Citation: Huang Jing, Yang Yihua, Feng Juan, Li Junzhang, Liu Shouxin. Research Progress on cis-/trans-Isomerization of Cyclic Peptide[J]. Chinese Journal of Organic Chemistry, 2020, 40(6): 1473-1483. doi: 10.6023/cjoc201911030
环肽中酰胺键cis-/trans-异构化的相关研究进展
-
关键词:
- cis-/trans-结构
- / cis-/trans-异构体
- / 环肽
- / 生物活性
English
Research Progress on cis-/trans-Isomerization of Cyclic Peptide
-
Key words:
- cis-/trans-structure
- / cis-/trans-isomerization
- / cyclic peptide
- / bioactivity
-
天然环肽是一类拥有不寻常结构特点和各种生理活性的化合物[1].这类环肽化合物已经超出了有机小分子的概念, 但是它们自身所拥有的立体结构与空间限制为发现潜在的候选药物提供了独特的选择[2].与链状肽类化合物相比, 环肽化合物通过将链状肽形成环而减少了无作用的构象.但环肽分子的构象仍然受制于诸如环肽分子骨架、分子内氢键、微量金属离子和不同的溶媒介质等因素的影响, 从而在与蛋白酶作用的过程中, 酶对环肽的选择性地识别和亲合力[3]远远高于链肽, 这些效应既提高了环肽类化合物治疗疾病的潜力, 同时也因为提高了环肽化合物代谢的稳定性, 增强了细胞渗透性和药物分子的口服利用度.从环肽化合物生物作用的角度分析, 链肽成环之后的构象, 特别是环肽分子中肽基酰胺键的cis-或trans-结构, 在诱导或控制环肽分子构象中被视为一个不可忽视的因素, 在生化过程中起到了关键作用, 尤其是当环肽结构中含有脯氨酸[4]片段时, 会引起多肽和蛋白结构的变化, 从而导致多肽生理活性或蛋白功能的变化, 由此形成的结构或构象特点, 为某些功能肽和蛋白作用的专一性创造了条件[5].
1. 肽键的cis-/trans-异构化概述
对于含有酰胺键结构的化合物, 由于N原子孤对电子与羰基发生p-π共轭作用, 使得酰胺结构中的C—N单键具有一定程度的双键性质, 其键长0.138 nm介于C—N单键0.147 nm和C=N双键0.128 nm之间[6], 由此限制了C—N单键自由旋转, 因此在酰胺、取代氨基甲酸酯和脲类等化合物中可能存在顺式(cis-)/反式(trans-)异构化现象(图 1).但是由于这两种异构化之间的能垒差异不是很大, 通常约为10.5 kJ/mol, 所以这种cis-/trans-异构化往往不易观察到, 而当酰胺的N原子上存在空间扭转张力或更大空间位阻时, 这种cis-/trans-异构化就能十分清楚地显现出来, 如N-甲基乙酰胺结构中的cis-/trans-异构化就存在83.7 kJ/mol的旋转能垒差, 二者的1H NMR存在明显差异[7].
图 1
从生物化学角度来讲, 只有肽类和蛋白质类物质中的酰胺键才称为肽键, 这种cis-/trans-异构化的肽基酰胺键在含有脯氨酸(或吡咯环)残基的各种肽类物质中尤为常见[8].肽链中, 肽基的cis-/trans-异构化是以肽基酰胺键为核心的二面角ω(Ca-C-N+-Ca)=0°时, 定义为cis-结构, 而二面角ω=180°时, 定义为trans-结构.这个数值可以有±20°的波动范围[9].在2D-NMR核磁共振谱上, 以肽基脯氨酰胺键为例, 当脯氨酸α'-碳原子上α'-H与脯氨酸前氨基酸残基α-碳原子上的α-H原子有NOE (Nuclear Overhauser Effect)效应时, 这种结构就称为cis-结构; 而当脯氨酸δ'-碳原子上的δ'-H原子与脯氨酸前残基α-碳原子上的α-H原子有NOE效应时, 则称为trans-结构[10].如图 2所示.在含有脯氨酸残基的cis-或trans-结构中, 由于trans-异构体的能量仅比cis-异构体高出2.1 kJ/mol, 因此cis-异构体的含量显著增高了10%~30%, 而且cis-/trans-异构体的活化能垒差也只有54.4 kJ/mol[11].
图 2
Pook等[12]指出, 处于cis-结构的脯氨酸残基的β-CH2原子受羰基C=O的屏蔽作用, 相对于γ-CH2要强, 因此, 通过比较脯氨酸残基上Cβ和Cγ碳谱的化学位移差值(Δδβγ=δβ-δγ), 即可用来判定该肽基脯氨酰胺键(AA-Pro或Pro-AA)的cis-或trans-结构情况, 而且cis-结构的化学位移差值Δδβγ要比trans-结构的化学位移差值大.
在通常的二肽中, 肽键的cis-/trans-结构相互转换势垒不超过75 kJ/mol, 而且室温下转换的速率常数<1.0 s-1.在如此低的旋转势垒下, 二肽的肽键通常不会参与蛋白质的折叠[13].然而, 这种cis-/trans-异构化和旋转势垒对肽基脯氨酸的影响尤为显著, 而且这种三级肽键称为肽基脯氨酰胺键.从热力学角度分析, 肽基脯氨酰胺键的trans-结构比cis-结构更为稳定, 因为在trans-结构中C—N键两侧基团的空间位阻被完全释放, 对于达到平衡的二级肽键, cis-结构含量约占1%.而对于三级肽键, 如肽基脯氨酰胺键, 其cis-和trans-结构均存在相近的空间位阻.因此在非结构蛋白或肽中, cis-或trans-结构的占比几乎相当, 即cis-异构体和trans-异构体含量各接近50%.此外, 肽基脯氨酰胺键具有更高的旋转势垒, 平均活化焓达80 kJ/mol, 而在一般的二肽中二级肽键的活化焓值不超过70 kJ/mol, 而且肽基脯氨酰胺键的cis-/trans-异构化速率常数在0.1~0.01 s-1之间[13], cis-/trans-异构体转换就相当缓慢, 从而促进了蛋白质折叠结构的形成.
对于肽键中的cis-/trans-异构化现象, 如果是不含脯氨酸残基的肽键, 目前学术界普遍认为其属于构象异构, 原因就在于这种cis-或trans-异构体在溶液中始终保持一定的比例共存, 二者无法单独分离, 而且在一定的条件下可实现cis-或trans-异构体相互转化(如升高温度或改变溶媒).然而, 当肽键中含有脯氨酸残基或是N-取代的三级肽键时, 结合所处的特定环境能够形成稳定的cis-或trans-异构体, 这种结构的异构体不仅可以分离, 而且其cis-或trans-构型不因外界条件的变化而改变, 构成事实上的构型异构体.
研究证实, 这种cis-/trans-异构化在生命现象中发挥着极为重要的生理功能, 是生命体不可或缺的调控自身各种生理过程的重要手段. Ramachandran和Mitra[11]通过构象能量计算发现, 对于二肽Ala-Ala(丙氨酸-丙氨酸)和Ala-Pro(丙氨酸-脯氨酸), 二者的cis-异构体所占比例分别为0.1%和30%(其对应的焓差分别为16.7和2.1 kJ/mol).由于cis-和trans-异构体之间能量的差异, 这两者在室温下的相互转化过程就相当缓慢, 但是已经证明其对蛋白质的折叠起到了重要作用.由于这种cis-/trans-异构化致使小分子在物理、化学乃至生物学性质方面发生了显著改变, 使得这些具有cis-/trans-异构化结构的环肽物质与细胞增值、凋亡等生化过程有了重要的联系.如药物分子的立体构型和受体之间的相互作用; 生化过程的立体选择性与分子的立体构型之间的关系; 各类天然产物的立体构型与其生理活性之间的关系[14].
酰胺键的cis-/trans-结构虽然很经典, 但是在环肽结构与生物活性之间所处的角色一直没有引起关注.本文围绕环肽中酰胺键的cis-/trans-结构, 并按酰胺N原子上氢是否被取代而分为两大类进行评述.一类是没有任何取代的酰胺键cis-/trans-异构化, 如环化脑啡肽与皮啡肽中存在的cis-/trans-异构; 而对取代酰胺键的cis-/trans-异构, 分为含脯氨酸和N-甲基化残基的两大类环肽.应当特别指出的是, N-甲基化环肽的生物活性和口服利用度亦日益受到药物研究的关注[15].
2. 非N-取代环肽的cis-/trans-异构
众所周知, 脑啡肽(Enkephalin, Tyr-Gly-Gly-Phe-Met或Tyr-Gly-Gly-Phe-Leu, Met=蛋氨酸)和皮啡肽(Dermorphin, Tyr-D-Arg-Phe-Sar, Sar=N-甲基甘氨酸)都属于内源性的阿片肽(图 3), 具有与吗啡相似的生理功能.截止目前为止, 这二者在镇痛方面的应用研究比较多, 但是镇痛的原理尚未形成共识.脑啡肽和皮啡肽这两种物质由于其链状结构的柔性特点, 在遇到不同的受体位点时可以采取不同的构象形式, 从而妨碍了药物化学家对其关键药理结构特征进行深入研究.为了限制这类柔性特点, 一方面可以通过逆向连接和构型翻转来限制其柔性, 另一方面也可以通过分子环化来有效改变柔性特点.肽链首尾端的环化不仅降低了线性肽链构象的灵活性, 而且也会产生更为有效的μ或δ受体选择性类似物.
图 3
从化学和生物意义上看, 环肽有别于链肽, 而且具有更加优良的生物活性. Goodman等[16]在环状脑啡肽类物质的研究中, 首次合成了系列具有cis-酰胺键结构的十四元环肽, 而且这些环肽分子中不含有任何脯氨酸或任何其他N-取代氨基酸残基.如环肽分子(H-Tyr-c[D-Glu-Phe-gPhe-D-retroLeu]) (gPhe=2-苯基-1, 1-二氨基乙烷, retro=逆向)中的全部酰胺键呈trans-结构, 而且这种trans-异构体的占比达到28%;而含有两个cis-结构的异构体占比分别达51%和21%, 即D-Glu与Phe的酰胺键呈cis-结构(占比51%), 另一种Phe与gPhe的酰胺键呈cis-结构(占比21%).整个环肽分子在二甲基亚砜(DMSO)中同时存在三种cis-或trans-异构体, 即trans-:cis-:cis-=28%:51%:21%(图 4).与脑啡肽(Tyr-Gly-Gly-Phe-Leu)对比, 该环肽化合物在豚鼠回肠(GPI)和小鼠输精管(MVD)的体外活性试验中, 呈现出较强的GPI、MVD效应[16], IC50值分别达2.75和49.1 nmol·L-1, MVD/GPI比值达17.9, 即δ/μ=17.9, 表明环化之后具有较高的δ受体选择性.
图 4
Schiller等[17]在环状脑啡肽或皮啡肽类似物的研究中, 通过引入碳碳双键合成了一系列具有CH=CH双键结构的环十一、十四肽(图 5).
图 5
在合成的环状皮啡肽类似物Ⅰ中, 当4位为L-构型的氨基酸残基时, 通过烯烃复分解反应(RCM)反应生成的双键是cis-与trans-结构的混合物; 二者比例为:化合物1 (cis-):化合物2 (trans-)=3:1;与此相反, 当4位为D-构型的氨基酸残基时, 则仅仅只能得到cis-结构的环肽.与含胱氨酸的母肽Tyr-c[D-Cys-Phe-(L or D)-Cys]NH2相比, 含烯键的环肽在豚鼠回肠(GPI)和小鼠输精管(MVD)的实验中均显著降低了μ和δ受体激动效应[17], IC50值分别只有436和460 nmol·L-1(化合物1)、162和444 nmol·L-1(化合物2), MVD/GPI的比值表明缺乏μ、δ受体选择性.
在合成的环状脑啡肽类似物Ⅱ中[18], GPI和MVD实验表明, 双键CH=CH处于trans-结构的环肽在μ、δ受体激动剂和k受体结合力之间存在着平衡作用, IC50值分别达5.63和4.38 nmol·L-1(化合物4'), 其MVD/GPI比值约为0.78.
3. 含脯氨酸的环肽存在的cis-/trans-异构
由于脯氨酸中的氢化吡咯环对环肽分子的构象影响非常大, 也正是缘于此含有脯氨酸的环肽的生物效应更加复杂, 目前尚无特定的构效规律可循.文中所讨论的含脯氨酸环肽是依据环肽中脯氨酸单元数量的不同, 选取了最为常见的环七~八肽中具有典型cis-/trans-结构的环肽为主题来进行讨论.
研究显示[11, 19], 在含脯氨酸的蛋白质类物质中, 有近6%的肽基脯氨基肽键X-Pro为cis-结构, 如脯氨酸-脯氨酸(Pro-Pro)、芳香环-脯氨酸(aromatic-Pro)和脯氨酸-芳香环(Pro-aromatic)序列结构.肽基脯氨基肽键不同于其它肽键, 由于氢化吡咯环的刚性结构, 空间位阻使C—N酰胺键的双键特性大大降低, 有利于C—N单键的自由旋转, 从而形成一定量的cis-异构体, 而且在一定的溶剂或pH条件下, 能够转变为100%的cis-异构体.吡咯N原子中sp3杂化轨道上的孤对电子在肽基脯氨酰胺键的cis-/trans-异构化中发挥了重要作用, 而且异构体的比例随环肽结构的不同而不同.
3.1 环七肽Ceratospongamides的cis-/trans-异构
角状海绵酰胺Ceratospongamides是从红藻Ceratodictyon spongiosum中分离出来的一种二级代谢产物[20] (图 6), 其结构中除了一个噻唑、噁唑和两个苯丙氨酸残基外, 还含有两个同属于三级酰胺的脯氨酸残基.基于1D-、2D-NMR核磁共振技术, 发现分子中的两个肽基脯氨酰胺键同时呈cis-或trans-结构, 整个分子为具有cis, cis-或trans, trans-结构的两种稳定构象的异构体, 即cis, cis-Ceratospongamide和trans, trans-Ceratospongamide环七肽.分子模拟研究表明, trans, trans-异构体的整体分子接近于平面, 而cis, cis-异构体的分子整体呈更加皱缩的状态.生物活性数据显示, trans, trans-异构体能够显著抑制磷脂酶sPLA2的表达, ED50值达32 nm, 但是cis, cis-异构体却没有显现出生物活性.
图 6
3.2 环七肽Stylostatin及其类似物中的cis-/trans-异构
Stylostatin[21]是从南太平洋的Stylotella sp.海绵中得到的一种环七肽, 其结构中的七个氨基酸(脯氨酸、苯丙氨酸、异亮氨酸、丙氨酸、亮氨酸、丝氨酸和天冬酰胺)均为L-构型, 而且对小鼠P388淋巴细胞性白血病表现出了良好的抑制效果, ED50值达0.8 μg/mL (图 7).
图 7
通过对五种Stylostatin类似物[22]的研究显示, 在肽基脯氨酰胺键Ile-Pro(异亮氨酸-脯氨酸)的位置容易出现cis-或trans-结构.核磁共振NMR研究显示, 天然环肽Stylostatin中的肽基脯氨酰胺键L-Ile-Pro呈较为稳定的cis-结构.当用D-别异亮氨酸(D-allo-Ile)替换其中的L-异亮氨酸(L-Ile)时, 则在D-allo-Ile-Pro的位置形成了较为稳定的trans-结构.而在其余几种结构类似物中, cis-或trans-结构都呈一定的比例出现, 而且通过改变温度可以缓慢地实现cis-或trans-结构相互转化.尽管天然环肽Stylostatin与这五种类似物对前列腺肿瘤(DU-145、LN-caP、SKOV-3)、卵巢肿瘤(IGROV、IGROV-ET、SK-BR-3)、黑色素肿瘤(MEL-28)、非小细胞肺癌(A-549)、胰腺细胞肿瘤(PANC-1、HT-29)、结肠细胞肿瘤(LOVO、LOVO-DOX)和血癌(K-652)等七种肿瘤细胞抑制活性不甚突出, 但是由于这种cis-或trans-结构而导致的大环分子骨架构象上的变化引起了众多化学工作者的关注.
围绕环肽Stylostatin分别引入L-赖氨酸(L-Lys)、L-精氨酸(L-Arg)、L-天冬氨酸(L-Asp)、L-天冬酰胺(L-Asn)和L-苏氨酸(L-Thr)五种天然氨基酸合成了四种结构类似物(图 7)[23], 通过对肽基脯氨酰胺键Ile-Pro的cis-或trans-异构化研究显示, 环内氢键和环外氢键都会影响cis-或trans-结构的比例及其稳定性, 在DMSO溶液中, 这四种类似物都存在cis-或trans-异构体, 而且cis-异构体较trans-异构体更为稳定.
3.3 环肽Sanguinamides及其类似物中的cis-/trans-异构
Sanguinamides是从一种Hexabranchus sanguineus深红色提取物中分离出来的环肽化合物[24].其结构中除了两个脯氨酸残基和常规的氨基酸残基外, 还含有噻唑或噁唑修饰的氨基酸残基, 而且所有氨基酸残基均为L-构型, 并最终确定为环七肽Sanguinamide A和环八肽Sanguinamide B.最早的研究表明:在Sanguinamide A中两个脯氨酸残基Pro1和Pro2均处于cis-结构, 而Sanguinamide B中则均处于trans-结构, 即cis, cis-Sanguinamide A和trans, trans-Sanguinamide B(简写为trans, trans-San B).全合成研究[25]显示前者的结构应为cis, trans-Sanguinamide A (简写为cis, trans-San A), 如图 8所示.
图 8
通过对Sanguinamide B的全合成[26], 不仅确证了结构中两个肽基脯氨酰胺键是trans, trans-结构, 而且还合成了它的两个异构体, 即trans, cis-San B和cis, cis-San B, 如图 8所示.天然环肽trans, trans-Sanguinamide B的trans-结构受热力学控制, 而合成的环肽cis, cis-San B的cis-结构则是受动力学控制. cis, cis-San B在DMSO溶液中加热至170 ℃回流20 h可完全转化为trans, trans-Sanguinamide B和trans, cis-San B, 且两者比例为trans, trans-:trans, cis-=1:1.活性研究显示, 只有trans, trans-Sanguinamide B具有破坏铜绿假单胞菌(Pseudomonas aeruginosa)毒性免疫因子的作用.
McAlpine通过引入N-甲基化、甘氨酸、L-或D-构型等结构影响因素, 合成了一系列类似物[27], 即: trans, cis-San B、cis, cis-San B和cis, trans-San B.结果显示, 只有引入L-/D-苯丙氨酸不会导致多种异构体产生, 而引入N-甲基化氨基酸或甘氨酸等残基的San B环肽, 都将生成各种各样的trans, cis-和cis, cis-以及cis, trans-San B异构体; 即使是在氨基酸序列与手性构型完全相同的情况下, 也能同时产生两种稳定的cis, cis-San B异构体, 如图 9的环肽trans, cis-Sanguinamide B 4A与trans, cis-Sanguinamide B 4C两个构型异构体.所有这些环肽对革兰氏阳性菌、革兰氏阴性菌、金色葡萄球菌(Staphylococcus aureus)和大肠杆菌(Escherichia coli)都显示出了抑制活性[27].构效分析研究发现, 在环肽cis, cis-San B的骨架中引入L-或D-苯丙氨酸残基, 能够显著控制大环的构象并赋予大环化合物对细菌运动的最大抑制作用.相反, 在该结构模板中引入N-甲基化或甘氨酸残基, 则无法控制获得构象单一的环肽结构.所以, 利用活性大环分子的刚性构象特点, 来控制对蛋白质靶点获得高的亲和力和高的选择性[28], 可以成为药物设计和研究的重要手段.
图 9
3.4 环八肽Phakellistatin中的cis-/trans-异构
Phakellistatins是从海绵Phakellia中提取分离得到的一类富含脯氨酸残基的环肽类物质, 通常由7到10个氨基酸残基组成, 而且至少有一个脯氨酸.研究结果表明, 其中一些环肽具有癌细胞毒性或抗真菌活性, 截止到目前为止, 已经陆续报道了19种Phakellistatin环肽[29].
Phakellistatin 15, Phakellistatin 17和Phakellistatin 18都是从南中国海的海绵Phakellia fusca中分离得到三种环肽[30] (图 10).其中, Phakellistatin 15和Phakellistatin 17属于环八肽, 是环肽Hymenamide A的结构类似物[31], 其结构中含有三个脯氨酸残基, 而Phakellistatin 18属于环七肽.基于1D-和2D-NMR核磁共振技术, 发现Phakellistatin 15和Phakellistatin 17两个环肽中的三个脯氨酸均为trans-结构, 而Phakellistatin 18中的三个脯氨酸均为cis-结构.经体外细胞毒性检测, Phakellistatin 15具有细胞毒性, 对小鼠白血病细胞P388的IC50值达8.5μM, 而Phakellistatin 17和Phakellistatin 18对该P388细胞和肝癌细胞BEL-7402则无细胞毒性.
图 10
含有脯氨酸残基的环肽中, 酰胺键cis-/trans-异构化现象存在的十分普遍, 除了上述列举的实例之外, 如环肽Stylopeptide 1[32]、Euryjanicins [33]、Carteritins[34]和Reniochalistatins[35]也存在这一现象, 尽管不同环肽中脯氨酸所扮演的化学异构效应和生物效应不尽相同.
4. 含N-甲基氨基酸环肽存在的cis-/trans-异构
N-甲基化环肽不仅存在于植物和海洋生物体中, 也不断地在发酵液中被分离出来, 所以是发现具有生物活性环肽的重要途径之一.笔者课题组[36]在围绕环五肽Sansalvamide A的研究工作中, 就时常监测到这种cis-/trans-异构化现象. N-甲基化环肽与含有脯氨酸残基的环肽十分相似, 也存在三级酰胺的cis-/trans-异构化现象; 同时, 这种N-甲基化环肽的cis-/trans-结构对环肽化合物的生理活性影响很大.如临床上用于抑制器官移植所引发的排异药物环孢菌素A (cyclophilin-A)和茜草科类型环肽RAs系列(Rubiaceae-type cyclopeptides, RAs).
4.1 环孢菌素A
环孢菌素A (Cyclosporine A, CsA)亦称“环孢霉素”或“环孢素”, 是从一种丝状真菌Tolypocladium inflatum的培养液中分离出来的环十一肽, 其结构中有七个N-甲基氨基酸残基, 结构如图 11所示.
图 11
最早通过CsA单晶研究[37], 发现整个分子呈扭曲的β-折叠构象, 涉及Me-Val11, MeBmt1, Abu2, Sar3, MeLeu4, Val5, MeLeu6和Ala7八个氨基酸残基, 而且MeLeu9与MeLeu10之间的肽键呈cis-结构, 整个分子在氘代丙酮、氘代氯仿或氘代苯中的分子骨架构象十分相近, 只是在D-Ala8区域的溶液或晶体结构稍有不同.晶体结构与溶液构象之间的主要差异就在于残基MeBmt1和MeLeu10侧链的取向, 主要是由于MeBmt1侧链羟基OH的分子间氢键在晶体溶解时被破坏所导致; 而且MeLeu10的侧链构象发生改变, 使得D-Ala8的分叉氢键扭曲了这个区域的分子骨架.直到利用NMR技术结合同位素标记才确定了CsA在无水THF溶液中, 残基MeLeu9与MeLeu10之间的肽键呈cis-结构[38].
CsA的活性研究表明[39]: (1) CsA是亲环蛋白(cyclophilin)中肽基脯氨基顺-反异构化酶(peptidylprolyl cis-trans isomerase, PPIase)的抑制剂, 其初始抑制活性和随后的时间依赖性均与溶剂性质有关; (2)在THF溶液中, 残基MeLeu9与MeLeu10之间的cis-结构对PPIase酶没有抑制作用; (3)在THF溶液中添加LiCl或CsA与亲环蛋白结合后, 残基MeLeu9与MeLeu10之间的cis-结构将转变为对PPIase酶有抑制作用的trans-结构; 4)MeLe9-trans-MeLeu10-MeVal11呈trans-结构的残基序列在亲环蛋白的活性位点上起着高效结合作用, 而相应的cis-结构则完全不能够被酶识别.
CsA与LiCl之间存在络合或不络合两种完全不同的构象(后者与CsA在氘代氯仿中的构象几乎完全相同)[40].尽管与LiCl络合后, 原本残基MeLeu9与MeLeu10之间的cis-结构转变为trans-结构, 而且CsA中所有的跨环氢键均被破坏, 使得络合后的CsA分子构象在骨架上存在明显差异, 但仍然同CsA与亲环蛋白受体结合后的构象非常相似. CsA在高浓度的LiCl溶液中只存在一种络合构象.
然而, 在丙酮溶液中的CsA分子构象与络合了LiCl的溶液构象是不同的, 主要差异在于游离的CsA分子中残基MeLeu9与MeLeu10之间的肽键呈cis-结构, 而络合了LiCl后则呈trans-结构[41].当在CsA的THF溶液中加入LiCl时, CsA的分子主骨架肽键全部变为trans-结构, 而且这种trans-结构又是与亲环蛋白结合或是拥有酶抑制活性的前提条件.可见, CsA分子中N-甲基酰胺键的结构要受溶剂和是否与LiCl络合的影响.这一结果为环孢素药物剂型的确定和制剂方案的制订有重要的指导意义.
4.2 茜草科类型环肽RAs系列
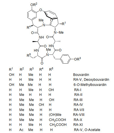
茜草科类型环肽[42](Rubiaceae-type cyclopeptides, RAs)是具有强抗肿瘤活性的双环六肽, 六个氨基酸均为α-氨基酸, 而且通常由一个D-丙氨酸(Ala)、一个L-丙氨酸, 三个L-N-甲基-酪氨酸(N-Me-Tyr)和一个其他类型的L-氨基酸经肽键依次首尾相连形成十八元环肽, 关键结构特点是两个邻位相连的L-酪氨酸之间的苯环, 经氧桥键形成一个张力较大的十四元环.茜草科类型环肽(RAs)因其新颖的结构和显著的抗肿瘤活性而备受关注.
这一类型环肽最早是1977年从同种属灌木Bouvardia ternifolia中分离得到Bouvardin和Deoxybouvardin (RA-Ⅴ) [43]开始, 然后从同种属植物Rubia cordifolia L.与Rubia akane的根或根茎中分离得到类似的RA-Ⅶ, RA-Ⅴ, RA-Ⅳ和RA-Ⅲ[44], 以及RA-Ⅰ和RA-Ⅱ[45], 于是将这一系列环肽命名为RAs系列.截止到目前为止, 这一系列植物环肽的数量已接近三十种[46], 结构如图 12所示.
图 12
在这一系列中, RA-Ⅶ具有优良的抗肿瘤活性, 其作用机制被认为是通过与真核核糖体的相互作用来抑制蛋白质的合成[47]. Boger等[42]研究了RA-Ⅶ的单晶结构和溶液构象, 发现存在三种构象异构体Ⅰ、Ⅱ和Ⅲ, 晶体状态下只存在构象异构体Ⅰ, 而且这三种构象异构体的比例随溶剂性质而改变, 在THF溶液中, 三者比例为Ⅰ:Ⅱ:Ⅲ=78:20:2;在DMSO溶液中, 比例为Ⅰ:Ⅱ:Ⅲ=64:32:4;而在氘代氯仿溶液中, 只存在Ⅰ和Ⅱ两种构象异构体, 比例为Ⅰ:Ⅱ=88:12. Boger的研究表明, RA-Ⅶ分子中三个N-甲基氨基酸残基的cis-或trans-结构受溶剂影响变化突出, 只有两个酪氨酸残基形成的十四元小环上的N-甲基残基始终处于cis-结构, 而这一cis-结构又是整个双环六肽分子具有显著生理活性的关键, 结构如图 13所示.
图 13
茜草科类型RAs系列环肽由于结构新颖和显著的抗肿瘤活性, 先后有Inoue, Boger和祝介平等多个课题组[48]分别围绕二芳基醚构建方法、大环骨架合成、与金属离子络合效应以及各种构效关系进行了大量研究工作, 而且相关研究还在继续[49].
近来一种新的环六肽O-seco-RAXXIV[50]从同种属植物Rubia cordifolia L.中分离得到, 毒理实验显示其对人体早幼粒白血病细胞HL-60有毒理效应, IC50=58 μg/mL(图 14).该环肽在氘代甲醇中存在四种cis-或trans-异构体, 而且前两种异构体(Conformers Ⅰ和Ⅱ)占比超过90%.即异构体Ⅰ中, 残基Gln2与Tyr3之间的N-甲基化肽键是cis-结构, 残基Ala4与Tyr5之间的N-甲基化肽键为trans-结构, 残基Tyr5与Tyr6之间的N-甲基化肽键是cis-结构; 而在异构体Ⅱ中, 则分别依次为trans-、trans-和cis-结构的N-甲基化肽键.
图 14
谭宁华等[51]陆续从茜草科属的各种植物中分离出来一系列新的环肽化合物, 如Rubiyunnanins A~H, Rubischumanins A~C, Rubicordins A~C, Rubipodanins A~B, 这些环肽在结构上都与双环六肽RAs相近似, 含有一个或多个N-甲基化氨基酸残基, 而且大多显现出良好的抑制肿瘤细胞生长效应, 特别是环肽Rubicordins A~C和Rubischumanin C中也存在N-甲基化氨基酸残基的cis-或trans-异构体.在这三种Rubicordins A~C环肽中[52], 每种环肽都存在两个cis-或trans-异构体(Conformers Ⅰ和Ⅱ)(图 15).细胞毒性显示, Rubicordins A对胃癌细胞SGC-7901、肺癌细胞A-549和宫颈癌细胞Hela都有一定的抑制活性, IC50值分别为2.58、20.70和3.42 μmol·L-1 (20 μg/mL浓度); 同样地, Rubicordins B的IC50值分别为2.33、28.74和2.57 μmol·L-1; Rubicordins C的IC50值分别为0.41, 1.26和0.33 μmol·L-1.可以看出, 环肽Rubicordins C对肿瘤细胞SGC-7901、A-549和Hela的抑制作用较为突出.
图 15
5. 结论与展望
近二十年来, 从海洋珊瑚、藻类、微生物或陆地植物中发现了许多结构新颖的环肽类化合物, 这些环肽化合物因具有良好的活性而受到极大关注, 目前已有超过二十种环肽药物正在进行临床试验[53].构效研究显示, 环肽分子中肽基酰胺键的cis-或trans-结构通过影响与DNA结合的差异而强烈地影响着其生理效应.尽管从自然界分离或人工合成的具有明确cis-或trans-结构的环肽种类还很有限, 可以预见, 在环七~八肽甚至更大的环肽分子中, 无论是含有脯氨酸的酰胺键还是N-甲基化的酰胺键, cis-/trans-结构限制了分子内跨环氢键作用而影响整个分子构象, 同时cis-/tran-的比例对溶剂、温度等条件的依赖性, 也会影响着整体分子的构象; 而对于五肽以下的环肽, 因空间限制或很难存在cis-/tran-异构, 或因异构化受阻而更易于获得单一异构体, 此时环肽构象控制就更加依赖于氨基酸的手性及其在环肽序列中的所处位置, 故而导致了更为复杂的酰胺键cis-/trans-结构与生物活性关系.这些结果对从事相关研究的化学工作者、药学工作者和生物学工作者有积极的指导意义和价值.
-
-
[1]
蒋志龙, 郄建坤, 刘克良, 中国药物化学杂志, 2004, 14(2), 122. http://www.cnki.com.cn/Article/CJFDTotal-ZGYH200402014.htmJiang, Z.-L.; Hong, J.-L.; Liu, K.-L. Chin. J. Med. Chem. 2004, 14(2), 122 (in Chinese). http://www.cnki.com.cn/Article/CJFDTotal-ZGYH200402014.htm
-
[2]
(a) Dougherty, P. G.; Sahni, A.; Pei. D. H. Chem. Rev. 2019, 119, 10241.
(b) Nielsen, D. S.; Shepherd, N. E.; Xu, W. J.; Lucke, A. J.; Stoermer, M. J.; and Fairlie, D. P. Chem. Rev. 2017, 117, 8094. -
[3]
(a) Naylor, M. R.; Bockus, A. T.; Blanco, M.; Lokey, R. S. Curr. Opin. Chem. Biol. 2017, 38, 141.
(b) Xin, D. Y.; Jeffries, A.; Burgess, K. ACS Comb. Sci. 2017, 414. -
[4]
Sonti, R.; Gowd, K. H.; Shashanka Rao, K. N.; Ragothama, S.; Rodriguez, A.; Perez, J. J; Balaram, P. Chem. Eur. J. 2013, 19, 15175. doi: 10.1002/chem.201301722
-
[5]
Zondlo, N. J. Acc. Chem. Res. 2013, 46, 1039. doi: 10.1021/ar300087y
-
[6]
Allen, F. H.; Kennard, O.; Watson, D. G.; Brammer, L.; Orpen, A. G.; Taylor, R. J. Chem. Soc., Perkin Trans. 2 1987, S1.
-
[7]
(Smith, M. B.; March, J. March, 高等有机化学——反应、机理与结构, 李艳梅译, 第五版, 化学工业出版社, 2009, p. 6.)Smith, M. B.; March, J. Textbook of March's Advanced Organic Chemistry, 5th ed., Trans. by Li, Y.-M., Chemical Industry Publisher, 2009, p. 6 (in Chinese)
-
[8]
Dugave, C.; Demange, L. Chem. Rev. 2003, 103, 2475. doi: 10.1021/cr0104375
-
[9]
Fischer, G. Angew. Chem., Int. Ed. 1994, 33, 1415. https://www.researchgate.net/publication/243822182_Peptidyl-Prolylcistrans_Isomerases_and_Their_Effectors
-
[10]
Galat, A. Curr. Top. Med. Chem. 2003, 3, 1315. doi: 10.2174/1568026033451862
-
[11]
Pal, D.; Chakrabarti, P. J. Mol. Biol. 1999, 294, 271. doi: 10.1006/jmbi.1999.3217
-
[12]
Siemion, I. Z.; Wieland, T.; Pook, K.-H. Angew. Chem. Int. Ed. 1975, 14, 702. doi: 10.1002/anie.197507021
-
[13]
Micheau, J. C.; Zhao, J. Z. J. Phys. Org. Chem. 2007, 20, 810. doi: 10.1002/poc.1216
-
[14]
(a) Cordato, D. J.; Mather, L. E.; Herkes, G. K.; Mather, L. E.; Morgan, M. K. J. Clin. Neurosci. 2003, 10(6), 649.
(b) Hu, G. P.; Yuan, J.; Sun, L.; She, Z. G.; Wu, J. H.; Lan, X. J.; Zhu, X.; Lin, Y. C.; Chen, S. P. Mar. Drugs 2011, 9, 514.
(c) Yi, P.; Li, Y.-X.; Zhang, M.-M.; Wang, Y.; Ye, B.-P. Pharm. Biotechnol. 2014, 21(3), 264 (in Chinese).
(伊鹏; 李英新; 张萌萌; 王颖; 叶波平, 药物生物技术, 2014, 21(3), 264.) -
[15]
Räder, A. F. B.; Reichart, F.; Weinmüller, M.; Kessler, H. Bioorg. Med. Chem. 2018, 26, 2766. doi: 10.1016/j.bmc.2017.08.031
-
[16]
(a) Mierke, D. F.; Yamazaki, T.; Said-Nejad, O. E.; Felder, E. R.; Goodman, M. J. Am. Chem. Soc. 1989, 111, 6847.
(b) Said-Nejad, O. E.; Felder, E. R.; Mierke, D. F.; Yamazaki, T.; Schiller, P.; Goodman, M. Int. J. Pept. Protein Res. 1992, 39, 145. -
[17]
Berezowska, I.; Chung, N. N.; Lemieux, C.; Wilkes, B. C.; Schiller, P. W. Acta Biochim. Pol. 2006, 53(1), 73. doi: 10.18388/abp.2006_3363
-
[18]
Berezowska, I.; Chung, N. N.; Lemieux, C.; Wilkes, B. C.; Schiller, P. W. J. Med. Chem. 2007, 50, 1414. doi: 10.1021/jm061294n
-
[19]
Jabs, A.; Weiss, M. S.; Hilgenfeld, R. J. Mol. Biol. 1999, 286, 291. doi: 10.1006/jmbi.1998.2459
-
[20]
Tong, T. L.; Williamson, R. T.; William, H. G. J. Org. Chem. 2000, 65, 419. doi: 10.1021/jo991165x
-
[21]
Pettit, G. R.; Srirangam, J. K.; Herald, D. L.; Erickson, K. L.; Doubek, D. L.; Schmidt, J. M.; Tackett, L. P.; Bakudc, G. J. J. Org. Chem. 1992, 57, 7217. doi: 10.1021/jo00052a041
-
[22]
Forns, P.; Piro, J.; Cuevas, C.; Garcia, M.; Rubiralta, M.; Giralt, E.; Diez, A. J. Med. Chem. 2003, 46, 5825. doi: 10.1021/jm030943h
-
[23]
Lopez-Martinez, C.; Flores-Morales, P.; Cruz, M.; Gonzalez, T.; Feliz, M.; Diez, A.; Campanera, J. M. Phys. Chem. Chem. Phys. 2016, 18, 12755. doi: 10.1039/C5CP05937B
-
[24]
Dalisay, D. S.; Rogers, E. W.; Edison, A. S.; Molinski, T. F. J. Nat. Prod. 2009, 72, 732. doi: 10.1021/np8007649
-
[25]
Nielsen, D. S.; Hoang, H. N.; Lohman, Rink-Jan; Diness, F.; Fairlie, D. P. Org. Lett. 2012, 14, 5720. doi: 10.1021/ol3027347
-
[26]
Singh, E. K.; Ramsey, D. M.; McAlpine, S. R. Org. Lett. 2012, 14, 1198. doi: 10.1021/ol203290n
-
[27]
(a) Wahyudi, H.; Tantisantisom, W.; Liu, X.; Ramsey, D. M.; Singh, E. K.; McAlpine, S. R. J. Org. Chem. 2012, 77, 10596.
(b) Wahyudi, H.; Tantisantisom, W.; McAlpine, S. R. Tetrahedron Lett. 2014, 55, 2389.
(c) Pietkiewicz, A. L.; Wahyudi, H.; McConnell, J. R.; McAlpine, S. R. Tetrahedron Lett. 2014, 55, 6979. -
[28]
Chatterjee, J.; Mierke, D.; Kessler, H. J. Am. Chem. Soc. 2006, 128, 15164. doi: 10.1021/ja063123d
-
[29]
Marta, P. G.; Alessandra, M.; Judit, T. P.; Fernando, A. J. Med. Chem. 2013, 56, 9780. doi: 10.1021/jm401520x
-
[30]
Zhang, H. J.; Yi, Y. H.; Yang, G. J.; Hu, M. Y.; Cao, G. D.; Yang, F.; Lin, H. W. J. Nat. Prod. 2010, 73, 650. doi: 10.1021/np9008267
-
[31]
Kobayashi, J. I.; Tsuda, M.; Nakamura, T.; Mikami, Y.; Shigemori, H. Tetrahedron 1993, 49, 2391. doi: 10.1016/S0040-4020(01)86318-3
-
[32]
Pettit, G. R.; Srirangam, J. K.; Herald, D. L.; Xu, J.; Boyd, M. R.; Cichacz, Z.; Kamano, Y.; Schmidt, J. M.; Erickson, K. L. J. Org. Chem. 1995, 60, 8257. doi: 10.1021/jo00130a027
-
[33]
(a) Vera, B.; Vicente, J.; Rodriguez, A. D. J. Nat. Prod. 2009, 72, 1555.
(b) Aviles, E.; Rodriguez, A. D. Tetrahedron 2013, 69, 10797. -
[34]
Afifi, A. H.; El-Desoky, A. H.; Kato, H.; Mangindaan, R. E. P.; Voogd, N. J. de; Ammar, N. M.; Hifnawy, M. S.; Tsukamoto, S. Tetrahedron Lett. 2016, 57, 1285. doi: 10.1016/j.tetlet.2016.02.031
-
[35]
Zhan, K. X.; Jiao, W. H.; Yang, F.; Li, J.; Wang, S. P.; Li, Y. S.; Han, B. N.; Lin, H. W. J. Nat. Prod. 2014, 77, 2678. doi: 10.1021/np5006778
-
[36]
(a) Gu, W.; Liu, S. X.; Silverman, R. B. Org. Lett. 2002, 4, 4171.
(b) Liu, S..; Feng, X.; Y. Geng, ; Yao, J.; Li, J. Chin. J. Org. Chem. 2005, 25, 604 (in Chinese).
(c) Liu, S.; Gu, W.; Lo, D.; Ding, X.; Ujiki, M.; Adrian, T. E.; Soff, G. A.; Silverman, R. B. J. Med. Chem., 2005, 48, 3630.
(d) Liu, S.; Yang, Y.; Zhao, C.; Huang, J.; Han, C.; Han, J. Med. Chem. Commun. 2014, 5, 463. -
[37]
Loosli, H. R.; Kessler, H.; Oschkinat, H.; Weber, Ha. P.; Petcher, T. J.; Widmer, A. Helv. Chim. Acta 1985, 68, 682. doi: 10.1002/hlca.19850680319
-
[38]
Fesik, S. W.; Gampe, R. T.; Holzman, T. F.; Egan, D. A.; Edalji, R.; Luly, J. R.; Simmer, R.; Helfrich, R.; Kishore, V.; Rich, D. H. Science 1990, 250, 1406. doi: 10.1126/science.2255910
-
[39]
Kofron, J. L.; KuzmiE, P.; Kishore, V.; Gemmecker, G.; Fesik, S. W.; Rich, D. H. J. Am. Chem. Soc. 1992, 114, 2670. doi: 10.1021/ja00033a047
-
[40]
Kock, M.; Kessler, H.; Seebach, D.; Thaler, A. J. Am. Chem. Soc. 1992, 114, 2676. doi: 10.1021/ja00033a048
-
[41]
Verheyden, P.; Jaspers, H.; Wolf, E. D.; Binst, G. V. Int. J. Peptide Protein Res. 1994, 44, 364.
-
[42]
Boger, D. L.; Michael, A. P.; Zhou, J. C. J. Am. Chem. Soc. 1995, 117, 7357. doi: 10.1021/ja00133a009
-
[43]
Jolad, S. D.; Hoffmann, J. J.; Torrance, S. J.; Wiedhopf, R. M.; Cole, J. R.; Arora, S. K.; Bates, R. B.; Gargiulo, R. L.; Kriek, G. R. J. Am. Chem. Soc. 1977, 99, 8040. doi: 10.1021/ja00466a043
-
[44]
Itokawa, H.; Takeya, K.; Mihara, K.; Mori, N.; Hamanaka, T.; Sonobe, T.; Iitaka, Y. Chem. Pharm. Bull. 1983, 31, 1424. doi: 10.1248/cpb.31.1424
-
[45]
Itokawa, H.; Takeya, K.; Mori, N.; Sonobe, T.; Mihashi, S.; Hamanaka, T. Chem. Pharm. Bull. 1986, 34, 3762. doi: 10.1248/cpb.34.3762
-
[46]
(a) Tan, N. H.; Zhou, J. Chem. Rev. 2006, 106, 840.
(b) Morita, H.; Takeya, K. Heterocycles 2010, 80, 739.
(c) Zhao, S. M.; Kuang, B.; Fan, J. T.; Yan, H.; Xu, W. Y.; Tan, N. H. Chimia 2011, 65, 952. -
[47]
Lee, E. J.; Hitotsuyanagi, Y.; Nakagawa, Y.; Kato, S.; Fukaya, H.; Takeya, K. Bioorg. Med. Chem. Lett. 2008, 18, 6458. doi: 10.1016/j.bmcl.2008.10.064
-
[48]
(a) Inaba, T.; Umezawa, I.; Yuasa, M.; Inoue, T.; Mihashi, S.; Itokawa, H.; Ogura, K. J. Org. Chem. 1987, 52, 2957.
(b) Itokawa, H.; Morita, H.; Takeya, K. Chem. Phar. Bull. 1992, 40, 1050.
(c) Inoue, T.; Inaba, T.; Umezawa, I.; Yuasa, M.; Itokawa, H.; Oaura, K.; Komatsu, K.; Hara, H.; Hoshino, O. Chem. Pharm. Bull. 1995, 43, 1325.
(d) Boger, D. L.; Yohannes, D. J. Am. Chem. Soc. 1991, 113, 1427.
(e) Boger, D. L.; Yohannes, D.; Zhou, J.; Patane, M. A. J. Am. Chem. Soc. 1993, 115, 3420.
(f) Boger, D. L.; Patane, M. A.; Zhou, J. J. Am. Chem. Soc. 1994, 116, 8544.
(g) Boger, D. L.; Patane, M. A.; Zhou, J. J. Am. Chem. Soc. 1995, 117, 7357.
(h) Boger, D. L.; Zhou, J. C. J. Am. Chem. Soc. 1995, 117, 7364.
(i) Beugelmans, R.; Bigot, A.; Bois-Choussy, M.; Zhu, J. P. J. Org. Chem. 1996, 61, 771. -
[49]
(a) Hitotsuyanagi, Y.; Odagiri, M.; Kato, S.; Kusano, J.; Hasuda, T.; Fukaya, H.; Takeya, K. Chem.-Eur. J. 2012, 18, 2839.
(b) Lee, J. E.; Hitotsuyanagi, Y.; Takeya, K. Tetrahedron 2008, 64, 4117.
(c) Lee, J. E.; Hitotsuyanagi, Y.; Kim, I. H.; Hasuda, T.; Takeya, K. Bioorg. Med. Chem. Lett. 2008, 18, 808.
(d) Lee, J. E.; Hitotsuyanagi, Y.; Fukaya, H.; Kondo, K.; Takeya, K. Chem. Pharm. Bull. 2008, 56, 730.
(e) Hitotsuyanagi, Y.; Ishikawa, H.; Hasuda, T.; Takeya, K. Tetrahedron Lett. 2004, 45, 935.
(f) Hitotsuyanagi, Y.; Hasuda, T.; Matsumoto, Y.; Yamaguchi, K.; Itokawa, H.; Takeya, K. Chem. Commun. 2000, 1633. -
[50]
Hitotsuyanagi, Y.; Kusano, J. I.; Kim, I. H.; Hasuda, T.; Fukaya, H.; Takeya, K. Phytochem. Lett. 2012, 5, 335. doi: 10.1016/j.phytol.2012.02.014
-
[51]
(a) Fan, J. T.; Chen, Y. S.; Xu, W. Y.; Du, L. Ch.; Zeng, G. Z.; Zhang, Y. M.; Su, J.; Li, Y.; Tan, N. H. Tetrahedron Lett. 2010, 51, 6810.
(b) Fan, J. T.; Su, J.; Peng, Y. M.; Li, Y.; Li, J.; Zhou, Y. B.; Zeng, G. Z.; Yan, H.; Tan, N. H. Bioorg. Med. Chem. 2010, 18, 8226.
(c) Huang, M. B.; Zhao, S. M.; Zeng, G. Z.; Kuang, B.; Chen, X. Q.; Tan, N. H. Tetrahedron 2014, 70, 7627.
(d) Wang, Z.; Zhao, S. M.; Zhao, L. M.; Chen, X. Q.; Zeng, G. Z.; Tan, N. H. PLoS One 2015, 10, e0144950.
(e) Hu, Y. Y.; Feng, L.; Wang, J.; Zhang, X. J.; Wang, Z.; Tan, N. H. Chem. Biodivers. 2019, 16(1), e1899438. -
[52]
Chen, X. Q.; Zhao, S. M.; Wang, Z; Zeng, G. Z.; Huang, M. B.; Tan, N. H. Tetrahedron 2015, 71, 9673. doi: 10.1016/j.tet.2015.10.044
-
[53]
Abdalla, M. A.; McGaw, L. J. Molecules 2018, 23, 2080. doi: 10.3390/molecules23082080
-
[1]
-
-
扫一扫看文章
计量
- PDF下载量: 142
- 文章访问数: 9431
- HTML全文浏览量: 2498

下载:
下载: