Citation: Fu Chao, Fan Yanxia, Sun Qihui, Yi Weiyin, Yi Fengping. One-Pot Synthesis of 2-Benzyl-3, 4-dihydro-2H-isoquinolin-1-ones Catalyzed by CuCl2[J]. Chinese Journal of Organic Chemistry, 2019, 39(2): 566-570. doi: 10.6023/cjoc201805024
CuCl2催化“一锅法”合成2-苄基-3, 4-二氢异喹啉-1-酮类衍生物
-
关键词:
- 氯化铜
- / 一锅法
- / 2-苄基-3, 4-二氢异喹啉-1-酮
English
One-Pot Synthesis of 2-Benzyl-3, 4-dihydro-2H-isoquinolin-1-ones Catalyzed by CuCl2
-
Key words:
- CuCl2
- / one-pot
- / 2-benzyl-3, 4-dihydro-2H-isoquinolin-1-ones
-
四氢异喹啉类化合物不仅是一种天然的含氮杂环类化合物, 也是重要的生物活性药物[1].四氢异喹啉及其衍生物被广泛地应用于抗肿瘤[2]、抗真菌[3]、抗HV病毒[4]、抗凝血[5]等药物中.作为四氢异喹啉类化合物的重要组成部分, 二氢异喹啉酮及其衍生物在许多天然生物活性物质中作为核心结构存在[6], 同时也是各种天然产物合成中的关键中间体[7].因此, 探索二氢异喹啉酮类化合物的有效合成方法具有重要的研究意义.
在四氢异喹啉类化合物中, 二氢异喹啉酮类化合物的合成研究报道较多, 其合成方法主要分为以下几种类型. Li等[8]报道了通过固相合成方法得到相应的异喹啉铜类化合物.整个合成过程不仅需5~6步进行, 且多步反应产生大量的废弃物; Ban等[9]在NaBH4条件下, 通过2-溴苯乙胺与苯甲醛反应合成了二氢异喹啉酮类化合物, 该反应需要一氧化碳的参与才能发生, 而一氧化碳是一种有毒气体, 对人体有害.近年来, 有研究报道, 直接使用四氢异喹啉类化合物为底物, 选择性α位氧化得到相应的二氢异喹啉酮.但大多数反应需要使用昂贵且有毒的过渡金属催化剂(如金[10]、钌[11]等)和I2[12]、高碘化物[13]、NaClO2[14]等氧化物.因此开发出经济、绿色、环保的二氢异喹啉合成方法具有重大意义.
根据文献调查发现, 尚未有报道在四氢异喹啉及衍生物的1位碳上, 通过一锅的亲核加成及氧化引入羰基直接合成二氢异喹啉酮类化合物.因此我们在以往研究基础上, 进一步开发出了在铜催化剂和冰乙酸条件下, 使用四氢异喹啉、苯甲醛、苄基叠氮作底物, 直接一步合成2-苄基-3, 4-二氢异喹啉-1-酮.同时, 对其反应条件、催化剂体系、最佳反应温度、最佳投料比进行了一系列系统地探索与优化.该方法原料易得、操作简单、产率较高, 具有较大应用价值.
1. 结果与讨论
为了得到优化的反应条件, 实验过程中以四氢异喹啉(1)、苯甲醛(2a)、苄基叠氮(3)一锅法反应为模板反应, 考察了催化剂的种类、底物比以及反应温度对反应的影响, 具体结果如表 1所示.
表 1

Entry Catalyst Temp./℃ Yield/% 1 CuI 100 31 2 CuBr 100 23 3 CuCl 100 21 4 CuBr2 100 41 5 CuCl2 100 60 6 FeCl3•6H2O 100 23 7 Fe2(SO4)3 100 19 8 Cu(OTf)2 100 0 9 Ag(OTf) 100 42 10 Bi(OTf)3 100 14 11 Ce(OTf)3 100 9 12 Yb(OTf)3 100 0 13 CuCl2 100 41b, 46c, 52d 14 CuCl2 80 46 15 CuCl2 60 43 16 CuCl2 110 52 17 CuCl2 120 50 a Reaction condition: 1 (1.4 mmo1), 2a (1.4 mmo1), 3 (1 mmol), cat. (10 mol%), toluene (5 mL), CH3COOH (12 μL), 100 ℃, 3 h. The molar ratio: b 1:2a:3=1:1:1; c 1:2a:3=1.2:1.2:1; d 1:2a:3=1.8:1.8:1. 首先, 考察了不同催化剂对反应的影响.实验结果表明不同金属催化剂对反应产率的影响不同(表 1, Entries 1~12).在一价铜催化剂中, CuBr和CuCl的催化效果基本相同, 而CuI的催化效果要好于CuBr和CuCl的催化效果(表 1, Entries 1~3);在二价铜催化剂中, CuCl2的催化效果明显好于CuBr2, 产率达到60%(表 1, Entry 5).在铁的催化剂中, 测定了FeCl3•6H2O与Fe2(SO4)3的催化效果, 通过对比发现两者的催化效果不太显著, 而且催化效果明显低于二价铜催化剂(表 1, Entries 6~7).同时, 还对铜、银、铋、铈、镱的三氟甲磺酸盐的催化效果进行测定, 发现三氟甲磺酸铜与三氟甲磺酸镱基本上对该反应没有催化效果(表 1, Entry 8, 12), 三氟甲磺酸铈和三氟甲磺酸铋的催化效果也较弱, 产率分别仅有9%(表 1, Entry 11)和14%(表 1, Entry 10), 但三氟甲磺酸银对该反应的催化效果较好, 达到了42%的产率(表 1, Entry 9).接下来, 考察了不同底物比对反应产率的影响, 设定了3组不同投料比(表 1, Entry 13).从中可以看出, 当物质的量比四氢异喹啉:苯甲醛:苄基叠氮=1.4:1.4:1时, 为最佳投料比.
确定了最佳投料比后, 本研究设计了不同反应温度对反应产率的影响.将投料比固定为1.4:1.4:1, 设置5个梯度温度, 分别为60、80、110和120 ℃(表 1, Entries 14~17), 以及上组中的100 ℃(表 1, Entry 5).可以看出随着温度从60 ℃升到80 ℃, 再到100 ℃, 产率逐步提高, 在100 ℃时催化效果达到最好.但随着温度继续升高, 催化效果又逐渐降低并且出现更多的副产物.最终确定在CuCl2作催化剂下, 该反应的最佳反应温度为100 ℃.
通过模版反应的研究, 确定了最优的反应条件:四氢异喹啉(1, 1.4 mmol)、苯甲醛(2a, 1.4 mmol)、苄基叠氮(3, 1 mmol)、CuCl2 (10 mol%)和CH3COOH (12 μL), 以甲苯为溶剂, 并加入4 分子筛(50 mg•mL-1), 100 ℃下反应3 h.在此优化条件下, 选择了一系列的苯甲醛类化合物与四氢异喹啉和苄基叠氮进行“一锅法”反应, 实验结果见表 2.
表 2

Entry 2 Product Yield/% 1 
4a 60 2 
4b 53 3 4c 50 4 4d 58 5 4e 62 6 4f 70 7 4g 60 8 4h 65 9 4i 52 10 4j 56 11 4k 58 12 
4l 54 首先, 考察了苯环上取代基的位置对反应产率的影响(表 2, Entries 2~4), 实验结果发现邻、间、对位氯取代的苯甲醛产率相差不大, 表明取代基的位置对该反应的影响较小.同时发现当苯环上有不同卤素取代时, 如氯、溴, 溴取代的苯甲醛产率较高, 达到62%(表 2, Entry 5).当苯环上含有多个吸电子取代基时, 该反应产率得到进一步提高, 最高可达到70%(表 2, Entries 6~8).含供电子取代的苯甲醛, 如对甲基或对乙基苯甲醛在标准条件下反应, 分别以52%和56%的分离产率得到相应的目标化合物(表 2, Entries 9~10).同时含有吸电子基团和供电子基团苯甲醛进行反应时, 收率为58%(表 2, Entry 11).这说明无论苯环上连有供电子基还是吸电子基, 反应均能进行, 苯环上电子云密度的变化对反应收率影响很小.比较而言, 吸电子基团的效果好于供电子基团.为进一步拓展反应的底物的适应范围, 考察了其他杂芳环醛类底物.糠醛被用于反应时, 可获得目标产物, 产率为54%(表 2, Entry 12).综上可知, 此方法适用于不同结构类型和不同取代的2-苄基-3, 4-二氢异喹啉- 1-酮类化合物的合成.
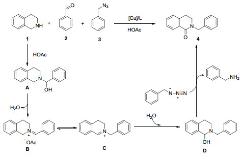
在实验结果的基础上, 对该反应过程机理进行了简单推测(如图 1所示).在冰乙酸的作用下, 原料1和原料2初步反应生成中间产物A, 接着脱去一分子水生成B; 产物B发生电子转移得到C, 中间产物C经亲核加成生成D; D在铜盐的催化下, 与苄基叠氮发生氧化反应, 生成最终产物4, 同时并产生副产物苄胺, 其苄胺已通过GC-MS检测到.
图 1
2. 结论
综上所述, 通过四氢异喹啉、苯甲醛类和苄基叠氮的一锅法反应, 成功地开发了一种新的CuCl2催化的四氢异喹啉类衍生物的合成方法.相较于其他合成方法, 该一锅法的特点与底物的来源方便性在二氢异喹啉酮的合成上具有更广泛的适用性和优势.此反应为合成四氢异喹啉衍生物提供了一种高效、便捷的途径.同时, 本文也为此类反应提出了合理的机制.
3. 实验部分
3.1 仪器与试剂
1H NMR和13C NMR采用AVANCE Ⅲ 500M核磁共振仪测定, 以CDC13为溶剂, 1H NMR以TMS或CHC13为标准.高分辨质谱仪采用solanX 70 FT-MS测定.熔点测定仪采用Yanaco micrometer显微熔点测定仪(温度未经校正).原料苄基叠氮参考相应文献合成[15], 其他实验试剂均为市售分析纯试剂, 未进一步纯化处理.
3.2 实验方法
3.2.1 苄基叠氮的制备
将苄溴(10 mmol)和DMF(20 mL)加入到50 mL的双颈圆底烧瓶中, 搅拌下加入叠氮化钠(11 mmol), 在氮气条件下, 将该溶液在室温下搅拌24 h.反应结束后, 反应液转入分液漏斗中, 加入50 mL乙酸乙酯和50 mL水, 振摇分液, 分出水相, 有机相用水洗涤(15 mL×3), 再用饱和食盐水洗涤一次, 无水硫酸钠干燥.滤除干燥剂后, 通过旋转蒸发仪除去有机溶剂, 残余物通过柱层析分离[V(石油醚):V(乙酸乙酯)=10:1], 最终得到1.2 g苄基叠氮, 为黄色液体, 产率为90%.
3.2.2 2-苄基-3, 4-二氢异喹啉-1-酮类化合物的合成
以产物2-苄基-3, 4-二氢异喹啉-1-酮(4a)的合成为例.将CuCl2 (14 mg, 0.1 mmol)、冰乙酸(12 μL)、活化后的分子筛(4 , 200 mg)一次性加入圆底烧瓶, 加入溶剂甲苯(5 mL)之后, 紧接着加入四氢异喹啉(186 mg, 1.4 mmol)、苯甲醛(148 mg, 1.4 mmol)、苄基叠氮(133 mg, 1 mmol).然后把反应温度控制到100 ℃反应3 h.反应进程使用薄层色谱(TLC)监测[V(石油醚):V(乙酸乙酯)=10:1].反应结束后, 用镊子取出其中的4 分子筛并用二氯甲烷淋洗3~4次, 将所得溶液通过旋转蒸发仪除去有机溶剂, 残余物使用快速柱层析方法纯化分离[V(石油醚):V(乙酸乙酯)=10:1], 最后得到0.14 g浅黄色液体2-苄基-3, 4-二氢异喹啉-1-酮(4a), 产率为60%. 1H NMR (500 MHz, CDCl3) δ: 8.18 (d, J=7.6 Hz, 1H), 7.45 (t, J=6.9 Hz, 1H), 7.39 (d, J=7.5 Hz, 1H), 7.36 (d, J=4.5 Hz, 2H), 7.31 (s, 1H), 7.19 (d, J=7.4 Hz, 1H), 4.83 (s, 2H), 3.51 (s, 1H), 2.96 (s, 1H); 13C NMR (125 MHz, CDCl3) δ: 164.6, 138.1, 137.5, 131.7, 129.4, 128.6, 128.5, 128.1, 127.4, 127.1, 126.9, 50.5, 45.4, 28.1; HRMS calcd for C16H16NO [M+H]+ 238.1984, found 238.1986.
2-(2-氯-苄基)-3, 4-二氢异喹啉-1-酮(4b):浅黄色液体, 产率53%. 1H NMR (500 MHz, CDCl3) δ: 8.14 (d, J=7.5 Hz, 1H), 7.44 (t, J=7.5 Hz, 1H), 7.40~7.34 (m, 3H), 7.25~7.20 (m, 2H), 7.18 (d, J=7.0 Hz, 1H), 4.92 (s, 2H), 3.55 (t, J=6.5 Hz, 2H), 2.99 (t, J=6.5 Hz, 2H); 13C NMR (125 MHz, CDCl3) δ: 164.8, 138.1, 134.8, 133.6, 131.9, 129.6, 129.5, 129.2, 128.7, 128.5, 127.2, 127.1, 126.9, 48.1, 45.9, 28.1; HRMS calcd for C16H15ClNO [M+H]+272.0836, found 272.0839.
2-(3-氯-苄基)-3, 4-二氢异喹啉-1-酮(4c):浅黄色液体, 产率为50%. 1H NMR (500 MHz, CDCl3) δ: 8.14 (d, J=8.0 Hz, 1H), 7.44 (t, J=7.0 Hz, 1H), 7.37 (t, J=7.5 Hz, 1H), 7.32 (s, 1H), 7.25 (t, J=7.0 Hz, 4H), 7.18 (d, J=7.5 Hz, 1H), 4.77 (s, 2H), 3.50 (t, J=6.5 Hz, 2H), 2.97 (t, J=7.0 Hz, 2H); 13C NMR (125 MHz, CDCl3) δ: 164.7, 139.6, 138.0, 134.6, 131.9, 129.9, 129.2, 128.5, 128.1, 127.7, 127.2, 127.0, 126.2, 50.1, 45.6, 28.1; HRMS calcd for C16H15ClNO [M+H]+ 272.0836, found 272.0841.
2-(4-氯-苄基)-3, 4-二氢异喹啉-1-酮(4d):浅黄色液体, 产率为58%. 1H NMR (500 MHz, CDCl3) δ: 8.13 (d, J=7.5 Hz, 1H), 7.46~7.40 (m, 1H), 7.36 (t, J=7.5 Hz, 1H), 7.32~7.25 (m, 3H), 7.17 (d, J=7.5 Hz, 1H), 4.75 (s, 1H), 3.48 (t, J=6.5 Hz, 1H), 2.94 (t, J=6.5 Hz, 1H); 13C NMR (125 MHz, CDCl3) δ: 164.7, 138.0, 136.0, 133.3, 131.9, 129.5, 129.2, 128.8, 128.5, 127.2, 127.0, 49.9, 45.5, 28.1; HRMS calcd for C16H15ClNO [M+H]+ 272.0836, found 272.0840.
2-(2-溴-苄基)-3, 4-二氢异喹啉-1-酮(4e):黄色液体, 产率为62%. 1H NMR (500 MHz, CDCl3) δ: 8.13 (d, J=7.6 Hz, 1H), 7.44 (dd, J=13.0, 8.0 Hz, 3H), 7.36 (t, J=7.5 Hz, 1H), 7.22 (d, J=8.0 Hz, 2H), 7.17 (d, J=7.5 Hz, 1H), 4.74 (s, 2H), 3.48 (t, J=6.5 Hz, 2H), 2.94 (t, J=6.5 Hz, 2H); 13C NMR (125 MHz, CDCl3) δ: 164.2, 164.0, 138.2, 136.4, 132.9, 131.9, 129.3, 128.9, 128.5, 127.8, 127.2, 127.0, 123.7, 50.6, 45.9, 28.2; HRMS calcd for C16H15BrNO [M+H]+ 316.0331, found 316.0339.
2-(2, 4-二氯-苄基)-3, 4-二氢异喹啉-1-酮(4f):黄色固体, 产率为70%. m.p. 95~98 ℃; 1H NMR (500 MHz, CDCl3) δ: 8.12 (d, J=8.0 Hz, 1H), 7.44 (t, J=7.5 Hz, 1H), 7.40 (d, J=1.5 Hz, 1H), 7.38~7.34 (m, 2H), 7.23~7.17 (m, 2H), 4.87 (s, 2H), 3.56 (t, J=6.5 Hz, 2H), 2.99 (t, J=6.5 Hz, 2H); 13C NMR (125 MHz, CDCl3) δ: 164.9, 138.1, 134.2, 133.8, 133.6, 132.0, 130.5, 129.37, 129.1, 128.5, 127.5, 127.2, 127.0, 47.8, 46.2, 28.2; HRMS calcd for C16H14Cl2NO [M+H]+ 306.0446, found 306.0451.
2-(2-溴-4-氯-苄基)-3, 4-二氢异喹啉-1-酮(4g):黄色固体, 产率为60%. m.p. 98~100 ℃; 1H NMR (500 MHz, CDCl3) δ: 8.13 (d, J=7.5 Hz, 1H), 7.59 (d, J=2.0 Hz, 1H), 7.45 (t, J=7.5 Hz, 1H), 7.37 (t, J=7.5 Hz, 1H), 7.32 (d, J=8.0 Hz, 1H), 7.28~7.24 (m, 1H), 7.19 (d, J=7.5 Hz, 1H), 4.86 (s, 2H), 3.55 (t, J=6.5 Hz, 2H), 3.00 (t, J=6.5 Hz, 2H); 13C NMR (125 MHz, CDCl3) δ: 164.9, 138.1, 135.2, 133.9, 132.5, 132.0, 130.3, 129.1, 128.5, 128.0, 127.2, 127.0, 123.8, 50.1, 46.1, 28.2; HRMS calcd for C16H14BrClNO [M+H]+ 349.9941, found 349.9959.
2-(2-溴-5-氟-苄基)-3, 4-二氢异喹啉-1-酮(4h):淡黄色固体, 产率为65%. m.p. 108~110 ℃; 1H NMR (500 MHz, CDCl3) δ: 8.14 (d, J=7.5 Hz, 1H), 7.52 (dd, J=9.0, 5.0 Hz, 1H), 7.48~7.43 (m, 1H), 7.38 (t, J=7.5 Hz, 1H), 7.20 (d, J=7.5 Hz, 1H), 7.10~7.05 (m, 1H), 6.87 (td, J=8.5, 3.0 Hz, 1H), 4.86 (s, 2H), 3.58 (t, J=6.5 Hz, 2H), 3.03 (t, J=6.5 Hz, 2H); 13C NMR (125 MHz, CDCl3) δ: 164.9, 161.4, 138.7, 138.1, 134.1, 132.0, 129.0, 128.6, 127.2, 127.1, 117.4, 116.2, 116.0, 50.8, 46.3, 28.2; HRMS calcd for C16H14BrFNO [M+H]+ 334.0237, found 334.0239.
2-(4-甲基-苄基)-3, 4-二氢异喹啉-1-酮(4i):淡黄色液体, 产率为52%. 1H NMR (500 MHz, CDCl3) δ: 8.14 (d, J=7.5 Hz, 1H), 7.41 (t, J=7.0 Hz, 1H), 7.35 (t, J=7.5 Hz, 1H), 7.22 (d, J=8.0 Hz, 2H), 7.14 (t, J=7.5 Hz, 3H), 4.75 (s, 2H), 3.47 (t, J=6.5 Hz, 2H), 2.93 (t, J=6.5 Hz, 2H), 2.33 (s, 3H); 13C NMR (125 MHz, CDCl3) δ: 164.6, 138.1, 137.1, 134.4, 131.7, 129.5, 129.3, 128.5, 128.1, 127.1, 126.9, 50.2, 45.2, 28.1, 21.1; HRMS calcd for C17H18NO [M+H]+ 252.1382, found 252.1386.
2-(4-乙基-苄基)-3, 4-二氢异喹啉-1-酮(4j):淡黄色液体, 产率为56%. 1H NMR (500 MHz, CDCl3) δ: 8.17 (d, J=8.0 Hz, 1H), 7.44 (t, J=7.5 Hz, 1H), 7.38 (t, J=7.5 Hz, 1H), 7.28 (d, J=8.0 Hz, 2H), 7.19 (d, J=8.0 Hz, 3H), 4.79 (s, 2H), 3.51 (t, J=6.5 Hz, 2H), 2.95 (t, J=6.5 Hz, 2H), 2.66 (q, J=7.5 Hz, 2H), 1.25 (t, J=7.5 Hz, 3H); 13C NMR (125 MHz, CDCl3) δ: 164.6, 143.5, 138.1, 134.6, 131.7, 129.5, 128.5, 128.1, 127.1, 126.9, 50.2, 45.3, 28.5, 28.1, 15.58; HRMS calcd for C18H20NO [M+H]+266.1539, found 266.1541.
2-(2-溴-4-甲基-苄基)-3, 4-二氢异喹啉-1-酮(4k):淡黄色液体, 产率为58%. 1H NMR (500 MHz, CDCl3) δ: 8.17 (d, J=7.5 Hz, 1H), 7.43 (t, J=7.5 Hz, 1H), 7.40 (s, 1H), 7.36 (t, J=7.5 Hz, 1H), 7.25 (s, 1H), 7.18 (d, J=7.4 Hz, 1H), 7.08 (d, J=8.0 Hz, 1H), 4.88 (s, 2H), 3.53 (t, J=6.5 Hz, 2H), 2.97 (t, J=6.5 Hz, 2H), 2.31 (s, 3H); 13C NMR (125 MHz, CDCl3) δ: 164.7, 139.1, 138.2, 133.3, 131.8, 129.4, 129.3, 128.6, 128.5, 127.1, 127.0, 123.5, 45.7, 28.2, 20.7; HRMS calcd for C17H17BrNO [M+H]+330.0488, found 330.0494.
2-呋喃-2-亚甲基-3, 4-二氢异喹啉-1-酮(4l):棕色液体, 产率为54%. 1H NMR (500 MHz, CDCl3) δ: 8.13 (d, J=7.5 Hz, 1H), 7.43 (t, J=7.5 Hz, 1H), 7.40~7.33 (m, 2H), 7.18 (d, J=7.5 Hz, 1H), 6.37~6.32 (m, 2H), 4.79 (s, 2H), 3.61 (t, J=6.5 Hz, 2H), 3.00 (t, J=6.5 Hz, 2H); 13C NMR (125 MHz, CDCl3) δ: 164.4, 151.0, 142.3, 138.1, 131.8, 129.3, 128.5, 127.0, 126.9, 110.4, 108.4, 45.7, 43.3, 28.1; HRMS calcd for C14H14NO2 [M+H]+ 228.1019, found 228.1021.
辅助材料(Supporting Information) 目标化合物4a~4l的1H NMR, 13C NMR谱图.这些材料可以免费从本刊网站(http://sioc-journa1.cn/)上下载.
-
-
[1]
(a) Siengalewicz, P.; Rinner, U.; Mulzer, J. Chem. Soc. Rev. 2008, 2676.
(b) Campos, K. R.Chem. Soc. Rev. 2007, 36, 1069.
(c) Lebold, T. P.; Wood, J. L.; Deitch, J.; Lodewyk, M. W.; Tantillo, D. J.; Sarpong, R. Nat. Chem. 2013, 5, 126.
(d) Reddy, R. J.; Kawai, N.; Uenishi, J. J. Org. Chem. 2012, 77, 11101. -
[2]
Scott, J. D.; Williams, R. M. Chem. Rev. 2002, 102, 1669. doi: 10.1021/cr010212u
-
[3]
Chandrasekhar, S.; Mohanty, P. K. Org. Lett. 1999, 1, 877. doi: 10.1021/ol9901220
-
[4]
Kashiwada, Y.; Aoshima, A.; Ikeshiro, Y. Bioorg. Med. Chem. 2005, 13, 443. doi: 10.1016/j.bmc.2004.10.020
-
[5]
Zheng, M.; Zhang, X.; Zhao, M. Bioorg. Med. Chem. 2008, 16, 9574. doi: 10.1016/j.bmc.2008.09.019
-
[6]
(a) Fisher, M. J.; Gunn, B. P.; Harms, C. S.; Kline, A. D.; Mullaney, J. T. Bioorg. Med. Chem. Lett. 1997, 7, 2537.
(b) Jin, R.; Patureau, F. W. ChemCatChem 2015, 7, 223. -
[7]
(a) Gonzalez, D.; Martinot, T.; Hudlicky, T. Tetrahedron 1998, 40, 3077.
(b) McNulty, J.; Mao, J.; Gibe, R.; Mo, R.; Wolf, S.; Pettit, G. R.; Herald, D. L.; Boyd, M. R. Bioorg. Med. Chem. Lett. 2011, 11, 169.
(c) Banwell, M. G.; Bissett, B. D.; Busato, S.; Cowden, C. J.; Hockess, D. C. R.; Holman, J. W.; Read, R. W.; Wu, A. W. J. Chem. Soc., Chem. Commun. 1995. 2551. -
[8]
Chern, M. S.; Li, W. R. Tetrahedron Lett. 2004, 45, 8323. doi: 10.1016/j.tetlet.2004.09.059
-
[9]
Mori, M.; Chiba, K.; Ban, Y. J. Org. Chem. 1978, 43, 1684. doi: 10.1021/jo00403a013
-
[10]
(a) So, M. H.; Liu, Y. L.; Ho, C. M.; Che, C. M. Chem. Asian J. 2009, 4, 1551.
(b) Jin, X. J.; Kataoka, K.; Yatabe, T.; Yamaguchi, K.; Mizuno, N. Angew. Chem., Int. Ed. 2016, 55, 7212. -
[11]
Khusnutdinova, J. R.; Ben-David, Y.; Milstein, D. J. Am. Chem. Soc. 2014, 136, 2998. doi: 10.1021/ja500026m
-
[12]
Griffiths, R.; Burly, G. A.; Talbot, E. P. A. Org. Lett. 2017, 19, 870. doi: 10.1021/acs.orglett.7b00021
-
[13]
Sueda, T.; Kajishima, D.; Goto, S. J. Org. Chem. 2003, 58, 3307.
-
[14]
Song, A. R.; Yu, J.; Zhang, C. Synthesis 2012, 44, 2903. doi: 10.1055/s-00000084
-
[15]
Alonso, F.; Moglie, Y.; Radivoy, G.; Yus, M. Eur. J. Org. Chem. 2010, 1875.
-
[1]
-
表 1 目标产物合成反应条件的优化a
Table 1. Optimization of reaction conditions

Entry Catalyst Temp./℃ Yield/% 1 CuI 100 31 2 CuBr 100 23 3 CuCl 100 21 4 CuBr2 100 41 5 CuCl2 100 60 6 FeCl3•6H2O 100 23 7 Fe2(SO4)3 100 19 8 Cu(OTf)2 100 0 9 Ag(OTf) 100 42 10 Bi(OTf)3 100 14 11 Ce(OTf)3 100 9 12 Yb(OTf)3 100 0 13 CuCl2 100 41b, 46c, 52d 14 CuCl2 80 46 15 CuCl2 60 43 16 CuCl2 110 52 17 CuCl2 120 50 a Reaction condition: 1 (1.4 mmo1), 2a (1.4 mmo1), 3 (1 mmol), cat. (10 mol%), toluene (5 mL), CH3COOH (12 μL), 100 ℃, 3 h. The molar ratio: b 1:2a:3=1:1:1; c 1:2a:3=1.2:1.2:1; d 1:2a:3=1.8:1.8:1. 表 2 “一锅法”合成的适用性研究
Table 2. Applicability study of "one-pot" synthesis

Entry 2 Product Yield/% 1 
4a 60 2 
4b 53 3 4c 50 4 4d 58 5 4e 62 6 4f 70 7 4g 60 8 4h 65 9 4i 52 10 4j 56 11 4k 58 12 
4l 54 -
扫一扫看文章
计量
- PDF下载量: 13
- 文章访问数: 1890
- HTML全文浏览量: 293

下载:
下载: