Citation: Wu Shiwen, Yang Mengquan, Xiao Youli. Synthetic Biology Studies of Monoterpene Indole Alkaloids[J]. Chinese Journal of Organic Chemistry, 2018, 38(9): 2243-2258. doi: 10.6023/cjoc201806001
单萜吲哚生物碱的合成生物学研究进展
English
Synthetic Biology Studies of Monoterpene Indole Alkaloids
-
Key words:
- monoterpene indole alkaloid
- / strictosidine
- / biological part
- / biosynthetic pathway
- / synthetic biology
-
以长春碱为代表的萜类吲哚生物碱是具有重要生物活性的植物天然产物, 目前已发现有4000多种, 其中尤以单萜类居多, 达到3000多种[1].单萜吲哚生物碱主要来源于夹竹桃科、茜草科、马钱科和珙桐科等家族的植物[2].根据其结构和来源可将单萜吲哚生物碱分为四类[3]:柯南属生物碱(阿吗碱、蛇根碱和育宾亨等)、依波加明属生物碱(长春质碱等)、白坚木属生物碱(它波宁和文多灵等)和奎宁属生物碱(喜树碱和奎宁等).单萜吲哚生物碱具有多种重要的药理作用(Scheme 1):来源于萝芙木(Rauvolfia verticillate)和长春花(Catharanthus roseus)的阿吗碱(ajmalicine)具有抗炎和降血压的作用[1a, 1b]; 来源于喜树(Camptotheca acuminata)或短小蛇根草(Ophiorhiza pumila)的喜树碱(camptothecin)具有抗肿瘤活性[2a, 4]; 来源于蛇根木(Rauwolfia serpentina)的蛇根碱(serpentine)可以稳定血糖水平, 用于控制糖尿病[2a]; 来源于金鸡纳树(Cinchona ledgeriana/C. succirubra)的奎宁(又称为金鸡纳霜, quinine)是早期治疗疟疾的有效药物成分[3].植物长春花(Catharanthus roseus)含有丰富的萜类吲哚生物碱, 仅单萜吲哚生物碱就达130种之多[5], 具有多种药理活性[1a, 2, 6]:长春碱(vinblastine)、长春瑞滨(vinorelbine)和长春新碱(vincristine)可用于多种肿瘤/癌症的治疗; 文多灵(vindoline)和长春质碱(catharanthine)也用于糖尿病的治疗.单萜吲哚生物碱在植物体内的含量极低(约占鲜重的0.0002%)[2a, 7], 而且植物宿主多为木本, 生长周期长, 很难满足日益增长的市场需求[8].通过化学合成的方法人们也实现了从头全合成这些具有药理功效的萜类吲哚生物碱[9].然而, 这些化合物结构复杂, 难以直接大规模化学合成并进行结构多样化的衍生化修饰[2a].随着现代分子生物学技术和系统生物学的发展, 合成生物学快速崛起, 在异源宿主中合成这些天然产物或者其关键母核分子已成为人们关注的焦点.本文综述近30年来单萜吲哚生物碱的合成生物学研究进展, 重点分为生物合成途径中的元件发现和合成生物学应用研究进展两部分.
图式 1
图式 1. 以异胡豆苷为前体骨架形成的药用单萜吲哚生物碱Scheme 1. Medicinal monoterpene indole alkaloids (MIAs) derived from strictosidine1. 生物合成途径解析和元件发现
1.1 简介
自20世纪50年代末加拿大西安大略大学科学家Noble等以及随后60年代初美国礼来公司的Svoboda等相继报道首次发现长春碱生物碱以来, 该化合物及其衍生物就一直作为抗癌药物使用[10].作为一线抗癌药物和最为复杂的生物碱之一, 60年来吸引了国内外众多研究组对其生物合成途径的研究. 2018年, De Luca和O'Connor研究组[11]分别解析了长春花中文多灵和长春质碱的完整生物合成途径, 这些成果在单萜吲哚生物碱生物合成领域具有里程碑的意义, 将进一步推动其合成生物学的研究.异胡豆苷(strictosidine)由一分子的吲哚化合物色胺和一分子环烯醚萜化合物开环马钱子苷经皮克特-施彭格勒反应(Pictet-Spengler reaction)耦合形成[12], 是单萜吲哚生物碱合成的关键中间体.以异胡豆苷为重要节点, 将该类生物碱的生物合成途径分为两部分:形成异胡豆苷的上游生物合成途径和以异胡豆苷为前体骨架的下游生物合成途径, 共涉及12类酶(表 1).
表 1
表 1 单萜吲哚生物碱合成途径中已鉴定的生物元件列表Table 1. List of characterized synthetic biological parts involved in monoterpene indole alkaloids (MIAs) biosynthetic pathway序号 元件名称 功能 简称 参与天然产物 1 糖基转移酶 糖基化 7-DLGT 7-Deoxyloganetic acid, 7-deoxyloganic acid 2 异胡豆苷合酶 合成异胡豆苷 STR Tryptamine, secologanin, strictosidine 3 β-D型葡萄糖苷酶 水解糖苷 SGD, RGD Strictosidine, raucaffricine, strictosidine aglycone, vomilenine 4 乙酰转移酶 乙酰化 MAT, TAT Hörhammericine, 19-hydroxytabersonine, minovinine, 19-O-acetyhörhammericine, 19-O-acetytabersonine, echitovenine 5 氧甲基转移酶 氧甲基化 T16OMT 16-Hydroxytabersonine, 16-methoxytabersonine 6 氮甲基转移酶 氮甲基化 DhtNMT 16-Methoxy-2, 3-dihydro-3-hydroxytabersonine, desacetoxyvindoline 7 羟化酶 羟基化 T16H, T19H Tabersonine, 16-hydroxytabersonine, lochnericine, vincadifformine, hörhammericine, 19-hydroxytabersonine, minovinine 8 还原酶 羰基、醛基或双键还原 GS, HYS, THAS, Redox 4, 21-Dehydrogeissoschizine, mayumbine, alstonine, ajmalicine, (16R)-Z-isositsirikine, (16R)-E-isositsirikine 9 酯酶 酯的水解, 脱羧 PNAE Polyneuridine aldehyde, polyneuridine 10 环氧化酶 环氧化 T3O, TEX 16-Methoxytabersonine, 16-methoxy-2, 3-dihydro-3-hydroxytabersonine, tabersonine, lochnericine 11 过氧化物酶 二聚化 Prx Vindoline, catharanthine, vinblastine 12 其他细胞色素
P450酶环的重排 SBE, VS, TS, CS, GO Geissoschizine, preakuammicine, akuammicine, dehydrosecodine, catharanthine, tabersonine, polyneuridine aldehyde, 16-epivomilenine, vinorine 1.2 上游生物合成途径
异胡豆苷的生物合成主要来源于以下两条途径:环烯醚萜合成途径(iridoid pathway)和吲哚合成途径(indole pathway).
1.2.1 环烯醚萜合成途径
环烯醚萜途径(Scheme 2)主要是指10-羟基香叶醇经多步酶催化生成开环马钱子苷的过程:甲羟戊酸途径(MVA途径)和2-甲基-D-赤藻糖醇-4-磷酸途径(MEP途径, 也称作非甲羟戊酸途径)生成萜类化合物的共同前体异戊烯基焦磷酸(IPP)和二甲基丙烯基二磷酸(DMAPP). IPP和DMAPP在香叶基二磷酸合成酶(geranyl diphosphate synthase, GPPS)作用下生成的香叶基二磷酸(GPP)[13]被香叶醇合酶(geraniol synthase, GES)催化, 通过磷酸水解后生成香叶醇(geraniol)[14], 然后在香叶醇氧化酶(geraniol 8-oxidase, G8O)[15]作用生成的8-羟基香叶醇(8-hydroxygeraniol)被8-羟基香叶醇还原酶(8-hydroxygeraniol oxidoreductase, 8HGO)进一步氧化生成8-羟基香叶醛(8-oxogeranial). 8-羟基香叶醛在琉蚁二醛合酶(iridodial synthase, IS)催化下环化形成琉乙二醛(iridodial)[7].被琉乙二醛氧化酶(iridodial oxidase, IO)两步氧化形成的7-deoxyloganetic acid[7], 在其糖基转移酶(7-deoxyloganetic acid glucosyltransferase, 7-DLGT)作用下形成7-脱氧马钱子酸(7-deoxyloganic acid)[16], 然后通过7-deoxyloganic acid hydroxylase (7-DLH)催化生成马钱子酸(loganic acid)[7], 并通过马钱子酸甲基转移酶(loganic acid methyltransferase, LAMT)甲酯化生成马钱子苷(loganin)[7].最后由开环马钱子苷合成酶(secologanin synthase, SLS)催化马钱子苷开环生成开环马钱子苷(secologanin) (Scheme 2)[17].
图式 2
1.2.2 吲哚合成途径
异胡豆苷的另一前体色胺, 来源于吲哚合成途径, 又称为色胺合成途径或莽草酸合成途径, 该途径以分支酸(chorismate)为起始前体, 通过一系列酶催化生成色胺(Scheme 3).首先, 分支酸在苯甲酸合成酶(anthranilate synthase, AS)的催化下合成邻氨基苯甲酸(anthranilate); 生成的邻氨基苯甲酸被磷酸核糖二磷酸苯甲酸转移酶(phosphoribosyl diphosphate anthranilate transferase, AnPRT)催化生成磷酸核糖苯甲酸[N-(5-phosphoribosyl)-anthranilate]; 然后由苯甲酸异构酶(PR-anthranilate isomerase, PRAI)催化生成磷酸苯胺脱氧核酮糖[1-(O-carboxyphenylamino)-1-deoxyribulose phosphate]; 再由吲哚-3-甘油磷酸合酶(indole-3-glycerol phosphate synthase, IGPS)催化生成3-吲哚磷酸甘油(indole-3-glycerol phosphate); 3-吲哚磷酸甘油在色氨酸合酶α (tryptophan synthase α, TSA)作用下合成吲哚; 吲哚与丝氨酸在色氨酸合酶β (tryptophan synthase β, TSB)的催化下形成L-色氨酸(L-tryptophan)[18]. L-色氨酸在色氨酸脱羧酶(tryptophan decarboxylase, TDC)的催化下生成色胺(tryptamine) (Scheme 3)[19].
图式 3
1.2.3 异胡豆苷的形成
异胡豆苷是单萜吲哚生物碱合成的关键前体, 由色胺和开环马钱子苷在异胡豆苷合酶(strictosidine synthase, STR)催化下缩合形成[20].
1.3 下游合成途径——异胡豆苷演化为各种生物碱
异胡豆苷下游合成途径是指以异胡豆苷为起始前体, 由不同的酶催化生成各类单萜吲哚生物碱的过程.目前研究较为深入且比较完整的生物合成途径主要包括来源于长春花和小蔓长春花(Vinca minor)的长春碱、它波宁、长春质碱、文多灵、异育亨宾(heteroyohimbine)及其衍生物以及来源于萝芙木的阿吗灵(ajmaline)等生物碱的合成途径.除此之外, 常春蔓胺(vincamine)、奎宁和喜树碱等单萜吲哚生物碱的合成途径尚未完全解析.
1.3.1 长春碱(vinblastine)
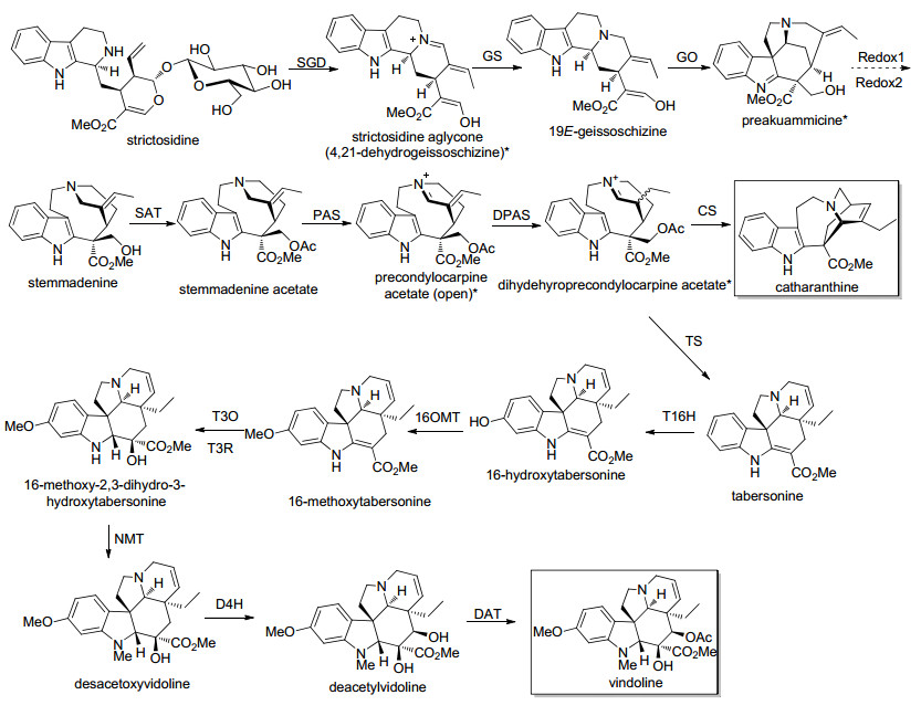
长春碱由文多灵和长春质碱两个单萜吲哚生物碱聚合而成, 这两个单萜吲哚生物碱均来源于以异胡豆苷为前体的代谢合成.异胡豆苷在异胡豆苷-β-D型葡萄糖苷酶(strictosidine β-D-glucosidase, SGD)作用下水解为异胡豆苷苷元(strictosidine aglycone).异胡豆苷苷元为不稳定的活性中间体, 会自发生成4, 21-脱氢缝籽木榛(4, 21-dehydrogeissoschizine), cathenamine和epi-cathenamine等中间体化合物(Scheme 4)[21].
图式 4
4, 21-脱氢缝籽木榛在缝籽木榛合酶(geissoschizine synthase, GS)作用下, 被还原为缝籽木榛(geissoschizine).体外环境下, 缝籽木榛会进一步被还原为(16R)-Z-异西特斯日钦碱((16R)-Z-isositsirikine)和(16R)-Z-异西特斯日钦碱((16R)-E-isositsirikine); 另一方面, 缝籽木榛在缝籽木榛氧化酶(geissoschizine oxidase, GO)作用下被氧化为前阿枯米辛碱(preakuammicine), 该产物不稳定, 可进一步脱去一分子甲醛生成阿枯米辛碱(akuammicine)[21b].植物体内, 缝籽木榛被GO, Redox1和Redox2催化生成花冠木碱(stemmadenine).该化合物被花冠木碱-O-酰基转移酶(stemmadenine-O-acetyltransferase, SAT)乙酰化生成酰基花冠木碱(stemmadeine acetate), 随后在precondylocarpine acetate synthase (PAS)作用下氧化生成precondylocarpine, 进一步催化形成condylocarpine. Precondylocarpine的双键被dihydroprecondylocarpine synthase (DPAS)还原, 形成不稳定中间体dihydehydroprecondylocarpine acetate.最后, 该中间体在长春质碱合酶(catharanthine synthase, CS)或它波宁合酶(tabersonine synthase, TS)作用下, 通过4+2环化加成反应分别生成长春质碱和它波宁(Scheme 5)[11].
图式 5
它波宁到文多灵的合成包括羟基化、氧甲基化、双键还原、氮甲基化、羟基化、乙酰化等六步酶催化(图 6)[22].首先, 它波宁在它波宁-16-羟化酶(tabersonine 16-hydroxylase, T16H)的作用下苯环上16位被羟基化, 生成16-羟基它波宁(16-hydroxytabersonine); 16-羟基它波宁在氧甲基酶(16-O-methyltransferase, 16OMT)作用下生成16-甲氧基它波宁(16-methoxytabersonine)[22a, 22b]; 该甲基化产物在羟化酶(16-methoxytabersonine oxidase, 16T3O)催化下生成16-甲氧基-2, 3-二氢-3-羟基它波宁(16-methoxy-2, 3-dihydro-3-hydroxytabersonine)[22c]; 接下来该产物在N-甲基转移酶(N-methyltransferase, NMT)的催化下生成去乙酰氧基文多灵(desacetoxyvindoline)[22d, 22e]; 去乙酰氧基文多灵在羟化酶(Desacetoxyvindoline-4-hydroxylase, D4H)作用下羟化生成去乙酰文多灵(deacetylvindoline)[22g]; 去乙酰文多灵在去乙酰文多灵-4-O-乙酰基转移酶(deacetylvindoline-4-O-acetyltransferase, DAT)催化下生成文多灵(Scheme 6)[22f].文多灵和长春质碱在过氧化物酶(peroxidase)作用下聚合形成二萜吲哚生物碱(长春碱).
图式 6
1.3.2 阿吗灵(ajmaline)
缝籽木榛既是合成长春质碱和它波宁的关键中间体, 也是合成萝芙木生物碱的中间体.缝籽木榛在sarpagan bridge enzyme (SBE)催化下[23], 重新形成一个六元环, 产生新骨架生物碱PNA (polyneuridine aldehyde), 在polyneuridine aldehyde esterase (PNAE)作用下水解酯键并脱羧形成16-表-维洛斯明碱(16-epivellosimine)[24], 然后由维诺任碱合酶(vinorine synthase, VS)催化合成维诺任碱(vinorine)[25].维诺任碱在维诺任碱羟化酶(vinorine hydroxylase, VH)催化下生成羟基化产物催吐萝芙木勒宁(vomilenine), 随后在催吐萝芙木勒宁还原酶(vomilenine reductase, VR) VR1和VR2的作用下分别还原为1, 2-脱氢催吐萝芙木勒宁(1, 2-dehydrovomilenine)和19, 20-脱氢催吐萝芙木勒宁(19, 20-dehydrovomilenine)[26].其中1, 2-脱氢催吐萝芙木勒宁可在另一个还原酶(dehydrovomilenine reductase, DHVR)的作用下, 被进一步还原.得到的产物乙酰去甲萝芙木碱(acetynorajmaline)在乙酰去甲萝芙木碱酯酶(acetynorajmaline esterase, AAE)的水解作用下, 失去一分子的乙酸, 形成去甲萝芙木碱(acetynorajmaline)[27].最后, 去甲萝芙木碱在氮甲基转移酶(N-methyltransferase)作用下脱甲基生成终产物阿吗灵(Scheme 7)[28].另外, 维诺任碱在维诺任碱羟化酶的两步催化下生成产物霹雳萝芙因(perakine).霹雳萝芙因的羰基被霹雳萝芙因还原酶(perakine reductase, PR)还原为羟基, 生成raucaffrinoline (Scheme 7)[29].
图式 7
值得注意的是, 萝芙木中存在两个β-D型葡萄糖苷酶(strictosidine β-D-glucosidase, SGD和raucaffricine β-D-glucosidase, GD), SGD和RGD均可接受异胡豆苷作为底物, 产生对应的水解产物.而只有RGD能接受raucaffricine作为底物, 产生化合物催吐萝芙木勒宁(Scheme 8)[30].
图式 8
1.3.3 它波宁(tabersonine)衍生物
它波宁作为文多灵合成的关键中间体, 同时也是洛柯碱(lochnericine)、蔓长春花胺(vincadifformine)、19-羟基它波宁(19-hydroxytabersonine)、19-O-酰基它波宁(19-O-acetytabersonine)、minovinine、19-O-acetyhörhammericine、hörhammericine、echitovenine等一系列衍生物的底物.它波宁及其类似物洛柯碱、蔓长春花胺在它波宁-19-羟化酶(tabersonine 19-hydroxylase, T19H)的作用下发生19位羟基化, 随后该羟基化基团被minovincine 19-O-acetyltransferase (MAT)乙酰化生成19-乙酰它波宁、19-acetyhörhammericine和echitovenine[31]; 它波宁的6位和7位双键在它波宁环氧化酶(tabersonine 6, 7-epoxidase, TEX)作用下被环氧化形成洛柯碱[32](Scheme 9).
图式 9
1.3.4 长春蔓胺(vincamine)
16-甲氧基它波宁在16-甲氧基它波宁-3-氧化酶(16-methoxytabersonine 3-oxidase, 16T3O)催化下, 同时生成3个同分异构体, 其中开环的同分异构体进一步发生重排, 形成新骨架的生物碱, 最终生成长春蔓胺骨架的衍生物.表明16T3O的同源蛋白可能参与长春蔓胺的生物合成, 为长春蔓胺生物合成途径的解析提供参考(Scheme 10)[33].
图式 10
1.3.5 喜树碱(camptothecin)
喜树碱作为一线的抗癌药物, 其合成途径引起了广泛关注.鉴于其复杂性, 目前只有部分基因功能得到解析(Scheme 11).异胡豆苷一直以来都是公认的前体, 但是2017年的同位素喂养实验证明, 该途径在喜树中是以异胡豆酸(strictosidinic acid)而不是异胡豆苷作为底物和中间体[34], 经过一系列酶催化反应, 最终生成喜树碱及其衍生物.整体而言, 喜树碱的生物合成途径来源于异胡豆苷或异胡豆酸, 通过酶催化或非酶催化反应生成异长春花内酰胺(strictosamide); 异长春花内酰胺作为底物, 被细胞色素单加氧酶P450识别, 发生氧化、开环和重排等反应, 形成短小蛇根草苷(pumiloside)“6-6-5”的喹啉结构, 得到喜树碱及其衍生物的基本骨架.短小蛇根草苷经过多步还原将羰基还原为双键, 首先生成脱氧短小蛇根草苷(deoxypumiloside), 再进一步生成糖基化的喜树碱前体, 最后经糖苷酶的水解和氧化, 进而形成喜树碱.近来, 来源于喜树的10-羟基喜树碱-10-甲氧基酶(10-hydroxycamptothecin O-methyltransferase, 10OMT)被鉴定, 用于催化10-羟基喜树碱(10-hydroxycamptothecin)生成10-甲氧基喜树碱(10-methoxycamptothecin), 但不能催化其类似物7-乙基-10-羟基喜树碱(7-ethyl-10-hydroxycamptothecin)[35].
图式 11
1.3.6 奎宁(quinine)
该途径中除了已经鉴定的异胡豆苷合酶[36], 还鉴定到了两个氧化还原酶(oxidoreductase-1和oxidoreductase-2). Oxidoreductase-1能够催化金鸡尼酮(cinchoninone)和它的异构体cinchonidinone, 还原生成去甲氧基奎宁碱(cinchonine)和辛可尼丁(cinchonidine); oxidoreductase-2能够催化金鸡尼酮和quinidinone两个化合物, 还原为对应的产物去甲氧基奎宁碱和辛可尼丁以及奎尼定(quinidine)和奎宁(Scheme 12)[37].
图 12
1.3.7 单萜吲哚生物碱合成途径解析的难点及策略
单萜吲哚生物碱合成途径中, 部分关键中间体以不稳定状态存在, 难以直接分离检测, 因此无法直接用同位素示踪的方法对其生物合成途径进行准确阐释; 另一方面, 这些不稳定中间体无法大量分离、纯化获得, 导致无合适底物可用于候选基因的生化表征, 造成单萜吲哚生物碱的合成途径难以解析.目前, “组学”数据的日益丰富和化学蛋白质组学等技术的日渐成熟, 为单萜吲哚生物碱合成途径的解析提供了更多可能. (1)利用已获得的“组学”数据, 通过共表达分析或自组织图分析, 获得候选基因, 然后利用病毒介导的基因沉默技术(Virus Induced Gene Silence, VIGS)对候选基因进行体内功能的表征.该技术已经成功用于长春花中长春质碱和它波宁合成途径的解析[11]. (2)利用化学蛋白质组学(chemical proteomics)策略[38], 筛选并鉴定候选蛋白酶, 该方法已成功用于模式植物拟南芥和非模式植物甜叶菊中糖基转移酶的发现和功能鉴定[39], 表明该方法也可用于单萜吲哚生物碱合成途径中功能蛋白的发现、筛选和鉴定, 进而解析单萜吲哚生物碱的合成途径.
2. 合成生物学研究:途径的构建与底盘
通过近几十年的发展, 合成生物学的目标已从生物元件和装置的合成(第一阶段的合成生物学), 逐步过渡到多细胞的生命系统的构建(第二阶段的合成生物学)[40].随着现代分子生物技术和系统生物学等技术的日渐发展和成熟, 合成生物学的底盘也日渐丰富, 主要有微生物底盘(酿酒酵母和大肠杆菌等)和植物底盘(烟草、悬浮细胞和毛状根等)两类.酵母中青蒿酸、诺斯卡品的异源合成以及烟草中青蒿素及前体和β-香树精、齐墩果烷酸等三萜皂苷的异源合成[41], 为利用合成生物学技术异源合成单萜吲哚生物碱提供参考.
异胡豆苷是单萜吲哚生物碱合成的关键节点化合物, 可以将单萜生物碱的合成途径分为上游合成途径(异胡豆苷的合成过程)和下游合成途径(异胡豆苷为前体骨架的单萜吲哚生物碱的合成过程)[1a].由于单萜吲哚生物碱合成途径的复杂性, 其部分天然产物的下游合成途径也是近期才得到完全解析(Scheme 13)[11, 21b, 42].基于此, 本文主要从上游合成途径、下游合成途径和转录调控三方面, 对其合成生物学研究进展进行综述.
图式 13
2.1 上游合成途径的合成生物学研究进展
色胺是异胡豆苷合成的主要前体之一, 增加色胺合成途径中关键基因的表达, 可以在一定程度上增加色胺的供应, 从而提高萜类吲哚生物碱的产量. Hughes等[43]将拟南芥中控制邻氨基苯甲酸(色氨酸合成前体)合成的基因AS的α亚基(ASα)引入长春花毛状根.培养6 d后, 转基因毛状根中色氨酸和色胺的含量分别达到2.5 mg/(g干重)和267 μg/(g干重), 分别是未转基因毛状根的300倍和11倍; 将ASα和TDC同时过表达, 转基因毛状根中蛇根碱含量明显增加.随后Hong等[44]将AS的α和β亚基同时引入长春花毛状根, 并过表达长春花中的TDC基因.转基因毛状根中色胺的含量明显提高[3.5 mg/(g干重)], 远高于单独转ASα. GES是参与环烯醚萜合成的第一步酶, 将该酶在长春花悬浮细胞的质体和细胞质中分别过表达:质体中过表达GES的转基因材料中萜类吲哚生物碱的含量并未提高, 但细胞质中过表达GES的转基因材料中阿吗碱和它波宁的含量有明显的提高[45]. Ritala等[46]构建了烟草的毛状根体系, 将缬草(Valeriana officinalis L.)中质体定位的GES基因导入烟草毛状根中, 转基因毛状根中香叶醇含量达13.7 μg/(g干重). Kumar等[47]将长春花来源的GPPS和GES利用农杆菌侵染的方法, 在长春花本体内进行过表达:单独过表达GPPS, 叶片中开环马钱子苷、文多灵和长春质碱的含量比对照分别提高2.8倍、3倍和6倍; 共同过表达GPPS和GES, 叶片中开环马钱子苷、文多灵和长春质碱的含量比对照分别提高2.2倍、2.5倍和3.2倍.
色氨酸脱羧酶是合成色胺的最后一步酶, 也是关键的限速酶. Songstad等[48]利用农杆菌侵染的方法将长春花TDC基因转入烟草, 通过筛选获得高色胺含量的转基因烟草[1085 μg/(g鲜重)].随后Li等[49]将长春花TDC基因转入烟草的叶绿体中, 获得稳定转化的转基因烟草. T1代烟草中色胺的含量达99.36 μg/(mg总蛋白). Whitmer等[50]在长春花悬浮细胞中过表达TDC基因, 获得稳定表达的转基因悬浮细胞T22, 饲喂马钱子苷和开环马钱子苷后, T22中产生1200 μmol/L的萜类吲哚生物碱. MEP合成途径为环烯醚萜合成途径提供了供体IPP和DMAPP, 是异胡豆苷合成的另一重要合成途径. Chang等[51]在长春花毛状根中过表达红豆杉来源的DXR和MECS (MEP合成途径中的关键基因)以及长春花中的STR基因.单独过表达STR时, 转基因毛状根中阿吗碱的含量达0.44 mg/(g干重); 同时过表达STR基因和引入红豆杉中MEP合成途径的关键基因DXR和MECS后, 转基因毛状根中阿吗碱的含量升高到0.91 mg/(g干重).该系统证明, 增强MEP合成途径可以有效提高阿吗碱的含量.
STR和TDC是异胡豆苷合成途径中最先鉴定的基因, 因此人们试图构建这两个基因的转基因材料, 期望通过饲喂前体化合物(色胺或开环马钱子苷)来获得异胡豆苷.悬浮细胞和植物愈伤组织是人们最先尝试的底盘系统. Canel等[52]利用农杆菌侵染的方法获得了共同过表达STR和TDC的长春花悬浮细胞, 可获得200 mg/L的异胡豆苷及其他萜类生物碱(阿吗碱、长春花碱和它波宁). Whitmer等[53]构建了稳定表达STR基因的长春花悬浮细胞S10, 然后饲喂500 μmol•L-1的底物(色氨和开环马钱子苷), 培养3 d后可获得500 μmol•L-1的萜类吲哚生物碱.利用相同的方法, Whitmer等[54]以共同过表达STR和TDC基因的长春花悬浮细胞为材料, 通过饲喂色胺及其他萜类合成中间产物, 可以获得1100 μmol/L的萜类吲哚生物碱; 转STR的长春花悬浮细胞S1在饲喂马钱子苷的情况下, 通过优化培养条件, 可获得600 μmol•L-1的萜类吲哚生物碱.锦带花愈伤组织Styriaca本身可产开环马钱子苷, 在该愈伤组织中同时过表达STR和TDC, 转基因愈伤可产生少量的阿吗碱[55]. Verma等[56]在小蔓长春花悬浮细胞中同时过表达长春花来源的STR和TDC, 获得三个稳定表达转基因株系.这些转基因株系中萜类吲哚生物碱的含量为干重的2.1%.
Geerlings等[57]将长春花来源的STR和SGD分别构建到载体pYPGE15 (SGD)和pYADE4 (STR)中, 然后将两个载体同时导入酿酒酵母(Saccharomyces cerevisiae)中获得转化酵母菌株.培养2 d后, 饲喂底物色氨和开环马钱子苷, 培养基中异胡豆苷的含量可达2 g/L, 而酵母体内异胡豆苷含量仅为0.3 mg/(g鲜重). Hallard等[58]将长春花中的TDC、STR和绿色荧光蛋白共同构建到双元植物载体pMOG402中, 每个基因前面均加上35S promoter.构建好的载体利用农杆菌侵染的方法侵染烟草.转基因烟草悬浮细胞‘Petit Havana’ SR1培养2 d后, 体内色胺含量达到11.8 μg/(g鲜重); 饲喂色胺和开环马钱子苷, 异胡豆苷的含量升高4倍(5.3 mg/L), 而且不影响烟草悬浮细胞的生物量.随后Leech等[59]将长春花中的STR1和TDC基因利用基因枪轰击法导入烟草叶片, 转基因烟草中萜类吲哚生物碱达到1589 μg/(g鲜重). Geerlings等[60]将长春花中的STR和TDC基因, 导入到金鸡纳树毛状根系统, 获得转基因毛状根材料.该转基因材料中色氨和异胡豆苷的含量分别达到1200 μg/(g干重)和1950 μg/(g干重).但是该材料中生物碱的产生具有不稳定性, 一年后再检测这些转基因材料, 无萜类吲哚生物碱生成.异胡豆苷也是喜树碱生物合成的关键前体.为大量合成喜树碱, Cui等[61]优化了短小蛇根草毛状根培养体系, 同时过表达长春花来源的G10H和STR, 转基因毛状根的喜树碱含量升高至1.77 mg/g, 是普通毛状根的1.6倍.
2014年, Miettinen等[7]鉴定了环烯醚萜合成途径中8-羟基香叶醇到马钱子苷酸合成的5个结构基因, 随后将欧洲云杉来源的PaGGPS、缬草来源的VoGES和长春花内源基因G8O, 8HGO, IS, IO, 7DLGT, 7DLH, LAMT, SLS, STR和TDC, 利用农杆菌瞬时侵染的方法, 在烟草中构建异胡豆苷合成底盘.遗憾的是, 所有基因均转入烟草后, 转化烟草中未检测到异胡豆苷的生成; 但是IO+7-DLGT+7-DLH+LAMT+SLS+TDC+STR组合侵染烟草并饲喂琉蚁二醛, 转化烟草中可以检测到异胡豆苷.为从头合成异胡豆苷, Brown等[62]将异胡豆苷合成相关的基因(tHMGR, IDI1, GES, GOR, ISY, IO, 7-DLGT, 7-DLH, LAMT, SLS, STR, TDC, ADH2和ALDH1)导入酿酒酵母.为增加异胡豆苷的产量, 采用“开源节流”的方法对转化后的酵母进行改造, 引入外源基因mFPSN144W, MAF1, AgGPPS2, CYB5和CPR以及增加酵母自身基因tHMGR, MAF1, IDI1, SAM2和ZWF1的拷贝数, 从而增加前体IPP和DMAPP的供应; 同时删除前体的分流基因ERG20, ATF1和OYE2.通过上述改造最终获得产0.5 mg/L异胡豆苷的酵母菌株.尽管酵母中异胡豆苷的含量很低, 但该研究首次实现了异胡豆苷的从头合成, 为后续萜类吲哚生物碱的异源合成奠定了基础.
2.2 下游合成途径的合成生物学研究进展
以异胡豆苷为前体的萜类吲哚生物碱合成途径中, 它波宁及后续生物碱的合成相关基因首先被解析, 因此人们优先对其进行合成生物学的研究. DAT是参与文多灵生成的最后一步酶, 将该酶在长春花毛状根中过表达后, DAT的表达量明显提高, 但是未检测到文多灵的生成, 反而获得一个新的化合物hörhammericine[63].
Qu等[22c]利用VIGS技术在长春花中鉴定到两个参与长春花萜类吲哚生物碱的候选基因它波宁3-氧化酶(tabersonine 3-oxygenase, T3O)和它波宁3-还原酶(tabersonine 3-reductase, T3R), 随后将这两个基因转入酵母BY47471中.转化后的酵母可以将16-甲氧基它波宁或它波宁进行3位羟基化和2, 3位的加氢还原, 生成3-羟基-2, 3-二氢-16-甲氧基它波宁或3-羟基-2, 3-二氢它波宁.随后, 他们将它波宁到文多灵合成过程中的7个基因全部导入酵母, 通过筛选获得了2个产文多灵的酵母菌株(培养基中饲喂225 μmol•L-1底物它波宁).发酵12 h后文多灵的产量分别达到2.7和1.1 mg/L, 为文多灵的工业化生产奠定了基础.近来, Carqueijeiro等[31]鉴定了催化它波宁的酰基化基因, 并将其与其他它波宁催化基因分别或同时转入酵母.饲喂底物它波宁的前提下, 分别转入 T19H和T3O的转基因酵母可以产生它波宁环氧化物和19-羟基它波宁; 同时转入T19H和T3O的转基因酵母, 可以同时产生这两个化合物, 但以环氧化合物的产量为主; 共同转入T16H2, 16OMT, T19H和TAT的转基因酵母, 可以产生16-甲氧基-它波宁和16-甲氧基-19-酰基-它波宁(该生物碱在长春花中不存在). Dang等[23]将来源于蛇根木的SGD, SBE, PNAE和VS和来源于长春花的GS构建到农杆菌中, 利用瞬时转化的方法侵染烟草, 同时饲喂50 μmol•L-1底物.转染烟草中能够生成维诺任碱.
2.3 转录因子在合成生物学中的应用
萜类吲哚生物碱的合成, 除受到本身合成基因的影响外, 还与基因的转录调控有关.异源合成导入转录调控因子可以改变生物碱的含量.转录因子ORCA3受茉莉酸甲酯的诱导, 在长春花悬浮细胞中过表达该转录因子, 显著提高色氨酸和色氨的含量; 饲喂马钱子苷则会明显提高异胡豆苷和阿吗碱的含量[64].与此相反, 在长春花毛状根中过表达ORCA3并用MeJA诱导处理, 转基因毛状根中它波宁的含量明显降低[65]. Ni等[66]构建并优化了短小蛇根草(Ophiorrhiza pumila)的毛状根体系, 同时引入长春花中的转录调控因子ORCA3, 转基因毛状根中喜树碱的含量升高1.5倍[1.72 mg/(g干重)]. ORCA2是ORCA3的同源蛋白, 均属于AP2/ERF家族, 也参与萜类吲哚生物碱的合成调控.在长春花毛状根中过表达ORCA2, 转基因毛状根中它波宁的含量随培养时间的延长明显降低, 而16-羟基-它波宁和19-羟基-它波宁的含量明显上升[67]. Schweizer等[68]将长春花来源的MYC2aD126N, ORCA3和BIS1, 利用农杆菌侵染的方法在长春花花瓣中瞬时过表达.单独过表达MYC2aD126N, 过表达的花瓣中异胡豆苷、长春质碱和文多灵的含量明显提高; 三个基因同时过表达, 长春花中生物碱的种类及含量会发生明显变化.
Mitogen activated protein kinase (MAPK)是植物种应对生物胁迫的重要信号转导蛋白. Raina等[69]发现长春花中CrMPK3与萜类吲哚生物碱的合成基因具有相同的转录表达模式, 推测该基因可能参与调控萜类吲哚生物碱的合成.将CrMPK3在长春花叶片中过表达后, 转化叶片中参与萜类吲哚生物碱合成的基因TDC, STR, D4H, DAT和正向调控因子ORCA3的表达量上调; 而抑制因子ZCT1, ZCT2和ZCT3的表达量下调.同时, 转化叶片中文多灵、蛇根碱、长春质碱和长春新碱的含量分别增加至4.0, 0.06, 1.3和1.7 mg/g. bHLH iridoid synthesis 1 (BIS1)可以与ORCA3结合, 共同调控下游萜类吲哚生物碱的合成.将BIS导入长春花毛状根后, 转基因毛状根可以产生2.25 mg/(g干重)的异胡豆苷和0.2 mg/(g干重)的阿吗碱、它波宁和蛇根碱[70]
综上所述, 酵母底盘具有易于遗传操作、生长周期短和发酵友好等优势[71], 已成功用于异胡豆苷和文多灵等单萜吲哚生物碱的异源合成, 目的产物的含量达到mg/L的水平.但是, 由于单萜吲哚生物具有一定的生理活性, 会对酵母菌株的生长产生一定的不良影响.因此, 利用酵母底盘进行单萜吲哚生物碱的异源合成时, 目的产物往往在培养基中, 酵母体内含量很少, 增加了化合物的分离提取成本; 另一方面, 酵母中仅含有部分单萜吲哚生物碱的合成前体, 需要从头重构单萜吲哚生物碱的合成途径.与此相反, 植物底盘本身含有单萜吲哚生物碱合成的通用前体IPP和DMAPP、更易于表达植物来源的蛋白和具有更大的生物量, 是植物天然产物合成生物学研究的重要底盘系统[72].以植物为底盘的单萜吲哚生物碱合成生物学研究中, 植物底盘中单萜吲哚生物碱的含量能达到mg/g的水平, 更适合单萜吲哚生物碱的异源合成.
目前, 单萜吲哚生物碱的合成生物学研究主要采用两种策略:第一种策略是将源植物种的合成途径直接在异源宿主中重构.例如酵母中异源合成它波宁的研究[22c].在该策略下, 只采用了源植物中的生物元件.因此, 无论是微生物底盘还是植物底盘, 其体内重构的合成途径与源植物中的合成途径一致; 第二种策略是将不同植物来源的生物元件进行组合、重装, 在异源宿主中重构合成目的天然产物的合成途径.例如烟草异源合成异胡豆苷的研究[7].该研究中, 烟草中异胡豆苷合成途径包括了欧洲云杉、缬草和长春花三种植物来源的生物元件.利用该策略获得的合成途径与源植物中的合成途径不尽相同.
3. 结论与展望
近年来, 基因组学、转录组学和代谢组学等系统生物学技术的快速发展, 为天然产物合成途径的解析提供了便利, 尤其是2018年长春花中单萜吲哚生物碱文多灵和长春质碱合成途径的解析, 为利用生物技术异源合成这些药用单萜吲哚生物碱奠定了基础, 同时也为其他萜类吲哚生物碱合成途径的解析提供了重要参考.另一方面, 合成生物学经过近30年的发展, 已从生物元件和装置的发现与合成转到多细胞生命系统的构建.利用不同元件的交叉重组和代谢途径的优化, 已在酵母中成功生成诺斯卡品和青蒿酸、在烟草中成功合成青蒿素及β-香树精、齐墩果烷酸等三萜皂苷[41].这些研究将极大地推动合成生物学策略在单萜吲哚生物碱异源合成方面的应用.
-
-
[1]
(a) Kuang, X.; Wang, C.; Zou, L.; Zhu, X.; Sun, C. China J. Chin. Mater. Med. 2016, 41, 4129 (in Chinese).
(匡雪君, 王彩霞, 邹丽秋, 朱孝轩, 孙超, 中国中药杂志, 2016, 41, 4129.)
(b) Thamm, A. M.; Qu, Y.; De Luca, V. Phytochem. Rev. 2016, 15, 339.
(c) Facchini, P. J.; De Luca, V. Plant J. 2008, 54, 763. -
[2]
(a) Huang, Y.; Tan, H.; Guo, Z.; Wu, X.; Zhang, Q.; Zhang, L.; Diao, Y. J. Plant Biol. 2016, 59, 203.
(b) De Luca, V.; Salim, V.; Thamm, A. M. K.; Masada, S. A.; Yu, F. Curr. Opin. Plant Biol. 2014, 19, 35. -
[3]
O'Connor, S. E.; Maresh, J. J. Nat. Prod. Rep. 2006, 23, 532. doi: 10.1039/b512615k
-
[4]
Zhao, D.; Hamilton, J. P.; Pham, G. M.; Crisovan, E.; Wiegert-Rininger, K.; Vaillancourt, B.; DellaPenna, D.; Buell, C. R. Gigascience 2017, 6, 1.
-
[5]
Der Heijden, R. V.; Jacobs, D. I.; Snoeijer, W.; Hallard, D.; Verpoorte, R. Curr. Med. Chem. 2004, 11, 607. doi: 10.2174/0929867043455846
-
[6]
陈越, 张青磊, 黄玉香, 谭何新, 刁勇, 张磊, 世界科学技术-中医药现代化, 2016, 18, 1914. doi: 10.11842/wst.2016.11.013Chen, Y.; Zhang, Q.; Huang, Y.; Tan., H.; Diao, Y., Zhang, L. World Sci. Technol.——Mod. Tradit. Chin. Med. Mater. Med. 2016, 18, 1914(in Chinese). doi: 10.11842/wst.2016.11.013
-
[7]
Miettinen, K.; Dong, L.; Navrot, N.; Schneider, T.; Burlat, V.; Pollier, J.; Woittiez, L.; Der Krol, S. V.; Lugan, R.; Ilc, T. Nat. Commun. 2014, 5, 3606. doi: 10.1038/ncomms4606
-
[8]
Kai, G.; Wu, C.; Gen, L.; Zhang, L.; Cui, L.; Ni, X. Phytochem. Rev. 2015, 14, 525. doi: 10.1007/s11101-015-9405-5
-
[9]
(a) Ishikawa, H.; Colby, D. A.; Boger, D. L. J. Am. Chem. Soc. 2008, 130, 420.
(b) Kuboyama, T.; Yokoshima, S.; Tokuyama, H.; Fukuyama, T. Proc. Natl. Acad. Sci. U. S. A. 2004, 101, 11966.
(c) Jana, G. K.; Sinha, S. Tetrahedron 2012, 68, 7155.
(d) Feng, L.; Ren, H.; Xiong, H.; Wang, P.; Wang, L.; Tang, Y. Angew. Chem. 2017, 56, 3055.
(e) Tokuda, R.; Okamoto, Y.; Koyama, T.; Kogure, N.; Kitajima, M.; Takayama, H. Org. Lett. 2016, 18, 3490.
(f) Smith, J. M.; Moreno, J.; Boal, B. W.; Garg, N. K. J. Am. Chem. Soc. 2014, 136, 4504.
(g) Sirasani, G.; Andrade, R. B. Strategies Tactics Org. Synth. 2013, 9, 1. -
[10]
(a) Noble, R. L.; Beer, C. T.; Cutts, J. H.; Ann, N. Y. Acad. Sci. 1958, 76, 882.
(b) Svoboda, G. H.; Gorman, M.; Barnes, A. J.; Oliver, A. T. J. Pharm. Sci. 1962, 51, 518. -
[11]
(a) Qu, Y.; Easson, M. E.; Simionescu, R.; Hajicek, J.; Thamm, A. M.; Salim, V.; De Luca, V. Proc. Natl. Acad. Sci. U. S. A. 2018, 115, 3180.
(b) Caputi, L.; Franke, J.; Farrow, S. C.; Chung, K.; Payne, R. M. E.; Nguyen, T.-D.; Dang, T.-T. T.; Carqueijeiro, I. S. T.; Koudounas, K.; Bernonville, T. D. d.; Ameyaw, B.; Jones, D. M.; Vieira, I. J. C.; Courdavault, V.; O'Connor, S. E. Science 2018, 360, 1235. -
[12]
(a) O'Connor, S. E.; Maresh, J. J. Nat. Prod. Rep. 2006, 23, 532.
(b) McCoy, E.; Galan, M. C.; O'Connor, S. E. Bioorg. Med. Chem. Lett. 2006, 16, 2475. -
[13]
Okada, K.; Saito, T.; Nakagawa, T.; Kawamukai, M.; Kamiya, Y. Plant Physiol. 2000, 122, 1045. doi: 10.1104/pp.122.4.1045
-
[14]
Iijima, Y.; Gang, D. R.; Fridman, E.; Lewinsohn, E.; Pichersky, E. Plant Physiol. 2004, 134, 370. doi: 10.1104/pp.103.032946
-
[15]
Collu, G.; Unver, N.; Peltenburg-Looman, A. M. G.; van der Heijden, R.; Verpoorte, R.; Memelink, J. FEBS Lett. 2001, 508, 215. doi: 10.1016/S0014-5793(01)03045-9
-
[16]
Asada, K.; Salim, V.; Masadaatsumi, S.; Edmunds, E.; Nagatoshi, M.; Terasaka, K.; Mizukami, H.; De Luca, V. Plant Cell. 2013, 25, 4123. doi: 10.1105/tpc.113.115154
-
[17]
(a) Irmler, S.; Schroder, G.; Stpierre, B.; Crouch, N. P.; Hotze, M.; Schmidt, J.; Strack, D.; Matern, U.; Schroder, J. Plant J. 2000, 24, 797.
(b) Murata, J.; Roepke, J.; Gordon, H.; De Luca, V. Plant Cell. 2008, 20, 524. -
[18]
Poulsen, C.; Verpoorte, R. Phytochemistry 1991, 30, 377. doi: 10.1016/0031-9422(91)83688-H
-
[19]
Noe, W.; Mollenschott, C.; Berlin, J. Plant Mol. Biol. 1984, 3, 281. doi: 10.1007/BF00017782
-
[20]
(a) Tremer, J. F.; Zenk, M. H. Eur. J. Biochem. 1979, 101, 225.
(b) Kutchan, T. M.; Hampp, N.; Lottspeich, F.; Beyreuther, K.; Zenk, M. H. FEBS Lett. 1988, 237, 40.
(c) Stevens, L. H.; Giroud, C.; Pennings, E. J. M.; Verpoorte, R. Phytochemistry 1993, 33, 99.
(d) de Waal, A.; Meijer, A. H.; Verpoorte, R. Biochem. J. 1995, 306, 571. -
[21]
(a) Irina, G.; Yuri, S.; Ma, X.; Joachim, S. Eur. J. Biochem. 2002, 269, 2204.
(b) Tatsis, E. C.; Carqueijeiro, I.; de Bernonville, T. D.; Franke, J.; Dang, T.-T. T.; Oudin, A.; Lanoue, A.; Lafontaine, F.; Stavrinides, A. K.; Clastre, M. Nat. Commun. 2017, 8, 316. -
[22]
(a) Levac, D.; Murata, J.; Kim, W. S.; De Luca, V. Plant J. 2008, 53, 225.
(b) Besseau, S.; Kellner, F.; Lanoue, A.; Thamm, A. M. K.; Salim, V.; Schneider, B.; Geu-Flores, F.; Höouml; fer, R.; Guirimand, G.; Guihur, A.; Oudin, A.; Glevarec, G.; Foureau, E.; Papon, N.; Clastre, M.; Giglioli-Guivarc'h, N.; St-Pierre, B.; Werck-Reichhart, D.; Burlat, V.; De Luca, V.; O'Connor, S. E.; Courdavault, V. Plant Physiol. 2013, 163, 1792.
(c) Qu, Y.; Easson, M. L. A. E.; Froese, J.; Simionescu, R.; Hudlicky, T.; De Luca, V. Proc. Natl. Acad. Sci. U. S. A. 2015, 112, 6224.
(d) De Luca, V.; Balsevich, J.; Tyler, R. T.; Kurz, W. G. W. Plant Cell Rep. 1987, 6, 458.
(e) Liscombe, D. K.; Usera, A. R.; O'Connor, S. E. Proc. Natl. Acad. Sci. U. S. A. 2010, 107, 18793.
(f) Benoit, S.-P.; Pierre, L.; Anne-Marie, A.; Vincenzo, D.; Luca, E. Plant J. 1998, 14, 703.
(g) Vazquez-Flota, F.; De Carolis, E.; Alarco, A.-M.; De Luca, V. Plant Mol. Biol. 1997, 34, 935. -
[23]
Dang, T.-T. T.; Franke, J.; Carqueijeiro, I. S. T.; Langley, C.; Courdavault, V.; O'Connor, S. E. Nat. Chem. Biol. 2018, 14, 760. doi: 10.1038/s41589-018-0078-4
-
[24]
Dogru, E.; Warzecha, H.; Seibel, F.; Haebel, S.; Lottspeich, F.; Stockigt, J. Eur. J. Biochem. 2000, 267, 1397. doi: 10.1046/j.1432-1327.2000.01136.x
-
[25]
(a) Bayer, A.; Ma, X.; Stöouml; ckigt, J. Biorg. Med. Chem. 2004, 12, 2787.
(b) Ma, X.; Koepke, J.; Bayer, A.; Linhard, V.; Fritzsch, G.; Zhang, B.; Michel, H.; Stöouml; ckigt, J. Biochim. Biophys. Acta 2004, 1701, 129. -
[26]
Geissler, M.; Burghard, M.; Volk, J.; Staniek, A.; Warzecha, H. Planta 2016, 243, 813. doi: 10.1007/s00425-015-2446-6
-
[27]
Ruppert, M.; Woll, J.; Giritch, A.; Genady, E.; Ma, X.; Stöckigt, J. Planta 2005, 222, 888. doi: 10.1007/s00425-005-0031-0
-
[28]
Cázares-Flores, P.; Levac, D.; De Luca, V. Plant J. 2016, 87, 335. doi: 10.1111/tpj.2016.87.issue-4
-
[29]
Dang, T. T.; Franke, J.; Tatsis, E.; O'Connor, S. E. Angew. Chem. 2017, 56, 9440. doi: 10.1002/anie.v56.32
-
[30]
Xia, L.; Ruppert, M.; Wang, M.; Panjikar, S.; Lin, H.; Rajendran, C.; Barleben, L.; Stöckigt, J. ACS Chem. Biol. 2012, 7, 226. doi: 10.1021/cb200267w
-
[31]
Carqueijeiro, I.; Dugé de Bernonville, T.; Lanoue, A.; Dang, T. T.; Teijaro, C. N.; Paetz, C.; Billet, K.; Mosquera, A.; Oudin, A.; Besseau, S. Plant J. 2018, 94, 469. doi: 10.1111/tpj.2018.94.issue-3
-
[32]
Carqueijeiro, I. T.; Brown, S.; Chung, K.; Dang, T.-T. T.; Walia, M.; Besseau, S.; Dugéde Bernonville, T.; Oudin, A.; Lanoue, A.; Billet, K.; Munsch, T.; Koudounas, K.; Melin, C.; Godon, C.; Razafimandimby, B.; de Craene, J.-O.; Glévarec, G.; Marc, J.; Giglioli-Guivarc'h, N.; Clastre, M.; St-Pierre, B.; Papon, N.; Andrade, R. B.; O'Connor, S.; Courdavault, V. Plant Physiol. 2018.
-
[33]
Kellner, F.; Geu-Flores, F.; Sherden, N. H.; Brown, S.; Foureau, E.; Courdavault, V.; O'Connor, S. E. Chem. Commun. 2015, 51, 7626. doi: 10.1039/C5CC01309G
-
[34]
Sadre, R.; Magallanes-Lundback, M.; Pradhan, S.; Salim, V.; Mesberg, A.; Jones, A. D.; DellaPenna, D. Plant Cell. 2016, 28, 1926. doi: 10.1105/tpc.16.00193
-
[35]
Salim, V.; Jones, A. D.; DellaPenna, D. Plant J. 2018, 95, 112. doi: 10.1111/tpj.2018.95.issue-1
-
[36]
Stevens, L. H.; Giroud, C.; Pennings, E. J. M.; Verpoorte, R. Phytochemistry. 1993, 33, 99. doi: 10.1016/0031-9422(93)85403-E
-
[37]
Isaac, J. E.; Robins, R. J.; Rhodes, M. J. C. Phytochemistry 1987, 26, 393. doi: 10.1016/S0031-9422(00)81420-X
-
[38]
周怡青, 肖友利, 化学学报, 2018, 76, 177. doi: 10.3866/PKU.WHXB201707121Zhou, Y.; Xiao, Y. Acta Chim. Sinica 2018, 76, 177(in Chinese). doi: 10.3866/PKU.WHXB201707121
-
[39]
(a) Ogawa-Ohnishi, M.; Matsushita, W.; Matsubayashi, Y. Nat. Chem. Biol. 2013, 9, 726.
(b) Zhou, Y.; Li, W.; You, W.; Di, Z.; Wang, M.; Zhou, H.; Yuan, S.; Wong, N.-K.; Xiao, Y. Chem. Commun. 2018, 54, 7179.
(c) Li, W.; Zhou, Y.; You, W.; Yang, M.; Ma, Y.; Wang, M.; Wang, Y.; Yuan, S.; Xiao, Y. ACS Chem. Biol. 2018, 13, 1944. -
[40]
Purnick, P. E.; Weiss, R. Nat. Rev. Mol. Cell Biol. 2009, 10, 410. http://www.ncbi.nlm.nih.gov/pubmed/19461664
-
[41]
(a) Li, Y.; Li, S.; Thodey, K.; Trenchard, I.; Cravens, A.; Smolke, C. D. Proc. Natl. Acad. Sci. U. S. A. 2018, 115, E3922.
(b) Paddon, C. J.; Westfall, P. J.; Pitera, D. J.; Benjamin, K.; Fisher, K.; McPhee, D.; Leavell, M.; Tai, A.; Main, A.; Eng, D. Nature 2013, 496, 528.
(c) Ehrenworth, A. M.; Peralta-Yahya, P. Nat. Chem. Biol. 2017, 13, 249.
(d) Li, S.; Li, Y.; Smolke, C. D. Nat. Chem. 2018, 10, 395.
(e) Farhi, M.; Marhevka, E.; Ben-Ari, J.; Algamas-Dimantov, A.; Liang, Z.; Zeevi, V.; Edelbaum, O.; Spitzer-Rimon, B.; Abeliovich, H.; Schwartz, B. Nat. Biotechnol. 2011, 29, 1072.
(f) Fuentes, P.; Zhou, F.; Erban, A.; Karcher, D.; Kopka, J.; Bock, R. eLife 2016, 5, e13664.
(g) Malhotra, K.; Subramaniyan, M.; Rawat, K.; Kalamuddin, M.; Qureshi, M. I.; Malhotra, P.; Mohmmed, A.; Cornish, K.; Daniell, H.; Kumar, S. Mol. Plant. 2016, 9, 1464.
(h) Reed, J.; Stephenson, M. J.; Miettinen, K.; Brouwer, B.; Leveau, A.; Brett, P.; Goss, R. J. M.; Goossens, A.; Connell, M. A. O.; Osbourn, A. Metab. Eng. 2017, 42, 185. -
[42]
Qu, Y.; Thamm, A. M.; Czerwinski, M.; Masada, S.; Kim, K. H.; Jones, G.; Liang, P.; De Luca, V. Planta 2018, 247, 625. doi: 10.1007/s00425-017-2812-7
-
[43]
(a) Hughes, E. H.; Hong, S.-B.; Gibson, S. I.; Shanks, J. V.; San, K. Biotechnol. Bioeng. 2004, 86, 718.
(b) Hughes, E. H.; Hong, S.-B.; Gibson, S. I.; Shanks, J. V.; San, K. Metab. Eng. 2004, 6, 268. -
[44]
Hong, S. B.; Peebles, C. A. M.; Shanks, J. V.; San, K.; Gibson, S. I. J. Biotechnol. 2006, 122, 28. http://www.ncbi.nlm.nih.gov/pubmed/16188339
-
[45]
Saiman, M. Z.; Miettinen, K.; Mustafa, N. R.; Choi, Y. H.; Verpoorte, R.; Schulte, A. E. Plant Cell, Tissues Organ. Cult. 2018, 134, 53.
-
[46]
Ritala, A.; Dong, L.; Imseng, N.; Seppänen-Laakso, T.; Vasilev, N.; van der Krol, S.; Rischer, H.; Maaheimo, H.; Virkki, A.; Brändli, J. J. Biotechnol. 2014, 176, 20. doi: 10.1016/j.jbiotec.2014.01.031
-
[47]
Kumar, S. R.; Shilpashree, H. B.; Nagegowda, D. A. Front. Plant Sci. 2018, 9, 942. doi: 10.3389/fpls.2018.00942
-
[48]
Songstad, D. D.; De Luca, V.; Brisson, N.; Kurz, W. G.; Nessler, C. L. Plant Physiol. 1990, 94, 1410. doi: 10.1104/pp.94.3.1410
-
[49]
Li, Q.; Fiore, S. D.; Fischer, R.; Wang, M. Bot. Bull. Acad. Sin. 2003, 44, 193.
-
[50]
Whitmer, S.; van der Heijden, R.; Verpoorte, R. J. Biotechnol. 2002, 96, 193.
-
[51]
Chang, K.; Qiu, F.; Chen, M.; Zeng, L.; Liu, X.; Yang, C.; Lan, X.; Wang, Q.; Liao, Z. Biotechnol. Appl. Biochem. 2014, 61, 249.
-
[52]
Canel, C.; Lopescardoso, M. I.; Whitmer, S.; Der Fits, L. V.; Pasquali, G.; Der Heijden, R. V.; Hoge, J. H. C.; Verpoorte, R. Planta 1998, 205, 414. doi: 10.1007/s004250050338
-
[53]
Whitmer, S.; Canel, C.; Hallard, D.; Goncalves, C.; Verpoorte, R. Plant Physiol. 1998, 116, 853. doi: 10.1104/pp.116.2.853
-
[54]
(a) Whitmer, S. Aspects of Terpenoid Indole Alkaloid Formation by Transgenic Cell Lines of Catharanthus Roseus Over-expressing Tryptophan Decarboxylase and Strictosidine Synthase, Leiden University, 1999.
(b) Whitmer, S.; van der Heijden, R.; Verpoorte, R. Plant Cell, Tissues Organ. Cult. 2002, 69, 85. -
[55]
Facchini, P. J.; Huber-Allanach, K. L.; Tari, L. W. Phytochemistry 2000, 54, 121. doi: 10.1016/S0031-9422(00)00050-9
-
[56]
Verma, P.; Sharma, A.; Khan, S. A.; Shanker, K.; Mathur, A. K. Protoplasma 2015, 252, 373. doi: 10.1007/s00709-014-0685-1
-
[57]
Geerlings, A.; Redondo, F.; Contin, A.; Memelink, J.; van der Heijden, R.; Verpoorte, R. Appl. Microbiol. Biotechnol. 2001, 56, 420. doi: 10.1007/s002530100663
-
[58]
Hallard, D.; van der Heijden, R.; Verpoorte, R.; Cardoso, M. I. L.; Pasquali, G.; Memelink, J.; Hoge, J. H. C. Plant Cell Rep. 1997, 17, 50. doi: 10.1007/s002990050350
-
[59]
Leech, M. J.; May, K.; Hallard, D.; Verpoorte, R.; De Luca, V.; Christou, P. Plant Mol. Biol. 1998, 38, 765. doi: 10.1023/A:1006000229229
-
[60]
Geerlings, A.; Hallard, D.; Martinez Caballero, A.; Lopes Cardoso, I.; van der Heijden, R.; Verpoorte, R. Plant Cell Rep. 1999, 19, 191. doi: 10.1007/s002990050732
-
[61]
Cui, L.; Ni, X.; Ji, Q.; Teng, X.; Yang, Y.; Wu, C.; Zekria, D.; Zhang, D.; Kai, G. Sci. Rep. 2015, 5, 8227. doi: 10.1038/srep08227
-
[62]
Brown, S.; Clastre, M.; Courdavault, V.; O'Connor, S. E. Proc. Natl. Acad. Sci. U. S. A. 2015, 112, 3205. doi: 10.1073/pnas.1423555112
-
[63]
Magnotta, M.; Murata, J.; Chen, J.; De Luca, V. Phytochemistry 2007, 68, 1922. doi: 10.1016/j.phytochem.2007.04.037
-
[64]
van der Fits, L.; Memelink, J. Science 2000, 289, 295. doi: 10.1126/science.289.5477.295
-
[65]
Peebles, C. A.; Hughes, E. H.; Shanks, J. V.; San, K.-Y. Metab. Eng. 2009, 11, 76. doi: 10.1016/j.ymben.2008.09.002
-
[66]
Ni, X.; Wen, S.; Wang, W.; Wang, X.; Xu, H.; Kai, G. J. Appl. Pharm. Sci. 2011, 1, 85.
-
[67]
Li, C. Y.; Leopold, A. L.; Sander, G. W.; Shanks, J. V.; Zhao, L.; Gibson, S. I. BMC Plant Biol. 2013, 13, 155. doi: 10.1186/1471-2229-13-155
-
[68]
Schweizer, F.; Colinas, M.; Pollier, J.; Van Moerkercke, A.; Bossche, R. V.; de Clercq, R.; Goossens, A. Metab. Eng. 2018, 48, 150. doi: 10.1016/j.ymben.2018.05.016
-
[69]
Raina, S. K.; Wankhede, D. P.; Jaggi, M.; Singh, P.; Jalmi, S. K.; Raghuram, B.; Sheikh, A. H.; Sinha, A. K. BMC Plant Biol. 2012, 12, 134. doi: 10.1186/1471-2229-12-134
-
[70]
Van Moerkercke, A.; Steensma, P.; Schweizer, F.; Pollier, J.; Gariboldi, I.; Payne, R.; Bossche, R. V.; Miettinen, K.; Espoz, J.; Purnama, P. C. Proc. Natl. Acad. Sci. U. S. A. 2015, 112, 8130. doi: 10.1073/pnas.1504951112
-
[71]
孙丽超, 李淑英, 王凤忠, 辛凤姣, 生物技术通报, 2017, 33, 64. http://med.wanfangdata.com.cn/Paper/Detail?id=PeriodicalPaper_swjstb201701007Sun, L; Li, S; Wang, F; Xin, F. Biotechnol. Bull. 2017, 33, 64(in Chinese). http://med.wanfangdata.com.cn/Paper/Detail?id=PeriodicalPaper_swjstb201701007
-
[72]
(a) Arlen, P. A.; Falconer, R.; Cherukumilli, S.; Cole, A.; Cole, A. M.; Oishi, K. K.; Daniell, H. Plant Biotechnol. J. 2007, 5, 511.
(b) Ikram, N. K. B. K.; Zhan, X.; Pan, X.-W.; King, B. C.; Simonsen, H. T. Front. Plant Sci. 2015, 6, 129.
-
[1]
-
表 1 单萜吲哚生物碱合成途径中已鉴定的生物元件列表
Table 1. List of characterized synthetic biological parts involved in monoterpene indole alkaloids (MIAs) biosynthetic pathway
序号 元件名称 功能 简称 参与天然产物 1 糖基转移酶 糖基化 7-DLGT 7-Deoxyloganetic acid, 7-deoxyloganic acid 2 异胡豆苷合酶 合成异胡豆苷 STR Tryptamine, secologanin, strictosidine 3 β-D型葡萄糖苷酶 水解糖苷 SGD, RGD Strictosidine, raucaffricine, strictosidine aglycone, vomilenine 4 乙酰转移酶 乙酰化 MAT, TAT Hörhammericine, 19-hydroxytabersonine, minovinine, 19-O-acetyhörhammericine, 19-O-acetytabersonine, echitovenine 5 氧甲基转移酶 氧甲基化 T16OMT 16-Hydroxytabersonine, 16-methoxytabersonine 6 氮甲基转移酶 氮甲基化 DhtNMT 16-Methoxy-2, 3-dihydro-3-hydroxytabersonine, desacetoxyvindoline 7 羟化酶 羟基化 T16H, T19H Tabersonine, 16-hydroxytabersonine, lochnericine, vincadifformine, hörhammericine, 19-hydroxytabersonine, minovinine 8 还原酶 羰基、醛基或双键还原 GS, HYS, THAS, Redox 4, 21-Dehydrogeissoschizine, mayumbine, alstonine, ajmalicine, (16R)-Z-isositsirikine, (16R)-E-isositsirikine 9 酯酶 酯的水解, 脱羧 PNAE Polyneuridine aldehyde, polyneuridine 10 环氧化酶 环氧化 T3O, TEX 16-Methoxytabersonine, 16-methoxy-2, 3-dihydro-3-hydroxytabersonine, tabersonine, lochnericine 11 过氧化物酶 二聚化 Prx Vindoline, catharanthine, vinblastine 12 其他细胞色素
P450酶环的重排 SBE, VS, TS, CS, GO Geissoschizine, preakuammicine, akuammicine, dehydrosecodine, catharanthine, tabersonine, polyneuridine aldehyde, 16-epivomilenine, vinorine -
扫一扫看文章
计量
- PDF下载量: 406
- 文章访问数: 14948
- HTML全文浏览量: 4884

下载:
下载: