Citation: Chen Sihong, Pang Chuming, Chen Xiaoyun, Yan Zhihao, Huang Shimin, Li Xiangdi, Zhong Yating, Wang Zhaoyang. Research Progress in Design, Synthesis and Application of Multifunctional Fluorescent Probes[J]. Chinese Journal of Organic Chemistry, 2019, 39(7): 1846-1857. doi: 10.6023/cjoc201901033
多功能荧光探针的设计、合成与应用研究进展
English
Research Progress in Design, Synthesis and Application of Multifunctional Fluorescent Probes
-
Key words:
- multifunctional
- / fluorescent probe
- / design and synthesis
- / detection mechanism
- / sensing application
-
近年来, 荧光探针因其具有成本低、易携带、响应快速等优点而备受人们关注[1].特别是为了实现化学传感器的“原子经济性”和高密度集成, 科学家们开始致力于开发新型探针以实现多种分析物的同时检测[2].其中, de Silva等[3]首次提出了“lab-on-a-molecule”的概念, 该类荧光探针可以实现竞争性分析, 通过一个结合位点或多个结合位点与不同的受体作用改变其紫外或荧光信号, 以达到检测两种或多种分析物的目的.
这类基于“lab-on-a-molecule型探针”的检测方法, 突破了一种传感分子只能识别单一分析物的界限.因此, 这种“一对多”的检测方式近年来迅速延伸和发展, 能实现对三种或更多分析物的高效差异性识别的多功能荧光探针不断被报道[4~6].鉴于此, 本文依据分子骨架的特点, 将其分为纯有机小分子、金属有机配合物和有机聚合物等类型的多功能荧光探针, 并从分子设计与检测机理的角度, 对多功能荧光探针的研究进展进行了综述.
1. 基于纯有机小分子的多功能荧光探针
有机小分子荧光探针因其合成步骤少、结构易修饰和检测手段多样等优点[7~9], 被广泛设计为检测多种分析物的传感器[10].它们在已报道的多功能荧光探针中也是最常见的.
1.1 应用于多种阳离子的检测
金属阳离子含量的多少对人体、医药和环境有重大的影响, 设计高灵敏度和高选择性的阳离子传感器是非常有价值的研究[11~13].因此, 这类荧光探针设计与合成受到人们的重视.使用基于纯有机小分子的多功能荧光探针检测多种阳离子时, 通常是利用有机小分子中多个官能团上的原子与不同的金属离子配位而引起显著差异的光学信号变化, 以达到多检测的目的.其中, 以多个N原子为配位原子较为常见[14].
侯士聪课题组[15]先构建三联吡啶受体单元, 然后将其与苯乙炔偶联, 成功合成了一个新型的多氮原子多功能荧光探针1 (Scheme 1).在EtOH/H2O (V/V=1/1)溶液中, 探针1中三个N原子分别与Fe2+、Cd2+和Zn2+配位.与Fe2+作用时, 其最大吸收峰红移至573 nm处, 溶液颜色从无色变为枣红色, 是比色型探针.对Cd2+和Zn2+作用时, 配位后二苯基乙炔向三联吡啶电荷转移能力增强, 探针1的最大发射峰分别红移至473和498 nm处, 荧光颜色由蓝色分别变为蓝绿色和黄绿色, 故可基于分子内电荷转移(ICT)效应而作为比率型探针识别Cd2+和Zn2+.更重要的是, 在实际水样、生物细胞内和测试纸中, 探针1均可成功地快速识别三种金属离子.
图式 1
在国外, Caruso课题组[16]设计了一个含吡啶、苯酚和苯并噻唑的三脚架分子2 (Eq. 1), 可作为荧光探针检测多个金属离子.在探针水溶液中, 加入Fe2+或Fe3+, 溶液颜色分别由无色变为淡紫色和紫色, 故可实现肉眼检测.同时, 通过螯合荧光增强(CHEF)机制的作用, 荧光光谱的最大发射峰有不同程度的红移和增强现象, 产生turn-on型荧光信号, 超灵敏识别Zn2+和Cd2+.理论计算表明, 探针上吡啶、三级胺和酰胺上的三个N是Zn2+的作用位点.
(1) 基于多氮杂环的席夫碱类化合物, 也可构建良好的N配位环境, 同时检测多个金属离子[17].例如, Kim课题组[18]设计合成了一个新的多功能比色型席夫碱类荧光探针3 (Eq. 2), 可在水中同时检测Fe2+、Co2+、Cu2+三种金属离子, 检测限分别为0.43, 0.11, 0.28 μmol/L, 均低于美国环保署(EPA)在饮用水上对三种离子含量的标准.同时, 对三种离子做了竞争性分析, 结果表明其他离子的干扰性小, 在较大的pH范围内也能实现肉眼识别, 并成功应用于实际水样和滤纸条上的测试.
(2) 在多功能探针中, 金属离子不仅可以与单一的N原子配位, 也可与多个N、O原子同时配位[19].目前, 含多个N、O原子的探针, 通常是由邻羟基芳香醛与胺类化合物缩合而成的[20].例如, Kim课题组[21]以脂肪胺咪唑丙胺为原料, 在室温条件下缩合, 生成席夫碱类探针分子4 (Scheme 2), 可用于检测多种分析物.在H2O/CH3- CN (V/V=1/9)的探针4溶液中, 加入不同的金属离子测定荧光光谱.加入Zn2+时的荧光相对于其他离子明显增强, 这是因为探针4与Zn2+配位后C=N键异构化和由酚类质子和亚胺氮原子引起的激发态分子内质子转移(ESIPT)过程被禁止, 由此产生荧光增强效应.探针4对Zn2+的检测限为15 μmol/L, 远低于世界卫生组织的标准, 可用于饮用水含量的测定.在DMF溶液中, Al3+时的荧光强度大于其他金属离子, 故还可实现其荧光检测, 检测限为3.9 μmol/L.此外, 同样在DMF溶液中, 加入Fe2+和Fe3+后, UV光谱分别在440或450 nm处出现新的峰, 溶液颜色也分别由无色变成橙色或紫色, 从而对不同氧化态的铁离子实现裸眼检测.
图式 2
对称的脂肪族二胺与邻羟基芳香醛化合物反应, 能构建结构对称的席夫碱类化合物用于同时检测多个金属阳离子, 如Anthony课题组[22]报道的荧光探针分子5 (Eq. 3).在CH3CN溶液中, 探针5对Mn2+实现无色到橙色变化的比色型检测, 是因为离子与亚胺上N、羟基上O结合成四配位化合物, 增强了ICT效应.探针5与Zn2+配位后, 抑制了C=N键异构化和电子的非辐射跃迁, 荧光光谱最大发射峰红移至488 nm处, 且荧光增强36倍, 溶液颜色由无色变成蓝绿色.探针与Cd2+配位后, 无颜色变化, 最大发射峰红移至458 nm处, 且荧光增强4倍.因此, 根据两种离子与金属配位后的荧光变化不同, 从而实现高选择性识别.
(3) 8-氨基喹啉作为芳香胺类化合物, 也可与邻羟基芳香醛反应而用于构建含有N、O配位原子的多功能探针.其中, 喹啉环既提供了配位的N原子, 又具有较好的光学性质.因此, 唐瑜课题组[23]开发了荧光探针6 (Eq. 4), 通过紫外和荧光光谱的双通道模式对Mg2+、Zn2+、Co2+三种金属离子高选择性识别.类似地, 8-氨基喹啉的衍生物也可构建含有多个N、O原子的多功能探针[24].
(4) 萘、菲等具有较大刚性平面的有机官能团, 具有稳定的光物理和光化学性质, 是良好的荧光团, 而含酰肼官能团的分子具有多个杂原子, 故两者通过缩合反应得到的C=N类化合物常被应用于多功能荧光材料[25, 26].例如, Manivannan课题组[27]通过邻羟基萘甲醛7和吡啶酰肼缩合反应合成了turn-on型荧光探针8 (Eq. 5), 可用于检测Al3+、Zn2+和Cd2+, 且加入乙二胺四乙酸(EDTA)可实现循环检测.更重要的是, 根据软硬酸碱理论, 金属与探针8形成的配合物还可实现对F-和H2PO4-的检测.
(5) 在国内, 郑向军课题组[28]将7与3-羟基-2-萘酰肼反应, 成功合成了一个多功能荧光探针9 (Eq. 6), 亦可通过紫外和荧光光谱的双通道模式识别三个金属离子.在DMSO/H2O (V/V=9/1)水溶液中, 探针9具有弱的荧光发射峰, 与Al3+以1:1配位后, 荧光光谱在491 nm处有最大发射峰, 检测限为3.66 μmol/L; 在THF/H2O (V/V=999/1)溶液中, 探针9与Zn2+以1:1配位, 荧光光谱在515 nm处有最大发射峰, 检测限为1.01 μmol/L, 这源于ESIPT机制受到抑制和CHEF作用的双重影响.在DMSO/H2O (V/V=9/1)水溶液中, 探针9与Fe3+以2:1配位, UV光谱在534 nm处有宽的吸收带, 溶液颜色由无色变为棕色, 可以实现肉眼检测, 检测限为0.34 μmol/L, 这可能因为配体-金属电荷转移(LMCT)机制的影响.
(6) 类似地, Kim课题组[29]也基于化合物7与萘酰肼类化合物的反应, 合成了多功能探针10 (Scheme 3), 用于同时检测多个三价金属阳离子.在MeOH溶液中, 探针羰基O、亚胺N和羟基O与Al3+、Ga3+以2:1配位后, 在452 nm的激发波长下, 最大发射峰分别在550和535 nm处, 荧光颜色分别为蓝绿色和黄色.然而, 探针10在同样的位点与Cr3+以1:1配位后, 在激发波长为272 nm下, 356 nm处有最大发射峰, 荧光明显增强, 且颜色为蓝色.
图式 3
罗丹明类的荧光探针也是常见的含多个N、O配位环境的分子[30, 31].因此, 苏伟等[32]利用含罗丹明骨架的酰肼和芳香酮反应, 合成了一个新的罗丹明6G衍生物, 即可用于检测Cd2+、Hg2+和Pb2+三种离子的荧光探针11 (Eq. 7).
(7) 利用多个酰肼键与芳香醛的缩合形成多个C=N键的策略, 可构建结构多样的多功能探针分子[33].例如, 林宏洲课题组[34]用间二苯酰肼和芘甲醛反应, 合成了一个席夫碱类荧光探针12(Eq. 8), 可用于检测三价金属阳离子Al3+、Cr3+和Fe3+, 探针12上的O和N与三种离子结合的配位比都是1:2, 检测限分别为2.88, 1.89, 3.0 μmol/L.
(8) 除了常见的N、O原子参与配位, S原子和金属离子也有较强的配位能力, 因此含硫化合物也可用于设计性能优异的探针分子[35, 36].特别是利用含硫化合物与Hg2+的相互作用, 设计出对Hg2+响应的荧光探针[37, 38].例如, 李天铎课题组[39]用邻氨基苯硫酚和芳香醛反应, 合成了一个对称的席夫碱类荧光探针13 (Eq. 9).在DMSO/H2O (V/V=1/1)溶液中, 探针13可在pH范围为3~10内, 对Hg2+、Cu2+和Ag+快速响应, 并实现裸眼检测.
(9) 香豆素具有含氧杂环的大共轭结构, 是常见的荧光团分子[40].将含有香豆素结构的醛与肼硫代酰胺缩合, 可构建含有N、O、S三个强配位原子的多功能荧光探针, 如吴安台课题组[41]报道的多功能席夫碱类荧光探针14 (Scheme 4), 可实现可视化识别Hg2+、Cu2+和Co2+.在DMSO/H2O (V/V=9/1)水溶液中, 探针上C=O、NH、C=S等官能团与三种金属离子分别配位后, UV光谱依次发生蓝移、红移、红移, 溶液颜色也分别由黄色变为亮绿色、橙色和红色; 羰基氧与亚胺之间形成的分子内氢键断裂, 14-Cu2+和14-Co2+荧光发生强烈猝灭.特别的是, Hg2+与探针配位后会发生脱硫反应, 形成具有荧光的尿素衍生物, 但其与Hg2+配位后又会发生荧光猝灭.不仅如此, 探针14还可在实际水样中和滤纸条上实现对三种离子的选择性识别.
图式 4
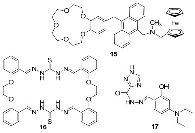
前面的多数探针分子, 检测对象往往是共用同一个配位环境.若以常见的蒽作为荧光团[42], 根据检测对象结构和大小的差异, 在一个分子内设计专一的配位环境, 可有效提高探针的选择性.例如, Magri课题组[43]设计的lab-on-a-molecule型荧光探针15(图 1), 可通过不同的结合位点检测不同的阳离子:苯并-15-冠-5部分结合Na+, 三级胺中的N原子结合H+, 二茂铁结构对Fe3+有荧光响应.探针15与三种阳离子配位或反应后, 光致电子转移(PET)效应受到抑制, 从而产生荧光增强信号, 故表现为turn-on型荧光探针.
图 1
1.2 应用于阳离子和阴离子的检测
在环境或生物中, 阳离子和阴离子通常是成对出现的, 两者的平衡对人类健康和自然环境有重要影响.因此, 设计一个能够同时检测阴阳离子的探针是一个很有意义的课题[44, 45].目前, “探针——金属离子配合物——阴离子——探针”反应型的连续检测方法[46, 47], 在此类目标的多功能探针的设计中是较常用的[48].
例如, 在检测阳离子和S2-时, S2-易与金属离子配合物反应生成溶度积小的硫化物, 一般是采用这种典型的连续检测方法[49].最近, Sahu课题组[50]利用氨基硫脲和芳香醛反应, 成功制备了一个大环探针分子16(图 1), 作为比色型探针实现对Hg2+的检测, 可见光下颜色由无色变为黄色; 也可通过荧光从无色到绿色的响应, 实现Zn2+的检测.更重要的是, 在16-Zn2+配合物中, 先后加入Hg2+和S2-, 荧光发生“on-off-on”型变化.但是, 在无荧光的16-Hg2+配合物中加入Zn2+, 不会有turn-on型变化; 而且, 在有荧光16-Zn2+配合物中加入S2-, 不会有turn-off型变化.因此, 探针这种连续滴定在对S2-成功识别的同时, 有望设计成为分子键盘锁, 应用于信息安全领域.
含多个N、O原子的多功能探针与金属配位后, 也可和阴离子发生脱金属反应, 实现连续检测[51].例如, 赵晓雷课题组[52]以三唑甲酰肼和芳香苯甲醛为原料, 合成了一个席夫碱类多功能荧光探针17 (图 1), 可在不同的pH环境检测多种阴阳离子.在pH=6的缓冲溶液中, 与Cu2+配位后最大吸收峰红移, 颜色由无色变为绿色; 与Al3+配位后荧光明显增强, 且17-Al3+配合物可与F-进一步反应, 释放出自由的探针, 实现对F-的on-off型荧光检测.但在pH=10的缓冲溶液中, 只有Zn2+与探针作用会发生荧光增强现象.
阴离子除了与金属离子具有较强的亲和力, 能实现连续检测之外, 还可与探针上的NH、OH等电负性较大的杂原子形成氢键, 然后发生去质子化[53, 54], 实现多种阴阳离子的平行检测[55].其中, 以N、O为配位原子的多功能探针分子较为常见[56], 因为既可以与金属配位, 又可以与阴离子形成氢键.例如, 郑向军课题组[57]以水杨醛18和3-氨基吡啶-2-酮为原料, 设计合成了一个新型希夫碱类turn-on型荧光探针19 (Eq. 10), 可同时检测Al3+、F-和CN−.在DMSO溶液中, 探针分子具有ESIPT效应, 在542 nm处有弱的荧光发射峰.当探针羰基、羟基O和亚胺N与Al3+以1:1结合形成三齿配合物, 抑制了ESIPT过程, 荧光发射峰蓝移并增强. OH与F-形成氢键后, 分子共轭程度增大, 吸收峰发生红移; 而CN−与C=N发生亲核加成后, 吸收峰蓝移, 分子内共轭程度减小.因此, 可通过不同的比率型吸收光谱识别两个阴离子.此外, 因探针19具有较低的生物毒性, 可在细胞内检测Al3+和F−, 在生物学上具有较大的意义.
(10) 在设计用于平行检测的多功能探针分子时, 为了增强探针与阴离子形成氢键后的光学信号变化, 通常会设计具有重复单元的分子[58].例如, 曾晞课题组[59]将含三个氨基的对称分子和邻羟基芳香醛缩合, 制备了三脚架分子20 (Eq. 11), 可调控ESIPT过程而平行检测四种阴阳离子.探针20与Cr3+和Al3+配位抑制了C=N异构化, 恢复了ESIPT过程, 480 nm处荧光增强; 与Zn2+配位引发酚羟基部分去质子化, 引起ESIPT过程发射峰红移至540 nm, 显示出黄色荧光; 与F−配位后全部自由的酚羟基均去质子化, 产生ESIPT效应, 发射峰显著地红移到610 nm, 发出橙色荧光.同时, 与四种离子作用均伴随着较大的斯托克斯位移.此外, 探针20具有低毒性和良好的细胞膜通透性, 使其成为活细胞中潜在的生物传感器.
(11) 萘[60]、芘[61]是良好的大荧光团, 含S官能团具有较强的配位能力[62], 它们常用于设计合成平行检测阴阳离子的多功能荧光探针.例如, Singh课题组[63]用邻氨基硫脲和化合物7反应, 成功合成多功能荧光探针21 (Eq. 12), 可同时检测阴阳离子和离子对.在CH3CN溶液中, Hg2+与探针配位, 促进ESIPT机制进行, 并发生官能团化, 溶液由绿色变为无色. CN−与探针OH、NH形成氢键并发生去质子化过程, 增强ICT效应, 紫外信号发生比率型变化, 溶液由黄色变为橙色.探针中加入Hg(CN)2离子对, 异构成酮式且发生去质子化, 溶液由浅黄色变为暗黄色.探针21对三种分析对象的检测限均为纳摩尔级别.
(12) 含N、O、S杂原子的冠型分子, 与金属离子具有强的配位能力, 也是常见的多功能荧光材料.例如, Kim课题组[64]利用苯并噻唑衍生物与芳香醛的缩合反应, 合成了一个冠型荧光探针22 (Eq. 13), 可作为荧光和比色型传感材料检测多个阴阳离子.在CH3CN溶液中, 探针苯式易互变异构为醌式, 当冠上的N、S和O原子与Hg2+以1:1配位后, 促进ICT效应, 在可见光下溶液颜色由粉色变为无色, 荧光由红色猝灭为墨绿色.亲核试剂CN-、OH-与探针烯烃双键作用, 破坏分子的共轭结构, 在可见光和紫外灯下发生不同程度减色效应.此外, 探针22对三种离子的检测限均低于1 μmol/L.
(13) 1.3 应用于其他离子和分子的检测
芳香硝基爆炸物(NACs)[65]、有毒气体(如沙林毒气、硫化氢等)[66]对人体和环境的毒害性大, 氨基酸[67]和蛋白酶[68]等在人体和动植物中扮演着重要角色.因此, 设计出在检测阴阳离子的同时也能监测这些物种的多功能荧光探针具有很大的挑战性[69].
在NACs类化合物中, 2, 4, 6-三硝基苯酚(PA)因其水溶性较好, 极易残留在地表和水环境中, 对动植物具有生命威胁, 是最为常见的检测对象[70, 71].因此, 能同时检测PA和其他离子的探针受到了广泛关注.例如, Sankar课题组[72]合成了一个β-二氰基乙烯基取代的卟啉衍生物23 (Eq. 14), 对PA、CN-和F-有不同的光学响应.在CH2Cl2溶液中, 探针吡咯上的NH与具有强酸性的PA作用, 诱导23发生质子化和异构化过程, 在756 nm处有新的吸收峰, 溶液颜色由粉红色变为紫色, 且用水洗后可实现循环检测.加入F-或CN-后, 因为氢键作用或二氰乙烯双键的断裂, 吸收光谱分别红移至578、614 nm处, 而加入抗坏血酸后, C=O被还原为OH, 吸收峰又蓝移至429 nm处.
(14) 除了PA之外, 其他爆炸性强的NACs类化合物, 如三硝基甲苯(TNT)等, 也是被多功能探针检测的常见分析物.例如, 束庆海课题组[73]以18和萘-1, 5-二胺为原料, 合成了一个lab-on-a-molecule型荧光分子24 (Eq. 15), 可通过肉眼识别F−、CN−、TNT和PA.在探针的DMF缓冲溶液, F-与羟基形成氢键后发生去质子化作用, 吸收峰从367 nm红移至465 nm, 溶液颜色由无色变为黄色; CN-与C=N发生亲核取代反应, 导致吸收峰从367 nm红移至467 nm, 溶液颜色由无色变为粉红色.探针24中的亚胺与TNT和PA作用后, 受体的吸收光谱和供体的发射光谱发生最大重叠, 溶液颜色分别由无色变为深红和黄色, 且发生非发射共振转移的荧光猝灭.
(15) 沙林等神经毒气也是杀伤力巨大的化学武器, 研发微小灵敏检测手段, 对国防、公共安全意义重大.因此, Kumar课题组[74]合成了一个可以检测三种神经毒气的多功能探针25 (Scheme 5), 有较强的ICT效应, 显示出明亮的洋红色.在氯仿中加入肟26和碱27后, 再分别加入沙林(R=Me, R1=iPr, X=F)、塔崩和VX毒剂, 释放出强亲核试剂CN-. CN-与探针25中的双键作用, 破坏了分子内的共轭平面和ICT效应, 快速发生不同程度的褪色, 实现气相中三种毒气的含量测定.
图式 5
香豆素类化合物存在于天然植物中, 无生物毒性, 通常被设计为检测生物硫醇的多功能荧光探针[75].例如, 阴彩霞课题组[76]合成的turn-on型荧光探针分子28 (Eq. 16), 可成功检测半胱氨酸(Cys)、同型半胱胺酸(Hcy)、谷胱甘肽(GSH)、HS−和SO32-, 用于细胞成像和老鼠活体内检测.生物硫醇与探针结构中丙烯酰基团上的C=C双键发生加成反应, 最大发射峰增强, 呈现强的蓝色荧光, 响应时间为3 min; 而两个阴离子促进丙烯酸酯水解为羟基, 发射峰红移且增强, 呈现强的绿色荧光, 响应时间为10 min.
(16) 2. 基于纯有机聚合物的多功能荧光探针
在有机荧光小分子的基础上, 键接上亲水的聚合物链或多结合位点聚合物链, 或者延长有机荧光分子的共轭结构, 可合成光学信号具有放大效应的聚合物类多功能荧光探针[77].因聚合物类多功能荧光探针分子骨架的构建相对路线长、较为复杂多变, 故此类探针相对于有机小分子类多功能荧光探针研究较少, 仅有几例常用于检测多种金属阳离子[78]或氨基酸[79].
基于水溶性聚酯[80](或聚酰胺)与不同的官能团分子结合, 是设计聚合物类荧光探针常见的策略.若引入罗丹明类荧光团, 可设计高选择性的turn-on型荧光探针[81], 以减少背景干扰、提高探针灵敏度而用于检测多个金属阳离子.例如, 耿同谋课题组[82]以丙烯酰胺与罗丹明衍生物为原料, 根据沉淀聚合法合成一个聚酯-聚酰胺嵌段共聚物多功能荧光探针29 (Eq. 17).在水溶液中, 探针与Cr3+、Fe3+和Hg2+配位后螺内开环, 荧光均增强, 且在可见光和紫外灯下, 溶液颜色发生差异性变化, 能实现裸眼识别, 且检测适用的pH范围较广.
(17) 同样地, 刘世勇课题组[83]也基于嵌段共聚物, 以罗丹明衍生物作为荧光团, 合成了一个两亲性的共聚物探针30 (Eq. 18), 可成功检测Hg2+、Cu2+、pH.在水溶液中, 探针30自组装成纳米胶束, 与Hg2+和H+作用后, 诱导罗丹明螺内开环和荧光共振能量转移(FRET), 可见光下颜色由无色变为粉色, 紫外灯下荧光由绿色变为橙色, 加热时FRET和荧光颜色变化明显增强, 可有效提高选择性; 而与Cu2+作用后, 定量诱导罗丹明螺内开环的同时, 通过FRET机制有效地猝灭供体发射, 可见光下颜色由无色变为紫色, 荧光猝灭.
(18) 将芳香环偶联聚合, 可构建具有延长共轭骨架的“分子线”的共轭型聚合物多功能探针.例如, 张广友课题组[84]以含有极性和柔性支链的噻吩衍生物为原料, 成功合成了聚噻吩类化合物31 (Scheme 6), 同时检测多个阳离子和氨基酸分子.在CH3CN溶液中, 顺磁性的Co2+、Cu2+与探针31中的N、O原子三齿配位形成五元环, 荧光猝灭更易, 荧光由黄绿色变为黑色; 而Cd2+与探针31中的N发生二齿配位, 荧光由黄绿色变为粉色, 而在可见光下溶液由黄色变为红色.但是, 在THF溶液中, 只有Cu2+诱导荧光发生turn-off响应, 随后再加入HCy和GSH, 荧光增强, 恢复为黄绿色, 因此, 31-Cu2+可作为turn-on型荧光探针, 识别两种氨基酸.
图式 6
共轭型聚合物多功能探针中可同时引入多个共轭单元[85], 既提高共轭程度又含多个结合位点, 有利于提高检测性能.例如, 白如科课题组[86]发现, 2, 2'-联咪唑类共轭聚合物探针可识别金属离子、氨基酸和酸性气体HCl.若此类共轭聚合物探针上存在亲水基团, 如探针32[87] (Eq. 19), 可作为多功能荧光探针检测溶剂含水率、多个阳离子和氨基酸.探针32在二氧六环溶液中, 水含量由0%→20%→90%逐渐增加, 荧光由粉色逐渐变为蓝色再变为橙色, 呈现了一个聚集-解聚-聚集的过程, 可作为比色型荧光探针检测溶剂含水率.在二氧六环/水(V/V=4/1)的溶液中, 探针中的联咪唑环与Ag+配位, 聚合物支链聚集作用和FRET增强, 荧光由蓝色变为紫红色.在乙醇/水(V/V=4/1)的溶液中, 探针与Hg2+作用后, 诱导聚合物支链聚集和PET过程, 荧光颜色由蓝色猝灭成深红色.通过硫醇-Hg2+的相互作用, 32-Hg2+可进一步以聚集-解聚机理, 实现对Cys的原位识别.
(19) 基于硼酸酯结构, 选择合适的分子骨架和支链, 也可设计三角形的聚合物类多功能荧探针.例如, 苏清课题组[88]合成了一个基于Salen的共价有机聚合物33 (Eq. 20), 其具有π共轭、强发光和四配位的结合位点等特点, 可用于检测Al3+、Fe3+和Cu2+.在THF溶液中, 探针33与Al3+配位后, 抑制了PET过程, 最大发射峰红移且增强, 为黄色荧光; 与Fe3+和Cu2+配位后, 发生螯合增强猝灭效应(CHEQ)和顺磁性金属离子的影响, 荧光减弱.探针33对三种离子的检测限分别为0.248、0.545和0.140 μmol/L.重要的是, 加入具有强配位能力的EDTA后可实现循环检测.
(20) 含有氨基的聚合物可用于检测金属离子[89], 不含共轭结构的长链聚胺也可设计为识别多个金属离子的荧光探针, 如Anthony课题组[90]制备的超枝化聚乙烯亚胺多功能荧光探针能在水溶液和滤纸条上成功检测Cu2+、Co2+和Fe2+三种金属离子.类似地, 山东大学辛霞课题组[91]开发了水溶性的多支链聚醚类低聚物, 其作为on-off-on型多功能荧光探针, 可连续检测MnO4-、S2-和醛, 对实际污水检测有较大的现实意义.
3. 基于金属有机配合物的多功能荧光探针
金属有机配合物是由金属离子和有机配体通过配位形成化合物.根据分子空间结构的差异, 金属有机配合物可分为简单金属有机配合物和金属有机框架(MOFs)两大类, 它们均用于荧光传感[92, 93], 如Schmittel课题组[94]基于lab-on-a-molecule概念设计的Ir(Ⅲ)金属配合物多功能探针, 能成功检测Cys、Hcy和色氨酸.但整体而言, 简单金属有机配合物作为多检测探针的报道相对较少, 且通常用于配位的金属离子为具有自荧光的性质稀土金属离子[95, 96].
例如, 吕满庚课题组[97]以Eu3+为中心离子、苯并杂环为配体, 通过自由基共聚反应合成了一个Eu-聚合物多功能荧光传感器34 (Scheme 7), 其具有较长的荧光寿命, 能有效消除自荧光和周围环境的光散射干扰, 高灵敏地检测F-、CH3COO-和H2P4-.探针34中的咪唑环与三种阴离子发生强烈的氢键作用, 导致616 nm处发射强度有不同程度的减少, 荧光颜色分别从粉红色分别变为淡绿、淡蓝色和深蓝色, 实现它们的可视化检测.
图式 7
羧酸类配体在金属配合物类探针的设计中较为常用.例如, 刘伟生课题组[98]以3-双(3-羧基苯基)咪唑鎓为配体35(图 2), 使其与Tb3+配位, 合成了二维多功能荧光探针Tb-聚合物, 其与Fe3+作用后, 导致配体的结构改变, 荧光猝灭; 与Cr2O72-作用后, 发生碰撞作用和光谱重叠, 荧光猝灭; 与PA作用后, 诱导激发态电子转移和碰撞过程, 荧光猝灭.因此, 根据不同的作用机理和猝灭效率, 该亮绿色荧光探针可在水溶液中高选择性地识别Fe3+、Cr6+和PA, 检测限分别为50、100和50 nmol/L, 且对阳离子和PA可通过简单水洗后实现5次循环检测.
图 2
相对而言, MOFs是一种多孔有序的晶形结构, 其具有高表面积和高稳定性等优点[99], 挖掘这种新型材料的应用已成为研究热点, 目前有许多性能优异的MOFs类多功能荧光传感器被报道[100, 101].特别是镧系MOFs作为荧光探针, 其检测方法简单、灵敏度高、易于回收、可用于液相和固相识别[102], 在MOFs类多功能荧光探针较为常见.其中, 又多以Eu3+为中心离子, 且常选择氮杂环和多羧酸化合物为配体.
例如, 李夏课题组[103]以Eu3+与邻菲罗啉36和半刚性的2-(3-羧基苯氧基)苯甲酸37(图 2)配位, 通过水热反应制备了一个金属有机框架多功能荧光材料MOF-1, 其在较广的pH范围内, 对水稳定, 发红色荧光, 荧光量子产率为75.57%.探针与Fe3+作用后, 荧光完全猝灭为黄色; 与H+环境中Cr2O72-(或OH-环境中CrO42-)作用后, 荧光猝灭为黄色(或绿色); 与甲硝唑作用后, 荧光猝灭为无色.
第四、五周期的过渡金属(Cd2+、Zn2+、Co2+等)也常用于设计MOFs类荧光探针[104], 特别是以Cd2+为中心离子[105].例如, 李红喜课题组[106]使用芳香二酸配体38和含氮配体39 (图 2)与Cd2+作用, 合成了配位荧光增强的二维荧光探针MOF-2.在水溶液中, 探针MOF-2呈现蓝绿色荧光, 吡啶基团上的N与Hg2+作用后, 诱导ICT过程, 发生荧光猝灭; 同样地, CrO42-和Cr2O72-的吸收光谱与探针的发射光谱重叠, 荧光猝灭.
主族金属离子同样也可和有机配体结合, 用于设计MOFs类多功能荧光探针.例如, Natarajan课题组[107]以4, 4'-(苯并噻二唑-4, 7-二基)二苯甲酸40(图 2)为配体, 在高压反应釜中与金属离子Pb2+充分反应, 合成了基于配体发光的荧光探针MOF-3.由于配体中含有可作为软碱的S等原子, 这个MOF探针可在水中选择性地荧光识别剧毒的具有软酸性质的Tl3+、Hg2+, 产生猝灭的荧光响应.此外, 探针MOF-3对高氧化态阴离子CrO42-、Cr2O72-、MnO4-的检测也有较高的选择性和灵敏度.
MOFs类多功能探针不仅可用于检测多种阴阳离子, 其他方面的检测应用也有报道.例如, 丁斌课题组以镧系金属为中心离子, 设计了可成功检测Al3+、赖氨酸、胰岛素的MOFs探针[108]; 而以Ag+为中心离子的MOFs探针, 能成功检测DNA和不同构型的Cys[109].除多种生物分子外, 不同的酮类有机小分子[110]、一些芳香硝基爆炸物/药物分子[111]等, 也可以利用多功能的MOFs探针进行识别.
4. 结束语
近几年来, 已有各种各样的多功能荧光探针被报道.其中, 它们或能用于检测多种阳离子, 或多种阴离子, 或多种阴离子与阳离子, 或其他离子和分子.此类荧光探针大多含有多样的配位环境或结合位点, 检测机理是基于同一个功能分子, 与多种受体以不同的相互作用(如配位作用[112]、氢键作用[113]等)或不同的响应机理(如ICT[114]、PET[115]、ESIPT[116]、LMCT[117]等), 从而产生明显的紫外或荧光变化, 实现高灵敏和高选择性的识别.
但是, 从分析模式和检测过程看, 主要分为以下四种情况: (1)在同一溶剂体系中同时检测多种分析物; (2)分别在不同溶剂体系中检测多种分析物; (3)分别在不同的激发波长下(或结合紫外特征吸收)检测多种分析物; (4)根据配位能力大小实现“探针-金属离子配合物-阴离子-探针”连续检测.目前, 第一种情况相对较少, 但检测效率最高, 故在多检测探针中最具有挑战性, 有待于综合考虑结合位点、响应机制等因素, 继而从分子构建入手进行突破.
同时, 随着多功能荧光探针的多元化发展, 除本文已重点讨论的三大类外, 适应多学科的交叉融合, 一些基于晶型共价有机框架材料(COFs)、复合纳米材料和量子点等的新型荧光探针均待被挖掘和提升其多检测对象的传感性能.
-
-
[1]
Daly, B.; Ling, J.; de Silva, A. P. Chem. Soc. Rev. 2015, 44, 4023. doi: 10.1039/C4CS00229F
-
[2]
Chen, K.; Shu, Q. H.; Schmittel, M. Chem. Soc. Rev. 2015, 44, 136. doi: 10.1039/C4CS00263F
-
[3]
Magri, D. C.; Brown, G. J.; McClean, G. D.; de Silva, A. P. J. Am. Chem. Soc. 2006, 128, 4950. doi: 10.1021/ja058295+
-
[4]
Ma, H. W.; Li, F.; Li, P.; Wang, H. L.; Zhang, M.; Zhang, G.; Baumgarten, M.; Mullen, K. Adv. Funct. Mater. 2016, 26, 2025. doi: 10.1002/adfm.201504692
-
[5]
Yin, C.-X.; Xiong, K.-M.; Huo, F.-J.; Salamanca, J. C.; Strongin, R. M. Angew. Chem., Int. Ed. 2017, 56, 13188. doi: 10.1002/anie.201704084
-
[6]
Yin, G. X.; Niu, T. T.; Gan, Y. B.; Yu, T.; Yin, P.; Chen, H. M.; Zhang, Y. Y.; Li, H. T.; Yao, S. Z. Angew. Chem., Int. Ed. 2018, 57, 4991. doi: 10.1002/anie.201800485
-
[7]
吴彦城, 尤嘉宜, 关丽涛, 石杰, 曹梁, 汪朝阳, 有机化学, 2015, 35, 2465. http://sioc-journal.cn/Jwk_yjhx/CN/abstract/abstract345201.shtmlWu, Y.-C.; You, J.-Y.; Guan, L.-T.; Shi, J.; Cao, L.; Wang, Z.-Y. Chin. J. Org. Chem. 2015, 35, 2465(in Chinese). http://sioc-journal.cn/Jwk_yjhx/CN/abstract/abstract345201.shtml
-
[8]
蒋凯, 曹梁, 郝志峰, 陈美艳, 程洁銮, 李晓, 肖萍, 陈亮, 汪朝阳, 有机化学, 2017, 37, 2221. http://sioc-journal.cn/Jwk_yjhx/CN/abstract/abstract346113.shtmlJiang, K.; Cao, L.; Hao, Z.-F.; Chen, M.-Y.; Cheng, J.-L.; Li, X.; Xiao, P.; Chen, L.; Wang, Z.-Y. Chin. J. Org. Chem. 2017, 37, 2221(in Chinese). http://sioc-journal.cn/Jwk_yjhx/CN/abstract/abstract346113.shtml
-
[9]
Jun, J. V.; Petersson, E. J.; Chenoweth, D. M. J. Am. Chem. Soc. 2018, 140, 9486. doi: 10.1021/jacs.8b03738
-
[10]
Li, Z.; Fang, M.; LaGasse, M. K.; Askim, J. R.; Suslick, K. S. Angew. Chem., Int. Ed. 2017, 56, 9860. doi: 10.1002/anie.201705264
-
[11]
Shan, Z.; Lu, M, S.; Wang, L.; MacDonald, B.; MacInnis, J.; Mkandawire, M.; Zhang, X.; Oakes, K. D. Chem. Commun. 2016, 52, 2087. doi: 10.1039/C5CC07446K
-
[12]
Wu, Y.-C.; Jiang, K.; Luo, S.-H.; Cao, L.; Wu, H.-Q.; Wang, Z.-Y. Spectrochim. Acta, Part A 2018, 206, 632.
-
[13]
Jiang, K.; Wu, Y.-C.; Wu, H.-Q.; Li, S.-L.; Luo, S.-H.; Wang, Z.-Y. J. Photochem. Photobiol., A 2018, 350, 52. doi: 10.1016/j.jphotochem.2017.09.065
-
[14]
Li, M.; Lu, H.-Y.; Liu, R.-L.; Chen, J.-D.; Chen, C.-F. J. Org. Chem. 2012, 77, 3670. doi: 10.1021/jo3002744
-
[15]
Zhang, Y.-Y.; Chen, X.-Z.; Liu, X.-Y.; Wang, M.; Liu, J.-J.; Gao, G.; Zhang, X.-Y.; Sun, R.-Z.; Hou, S.-C.; Wang, H.-M. Sens. Actuators, B 2018, 273, 1077. doi: 10.1016/j.snb.2018.07.012
-
[16]
Diana, R.; Caruso, U.; Concilio, S.; Piotto, S.; Tuzi, A.; Panunzi, B. Dyes Pigm. 2018, 155, 249. doi: 10.1016/j.dyepig.2018.03.055
-
[17]
Wang, Y.; Mao, P.-D.; Wu, W.-N.; Mao, X.-J.; Fan, Y.-C.; Zhao, X.-L.; Xu, Z.-Q.; Xu, Z.-H. Sens. Actuators, B 2018, 255, 3085. doi: 10.1016/j.snb.2017.09.133
-
[18]
Jung, J. M.; Lee, S. Y.; Kim, C. Sens. Actuators, B 2017, 251, 291. doi: 10.1016/j.snb.2017.05.055
-
[19]
Hwang, S. M.; Kim, C. Inorg. Chim. Acta 2018, 482, 375. doi: 10.1016/j.ica.2018.06.039
-
[20]
Hariharan, P. S.; Anthony, S. P. Spectrochim. Acta, Part A 2015, 136, 1658. doi: 10.1016/j.saa.2014.10.061
-
[21]
Choi, Y. W.; Park, G. J.; Na, Y. J.; Jo, H. Y.; Lee, S. A.; You, G. R.; Kim, C. Sens. Actuators, B 2014, 194, 343. doi: 10.1016/j.snb.2013.12.114
-
[22]
Hariharan, P. S.; Anthony, S. P. Anal. Chim. Acta 2014, 848, 74. doi: 10.1016/j.aca.2014.07.042
-
[23]
Li, Y. R.; Wu, J.; Jin, X. J.; Wang, J. W.; Han, S.; Wu, W. Y.; Xu, J.; Liu, W. S.; Yao, X. J.; Tang, Y. Dalton Trans. 2014, 43, 1881. doi: 10.1039/C3DT52618F
-
[24]
Song, E. J.; Park, G. J.; Lee, J. J.; Lee, S.; Noh, I.; Kim, Y.; Kim, S. J.; Kim, C.; Harrison, R. G. Sens. Actuators, B 2015, 213, 268. doi: 10.1016/j.snb.2015.02.094
-
[25]
Kundu, A.; Hariharan, P. S.; Prabakaran, K.; Anthony, S. P. Spectrochim. Acta, Part A 2015, 151, 426. doi: 10.1016/j.saa.2015.06.107
-
[26]
Pannipara, M.; Al-Sehemi, A. G.; Irfan, A.; Assiri, M.; Kalam, A.; Al-Ammari, Y. S. Spectrochim. Acta, Part A 2018, 201, 54. doi: 10.1016/j.saa.2018.04.052
-
[27]
Behera, N.; Manivannan, V. J. Photochem. Photobiol., A 2018, 353, 77. doi: 10.1016/j.jphotochem.2017.10.055
-
[28]
Liao, Z.; Liu, Y.; Han, S.-F.; Wang, D.; Zheng, J.-Q.; Zheng, X.-J.; Jin, L.-P. Sens. Actuators, B 2017, 244, 914. doi: 10.1016/j.snb.2017.01.074
-
[29]
Jang, H. J.; Kang, J. H.; Yun, D.; Kim, C. J. Fluoresc. 2018, 28, 785. doi: 10.1007/s10895-018-2240-5
-
[30]
Tang, X.; Han, J.; Wang, Y.; Ni, L.; Bao, X.; Wang, L.; Zhang, W. L. Spectrochim. Acta, Part A 2017, 173, 721. doi: 10.1016/j.saa.2016.10.028
-
[31]
Chang, L.-L.; Gao, Q.; Liu, -S.; Hu, C.-C.; Zhou, W.-J.; Zheng, M.-M. Dyes Pigm. 2018, 153, 117. doi: 10.1016/j.dyepig.2018.02.013
-
[32]
Su, W.; Yuan, S. Z.; Wang, E. J. J. Fluoresc. 2017, 27, 1871. doi: 10.1007/s10895-017-2124-0
-
[33]
Roy, C. B.; Meshram, J. S. J. Lumin. 2016, 171, 208. doi: 10.1016/j.jlumin.2015.10.059
-
[34]
Singh, A.; Singh, R.; Shellaiah, M.; Prakash, E. C.; Chang, H. C.; Raghunath, P.; Lin, M. C.; Lin, H. C. Sens. Actuators, B 2015, 207, 338. doi: 10.1016/j.snb.2014.09.105
-
[35]
Gundogdu, L.; Kose, M.; Takeuchi, S.; Yokoyama, Y.; Orhan, E. J. Lumin. 2018, 203, 568. doi: 10.1016/j.jlumin.2018.06.014
-
[36]
Guo, S. L.; Liu, G.; Fan, C. B.; Pu, S. Z. Sens. Actuators, B 2018, 266, 603. doi: 10.1016/j.snb.2018.03.168
-
[37]
Chen, S.; Wang, W. J.; Yan, M. M.; Tu, Q.; Chen, S. W.; Li, T. B.; Yuan, M. S.; Wang, J. Y. Sens. Actuators, B 2018, 255, 2086. doi: 10.1016/j.snb.2017.09.008
-
[38]
Wang, L. L.; Qu, Y.; Yang, Y. X.; Cao, J.; Wang, L. Sens. Actuators, B 2018, 269, 78.
-
[39]
Zhang, S. S.; Wu, X. X.; Niu, Q. F.; Guo, Z. R.; Li, T. D.; Liu, H. X. J. Fluoresc. 2017, 27, 729. doi: 10.1007/s10895-016-2005-y
-
[40]
Puthiyedath, T.; Bahulayan, D. Sens. Actuators, B 2018, 272, 110. doi: 10.1016/j.snb.2018.05.126
-
[41]
Sie, Y.-W.; Wan, C.-F.; Wu, A.-T. RSC Adv. 2017, 7, 2460. doi: 10.1039/C6RA24704K
-
[42]
Sandhu, S.; Kumar, R.; Tripathi, N.; Singh, H.; Singh, P.; Kumar, S. Sens. Actuators, B 2017, 241, 8. doi: 10.1016/j.snb.2016.10.041
-
[43]
Magri, D. C.; Fava, M. C.; Mallia, C. J. Chem. Commun. 2014, 50, 1009. doi: 10.1039/C3CC48075E
-
[44]
Liang, C. S.; Jiang, S. M. Spectrochim. Acta, Part A 2017, 183, 267. doi: 10.1016/j.saa.2017.04.026
-
[45]
Li, S. Z.; Huang, D. Y.; Wan, J. Y.; Yan, S. C.; Jiang, J. L.; Xiao, H. B. Sens. Actuators, B 2018, 275, 101. doi: 10.1016/j.snb.2018.08.035
-
[46]
Jung, J. M.; Kang, J. H.; Han, J.; Lee, H.; Lim, M. H.; Kim, K. T.; Kim, C. Sens. Actuators, B 2018, 267, 58. doi: 10.1016/j.snb.2018.03.063
-
[47]
Pandith, A.; Bhattarai, K. R.; Kumara, R.; Siddappa, G.; Chae, H.-J.; Seo, Y. J. Sens. Actuators, B 2019, 282, 730. doi: 10.1016/j.snb.2018.11.111
-
[48]
Feng, X. J.; Fu, Y. L.; Jin, J.; Wu, J. X. Anal. Biochem. 2018, 563, 20. doi: 10.1016/j.ab.2018.09.018
-
[49]
Xu, J. B.; Liu, N.; Hao, C. W.; Han, Q. Q.; Duan, Y. L.; Wu, J. Sens. Actuators, B 2019, 280, 129. doi: 10.1016/j.snb.2018.10.038
-
[50]
Padhan, S. K.; Palei, J.; Rana, P.; Murmu, N.; Sahu, S. N. Spectrochim. Acta, Part A 2019, 208, 271. doi: 10.1016/j.saa.2018.10.016
-
[51]
Tripathi, K.; Singh, A. K.; Sonkar, A. K.; Prakash, A.; Roy, J. K.; Mishra, L.; Sens. Actuators, B 2018, 275, 116. doi: 10.1016/j.snb.2018.08.026
-
[52]
Wu, W.-N.; Wu, H.; Wang, Y.; Mao, X.-J.; Liu, B.-Z.; Zhao, X.-L.; Xu, Z.-Q.; Fan, Y.-C.; Xu, Z.-H. RSC Adv. 2018, 8, 5640. doi: 10.1039/C7RA10219D
-
[53]
Wu, Y.-C.; Huo, J.-P.; Cao, L.; Ding, S.; Wang, L.-Y.; Cao, D. R.; Wang, Z.-Y. Sens. Actuators, B 2016, 237, 865. doi: 10.1016/j.snb.2016.07.028
-
[54]
Wu, Y.-C.; You, J.-Y.; Jiang, K.; Xie, J.-C.; Li, S.-L.; Cao, D. R.; Wang, Z.-Y. Dyes Pigm. 2017, 140, 47. doi: 10.1016/j.dyepig.2017.01.025
-
[55]
Singh, P.; Singh, H.; Bhargava, G.; Kumar, S. J. Mater. Chem. C 2015, 3, 5524. doi: 10.1039/C5TC00554J
-
[56]
Joo, D. H.; Mok, J. S.; Bae, G. H.; Oh, S. E.; Kang, J. H.; Kim, C. Ind. Eng. Chem. Res. 2017, 56, 8399. doi: 10.1021/acs.iecr.7b01115
-
[57]
Ding, W.-H.; Wang, D.; Zheng, X.-J.; Ding, W.-J.; Zheng, J.-Q.; Mu, W.-H.; Cao, W.; Jin, L.-P. Sens. Actuators, B 2015, 209, 359. doi: 10.1016/j.snb.2014.11.144
-
[58]
Li, L.; Shen, Y.; Zhao, Y.-H.; Mu, L.; Zeng, X.; Redshaw, C.; Wei, G. Sens. Actuators, B 2016, 226, 279. doi: 10.1016/j.snb.2015.11.126
-
[59]
Zhang, H.; Sun, T.; Ruan, Q.; Zhao, J.-L; Mu, L.; Zeng, X.; Jin, Z. W.; Su, S. B.; Luo, Q. Y.; Yan, Y. Y.; Redshaw, C. Dyes Pigm. 2019, 162, 257. doi: 10.1016/j.dyepig.2018.10.025
-
[60]
Ta, S.; Das, S.; Ghosh, M.; Banerjee, M.; Hira, S. K.; Manna, P. P.; Das, D. Spectrochim. Acta, Part A 2019, 209, 170. doi: 10.1016/j.saa.2018.10.006
-
[61]
Wan, C.-F.; Chang, Y.-J.; Chien, C.-Y.; Sie, Y.-W.; Hu, C.-H.; Wu, A.-T. J. Lumin. 2016, 178, 115. doi: 10.1016/j.jlumin.2016.05.039
-
[62]
Wang, Q. M.; Tan, Y. Z.; Wang, N. H.; Lu, Z. X.; Wang, W. L. Spectrochim. Acta, Part A 2018, 201, 216. doi: 10.1016/j.saa.2018.05.017
-
[63]
Singh, H.; Bhargava, G.; Kumar, S.; Singh, P.; Sens. Actuators, B 2018, 272, 43. doi: 10.1016/j.snb.2018.05.104
-
[64]
Gwon, S. Y.; Rao, B. A.; Kim, H. S.; Son, Y. A.; Kim, S. H. Spectrochim. Acta, Part A 2015, 144, 226. doi: 10.1016/j.saa.2015.02.094
-
[65]
曹梁, 熊金峰, 吴彦城, 丁沙, 李铭冰, 谢芬, 马志晗, 汪朝阳, 有机化学, 2016, 36, 2053. http://sioc-journal.cn/Jwk_yjhx/CN/abstract/abstract345567.shtmlCao, L.; Xiong, J.-F.; Wu, Y.-C.; Ding, S.; Li, M.-B.; Xie, F.; Ma, Z.-H.; Wang, Z.-Y. Chin. J. Org. Chem. 2016, 36, 2053(in Chinese). http://sioc-journal.cn/Jwk_yjhx/CN/abstract/abstract345567.shtml
-
[66]
Su, P. R.; Zhu, Z. W.; Wang, J.; Cheng, B.; Wu, W. Y.; Iqbal, K.; Tang, Y. Sens. Actuators, B 2018, 273, 93. doi: 10.1016/j.snb.2018.06.037
-
[67]
Kumar, A.; Chae, P. S. Sens. Actuators, B 2019, 281, 933. doi: 10.1016/j.snb.2018.11.023
-
[68]
Okorochenkova, Y.; Porubsky, M.; Benicka, S.; Hlavac, J. Chem. Commun. 2018, 54, 7589. doi: 10.1039/C8CC01731J
-
[69]
Okda, H. E.; Sayed, S. E.; Otri, I.; Ferreora, R. C. M.; Costa, S. P. G.; Raposo, M. M. M.; Martínez-Má ez, R.; Sancenón, F. Dyes Pigm. 2019, 162, 303. doi: 10.1016/j.dyepig.2018.10.017
-
[70]
Wu, Y.-C.; Luo, S.-H.; Cao, L.; Jiang, K.; Wang, L.-Y.; Xie, J.-C.; Wang, Z.-Y. Anal. Chim. Acta 2017, 976, 74. doi: 10.1016/j.aca.2017.04.022
-
[71]
Jiang, K.; Luo, S.-H.; Pang, C.-M.; Wang, B.-W.; Wu, H.-Q.; Wang, Z.-Y. Dyes Pigm. 2019, 162, 367. doi: 10.1016/j.dyepig.2018.10.041
-
[72]
Chahal, M. K.; Sankar, M. Dalton Trans. 2017, 46, 11669. doi: 10.1039/C7DT01158J
-
[73]
Zhang, X. Y.; Chen, S. S.; Jin, S. H.; Zhang, Y.; Chen, X.; Zhang, Z.; Shu, Q. H. Sens. Actuators, B 2017, 242, 994. doi: 10.1016/j.snb.2016.09.154
-
[74]
Kumar, V.; Raviraju, G.; Rana, H.; Rao, V. K.; Gupta, A. K. Chem. Commun. 2017, 53, 12954. doi: 10.1039/C7CC07823D
-
[75]
Li, H. Q.; Sun, X. Q.; Zheng, T.; Xu, Z. X.; Song, Y. X.; Gu, X. H. Sens. Actuators, B 2019, 279, 400. doi: 10.1016/j.snb.2018.10.017
-
[76]
Xie, X. X.; Yin, C. X.; Yue, Y. K.; Chao, J. B.; Huo, F. J. Sens. Actuators, B 2018, 277, 647. doi: 10.1016/j.snb.2018.09.064
-
[77]
Thomas, S. W.; Joly, G. D.; Swager, T. M. Chem. Rev. 2007, 107, 1339. doi: 10.1021/cr0501339
-
[78]
Geng, T.-M.; Wu, D.-Y.; Huang, W.; Huang, R.-Y.; Wu, G.-H. J Polym Res 2014, 21, 354. doi: 10.1007/s10965-013-0354-7
-
[79]
Chen, H.; Dai, W.; Huang, J. X.; Chen, S. J.; Yan, X. H. J. Mater. Sci. 2018, 53, 15717. doi: 10.1007/s10853-018-2716-3
-
[80]
Guo, Z. Q.; Zhu, W. H.; Tian, H. Macromol. 2010, 43, 739. doi: 10.1021/ma902466g
-
[81]
Geng, T.-M.; Wu, D.-Y.; Huang, W. J. Polym. Res. 2015, 22, 40. doi: 10.1007/s10965-015-0684-8
-
[82]
Geng, T.-M.; Wang, X.; Jiang, H.; Song, W.; Ni, R. F.; Chen, J.; Wang, Y. J. Fluoresc. 2016, 26, 977. doi: 10.1007/s10895-016-1785-4
-
[83]
Hu, J. M.; Dai, L.; Liu, S. Y. Macromol. 2011, 44, 4699. doi: 10.1021/ma2001146
-
[84]
Guo, C. X.; Li, P.; Pei, M. S.; Zhang, G. Y. Sens. Actuators, B 2015, 221, 1223. doi: 10.1016/j.snb.2015.07.105
-
[85]
Wang, L. Y.; Fang, G. P.; Cao, D. R. Sens. Actuators, B 2015, 221, 63. doi: 10.1016/j.snb.2015.06.050
-
[86]
Wang, T. S.; Zhang, N.; Li, Q. B.; Li, Z. L.; Bao, Y. Y.; Bai, R. K. Sens. Actuators, B 2016, 225, 81. doi: 10.1016/j.snb.2015.11.014
-
[87]
Bao, Y. Y.; Wang, T. S.; Li, Q. B.; Du, F. F.; Bai, R. K.; Smet, M.; Dehaen, W. Polym. Chem. 2014, 5, 792. doi: 10.1039/C3PY01014G
-
[88]
Ju, P. Y.; Su, Q.; Liu, Z. Q.; Li, X. D.; Guo, B. X.; Liu, W. T.; Li, G. H.; Wu, Q. L. J. Mater. Sci. 2019, 54, 851. doi: 10.1007/s10853-018-2821-3
-
[89]
Qu, J.-B.; Li, S.-H.; Xu, Y.-L.; Liu, Y.; Liu, J.-G. Sens. Actuators, B 2018, 272, 124.
-
[90]
Kumar, V. V.; Thenmozhi, M. K.; Ganesan, A.; Ganesan, S. S.; Anthony, S. P. RSC Adv. 2015, 5, 88125. doi: 10.1039/C5RA13797G
-
[91]
Ding, P.; Xin, X.; Zhao, L. L.; Xie, Z. C.; Zhang, Q. H.; Jiao, J. M.; Xu, G. Y. RSC Adv. 2017, 7, 3051. doi: 10.1039/C6RA25583C
-
[92]
Wu, Z.-F.; Gong, L.-K.; Huang, X.-Y. Inorg. Chem. 2017, 56, 7397. doi: 10.1021/acs.inorgchem.7b00505
-
[93]
Hu, J.-S.; Dong, S.-J.; Wu, K.; Zhang, X.-L.; Jiang, J.; Yuan, J.; Zheng, M.-D. Sens. Actuators, B 2018, 283, 255.
-
[94]
Chen, K.; Schmittel, M. Analyst 2013, 138, 6742. doi: 10.1039/c3an01530k
-
[95]
Liu, Y.; Ma, J. J.; Xu, C.; Yang, Y.; Xia, M. F.; Jiang, H.; Liu, W. S. Dalton Trans. 2018, 47, 13543. doi: 10.1039/C8DT02202J
-
[96]
Yang, Y.; Qiu, F. Z.; Xu, C.; Feng, Y.; Zhang, G. L.; Liu, W. S. Dalton Trans. 2018, 47, 7480. doi: 10.1039/C8DT01518J
-
[97]
Yang, C. L.; Xu, J.; Ma, J. Y.; Zhu, D. Y.; Zhang, Y. F.; Liang, L. Y.; Lü, M. G. Polym. Chem. 2012, 3, 2640. doi: 10.1039/c2py20408h
-
[98]
Yang, Y.; Song, X. R.; Xu, C.; Wang, Y. Z.; Zhang, G. L.; Liu, W. S. Dalton Trans. 2018, 47, 11077. doi: 10.1039/C8DT02430H
-
[99]
庞楚明, 罗时荷, 郝志峰, 高健, 黄召昊, 余家海, 余思敏, 汪朝阳, 有机化学, 2018, 38, 2606. http://sioc-journal.cn/Jwk_yjhx/CN/abstract/abstract346622.shtmlPang, C.-M.; Luo, S.-H.; Hao, Z.-F.; Gao, J.; Huang, Z.-H.; Yu, J.-H.; Yu, S.-M.; Wang, Z.-Y. Chin. J. Org. Chem. 2018, 38, 2606(in Chinese). http://sioc-journal.cn/Jwk_yjhx/CN/abstract/abstract346622.shtml
-
[100]
Wu, Z.-F.; Huang, X.-Y. Dalton Trans. 2017, 46, 12597. doi: 10.1039/C7DT02800H
-
[101]
Dalapati, R.; Biswas, S. Sens. Actuators, B 2017, 239, 759. doi: 10.1016/j.snb.2016.08.045
-
[102]
Li, H. H.; Han, Y. B.; Shao, Z. C.; Li, N.; Huang, C.; Hou, H. W. Dalton Trans. 2017, 46, 12201. doi: 10.1039/C7DT02590D
-
[103]
Li, J.-M.; Li, R.; Li, X. CrystEngComm 2018, 20, 4962. doi: 10.1039/C8CE00915E
-
[104]
Shi, M.; Yang, J.; Liu, Y.-Y.; Ma, J.-F. Dyes Pigm. 2016, 129, 109. doi: 10.1016/j.dyepig.2016.02.022
-
[105]
Chen, S. G.; Shi, Z. Z.; Qin, L.; Jia, H. L.; Zheng, H. G. Cryst. Growth Des. 2017, 17, 67. doi: 10.1021/acs.cgd.6b01197
-
[106]
Gong, W.-J.; Yao, R.; Li, H.-X.; Ren, Z.-G.; Zhang, J.-G.; Lang, J.-P. Dalton Trans. 2017, 46, 16861. doi: 10.1039/C7DT03876C
-
[107]
Natarajan, S.; Jana, A. K. ChemPlusChem 2017, 82, 1153. doi: 10.1002/cplu.201700277
-
[108]
Wang, X. R.; Huang, Z.; Du, J.; Wang, X. Z.; Gu, N.; Tian, X.; Li, Y.; Liu, Y. Y.; Huo, J. Z.; Ding, B. Inorg. Chem. 2018, 57, 12885. doi: 10.1021/acs.inorgchem.8b02123
-
[109]
Wang, X. R.; Du, J.; Huang, Z.; Liu, K.; Liu, Y. Y.; Huo, J. Z.; Liu, Z. Y.; Dong, X. Y.; Chen, L. L.; Ding, B. J. Mater. Chem. B 2018, 6, 4569. doi: 10.1039/C8TB01032C
-
[110]
Li, B.; Chen, X.; Hu, P.; Kirchon, A.; Zhao, Y.-M.; Pang, J. D.; Zhang, T. L.; Zhou, H.-C. ACS Appl. Mater. Interfaces 2019, 11, 8227. doi: 10.1021/acsami.8b19815
-
[111]
Dong, B.-X.; Pan, Y.-M.; Liu, W.-L.; Teng, Y.-L. Cryst. Growth Des. 2018, 18, 431. doi: 10.1021/acs.cgd.7b01430
-
[112]
Erdemir, S.; Kocyigi, T. O. Sens. Actuators, B 2018, 273, 56. doi: 10.1016/j.snb.2018.06.019
-
[113]
Moghadam, F. N.; Amirnasr, M.; Meghdadi, S.; Eskandari, K.; Buchholz, A.; Plass, W. Spectrochim. Acta, Part A 2019, 207, 6. doi: 10.1016/j.saa.2018.08.058
-
[114]
Ekbote, A.; Mobin, S. M.; Misra, R. J. Mater. Chem. C 2018, 6, 10888. doi: 10.1039/C8TC04310H
-
[115]
Kundu, B. K.; Mandal, P.; Mukhopadhyay, B. G.; Tiwari, R.; Nayak, D.; Ganguly, R. Sens. Actuators, B 2019, 282, 347. doi: 10.1016/j.snb.2018.11.076
-
[116]
Chen, L.; Oh, H.; Wu, D.; Kim, M. H.; Yoon, J. Chem. Commun. 2018, 34, 2276.
-
[117]
TG, A. K.; Tekuria, V.; Mohan, M.; Trivedi, D. R. Sens. Actuators, B 2019, 284, 271. doi: 10.1016/j.snb.2018.12.003
-
[1]
-
扫一扫看文章
计量
- PDF下载量: 85
- 文章访问数: 7951
- HTML全文浏览量: 1734

下载:
下载: