Citation: Li Xiuying, Li Yajun, Wei Xiansheng, Luo Jinrong, Huang Guobao, Tan Minxiong. Recent Progress on Reactions of Arylmethyl Azides with Alkenes[J]. Chinese Journal of Organic Chemistry, 2019, 39(7): 1831-1836. doi: 10.6023/cjoc201903001
芳甲基叠氮化合物与烯烃及其衍生物反应研究进展
English
Recent Progress on Reactions of Arylmethyl Azides with Alkenes
-
Key words:
- arylmethyl azides
- / alkenes
- / reaction mechanism
-
自1864年科学家们首次发现有机叠氮化合物以来, 因其独特的化学性质被广泛应用于有机合成化学、药物化学以及材料科学等研究领域[1].叠氮化合物由于具有1, 3-偶极作用, 在不同反应条件下可以转化成胺、酰胺、氮烯、亚胺、重氮化合物以及含氮杂环化合物等[2], 可以为有机反应提供N源.芳甲基叠氮化合物作为一类特殊的叠氮化合物, 不仅具有叠氮的化学特性, 而且因苄基的存在使得其应用进一步拓展.例如可以被看成是氮烯的替代物, 在有机反应中转化为亲核性的阴离子或者是亲电性的阳离子等, 进而实现多种类型的化学反应[3].
烯烃及其衍生物化学的研究是有机化学的一个重要研究领域, 与sp3杂化烷烃和sp杂化炔烃相比, sp2杂化烯烃具有中间的氧化态, 具有与过渡金属和稀土金属很强的配位能力, 因此会发生一系列的氧化还原反应或偶联反应等.近年来, 随着过渡金属和稀土金属催化反应的兴起, 催化烯烃在温和条件下的新反应引起了合成化学家的广泛关注.虽然已经报道了许多重要的结果, 但利用烯烃开发出更新颖的有机合成方法仍然是合成化学家的一大挑战.
近年来, 随着有机含氮化合物的合成及应用范围的不断扩展, 有机化学家对有机叠氮化合物的研究兴趣十分浓厚[4], 以芳甲基叠氮化合物为代表的叠氮化合物与烯烃的有机反应更是受到研究者的广泛关注.对2014年至2018年以来报道的芳甲基叠氮化合物作为N源与烯烃及其衍生物的有机反应进行了归纳, 分类介绍了芳甲基叠氮化合物与烯烃及其衍生物在不同反应中的应用及相关的反应机理.
1. 芳甲基叠氮化合物与烯烃反应
将结构简单的非极性烯烃作为构建具有复杂结构分子合成模块, 是有机合成化学和有机合成方法学经常使用的一种策略.与其他活性烯烃相比, 苯乙烯和未活化芳烃是最常见的低反应活性烯烃.如何使它们参与化学反应, 将比活性烯烃的研究更具挑战性.
1.1 与末端烯烃的反应
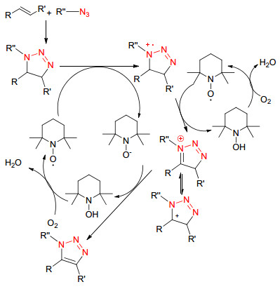
2015年, 潘英明课题组[5]报道了利用氯化亚铜作为催化剂, 在甲苯的溶剂中实现了芳甲基叠氮与末端烯烃的环化反应, 合成了一系列2, 5-二取代恶唑环衍生物(Eq. 1).该小组最开始利用苯甲基叠氮与苯乙烯作为模板底物在不同条件下进行反应, 苯乙烯与1.2 equiv.的苯甲基叠氮在10 mol%的氯化亚铜(CuCl)催化作用下, 可以得到较高收率的2, 5-二苯基噁唑产物, 产率达到了82%.该方法反应条件温和, 当反应体系在氮气的环境中时, 该反应不能发生, 说明空气中的O2参与了反应并起着关键性的作用.该小组对此反应的机理做了比较详细的研究, 推断该反应首先经历了1, 3-偶极环加成反应得到五元环中间体, 因其不稳定会开环并发生1, 2-H迁移, 随之放出一分子的N2得到烯胺中间体, 质谱数据也证实了此中间体的存在.然后在氯化亚铜及氧气的双重催化作用下最终得到目标产物(Scheme 1).
(1) 图式 1
1.2 与非末端烯烃的反应
Ruchirawat小组[6]利用三氟乙酸作为催化剂, 在室温条件下实现了对芳甲基叠氮与不同烯类化合物的[4+2]环化反应, 合成了一系列具有高度立体选择性四氢喹啉类化合物(Scheme 2).当反应底物为含有不饱和键的炔烃时, 得到的是取代喹啉类化合物.首先在强酸的催化作用下, 芳甲基叠氮化合物形成了N-芳基亚胺正离子中间体, 然后在富电子的烯烃/炔烃存在下与芳甲基叠氮发生环化反应.该反应原料底物范围较广, 无论是烯烃类还是炔烃类底物都可以参与反应, 且不受取代基的影响, 为合成取代喹啉/四氢喹啉类化合物提供了一条较好的合成途径.
图式 2
1.3 与共轭二烯烃的反应
2015年, 王恒山小组[7]使用Sm(OTf)3作为催化剂, 在氧气存在的条件下实现了对芳甲基叠氮与二芳基乙烯类化合物的环化反应, 合成了一系列多取代咪唑类化合物.当反应底物的烯烃为共轭二烯烃时, 得到的是多取代吡啶类化合物.反应以甲苯作为溶剂, 仅需要5 mol%催化剂量就可以高效得到目标产物(Scheme 3).对于反应机理, 该小组做了比较详细的探究.在实验的过程中不仅通过产物的单晶结构进行了佐证, 还加入了理论计算来证实反应经历了1, 2-H迁移/1, 2-芳基迁移/环化/氧化等过程.作为反应底物的二芳基乙烯类适用范围较广, 无论是末端芳基烯烃还是非末端芳基烯烃, 都可以较好地参与反应.
图式 3
2. 芳甲基叠氮化合物与硝基烯烃/烯腈反应
硝基烯烃/烯腈类化合物因其结构上具有较强的吸电子基团与烯烃相连, 极大地降低了烯烃双键上的电子云密度, 从而降低了烯烃的反应活性.相比末端烯烃/共轭烯烃而言, 其参与有机反应的报道却相对较少.如何实现硝基烯烃/烯腈类化合物与芳甲基叠氮的反应也引起了有机化学家的广泛关注.
2.1 与硝基烯烃的反应
潘英明小组在这一方面做了比较详细的研究. 2014年, 该小组[8]报道利用Ce(OTf)3催化芳甲基叠氮与硝基苯乙烯的[3+2]环加成反应, 高效地合成了1, 5-二取代三唑类化合物.该方法突破了以往传统合成三唑类化合物的产率低[9]、反应时间长[10]、底物适用范围窄[11]等缺陷, 实现了一种利用芳甲基叠氮构建三唑化合物的新方法.该反应催化体系简单、无需任何酸碱催化剂的参与; 无论是芳甲基叠氮还是芳基叠氮都能够有较好的反应, 产率较高(Scheme 4).对于反应机理, 该小组提出了环加成-消除过程, 芳甲基叠氮化合物在催化剂的作用下被活化, 随之与硝基苯乙烯发生[3+2]环加成得到五元环的中间体, 在加热的情况下失去一分子的亚硝酸得到目标产物.
图式 4
2.2 与烯腈的反应
2015年, 王恒山小组[12]报道了Sc(OTf)3催化芳甲基叠氮与α, β-不饱和烯腈的反应, 以甲苯作为反应介质, 110 ℃下反应12 h合成具有高立体选择性的(Z)-β-烯胺腈类化合物.反应不受底物影响, 后处理简单, 产率较高, 环境友好, 为烯胺腈类化合物的合成提供了一条便利的途径.该小组对于反应机理也做了比较详细的研究, 运用同位素D标记法, 揭示该反应经历了1, 3-偶极环加成/1, 2-芳基迁移/1, 3-H转移过程, 并给出了合理的反应机理(Scheme 5).
图式 5
3. 芳甲基叠氮化合物与α, β-不饱和羰基化合物反应
α, β-不饱和羰基化合物具有与α, β-不饱和烯腈、硝基苯乙烯等相似的结构, 烯烃双键与吸电子效应的羰基基团共轭, 不仅降低了烯烃双键上的电子云密度, 而且因为共轭效应影响极大地降低了烯烃的反应活性.自Donald等[13]报道了α, β-不饱和羰基化合物与叠氮在酸性条件下合成烯胺酮以来, 利用叠氮化合物与α, β-不饱和羰基化合物的反应合成内酰胺[14]、烯胺酮[15]、三元N杂环酮[16]以及取代喹啉[17]等的反应也逐渐兴起.
2014年, 潘英明小组[18]利用查尔酮与芳甲基叠氮作为反应底物, 在Ce(OTf)3催化作用下, 通过改变不同的反应溶剂可以高选择性地合成β-芳基烯胺酮或者1, 4, 5-三取代三唑类化合物.该小组最开始利用苯甲基叠氮与苯基查尔酮作为模板底物, 在不同条件下进行反应, 苯基查尔酮与1.2 equiv.的苯甲基叠氮在5 mol%的Ce(OTf)3催化作用下反应5 h, 以N, N-二甲基甲酰胺作为溶剂时, 可以得到较高收率的β-芳基烯胺酮产物, 产率达到了82%.当换成甲苯作为溶剂时, 得到的产物却是1, 4, 5-三取代三唑类化合物, 产率达到了85%.目标产物均通过了单晶结构得到证实.对此反应的机理做了大致的推断, 首先在催化剂的作用下查尔酮与芳甲基叠氮化合物经历1, 3-偶极环加成得到五元环中间体, 当甲苯作为反应介质时, 该中间体会在空气中失去水得到1, 4, 5-三取代三唑类化合物.改变反应介质为N, N-二甲基甲酰胺, 得到的五元环中间体会发生开环, 随之发生1, 2-H迁移/1, 3-H迁移等历程, 得到β-芳基烯胺酮产物(Scheme 6).
图式 6
2015年, Elangovan小组[19]利用纳米氧化铜催化氧化芳基叠氮与不饱和烯烃, 通过[3+2]环加成反应高效合成1, 2, 3-三唑类化合物.该小组以芳甲基叠氮化合物与3 equiv.的甲基乙烯基酮作为模板反应底物, 首先尝试了在不同的铜催化剂作用下不同的溶剂介质中的反应.发现在20 mol%催化量的纳米氧化铜, 在水作为反应溶剂时能够在室温下高效得到1, 4-二取代三唑, 收率达到了99%.在对反应进行底物拓展时发现, 无论底物是芳甲基叠氮还是芳基叠氮,都能够与不同的烯烃(活化烯烃/非活化烯烃)在极性溶剂下高效制备出1, 4, 5-三取代1, 2, 3-三唑类化合物.此外, 该小组发现纳米铜催化剂可以回收再利用而不丧失其催化活性, 并且该类型反应不需要任何碱或添加剂(Scheme 7).
图式 7
王磊小组[20]报道了碱催化-氧化查尔酮类化合物与芳基叠氮的环加成反应.他们以2 equiv.的无机碱(K2CO3)为碱, 在空气中以H2O/1, 4-二氧六环(V/V=5/1)作为反应介质, 80 ℃下反应11 h可以高收率地合成三取代三唑类化合物(Eq. 2).该方法无需金属作为催化剂, 合成步骤简单, 原子经济性较高, 产物收率较好, 达到了95%, 符合绿色化学理念.对于该反应机理, 该小组提出了1, 3-偶极环加成/1, 3-H迁移/氧化等反应过程(Scheme 8).
(2) 图式 8
2016年, Elangovan小组[21]在芳基叠氮与烯烃类化合物的反应中有新发现.该小组以四甲基吡啶氧化物(TEMPO)作为氧化剂, 在无任何金属催化剂参与的情况下, 与氧气共催化氧化叠氮与缺电子烯烃的[3+2]环加成反应构建1, 4-二取代以及1, 4, 5-三取代1, 2, 3-三唑类化合物(Eq. 3).该反应以水作为反应介质, 反应条件温和, 底物的适用范围都较广, 无论是开链还是环状的缺电子烯烃, 都能够高产率地得到一系列的目标产物.该小组通过实验条件的探索, 发现氧气在反应中取到了至关重要的作用, 在反应过程中多次参与了氧化循环历程, 促使该反应的进行(Scheme 9).
(3) 图式 9
受到Elangovan小组的研究启发, 潘英明小组[22]继续在叠氮与不饱和烯烃类化合物的反应中进行新的研究.该小组直接选用邻取代苄溴基的α, β-不饱和烯烃与叠氮化钠作为反应底物, 在无任何催化剂及添加剂的参与下, 以DMF作为反应溶剂实现了1, 2, 3-三唑类化合物以及异喹啉类化合物的选择性合成.在室温下反应时, 可以得到较好收率的1, 2, 3-三唑类化合物; 通过改变反应温度及增加氮气保护, 可以得到高产率的异喹啉类化合物.这一发现为1, 2, 3-三唑类化合物以及异喹啉类化合物的合成提供了一条简洁高效的路线(Scheme 10).
图式 10
乙酰乙酸乙酯类化合物因其酮式与烯醇式互变异构性质, 也被应用于与叠氮化合物的研究中. 2014年, 潘英明小组[23]利用一锅法分步合成策略, 以苄卤、叠氮化钠以及1, 3-二酮类化合物为反应原料, 在叔丁醇钾的催化作用下得到了烯胺酮类化合物(Eq. 4).该反应以DMF作为反应介质, 反应条件温和, 底物的适用范围都较广, 无论是苄氯还是苄溴都能够与不同的1, 3-二酮类化合物反应得到一系列的烯胺酮类化合物, 目标产物的构型也通过单晶得到证实.该小组对其反应机理做出了推测(Scheme 11).苄卤与叠氮化钠首先得到芳甲基叠氮化合物, 在强碱的作用下形成具有较强亲核能力的中间体, 再与乙酰乙酸乙酯发生加成反应, 随后经历多次的质子转移/去氮等历程达到目标产物.
(4) 图式 11
4. 展望
芳甲基叠氮化合物能够在有机反应中较好地引入N源, 与烯烃及其衍生物反应可以合成许多具有药物活性的含氮有机物, 具有重大的研究意义.芳甲基叠氮化合物具有稳定、合成简单等特点, 在有机合成化学领域有广泛的应用.但目前研究芳甲基叠氮化合物与烯烃及其衍生物反应大多采用金属催化剂, 如何通过改变反应条件实现酸、碱以及有机小分子催化反应将是此类有机反应的主要研究方向.
-
-
[1]
Grecianl, S.; Aubé, J. Organic Azides: Syntheses and Applications, Vol. 7, Eds.: Bräse, S.; Banert, K., John Wiley & Sons, Ltd, Chichester, UK, 2010, pp. 191~310.
-
[2]
(a) Bräse, S.; Gil, C.; Knepper, K.; Zimmermann, V. Angew. Chem., Int. Ed. 2005, 44, 5188.
(b) Lee, J. H.; Gupta, S.; Jeong, W.; Rhee, Y. H.; Park, J. Angew. Chem., Int. Ed. 2012, 51, 10851.
(c) Han, J.; Jeon, M.; Pak, H. K.; Rhee, Y. H.; Park, J. Adv. Synth. Catal. 2014, 356, 2769.
(d) Gupta, S.; Han, J.; Kim, Y.; Lee, S. W.; Rhee, Y. H.; Park. J. J. Org. Chem. 2014, 79, 9094.
(e) Chou, H.-H.; Raines, R. T. J. Am. Chem. Soc. 2013, 135, 14936.
(f) Zhang, X.-X.; Sun, X.-P.; Zhang, H.-F.; Cui, X.-L.; Ma, M.-T. Chin. J. Org. Chem. 2015, 35, 1469(in Chinese).
(张小祥, 孙小萍, 张海飞, 崔杏丽, 马猛涛, 有机化学, 2015, 35, 1469.)
(g) Zhang, W.-S.; Xu, W.-J.; Kuang, C.-X. Chin. J. Org. Chem. 2015, 35, 2059(in Chinese).
(张文生, 许文静, 匡春香, 有机化学, 2015, 35, 2059.) -
[3]
(a) Song, Z.-Q.; Zhao, Y.-M.; Zhai, H.-B. Org. Lett. 2011, 13, 6331.
(b) Lamani, M.; Devadig, P.; Prabhu, K. R. Org. Biomol. Chem. 2012, 10, 2753.
(c) Tummatorn, J.; Thongsornkleeb, C.; Ruchirawat, S.; Gettongsong, T. Org. Biomol. Chem. 2013, 11, 1463. -
[4]
Shin, K.; Kim, H.; Chang, S. Acc. Chem. Res. 2015, 48, 1040. doi: 10.1021/acs.accounts.5b00020
-
[5]
Li, J.-L.; Wang, Y.-C.; Li, W.-Z.; Wang, H.-S.; Mo, D.-L.; Pan, Y.-M. Chem. Commun. 2015, 51, 17772. doi: 10.1039/C5CC06487B
-
[6]
Tummatorn, J.; Poonsilp, P.; Nimnual, P.; Janprasit, J.; Thongsornkleeb, C.; Ruchirawat, S. J. Org. Chem. 2015, 80, 4516. doi: 10.1021/acs.joc.5b00375
-
[7]
Wang, Y.-C.; Li, J.-L.; He, Y.; Xie, Y.-Y.; Wang, H.-S.; Pan, Y.-M. Adv. Synth. Catal. 2015, 357, 3229. doi: 10.1002/adsc.201500584
-
[8]
Wang, Y.-C.; Xie, Y.-Y.; Qu, H.-E.; Wang, H.-S.; Pan, Y.-M.; Huang, F. -P. J. Org. Chem. 2014, 79, 4463. doi: 10.1021/jo5004339
-
[9]
Zefirov, N. S.; Chapovskaya, N. K.; Kolesnikov, V. V. Chem. Commun. 1971, 1001.
-
[10]
Piet, J. C.; Le H. G.; Cailleux, P.; Benhaoua, H.; Carrie, R. Bull. Soc. Chim. Belg. 1996, 105, 33.
-
[11]
Amantini, D.; Fringuelli, F.; Piermatti, O.; Pizzo, F.; Zunino, E.; Vaccaro, L. J. Org. Chem. 2005, 70, 6526. doi: 10.1021/jo0507845
-
[12]
Wang, Y.-C.; Xie, Y.-Y.; Tan, X.-C.; Wang, H.-S.; Pan, Y.-M. Org. Biomol. Chem. 2015, 13, 513. doi: 10.1039/C4OB01801J
-
[13]
Donald, A. S. R.; Marks, R. E. J. Chem. Soc. C 1967, 1188. doi: 10.1039/j39670001188
-
[14]
Casey, M.; Donnelly, J. A.; Ryan, J. C.; Ushioda, S. ARKIVOC 2003, 7, 310.
-
[15]
(a) Reddy, D. S.; Judd, W. R.; Aubé, J. Org. Lett. 2003, 5, 3899.
(b) Silvio, C.; Amenson, T. G. Tetrahedron Lett. 2012, 53, 6710. -
[16]
Mahoney, J. M.; Smith, C. R.; Johnston, J. N. J. Am. Chem. Soc. 2005, 127, 1354. doi: 10.1021/ja045608c
-
[17]
Jumreang, T.; Charnsak, T.; Somsak, R.; Tanita, G. Org. Biomol. Chem. 2013, 11, 1463. doi: 10.1039/c3ob27493d
-
[18]
Xie, Y.-Y.; Wang, Y.-C.; Qu, H.-E.; Tan, X.-C.; Wang, H.-S.; Pan, Y.-M. Adv. Synth. Catal. 2014, 356, 3347. doi: 10.1002/adsc.201400315
-
[19]
Gangaprasad, D.; Paul Raj, J.; Kiranmye, T.; Sagubar Sadik, S.; Elangovan, J. RSC Adv. 2015, 5, 63473. doi: 10.1039/C5RA08693K
-
[20]
Yang, W.-C.; Miao, T.; Li, P.-H.; Wang, L. RSC Adv. 2015, 5, 95833. doi: 10.1039/C5RA16974G
-
[21]
Gangaprasad, D.; Paul Raj, J.; Kiranmye, T.; Karthikeyan, K.; Elangovan, J. Eur. J. Org. Chem. 2016, 5642.
-
[22]
Xie, Y.-Y.; Wang, Y.-C.; He, Y.; Hu, D.-C.; Wang, H.-S.; Pan, Y.-M. Green Chem. 2017, 19, 656. doi: 10.1039/C6GC01553K
-
[23]
Yan, Z.-M.; Wu, N.; Liang, D.; Wang, H.-S.; Pan, Y.-M. Org. Lett. 2014, 16, 4048. doi: 10.1021/ol501930f
-
[1]
-
-
扫一扫看文章
计量
- PDF下载量: 23
- 文章访问数: 3171
- HTML全文浏览量: 809

下载:
下载: