: 10.1021/cr8005087
-
[29]
Czaun, M.; Goeppert, D. A.; May, R.; Haiges, D. R.; Prakash, P. D. G. K. S.; Olah, P. D. G. A. ChemSusChem 2011, 4, 1241. doi: 10.1002/cssc.201000446
-
[30]
Czaun, M.; Goeppert, A.; Kothandaraman, J.; May, R. B.; Olah, G. A. ACS Catal. 2013, 4, 311.
-
[31]
Kothandaraman, J.; Czaun, M.; Goeppert, A.; Haiges, R.; Jones, J.-P.; May, R. B.; Prakash, G. K. S.; Olah, G. A. ChemSusChem 2015, 8, 1442. doi: 10.1002/cssc.201403458
-
[32]
Zell, T.; Butschke, B.; Ben-David, Y.; Milstein, D. Chem.-Eur. J. 2013, 19, 8068. doi: 10.1002/chem.201301383
-
[33]
Vogt, M.; Nerush, A.; Diskin-Posner, Y.; Ben-David, Y.; Milstein, D. Chem. Sci. 2014, 5, 2043. doi: 10.1039/C4SC00130C
-
[34]
Filonenko, G. A.; van Putten, R.; Schulpen, E. N.; Hensen, E. J. M.; Pidko, E. A. ChemCatChem 2014, 6, 1526. doi: 10.1002/cctc.201402119
-
[35]
Pan, Y.; Pan, C.-L.; Zhang, Y.; Li, H.; Min, S.; Guo, X.; Zheng, B.; Chen, H.; Anders, A.; Lai, Z.; Zheng, J.; Huang, K.-W. Chem. Asian J. 2016, 11, 1357. doi: 10.1002/asia.201600169
-
[36]
Fukuzumi, S.; Kobayashi, T.; Suenobu, T. J. Am. Chem. Soc. 2010, 132, 1496. doi: 10.1021/ja910349w
-
[37]
Maenaka, Y.; Suenobu, T.; Fukuzumi, S. Energy Environ. Sci, 2012, 5, 7360. doi: 10.1039/c2ee03315a
-
[38]
Himeda, Y. Green Chem. 2009, 11, 2018. doi: 10.1039/b914442k
-
[39]
Hull, J. F.; Himeda, Y.; Wang, W.-H.; Hashiguchi, B.; Periana, R.; Szalda, D. J.; Muckerman, J. T.; Fujita, E. Nat. Chem. 2012, 4, 383. doi: 10.1038/nchem.1295
-
[40]
Wang, W. H.; Xu, S.; Manaka, Y.; Suna, Y.; Kambayashi, H.; Muckerman, J. T.; Fujita, E.; Himeda, Y. ChemSusChem 2014, 7, 1976. doi: 10.1002/cssc.201301414
-
[41]
Manaka, Y.; Wang, W. H.; Suna, Y.; Kambayashi, H.; Muckerman, J. T.; Fujita, E.; Himeda, Y. Catal. Sci. Technol. 2013, 4, 34.
-
[42]
Wang, W.-H.; Ertem, M. Z.; Xu, S.; Onishi, N.; Manaka, Y.; Suna, Y.; Kambayashi, H.; Muckerman, J. T.; Fujita, E.; Himeda, Y. ACS Catal. 2015, 5, 5496. doi: 10.1021/acscatal.5b01090
-
[43]
Onishi, N.; Ertem, M. Z.; Xu, S.; Tsurusaki, A.; Manaka, Y.; Muckerman, J. T.; Fujita, E.; Himeda, Y. Catal. Sci. Technol. 2016, 6.
-
[44]
Iguchi, M.; Himeda, Y.; Manaka, Y.; Kawanami, H. ChemSusChem 2016, 9, 2749. doi: 10.1002/cssc.201600697
-
[45]
Guan, C.; Zhang, D.-D.; Pan, Y.; Iguchi, M.; Ajitha, M. J.; Hu, J.; Li, H.; Yao, C.; Huang, M.-H.; Min, S.; Zheng, J.; Himeda, Y.; Kawanami, H.; Huang, K.-W. Inorg. Chem. 2017, 56, 438. doi: 10.1021/acs.inorgchem.6b02334
-
[46]
Iguchi, M.; Himeda, Y.; Manaka, Y.; Matsuoka, K.; Kawanami, H. ChemCatChem 2016, 8, 886. doi: 10.1002/cctc.201501296
-
[47]
Barnard, J. H.; Wang, C.; Berry, N. G.; Xiao, J. Chem. Sci. 2013, 4, 1234. doi: 10.1039/c2sc21923a
-
[48]
Tanaka, R.; Yamashita, M.; Chung, L. W.; Morokuma, K.; Nozaki, K. Organometallics 2011, 30, 6742. doi: 10.1021/om2010172
-
[49]
Fink, C.; Laurenczy, G. Dalton. Trans. 2017, 46, 1670. doi: 10.1039/C6DT04638J
-
[50]
Onishi, N.; Kanega, R.; Fujita, E.; Himeda, Y. Adv. Synth. Catal. 2019, 361, 289. doi: 10.1002/adsc.201801323
-
[51]
Lu, S.-M.; Wang, Z.; Wang, J.; Li, J.; Li, C. Green Chem. 2018, 20, 1835. doi: 10.1039/C8GC00495A
-
[52]
Fukuzumi, S.; Kobayashi, T.; Suenobu, T. ChemSusChem 2008, 1, 827. doi: 10.1002/cssc.200800147
-
[53]
Wang, Z.; Lu, S.-M.; Wu, J.; Li, C.; Xiao, J. Eur. J. Inorg. Chem. 2016, 2016, 490. doi: 10.1002/ejic.201501061
-
[54]
Jongbloed, L.; Bruin, B. D.; Reek, J. N. H.; Lutz, M.; Vlugt, J. I. V. D. Catal. Sci. Technol. 2015, 6, 1320.
-
[55]
Jantke, D.; Pardatscher, L.; Drees, M.; Cokoja, M.; Herrmann, W. A.; Kühn, F. E. ChemSusChem 2016, 9, 2849. doi: 10.1002/cssc.201600861
-
[56]
Boddien, A.; Loges, B.; Gärtner, F.; Torborg, C.; Fumino, K.; Junge, H.; Ludwig, R.; Beller, M. J. Am. Chem. Soc. 2010, 132, 8924. doi: 10.1021/ja100925n
-
[57]
Boddien, A.; Gärtner, F.; Jackstell, R.; Junge, H.; Spannenberg, A.; Baumann, W.; Ludwig, R.; Beller, M. Angew. Chem., Int. Ed. 2010, 49, 8993. doi: 10.1002/anie.201004621
-
[58]
Boddien, A.; Mellmann, D.; Gärtner, F.; Jackstell, R.; Junge, H.; Dyson, P. J.; Laurenczy, G.; Ludwig, R.; Beller, M. Science 2011, 333, 1733. doi: 10.1126/science.1206613
-
[59]
Mellmann, D. R.; Barsch, E.; Bauer, M.; Grabow, K.; Boddien, A.; Kammer, A.; Sponholz, P.; Bentrup, U.; Jackstell, R.; Junge, H. Chem.-Eur. J. 2014, 20, 13589. doi: 10.1002/chem.201403602
-
[60]
Montandon-Clerc, M.; Dalebrook, A. F.; Laurenczy, G. J. Catal. 2016, 343, 62. doi: 10.1016/j.jcat.2015.11.012
-
[61]
Bielinski, E. A.; Lagaditis, P. O.; Zhang, Y.; Mercado, B. Q.; Würtele, C.; Bernskoetter, W. H.; Hazari, N.; Schneider, S. J. Am. Chem. Soc. 2014, 136, 10234. doi: 10.1021/ja505241x
-
[62]
Bertini, F.; Mellone, I.; Ienco, A.; Peruzzini, M.; Gonsalvi, L. ACS Catal. 2015, 5, 1254. doi: 10.1021/cs501998t
-
[63]
Mellone, I.; Gorgas, N.; Bertini, F.; Peruzzini, M.; Kirchner, K.; Gonsalvi, L. Organometallics 2016, 35, 3344. doi: 10.1021/acs.organomet.6b00551
-
[64]
Myers, T. W.; Berben, L. A. Chem. Sci. 2014, 5, 2771. doi: 10.1039/C4SC01035C
-
[65]
Enthaler, S.; Brück, A.; Kammer, A.; Junge, H.; Gülak, S. ChemCatChem 2014, 7, 65.
-
[66]
Scotti, N.; Psaro, R.; Ravasio, N.; Zaccheria, F. RSC Adv. 2014, 4, 61514. doi: 10.1039/C4RA11031E
-
[67]
Neary, M. C.; Parkin, G. Chem. Sci. 2015, 6, 1859. doi: 10.1039/C4SC03128H
-
[68]
Neary, M. C.; Parkin, G. Dalton. Trans. 2016, 45, 14645. doi: 10.1039/C6DT01499B
-
[1]
-
表 1 部分甲酸分解制氢均相催化剂的性能
Table 1. Performance of some homogeneous catalysts for hydrogen production from formic acid decomposition
Compd. Solutiona Additive θ/℃ t/h TON TOFb/h-1 (t/min) Ref. 4 H2O HCO2Na 120 — — 670 [10] 5 DMF NEt3 40 3 459 — [16] 7 C4H8O2+H2O HCO2Na 69 5 990 286 (120) [31] 8 C4H8O2+H2O HCO2Na 68 4 1000 430 (120) [31] 9 DMF NEt3 90 — 706500 256000 [34] 10 DMSO — 50 — 9800 — [35] 11 DMSO — 50 — 2400 — [35] 12 DMSO NEt3 90 150 1100000 7333 [35] 13 H2O HCO2Na 25 — — 426 [36] 14 H2O HCO2Na 25 — — 1880 (10) [37] 15 H2O / 90 1.5 — 14000 [38] 21 — KHCO3 60 4 5000 2400 (5~15) [39] 22 — KHCO3 90 7 165000 228000 (5~15) [39] 23 — KHCO3 60 1.5 10000 32000 (5~15) [39] 24 H2O HCO2Na 80 8 11000 39500 (5) [40] 25 H2O — 80 0.5 10000 34000 (10) [41] 26 — HCO2Na 100 0.5 68000 322000 (10) [42] 27 H2O — 60 2.5 20000 13300 (10) [43] 28 H2O — 98.8 6.5 320000 62900 (30) [44] 29 — HCO2Na 90 35 350000 12000 (10) [45] 30 tBuOH NEt3 80 0.016 2000 120000 (1) [48] 31 H2O NaHCO3 50 1 20 20 (60) [50] 32 H2O NaHCO3 50 1 11 11 (60) [50] 33 H2O NaHCO3 50 1 130 130 (60) [50] 34 H2O NaHCO3 50 48 7850 650 (60) [50] 35 H2O — 60 0.33 7750 28750 (3) [51] 36 H2O — 60 0.33 8333 33750 (3) [51] 37 H2O — 60 0.33 8167 31250 (3) [51] 38 H2O HCO2Na 20 7 20 28 [52] 39 — NEt3+KI 60 0.5 706 4375 (3~6) [53] 40 C4H8O2 — 75 16 1024 169 (10) [54] 41 H2O — 100 50 449000 39200 (180) [55] 42 DMF NEt3 60 3 19 200 [56] 43 DMF NEt3 60 15 702 138 (180) [57] 44 PC — 80 16 92000 9425 [58] 45 THF NEt3 40 3 >999 500 (60) [32] 46 THF NEt3 40 3 >999 503 (60) [32] 47 THF NEt3 40 3 >999 393 (60) [32] 48 C4H8O2 Li'BF4 80 9.5 983642 196728 (60) [61] 49 C4H8O2 NEt3 80 2.5 994 739 (10) [61] 50 PC — 60 6 6061 1737 (10) [62] 51 PC NEt3 80 6 10000 2635 (60) [63] 52 THF NEt3 65 1 2200 5200 (15) [64] 53 THF NEt3 65 1 2000 4800 (15) [64] 54 PC nOctNMe2 80 3 626 481 (120) [65] 55 C6H6 — 100 — — 31 [67] a All solutions add formic acid by default; b The time corresponding to TOF is in brackets. -
扫一扫看文章
计量
- PDF下载量: 113
- 文章访问数: 6610
- HTML全文浏览量: 2069

下载:
下载: