Citation: Ding Chengrong, Pan Yayun, Tan Chengxia. Synthesis and Biological Activity of Aryl Thiazole Piperidine Amide Compounds[J]. Chinese Journal of Organic Chemistry, 2020, 40(2): 528-535. doi: 10.6023/cjoc201907034
芳基噻唑联哌啶酰胺类化合物的合成及生物活性
English
Synthesis and Biological Activity of Aryl Thiazole Piperidine Amide Compounds
-
Key words:
- piperidinylthiazole
- / aromatic structure
- / fungicidal activity
- / insecticidal activity
-
Oxathiapiprolin[1]和Fluoxapiprolin[2~4]是一类商品化的噻唑联哌啶结构农药品种, 从对商品化的oxathiapi-prolin研究发现, 它具有高效的抑菌活性, 尤其对卵菌纲类病原菌的防治有特效, 如对辣椒疫霉病的EC50值为0.00025 μg/mL, 优于氟吗啉[5](EC50=0.18 μg/mL)和烯酰吗啉[6](EC50=0.21 μg/mL)的值, 其次是具有低毒和环境友好的特征:对大鼠急性经口毒性>5000 mg• kg-1•d-1, 对鸟类、蚯蚓和蜜蜂等环境生物表现为低毒, 并且其作用机制新颖[7](靶标蛋白: OSBP), 与其它商品化的杀菌剂无交互抗性, 符合现代农药发展的内在要求, 因此具有噻唑联哌啶结构的先导化合物已然成为了新农药研究的一个热点.在此基础上, 先后开发了两个具有商品化潜力的化合物结构(化合物1[8~12], 2[13, 14])以及大量具有生物活性的衍生物结构[15~22](图 1).
图 1
图 1. Oxathiapiprolin, fluoxapiprolin和化合物1, 2的结构Figure 1. Structures of oxathiapiprolin, fluoxapiprolin and compounds 1, 2对化合物1和2研究发现, 在生物活性方面, 化合物1和2均表现出高效的生物活性, 化合物1在10 μg/mL浓度下对黄瓜霜霉病和马铃薯晚疫病具有100%的抑菌活性, 在0.1 μg/mL浓度下对马铃薯晚疫病具有25%的抑菌活性; 化合物2对辣椒霜霉病的EC50值为(0.98±0.21) μmol/L, 优于商品化的烯酰吗啉[EC50值(4.26±0.02) μmol/L][13], 同时化合物2对蚊子幼虫具有良好的杀虫活性[11], 其LC50值为0.513 mmol/L.在结构骨架方面, 化合物1和2在噻唑联哌啶结构的基础上均有芳香结构与噻唑相联, 化合物1的芳香结构为异噻唑, 化合物2的芳香结构为嘧啶, 在结构上表现出一致性, 因此含芳香结构与噻唑联哌啶相联的化合物具有进一步的开发和结构衍生的价值.
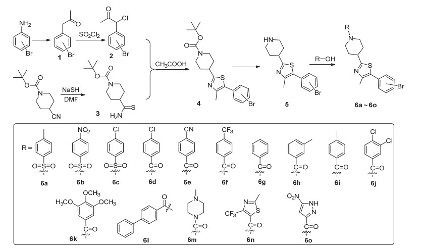
苯基在芳香结构中占据着重要的位置, 并且在药物研究中有着广泛的应用.为研究苯基与噻唑联哌啶相联所组成的骨架结构在生物活性方面的影响, 设计并合成了15个未见文献报道的芳基噻唑联哌啶酰胺类化合物(Scheme 1), 其结构经1H NMR、13C NMR和HRMS确证, 由于化合物2具有杀虫活性, 对目标化合物进行了抑菌和杀虫活性的测试.初步的生物活性测试表明:目标化合物表现出一定的抑菌活和良好的杀虫活性.目标化合物的合成工艺如Scheme 2所示.
图式 1
图式 2
1. 结果与讨论
1.1 化合物的合成及结构表征
以溴代苯胺为底物, 经重氮化, 氯化得到中间体2, 中间体2与水解产物中间体3经环化得到关键中间体4, 中间体4脱保护后得到中间体5, 最终与酸形成酰胺键得到目标化合物6a~6o.研究发现:在中间体1的合成过程中, 四氟硼酸重氮盐与乙酸异丙烯酯是一个强放热反应, 且反应过程跟温度有关, 需控制反应温度和四氟硼酸重氮盐的加入量; 在中间体2的合成过程中, 中间体1存在多个氯化位点, 需精确控制试剂的用量、反应温度、反应时间, 以避免副反应的反应; 在关键中间体4的合成过程中, 中间体4对温度敏感, 反应温度不宜超过80 ℃; 在中间体5的合成过程中, 不同的酸解体系存在不同的反应现象, 如溶解在HCl/二氧六环溶液中的中间体4会迅速转化为固体形式的中间体5, 而采用三氟乙酸体系, 无明显的反应现象且产物为液体; 在目标化合物的合成过程中, 因酸的种类多样, 后处理方式多样, 苯甲酸/苯磺酸类可直接后处理获得目标化合物, 杂环酸类需采用柱分离的方式获取目标化合物.
在对目标化合物结构确认中发现, 目标化合物中的哌啶结构在NMR谱图中表现出多样性(图 2), 当取代基为磺酰胺, 哌啶中预测的对称的结构在1H NMR和13C NMR中表现出重叠峰.比如分子式是C22H23BrN2O2S2的化合物6a, 在1H NMR谱中共有23H, 其中苯环8H [7.65 (d, J=8.1 Hz, 2H), 7.56~7.49 (m, 2H), 7.33 (dt, J=14.1, 7.9 Hz, 4H)], 甲基3H×2 [2.51 (s, 3H), 2.45 (s, 3H)], 哌啶9H [3.91 (d, J=11.6 Hz, 2H), 3.24~3.07 (m, 1H), 2.44~2.38 (m, 2H), 2.25 (d, J=12.3 Hz, 2H), 1.91 (q, J=11.9, 2H)]存在重叠H情况.在13C NMR谱图中共有22C.其中噻唑3C (173.28, 145.57, 132.79), 两个苯环12C [132.58, 131.92, 131.63, 130.46, 130.32, 129.80 (2×C), 129.68, 127.72, 127.67 (2×C), 122.96], 哌啶5C [45.87 (2×C), 38.92, 31.82 (2×C)]在结构中表现为轴对称的哌啶在碳谱中存在重叠C, 两个甲基(21.55, 15.04). HRMS (ESI) calcd for C22H23BrN2O2S2Na [M+Na]+ 513.0277, found 513.0283.
图 2
当取代基为芳酰胺, 哌啶中预测的对称的结构在1H NMR和13C NMR中表现出重叠峰分裂, 因分裂的重叠峰相近, 在积分中会表现出J值偏高的情况.比如分子式是C23H20BrF3N2OS的6f.在1H NMR谱中共有20H, 其中两个苯环8H [7.75~7.65 (m, 2H), 7.62 (d, J=7.8 Hz, 1H), 7.55 (t, J=7.7 Hz, 1H), 7.44~7.21 (m, 4H)], 甲基3H [2.47 (s, 3H)], 哌啶9H [(4.79 (s, 1H), 3.80 (s, 1H), 3.35~2.88 (m, 3H), 2.20 (d, J=53.7 Hz, 2H), 1.86 (d, J=43.5 Hz, 2H)], 出现了J值偏大的情况.在13C NMR谱图中共有23C待归属.其中含三氟甲基的苯环受三氟甲基影响出现四重峰[131.05 (q, J=32.7 Hz), 126.42 (q, J=3.6 Hz), 123.89 (q, J=3.8 Hz), 123.61 (q, J=272.5 Hz)], 羰基1C (171.45), 噻唑3C (168.83, 147.63, 130.15), 两个苯环[136.64, 134.54, 133.64, 131.05 (q, J=32.7 Hz), 129.91, 129.61, 129.10, 129.02, 127.89, 127.24, 126.42 (q, J=3.6 Hz), 123.89 (q, J=3.8 Hz)], 哌啶5C (47.44, 42.03, 40.33, 32.72, 31.99)在结构中表现为轴对称的哌啶在碳谱中叠碳发生了分裂, 甲基1C (15.89). HRMS (ESI) calcd for C23H21BrF3N2OS [M+H]+ 531.0324, found 531.0331.
1.2 化合物的抑菌活性
生物活性测定结果如表 1所示, 抑菌结果分析: 6b, 6f, 6g, 6j, 6l(黄瓜霜霉病), 6c, 6n(水稻纹枯病), 6e(黄瓜霜霉病), 6o(黄瓜白粉病)共9个目标化合物在200 μg/mL浓度下表现出抑菌活性, 其中6b对黄瓜霜霉病表现出100%的抑菌活性优于嘧菌酯, 6l对黄瓜霜霉病表现出60%的抑菌活性与嘧菌酯相当, 6c对水稻纹枯病表现出58.86%的抑菌活性与嘧菌酯相当, 在黄瓜霜霉病的防治方面表现出优越性.构效关系分析:在同类型6a~6c, 6d~6k和不同类型6j~6o的酰胺取代基比较中发现, 在抑菌活性和靶标菌种方面存在两极分化现象.因此所设计的芳基噻唑联哌啶结构在抑菌活性方面具有进一步的结构优化的价值.杀虫结果分析显示:在500 μg/mL浓度下, 除6k对粘虫无活性外, 其余目标化合物在对粘虫表现出60%以上的杀虫活性.其中6b, 6g, 6h表现出100%的杀虫活性.构效关系分析显示:从苯环的角度, 6b, 6g, 6h在苯基上的取代基均为间溴, 在粘虫的防治上间溴结构优于对溴结构.从酰胺的角度看, 苯磺酰胺(6a~6c)、苯甲酰胺(6d~6l)、杂环甲酰胺(6m~6o)均表现出60%以上的杀虫活性, 未表现出明显的差异.因此所设计的苯基噻唑联哌啶酰胺结构对粘虫的防治具有进一步的结构优化的价值.
表 1
表 1 目标化合物6a~6o的生物活性测定结果(抑制率/%)aTable 1. Bioactivity test (inhibition rate/%) of target compounds 6a~6oCompd. Br SF PR BC RS MS 6a 3-Br 0 0 0.00 0.00 60 6b 3-Br 0 100 0.00 0.00 100 6c 4-Br 0 0 0.00 58.86 80 6d 4-Br 0 0 0.00 0.00 80 6e 4-Br 0 0 31.71 0.00 80 6f 3-Br 0 20 0.00 0.00 80 6g 3-Br 0 30 0.00 0.00 100 6h 3-Br 0 0 0.00 0.00 100 6i 4-Br 0 0 0.00 0.00 80 6j 4-Br 0 10 0.00 0.00 60 6k 4-Br 0 0 0.00 0.00 0 6l 4-Br 0 60 0.00 0.00 80 6m 4-Br 0 0 0.00 0.00 80 6n 4-Br 0 0 0.00 10.26 80 6o 4-Br 5 0 0.00 0.00 80 Azoxystrobin 100 65 18.64 55.31 Avermectin 100 a SF, Sphaerotheca fuliginea; PR, Pseudoperonospora cubensis; BC, Botrytis cinereal; RS, Rhizoctonia solani; MS, Mythimna separate; fungicidal inhibition μg/mL, mortality [%] 500 μg/mL (Mythimna separate). 2. 结论
为了寻找具有生物活性的新型芳香基噻唑联哌啶酰胺类先导化合物, 设计并合成了15个未见文献报道的苯基噻唑联哌啶酰胺类化合物.其结构经1H NMR, 13C NMR和HRMS表征确认, 在NMR结构表征中发现目标化合物中的哌啶结构在谱图中表现出多样性, 具体与酸的结构有关.生物活性测定结果显示:在200 μg/mL浓度下, 部分目标化合物表现出一定的抑菌活性, 其中6b对黄瓜霜霉病的抑菌活性为100%高于嘧菌酯的抑菌活性, 6c对水稻纹枯病的抑菌活性58.86%与嘧菌酯相当; 在500 μg/mL浓度下, 大部分目标化合物对粘虫表现出80%以上的杀虫活性, 其中化合物6b, 6g, 6h的杀虫活性为100%.因此所设计的苯基噻唑联哌啶酰胺类化合物的结构骨架在抑菌和杀虫活性方面具有进一步研究的价值.
3. 实验部分
3.1 仪器与试剂
质谱采用Bruker Daltonics Bio-TOF-Q III型质谱仪(ESIMS)测定; 天津光学仪器厂Ry-1G熔点仪, 温度计未经校正; 核磁共振波谱使用Bruker Avance 500型核磁共振仪测定.所有试剂为国产市售分析纯.
3.2 实验方法
3.2.0 1-(溴代苯基)-2-丙酮(1)的合成
在装有机械搅拌的250 mL三口瓶中加入溴代苯胺(0.15 mol), 30%盐酸(80 mL), 在0 ℃条件下, 用恒压滴液漏斗滴加NaNO2 (0.15 mol), 滴加完毕, 保温30 min, 在0 ℃条件下用恒压滴液漏斗滴加40% HBF4 (0.19 mol), 保温3 h, 减压抽滤, 得到氟硼酸重氮盐, 用冰乙醇洗涤, 干燥除水.在装有机械搅拌的250 mL四口瓶中加入醋酸钠(0.25 mol)、乙酸异丙烯酯(0.80 mol)、氧化亚铜(0.02 mol), 将干燥的氟硼酸重氮盐分批次慢慢的加四口瓶中, 控制温度在35~40 ℃, 反应8 h, 抽滤除盐, 滤饼用石油醚洗涤, 收集滤液, 减压蒸馏得到中间体1[23], 淡黄色液体, 收率为42.6%.
3.2.2 1-(溴代苯基)-2-氯丙酮(2)的合成
在50 mL三口瓶中加入中间体(1) (0.05 mol)、二氯甲烷(10 mL), 采用磁力搅拌, 室温下用恒压滴液漏斗缓慢滴加磺酰氯(0.05~0.055 mol), 反应完全后用饱和碳酸氢钠溶液调pH=8~9, 用二氯甲烷(10 mL×3)萃取, 有机层经无水硫酸钠干燥后旋蒸得到中间体2[24], 淡黄色液体, 直接投入下一步反应.
3.2.3 N-boc-4-硫代酰胺哌啶(3)
在带机械搅拌的250 mL的四口烧瓶中加入70% NaSH (0.18 mol)、NH4Cl (0.18 mol)、120 mL N, N-二甲基甲酰胺(DMF)、N-Boc-4-氰基哌啶(0.04 mol), 在室温下搅拌72 h, 反应完全后在1 L的烧杯中加入600 g冰水, 在搅拌过程中反应液慢慢加入到冰水中, 搅拌1 h后, 出现大量白色固体, 抽滤, 滤液用100 mL×3乙酸乙酯萃取, 有机层经无水硫酸钠干燥后旋蒸, 所得固体与滤饼合并烘干得中间体3[25], 白色固体, 收率95.3%, 熔点134~135 ℃.
3.2.4 4-(4-(取代苯基)-5-甲基噻唑-2-基)哌啶-1-甲酸叔丁酯(4)
在100 mL单口瓶中加入中间体2 (0.05 mol)、中间体3 (0.05 mol)、无水醋酸钠(0.15 mol)、冰醋酸(50 mL), 磁子搅拌, 在80 ℃下反应24 h后, 旋蒸去除冰醋酸, 往体系中加入乙酸乙酯, 过滤, 旋蒸得到褐色的油状物, 经柱分离后得到中间体4, 白色固体.
4-(4-(对溴苯基)-5-甲基噻唑-2-基)哌啶-1-甲酸叔丁酯(4a): 1H NMR (500 MHz, Chloroform-d) δ: 7.62~7.49 (m, 2H), 7.36~7.21 (m, 2H), 4.22 (s, 2H), 3.12 (tt, J=11.6, 3.6 Hz, 1H), 2.88 (s, 2H), 2.45 (s, 3H), 2.10 (d, J=11.7 Hz, 2H), 1.73 (qd, J=12.4, 4.3 Hz, 2H), 1.48 (s, 9H); 13C NMR (126 MHz, Chloroform-d) δ: 168.42, 154.77, 151.45, 133.37, 131.68 (2×C), 130.57, 128.21 (2×C), 127.89, 79.29, 44.32 (2×C), 36.74, 28.46 (2×C), 28.27 (3×C), 16.32. HRMS (ESI) calcd for C20H25BrN2O2SNa [M+Na]+ 459.0255, found 459.0249.
4-(4-(间溴苯基)-5-甲基噻唑-2-基)哌啶-1-甲酸叔丁酯(4b): 1H NMR (500 MHz, Chloroform-d) δ: 7.41~7.33 (m, 2H), 7.23~7.13 (m, 2H), 4.23 (s, 2H), 3.14 (tt, J=11.7, 3.8 Hz, 1H), 2.88 (s, 2H), 2.37 (d, J=1.4 Hz, 3H), 2.12 (d, J=12.5 Hz, 2H), 1.84~1.69 (m, 2H), 1.48 (s, 9H); 13C NMR (126 MHz, Chloroform-d) δ: 172.26, 154.71, 147.35, 133.73, 130.72, 130.37, 129.93, 129.64, 129.23, 128.90, 79.65, 40.81 (2×C), 32.47, 29.66 (2×C), 28.47 (3×C), 16.04. HRMS (ESI) calcd for C20H25BrN2-O2SNa [M+Na]+ 459.0254, found 459.0251.
3.2.5 4-(取代苯基)-5-甲基噻唑-2-基)哌啶-1-盐酸盐(5)
在100 mL单口瓶中加入中间体4 (0.05 mol)、4 mol/L HCl的二氧六环溶液(20 mL), 在室温下磁子搅拌, 反应过程中不断产生固体颗粒, 反应4 h后旋蒸得到中间体5.
4-(对溴苯基)-5-甲基噻唑-2-基)哌啶-1-盐酸盐(5a): 1H NMR (500 MHz, DMSO-d6) δ: 9.31 (dd, J=68.9, 8.9 Hz, 2H), 7.60~7.44 (m, 4H), 3.41~3.25 (m, 3H), 3.12~2.94 (m, 2H), 2.40 (s, 3H), 2.26~2.11 (m, 2H), 2.09~1.90 (m, 2H); 13C NMR (126 MHz, DMSO-d6) δ: 170.51, 150.23, 131.89 (2×C), 130.92, 130.02, 128.73 (2×C), 122.01, 45.61 (2×C), 40.84, 32.32 (2×C), 16.03. HRMS (ESI) calcd for C15H19BrClN2S [M+H]+ 374.3385, found 374.3211.
4-(间溴苯基)-5-甲基噻唑-2-基)哌啶-1-盐酸盐(5b): 1H NMR (500 MHz, DMSO-d6) δ: 9.52~8.96 (m, 2H), 7.66 (q, J=1.7 Hz, 1H), 7.63~7.57 (m, 1H), 7.49 (dt, J=7.8, 1.2 Hz, 1H), 7.43 (t, J=7.8 Hz, 1H), 3.34 (tt, J=11.3, 3.8 Hz, 3H), 3.08~2.96 (m, 2H), 2.41 (s, 3H), 2.18 (d, J=11.0 Hz, 2H), 2.02~1.92 (m, 2H); 13C NMR (126 MHz, DMSO-d6) δ: 168.27, 151.71, 134.08, 132.23, 131.89, 131.27, 130.79, 130.56, 122.79, 41.91 (2×C), 36.64, 28.96 (2×C), 16.84. HRMS (ESI) calcd for C15H19Br- ClN2S [M+H]+ 374.3385, found 374.3215.
3.2.6 目标化合物6a~6o的合成
在封管中加入中间体5 (1.0mmol)、酰氯(1.1 mmol)、三乙胺(5 mmol)和二氯甲烷(4 mL), 反应4 h后往体系中加入二氯甲烷(30 mL), 经多次水洗, 有机层用无水硫酸钠干燥后旋蒸, 苯甲酰胺/苯磺酰胺类可直接获得目标化合物6a~6l, 杂环甲酰胺类需采用柱分离的方式获取目标化合物6m~6o.
5-(3-溴苯基)-4-甲基-2-(1-(4-甲基苯磺酰基)哌啶-4-基)噻唑(6a):白色固体, 收率93.3%. m.p. 221~222 ℃; 1H NMR (500 MHz, Chloroform-d) δ: 7.65 (d, J=8.1 Hz, 2H), 7.56~7.49 (m, 2H), 7.33 (dt, J=14.1, 7.9 Hz, 4H), 3.91 (d, J=11.6 Hz, 2H), 3.24~3.07 (m, 1H), 2.51 (s, 3H), 2.45 (s, 3H), 2.44~2.38 (m, 2H), 2.25 (d, J=12.3 Hz, 2H), 1.91 (q, J=11.9, 2H); 13C NMR (126 MHz, Chloroform-d) δ: 173.28, 145.57, 132.79, 132.58, 131.92, 131.63, 130.46, 130.32, 129.80 (2×C), 129.68, 127.72, 127.67 (2×C), 122.96, 45.87 (2×C), 38.92, 31.82 (2×C), 21.55, 15.04. HRMS (ESI) calcd for C22H24BrN2O2S2Na [M+Na]+ 513.0277, found 513.0283.
5-(3-溴苯基)-4-甲基-2-(1-((4-硝基苯基)磺酰基)哌啶-4-基)噻唑(6b):白色固体, 收率94.1%. m.p. 239~240 ℃; 1H NMR (500 MHz, Chloroform-d) δ: 8.33 (d, J=8.7 Hz, 2H), 7.91 (d, J=8.6 Hz, 2H), 7.33~7.21 (m, 3H), 7.21~7.16 (m, 1H), 3.86 (d, J=11.8 Hz, 2H), 2.88 (t, J=11.6 Hz, 1H), 2.50 (t, J=11.6 Hz, 2H), 2.35 (s, 3H), 2.14 (d, J=12.8 Hz, 2H), 1.93~1.81 (m, 2H); 13C NMR (126 MHz, Chloroform-d) δ: 170.68, 150.15, 147.83, 142.53, 134.50, 133.69, 129.90, 129.65, 128.99, 128.70 (2×C), 127.85, 127.22, 124.38 (2×C), 45.82 (2×C), 39.41, 31.60 (2×C), 16.01. HRMS (ESI) calcd for C21H20BrN3O4S2Na [M+Na]+ 543.9971, found 543.9996.
5- (4-溴苯基)-2-(1-(4-氯苯基磺酰基)哌啶-4-基)-4-甲基噻唑(6c):白色固体, 收率88.5%. m.p. 247~248 ℃; 1H NMR (500 MHz, Chloroform-d) δ: 7.76~7.71 (m, 2H), 7.57~7.51 (m, 4H), 7.29~7.24 (m, 2H), 3.98~3.80 (m, 2H), 2.97 (tt, J=11.6, 3.8 Hz, 1H), 2.50 (t, J=11.0 Hz, 2H), 2.43 (s, 3H), 2.26~2.15 (m, 2H), 2.00~1.86 (m, 2H); 13C NMR (126 MHz, Chloroform-d) δ: 171.19, 147.21, 139.41, 134.94, 131.91 (2×C), 130.77, 130.61 (2×C), 130.06, 129.44 (2×C), 129.01 (2×C), 122.09, 45.86 (2×C), 39.53, 31.73 (2×C), 15.86. HRMS (ESI) calcd for C21H21BrClN2O2S2Na [M+Na]+ 532.9730, found 532.9736.
(4-(5-(4-溴苯基)-4-甲基噻唑-2-基)哌啶-1-基)(4-氯苯基)酮(6d):淡黄色固体, 收率93.2%. m.p. 197~198 ℃; 1H NMR (500 MHz, Chloroform-d) δ: 7.66~7.50 (m, 2H, 2H), 7.47~7.33 (m, 4H), 7.32~7.25 (m, 2H), 4.80 (s, 1H), 3.89 (s, 1H), 3.47 (dq, J=8.6, 4.9 Hz, 1H), 3.14 (s, 2H), 2.52 (s, 3H), 2.24 (s, 2H), 1.83 (s, 2H); 13C NMR (126 MHz, Chloroform-d) δ: 172.63, 169.41, 145.80, 135.89, 134.10, 132.16 (2×C), 130.59 (2×C), 130.55, 129.80, 128.81 (2×C), 128.49 (2×C), 122.77, 47.39, 42.02, 39.91, 32.38 (2×C), 15.24. HRMS (ESI) calcd for C22H20BrClN2OSNa [M+Na]+ 497.0073, found 497.0060.
4-(4-(5-(4-溴苯基)-4-甲基噻唑-2-基)哌啶-1-羰基)苯甲腈(6e):淡黄色固体, 收率87.8%. m.p. 195~196 ℃; 1H NMR (500 MHz, Chloroform-d) δ: 7.79~7.66 (m, 2H), 7.58~7.47 (m, 4H), 7.31~7.21 (m, 2H), 4.77 (d, J=9.0 Hz, 1H), 3.81~3.62 (m, 1H), 3.32~2.91 (m, 3H), 2.43 (s, 3H), 2.33~2.06 (m, 2H), 1.84 (d, J=51.4 Hz, 2H); 13C NMR (126 MHz, Chloroform-d) δ: 174.40, 168.27, 141.96, 139.76, 133.11, 132.40 (2×C), 129.69, 129.31 (2×C), 128.92, 128.34 (2×C), 127.59 (2×C), 117.89, 113.51, 46.92, 41.60, 38.36, 32.63, 31.57, 13.60. HRMS (ESI) calcd for C23H20BrN3OSNa [M+Na]+ 488.0403, found 488.0408.
(4-(5-(3-溴苯基)-4-甲基噻唑-2-基)哌啶-1-基)(4-(三氟甲基)苯基)酮(6f):淡黄色固体, 收率92.3%. m.p. 166~167 ℃; 1H NMR (500 MHz, Chloroform-d) δ: 7.75~7.65 (m, 2H), 7.62 (d, J=7.8 Hz, 1H), 7.55 (t, J=7.7 Hz, 1H), 7.44~7.21 (m, 4H), 4.79 (s, 1H), 3.80 (s, 1H), 3.35~2.88 (m, 3H), 2.47 (s, 3H), 2.20 (d, J=53.7 Hz, 2H), 1.86 (d, J=43.5 Hz, 2H); 13C NMR (126 MHz, Chloroform-d) δ: 171.45, 168.83, 147.63, 136.64, 134.54, 133.64, 131.05 (q, J=32.7 Hz), 130.15, 129.91, 129.61, 129.10, 129.02, 127.89, 127.24, 126.42 (q, J=3.6 Hz), 123.89 (q, J=3.8 Hz), 123.61 (q, J=272.5 Hz), 47.44, 42.03, 40.33, 32.72, 31.99, 15.89. HRMS (ESI) calcd for C23H20BrF3N2OSNa [M+H]+ 531.0324, found 531.0331.
(4-(5-(3-溴苯基)-4-甲基噻唑-2-基)哌啶-1-基)(苯基)酮(6g):淡黄色固体, 收率94.1%. m.p. 151~152 ℃; 1H NMR (500 MHz, Chloroform-d) δ: 7.50~7.21 (m, 9H), 4.79 (s, 1H), 3.88 (s, 1H), 3.31~2.86 (m, 3H), 2.45 (s, 3H), 2.16 (d, J=49.9 Hz, 2H), 1.83 (s, 2H); 13C NMR (126 MHz, Chloroform-d) δ: 171.58, 170.36, 147.65, 135.83, 134.44, 133.76, 129.83, 129.57, 129.40, 128.95, 128.39 (2×C), 127.72, 127.18, 126.77 (2×C), 47.57, 41.95, 40.52, 32.79, 32.13, 15.95. HRMS (ESI) calcd for C22H21BrN2OSNa [M+Na]+ 463.0450, found 463.0470.
(4-(5-(3-溴苯基)-4-甲基噻唑-2-基)哌啶-1-基)(间甲基苯基)酮(6h):淡黄色固体, 收率93.2%. m.p. 152~153 ℃; 1H NMR (500 MHz, Chloroform-d) δ: 7.45~7.38 (m, 1H), 7.38~7.26 (m, 4H), 7.26~7.16 (m, 3H), 4.80 (s, 1H), 3.90 (s, 1H), 3.32~2.86 (m, 3H), 2.46 (s, 3H), 2.37 (s, 3H), 2.17 (d, J=67.2 Hz, 2H), 1.82 (s, 2H); 13C NMR (126 MHz, Chloroform-d) δ: 171.64, 170.61, 147.75, 138.33, 135.85, 134.47, 133.85, 130.31, 129.85, 129.42, 129.00, 128.25, 127.74, 127.40, 127.21 (d, J=2.9 Hz), 123.71, 47.40, 42.03, 40.63, 32.89, 32.26, 21.31, 16.01. HRMS (ESI) calcd for C23H23BrN2OSNa [M+Na]+ 477.0607, found 477.0622.
(4-(5-(4-溴苯基)-4-甲基噻唑-2-基)哌啶-1-基)(3, 4-二氯苯基)酮(6i):白色固体, 收率89.4%. m.p. 200~201 ℃; 1H NMR (500 MHz, Chloroform-d) δ: 7.64~7.44 (m, 4H), 7.28 (dd, J=8.2, 2.3 Hz, 3H), 4.78 (s, 1H), 3.86 (s, 1H), 3.48 (q, J=7.0 Hz, 1H), 3.13 (d, J=116.8 Hz, 2H), 2.52 (s, 3H), 2.21 (s, 2H), 1.84 (d, J=27.1 Hz, 2H). 13C NMR (126 MHz, Chloroform-d) δ: 172.46, 168.03, 145.94, 135.48, 134.21, 133.06, 132.16 (2×C), 131.85, 130.68, 130.62 (2×C), 129.80, 129.16, 126.30, 122.77, 47.49, 42.21, 39.85, 32.87, 32.16, 15.31. HRMS (ESI) calcd for C22H19BrCl2N2OSNa [M+Na]+ 530.9671, found 530.9662.
(4-(5-(4-溴苯基)-甲基噻唑-2-基哌啶-1-基)(3, 4, 5-三甲氧基苯基)酮(6j):淡黄色固体, 收率89.9%. m.p. 189~190 ℃; 1H NMR (500 MHz, Chloroform-d) δ: 7.61~7.51 (m, 2H), 7.34~7.24 (m, 2H), 6.66 (s, 2H), 4.80 (s, 1H), 4.11~3.95 (m, 1H), 3.88 (d, J=7.6 Hz, 9H), 3.36~3.24 (m, 1H), 3.23~2.83 (m, 2H), 2.47 (s, 3H), 2.27 (d, J=67.8 Hz, 2H), 1.82 (s, 2H); 13C NMR (126 MHz, Chloroform-d) δ: 173.56, 170.26, 153.33 (2×C), 144.64, 139.27, 135.12, 130.97, 130.32 (2×C), 129.36 (2×C), 128.50, 107.88, 104.29 (2×C), 60.87, 56.31 (2×C), 47.09, 41.86, 39.58, 33.04, 31.78, 14.71. HRMS (ESI) C25H28BrN2O4S calcd for [M+H]+ 531.0948, found 531.0924.
[1, 1'-二苯基]-4-基(4-(5-(4-溴苯基)-4-甲基噻唑-2-基)哌啶-1-基)酮(6k):白色固体, 收率92.1%. m.p. 232~233 ℃; 1H NMR (500 MHz, Chloroform-d) δ: 7.70~7.57 (m, 4H), 7.56~7.50 (m, 2H), 7.49~7.43 (m, 2H), 7.43~7.32 (m, 5H), 4.85 (s, 1H), 4.00 (s, 1H), 3.37 (t, J=11.2 Hz, 1H), 3.32~2.92 (m, 2H), 2.49 (d, J=2.5 Hz, 3H), 2.24 (d, J=18.2 Hz, 2H), 1.88 (s, 2H); 13C NMR (126 MHz, Chloroform-d) δ: 172.01, 170.32, 146.76, 142.67, 140.22, 134.62, 134.13, 130.37 (2×C), 130.10, 130.08 (2×C), 129.04 (2×C), 128.89, 127.80, 127.54 (2×C), 127.22 (2×C), 127.14 (2×C), 47.64, 42.02, 40.43, 32.86, 32.25, 15.72. HRMS (ESI) calcd for C28H25- BrN2OSNa [M+Na]+ 539.0763, found 539.0764.
(4-(5-(4-溴苯基)-4-甲基噻唑-2-基)哌啶-1-基)(吡啶-3-基)酮(6l):白色固体, 收率84.3%. m.p. 171~172 ℃; 1H NMR (500 MHz, Chloroform-d) δ: 8.77~8.59 (m, 2H), 7.78 (dt, J=7.9, 2.0 Hz, 1H), 7.61~7.48 (m, 2H), 7.38 (dd, J=7.8, 4.9 Hz, 1H), 7.33~7.20 (m, 2H), 4.78 (s, 1H), 3.85 (s, 1H), 3.26 (tt, J=11.3, 3.9 Hz, 2H), 3.04 (s, 1H), 2.44 (s, 3H), 2.34~2.02 (m, 2H), 1.86 (d, J=25.5 Hz, 2H); 13C NMR (126 MHz, Chloroform-d) δ: 170.89, 167.70, 150.63, 147.68, 147.62, 134.97, 131.83 (2×C), 131.81, 131.02, 130.61, 129.82 (2×C), 123.49, 121.88, 47.57, 42.12, 40.45, 32.95, 32.06, 16.03. HRMS (ESI) calcd for C21H20BrN3OSNa [M+Na]+ 464.0403, found 464.0415.
(4-5-(4-溴苯基)-4-甲基噻唑-2-基)哌啶-1-基)(4-甲基哌嗪-1-基)酮(6m):淡黄色液体, 收率81.3%; 1H NMR (500 MHz, Chloroform-d) δ: 7.35 (d, J=8.5 Hz, 2H), 7.31 (d, J=8.5 Hz, 2H), 3.77 (d, J=13.3 Hz, 2H), 3.40~3.24 (m, 4H), 3.09 (tt, J=11.5, 3.7 Hz, 1H), 2.90 (t, J=11.7 Hz, 2H), 2.41 (s, 7H), 2.31 (s, 3H), 2.16~2.04 (m, 2H), 1.79 (qd, J=12.1, 4.0 Hz, 2H); 13C NMR (126 MHz, Chloroform-d) δ: 171.92, 163.86, 147.41, 133.63, 130.73, 130.32 (2×C), 129.57, 128.84 (2×C), 54.69 (2×C), 46.84 (2×C), 46.54 (2×C), 46.02, 40.93, 32.36 (2×C), 16.06. HRMS (ESI) calcd for C21H28BrN4OS [M+H]+ 463.1162, found 463.1174.
(4-(5-(4-溴苯基)-4-甲基噻唑-2-基)哌啶-1-基)(2-甲基-4-(三氟甲基噻唑-5-基)酮(6n):棕色固体, 收率82.7%. m.p. 169~170 ℃; 1H NMR (500 MHz, Chloroform-d) δ: 7.50~7.30 (m, 4H), 4.74 (d, J=12.8 Hz, 1H), 3.68 (d, J=13.0 Hz, 1H), 3.37~3.16 (m, 2H), 3.04 (t, J=11.6 Hz, 1H), 2.75 (s, 3H), 2.45 (s, 3H), 2.19 (dd, J=56.2, 12.1 Hz, 2H), 1.81 (dq, J=36.5, 10.4 Hz, 2H); 13C NMR (126 MHz, Chloroform-d) δ: 170.91, 167.72, 159.11, 147.35, 139.44 (q, J=36.7 Hz), 131.98 (q, J=2.7 Hz), 131.90 (2×C), 130.79, 130.62 (2×C), 130.06, 122.07, 120.20 (q, J=271.8 Hz), 47.13, 41.99, 40.09, 32.21, 31.68, 19.08, 15.90. HRMS (ESI) calcd for C21H19BrF3N3OS2Na [M+Na]+ 552.0000, found 552.0008.
(4-(5-(4-溴苯基)-4-甲基噻唑-2-基)哌啶-1-基)(5-硝基-1H-吡唑-3-基)酮(6o):棕色固体, 收率80.6%. m.p. 175~176 ℃; 1H NMR (500 MHz, DMSO-d6) δ: 8.82 (s, 1H), 7.64 (dt, J=8.2, 2.7 Hz, 2H), 7.40 (dd, J=8.4, 6.6 Hz, 2H), 4.58 (d, J=13.1 Hz, 1H), 3.49 (d, J=13.6 Hz, 1H), 3.30 (td, J=11.3, 5.6 Hz, 1H), 3.20 (t, J=12.7 Hz, 1H), 3.09~2.99 (m, 1H), 2.92 (q, J=7.2 Hz, 1H), 2.38 (s, 3H), 2.15 (t, J=14.7 Hz, 1H), 1.98 (d, J=12.3 Hz, 1H), 1.63 (dtq, J=36.3, 11.9, 8.3, 6.3 Hz, 2H); 13C NMR (126 MHz, DMSO-d6) δ: 171.02, 160.28, 147.23, 141.62, 131.80 (2×C), 131.46, 130.87, 130.74 (2×C), 128.93, 121.05, 45.84, 45.61, 40.81, 32.21, 31.57 (2×C), 16.03. HRMS (ESI) calcd for C19H18BrN5O3SNa [M+Na]+ 498.0326, found 498.0334.
3.3 生物活性测试
3.3.1 目标化合物的抑菌活性实验
供试靶标为:黄瓜白粉病(Sphaerotheca fuliginea)、黄瓜霜霉病(Pseudoperoniospora cubensis)、黄瓜灰霉病(Botrytis cinerea)、水稻纹枯病(Rhizoctonia solani)[26].
目标化合物用分析天平(0.0001 g)称取一定质量的原药, 用含1%吐温-80乳化剂的DMF溶解配制成1%母液, 然后用蒸馏水稀释备用, 参照创制农药生物活性评价SOP(杀菌剂卷), 采用活体盆栽法.黄瓜白粉病和黄瓜霜霉病采用孢子悬浮液喷雾接种法测定药剂的生物活性; 黄瓜灰霉病和水稻纹枯病采用盆栽苗接菌丝块法测定.接种后的作物置于人工气候室中培养, 对以上病害分别培养7~8 d后调查防效.嘧菌酯作为对照药剂, 浓度为200 μg/mL.
3.3.2 目标化合物对粘虫的杀虫活性实验
采用浸渍法测定目标化合物对粘虫的杀虫活性[27].目标化合物用分析天平(0.0001 g)称取一定质量的原药, 用含1%吐温-80乳化剂的DMF溶解配制成1%母液, 然后用蒸馏水稀释备用, 每个处理三个重复, 设空白对照, 阿维菌素作为对照药剂, 浓度为100 μg/mL.
将适量玉米叶在配好的药液中充分浸润后自然阴干, 放入垫有滤纸的培养皿中, 接粘虫3龄中期幼虫10头/皿, 置于24~27 ℃观察室内培养, 3 d后调查结果.以毛笔触动虫体, 无反应视为死虫.并进行统计分析.
辅助材料 (Supporting Information) 中间体4, 5和目标化合物6a~6o的1H NMR、13C NMR和HRMS.这些材料可以免费从本刊网站(http://sioc-journal.cn/)上下载.
-
-
[1]
何秀玲, 世界农药, 2015, 37, 57.He, X. L. World Pestic. 2015, 37, 57 (in Chinese).
-
[2]
筱禾, 农化市场十日讯, 2019, (2), 28.Xiao, H. J. Agric. Market 2019, (2), 28 (in Chinese).
-
[3]
Britta, O.; Stefan, H.; Pierre, W.; Martin, W.; Ulrike, W. N. WO 2015055574, 2015 [Chem. Abstr. 2015, 162, 560976].
-
[4]
Hoemberger, G.; Ford, M. J. WO 2015181097, 2015 [Chem. Abstr. 2015, 164, 36949].
-
[5]
何烈干, 葛艳丽, 马辉刚, 陈学军, 方荣, 中国农学通报, 2016, 32, 123.He, G. L.; Ge, Y. L.; Ma, H. G.; He, X. J.; Fang, R. Chin. Agric. Sci. Bull. 2016, 32, 123 (in Chinese).
-
[6]
秦维彩, 闫晓静, 檀根甲, 袁会珠, 植物保护学报, 2016, 37, 42.Qing, W. C.; Yan, X. J.; Tan, G. J.; Yuan, H. Z. J. Plant Protect. 2016, 37, 42 (in Chinese).
-
[7]
Pasteris, R. J.; Hanagan, M. A.; Bisaha, J. J.; Finkelstein, B. L.; Hoffman, L. E.; Gregory, V.; Andreassi, J. L.; Sweigard, J. A.; Klyashchitsky, Y. T.; Berger, R. A. Bioorg. Med. Chem. 2016, 24, 354. doi: 10.1016/j.bmc.2015.07.064
-
[8]
Zong, G. N.; Li F. Y.; Fan Z. J.; Xu, J. X.; Guo, X. F.; Zong, G. N.; Song, H. B.; Chen, L.; Song, Y. Q.; Qian, X. L.; Ma, L.Y.; Wang, J. R. Chin. J. Struct. Chem. 2015, 34, 871.
-
[9]
Chen, L.; Zhu, Y. J.; Fan, Z. J.; Guo, X. F.; Guo, X. F.; Zhang, Z. M.; Yuruievich, M. Y.; Belskaya, N. P.; Bakulev, V. J. Agric. Food. Chem. 2017, 65, 745. doi: 10.1021/acs.jafc.6b05128
-
[10]
Zhu, Y. J.; Guo, X. F.; Fan, Z. J.; Chen, L.; Ma, L. Y.; Wang, H. X.; Wei, Y.; Xu, X. M.; Lin, J. P.; Bakulev V. A. RSC Adv. 2016, 6, 112704. doi: 10.1039/C6RA24342H
-
[11]
Wu, Q. F.; Zhao, B.; Fan, Z. J.; Zhao, J. B.; Guo, X. F.; Yang, D. Y.; Zhang, N. L.; Yu, B.; Kalinina, T.; Glukhareva, T. RSC. Adv. 2018, 8, 39593. doi: 10.1039/C8RA07619G
-
[12]
Wu, Q. F.; Zhao, B.; Fan, Z. J.; Guo, X. F.; Yang, D. Y.; Zhang, N. L.; Yu, B.; Zhou, S.; Zhao, J. B.; Chen, F. J. Agric. Food. Chem. 2019, 67, 1360. doi: 10.1021/acs.jafc.8b06054
-
[13]
Choi, W. S.; Nam, S. W.; Ahn, E. K.; Park, B. S.; Lee, S. E.; Kim, T. J.; Choi, I. Y. J. Korean Soc. Appl. Biol. Chem. 2010, 53, 206. doi: 10.3839/jksabc.2010.033
-
[14]
Choi, W. S.; Nam, S. W.; Kim, I. D.; Kim, S. H. J. Chem. 2015, 241793.
-
[15]
Stlaurent, D. R.; Romine, J. L. Synthesis 2009, 1445.
-
[16]
Kamireddy, B.; Pasteris, R. J.; Hanagan, M. A. WO 2009094445, 2008 [Chem. Abstr. 2009, 151, 173451].
-
[17]
Pasteris, R. J.; Hanagan, M. A. WO 2008013925, 2008[Chem. Abstr. 2014, 160, 302215].
-
[18]
Pierre, C.; Nicola, R.; Tomoki, T.; Ulrike, W. N.; Arnd, V.; Juergen, B. WO 2010066353, 2010 [Chem. Abstr. 2010, 153, 62249].
-
[19]
Pierre, P.; Nicola, R.; Stefan, H.; Tomoki, T.; Ulrike, T. W.; Arnd, V.; Pierre, W.; Sebastian, H.; Juergen, B. WO 2010037479, 2010 [Chem. Abstr. 2010, 152, 454087].
-
[20]
Sulzermosse, S.; Cederbaum, F.; Lamberth, C.; Berthon, G.; Umarye, J.; Grasso, V.; Schlereth, A.; Blum, M.; Waldmeier, R. Bioorg. Med. Chem. 2015, 23, 2129. doi: 10.1016/j.bmc.2015.03.007
-
[21]
Hu, D. J.; Liu, S. F.; Huang, T. H.; Tu, H. Y.; Zhang, A. D. Molecules 2009, 14, 1288. doi: 10.3390/molecules14031288
-
[22]
Shitre, G. V, Bhosale, R. S.; Karhale, D. S.; Sujitha, P.; Kumar, C. G.; Krishna, K.V.S. R.; Bhosale1, S. V. Chem. Biol. Interface 2014, 4, 48.
-
[23]
Li, L.; Chen, H.; Lin, Y. Synth. Commun. 2007, 37, 85.
-
[24]
Groß, A.; Schneiders, N.; Daniel, K. Tetrahedron 2008, 64, 10882. doi: 10.1016/j.tet.2008.09.006
-
[25]
丁成荣, 潘亚运, 殷许, 谭成侠, 张国富, 有机化学, 2019, 39, 836. doi: 10.6023/cjoc201809009Ding, C. R.; Pan, Y. Y.; Yin, X.; Tan, C. X.; Zhang, G. F. Chin. J. Org. Chem. 2019, 39, 836 (in Chinese). doi: 10.6023/cjoc201809009
-
[26]
胡伟群, 朱卫刚, 陈定花, 陈杰, 郑韵红, 农药学学报, 2007, 9, 240. doi: 10.3321/j.issn:1008-7303.2007.03.007Hu, W. Q.; Zhu, W. G.; Chen, D. H.; Chen, J.; Zheng, Y. H. Chin. J. Pestic. Sci. 2007, 9, 240 (in Chinese). doi: 10.3321/j.issn:1008-7303.2007.03.007
-
[27]
姬文娟, 许天明, 魏优昌, 姚巍, 邢家华, 谭成侠, 农药学学报, 2011, 13, 121. doi: 10.3969/j.issn.1008-7303.2011.02.04Ji, W. J.; Xu, T. M.; Wei, Y. C.; Yao, W.; Xing, J. H.; Tan, C. X. Chin. J. Pestic. Sci. 2011, 13, 121 (in Chinese). doi: 10.3969/j.issn.1008-7303.2011.02.04
-
[1]
-
表 1 目标化合物6a~6o的生物活性测定结果(抑制率/%)a
Table 1. Bioactivity test (inhibition rate/%) of target compounds 6a~6o
Compd. Br SF PR BC RS MS 6a 3-Br 0 0 0.00 0.00 60 6b 3-Br 0 100 0.00 0.00 100 6c 4-Br 0 0 0.00 58.86 80 6d 4-Br 0 0 0.00 0.00 80 6e 4-Br 0 0 31.71 0.00 80 6f 3-Br 0 20 0.00 0.00 80 6g 3-Br 0 30 0.00 0.00 100 6h 3-Br 0 0 0.00 0.00 100 6i 4-Br 0 0 0.00 0.00 80 6j 4-Br 0 10 0.00 0.00 60 6k 4-Br 0 0 0.00 0.00 0 6l 4-Br 0 60 0.00 0.00 80 6m 4-Br 0 0 0.00 0.00 80 6n 4-Br 0 0 0.00 10.26 80 6o 4-Br 5 0 0.00 0.00 80 Azoxystrobin 100 65 18.64 55.31 Avermectin 100 a SF, Sphaerotheca fuliginea; PR, Pseudoperonospora cubensis; BC, Botrytis cinereal; RS, Rhizoctonia solani; MS, Mythimna separate; fungicidal inhibition μg/mL, mortality [%] 500 μg/mL (Mythimna separate). -
扫一扫看文章
计量
- PDF下载量: 16
- 文章访问数: 3952
- HTML全文浏览量: 415

下载:
下载: