

Citation: Pang Chuming, Luo Shihe, Hao Zhifeng, Gao Jian, Huang Zhaohao, Yu Jiahai, Yu Simin, Wang Zhaoyang. Synthesis and Fluorescent Sensing Application of Porous Organic Polymer Materials[J]. Chinese Journal of Organic Chemistry, 2018, 38(10): 2606-2624. doi: 10.6023/cjoc201804009

多孔有机聚合物材料的合成与荧光传感应用
-
关键词:
- 多孔有机聚合物材料
- / 设计与合成
- / 荧光传感应用
- / 硝基芳香爆炸物检测
- / 晶型共价有机框架材料
English
Synthesis and Fluorescent Sensing Application of Porous Organic Polymer Materials
-
多孔有机聚合物(POPs)源于材料科学家对自然界中多孔结构的模仿[1], 是一种由C、H、O、N、B等元素组成的一类有较大的比表面积与多孔结构的多孔材料.根据POPs的结构特点, 可把它们分为非晶型POPs材料、晶型含配位键的POPs材料(其中包括MOFs)、晶型共价有机框架(COFs)材料等[2].基于POPs材料多孔、比表面积大等特点, 其在气体吸附与分离、能量储存、催化应用、光电材料、药物载体、污染物检测与去除、荧光传感等领域具有广泛用途[1~10].因此, 目前关于POPs材料的综述已有较多报道[1~8].
但是, 前期的综述或偏重于合成方法[1, 6], 或偏重于机理研究[2], 或偏重于交联结构高分子材料[3, 4, 7], 仅有个别文献重点综述了MOFs材料的传感应用[5, 8].事实上, 荧光团引入POPs材料后能赋予其荧光性质[2], 且随着荧光材料不断发展, 目前已有大量的荧光POPs材料[11~13]被报道, 它们在硝基芳香化合物、金属离子、阴离子、挥发性有机物、无机气体等方面的荧光检测应用越来越受到关注.鉴于此, 本文重点介绍了近十年来, 特别是近五年的非晶型POPs材料、晶型含配位键的POPs材料、晶型COFs材料的合成与荧光传感应用.
1. 无定型多孔有机聚合物材料
无定型多孔有机聚合物材料是结构上无序的非晶型POPs材料.据其孔隙大小, 可分为微孔型、介孔型和大孔型[14].其中, 一些含较大共轭结构的POPs具有较突出的荧光性能, 可应用于设计操作简单、响应快速、选择性好的化学荧光传感器[14~16].
1.1 对硝基芳香化合物的荧光传感应用
在安全、环境等领域, 对硝基芳香爆炸物(NAE), 如苦味酸(PA)[17]、2, 4, 6-三硝基甲苯(TNT)等进行灵敏度高、选择性好、检测限低的检测至关重要, 大量含较大共轭结构的非晶型POPs材料在这些领域有广泛应用.例如, 于吉红课题组[18]通过金属催化的偶联反应, 合成了系列具有共轭结构的微孔型POPs材料(如POP-1, Eq. 1).在360 nm波长激发下, POP-1的乙醇悬浊液的荧光最强发射峰位于448 nm处, 往其中滴加NAE时, 对PA产生明显的猝灭响应.当PA滴加到4.6×10-6 mol/L时, 荧光猝灭率为83%, 而其他NAE对POP-1悬浊液的荧光影响可忽略.这是由PA与POP-1间的能量转移引起的.此外, POP-1性质稳定, 经乙醇洗脱后, 可循环用于PA的荧光检测.
其实, 卤代芳基化合物与烯烃的交叉偶联反应是合成POPs的重要方法之一.于吉红课题组[19]利用各种金属催化的偶联反应, 也合成了其他系列共轭结构的微孔型POPs材料(如基于化合物1合成的POP-2, Scheme 1).固态POP-2的荧光特征发射峰位于458 nm处, 而其THF/H2O悬浊液的荧光发射峰出现蓝移, 往里面滴加PA时产生猝灭现象, 检测限可达9.9×10-7 mol/L. PA的紫外吸曲线与POP-2的荧光发射曲线存在部分重叠, 说明PA与POP-2间存在能量转移, 从而导致荧光猝灭.同时, POP-2能循环用于对PA的荧光传感, 且能保持其化学稳定性.
(1) 图式 1
此外, 卤代芳基化合物与芳基炔烃的交叉偶联反应也可构建POPs[20].当以二乙炔基芳烃类化合物为原料时, 控制Sonaogashira偶联反应的条件, 可合成系列比表面积不同的POPs[21].例如, Patra课题组[22, 23]通过溴代芳基环戊二烯类化合物与二乙炔基苯3在不同条件下的Sonogashira偶联反应, 合成了形态不同且荧光性能好的多孔有机聚合物(如POP-3, Eq. 2).往POP-3的THF溶液中滴加NAE, 由于对硝基苯胺(PNA)与POP-3共轭结构的N—H…π相互作用较强, 故滴加PNA时存在的“turn off”荧光响应最明显, 猝灭率高达99%, 猝灭常数为1.7×104 L/mol, 检测限为3.3×10-6 mol/L[22].
耿同谋课题组[24]利用钯催化下化合物3与四碘荧光素钠的Sonogashira-Hagihara交叉偶联反应, 合成了POP-4 (Eq. 3).在POP-4的THF悬浊液中滴加PA有猝灭响应, 滴加到2.5×10-3 mol/L时其荧光几乎完全猝灭, 猝灭常数为2.1×103 L/mol, 检测限为7.2×10-7 mol/L.此外, 与其他NAE共存时, 对PA的检测无干扰, 故POP-4是一种能高选择性检测PA的POPs材料.
二卤代芳基化合物与二硼酸酯类化合物间的Suzuki反应, 也可构建POPs.例如, 童辉等[25]利用溴代二芴类化合物与咔唑硼酸酯间的Suzuki聚合反应, 合成了POP-5 (Eq. 4).螺旋的芴基团可减少π-π堆积作用, 减弱POP-5的聚集诱导猝灭(ACQ)效应.同时, 咔唑基团作为富电子基团, 与缺电子的NAE存在电子转移效应, 有利于POP-5对NAE的荧光传感.在NAE饱和蒸汽中, 5 min后POP-5薄膜对2, 4-二硝基甲苯(DNT)荧光猝灭率高达95%, 对DNT能实现高选择性、高灵敏度的荧光传感.在肼蒸气的洗脱作用下, 脱去DNT后的POP-5薄膜可用于循环检测DNT, 其对DNT的猝灭率能保持在85%.
多卤代芳基化合物间的偶联聚合反应, 也是构建POPs的一种手段.例如, 曹大鹏课题组[26]利用对1, 4-二溴苯与三溴代苯基苯(4)间的Yamamoto-Ullmann交叉偶联反应, 合成了对PA具有高选择性的POP-6 (Eq. 5).当PA滴加到1.68×10-4 mol/L时, POP-6的荧光几乎完全猝灭, 对PA的猝灭常数为2.6×105 L/mol. POP-6对PA猝灭常数远远大于其他NAE, 表现出高选择性的传感性能.这是因为激发状态的POP-6与PA之间存在电子转移, 电子从POP-6转移到PA的LUMO轨道, 导致荧光猝灭.当化合物4的中心苯核被三嗪环替代时, 所得POPs亦能高选择性检测PA, 但猝灭率(94%)和猝灭常数(8.3×104 L/mol)不及POP-6, 主要因为POP-6中心苯核上C原子的电负性小于三嗪环上N原子的电负性, 其LUMO轨道能量较高, 与PA更容易发生电子转移.
(2) (3) 四苯基乙烯类化合物是荧光材料合成中的常见单体, 也可合成用于检测NAE的共轭微孔型POPs材料[27].例如, Scherf等[28]以四溴代四苯乙烯5为单体, 通过Yamamoto偶联反应进行自聚合, 合成共轭微孔型的POP-7 (Eq. 6). POP-7与聚乳酸形成的纳米纤维薄膜置于1, 2-二硝基苯(DNB)、苯醌饱和蒸汽时, 产生荧光猝灭响应.在DNB饱和蒸汽中, 2 min后POP-7的荧光强度下降到原来的51%.这主要是由POP-7与DNB的光致电子转移(PET)过程引起.真空状态下, 在25 ℃加热4 h脱去DNB后的POP-7, 再在空气中恢复平衡后可循环用于传感DNB.
事实上, 无需卤代芳烃原料, 芳烃C—H键的氧化偶联反应也可合成POPs.例如, 耿同谋课题组[29]以功能化噻吩基三苯胺为原料, 在FeCl3催化下合成了微孔型的POP-8 (Eq. 7), 其荧光性质受溶剂影响, 在1, 4-二氧六环溶剂中, 荧光最强. POP-8悬浊液的最强荧光发射峰位于547~579 nm处, 在其1, 4-二氧六环悬浊液中加入不同NAE, 滴加PA时产生猝灭响应.在低浓度范围, POP-8对PA的检测限为6.4×10-8 mol/L.当单体中的噻吩基被咔唑基取代时, 可合成对PA传感能力更好的POPs材料(在1, 4-二氧六环溶液中的检测限为3.0×10-9 mol/L), 这是由咔唑环上的N原子给电子能力比S原子强导致的.
(4) (5) (6) (7) 用电化学方法对芳烃C—H键进行氧化偶联反应, 可免用金属催化剂而更加绿色环保[30].因此, 不仅可用无卤的芳烃原料合成POPs材料, 而且可采用电化学聚合(ECP)更加绿色地合成应用于检测NAE的荧光POPs材料[31].例如, 江东林课题组[32]先将咔唑基引入四苯乙烯基类化合物5上, 再以ECP法合成了POP-9 (Scheme 2).在331 nm波长激发下, POP-9薄膜产生绿色荧光, 绝对荧光量子产率为0.40. POP-9薄膜浸泡在NAE的乙腈溶液中, 当溶液中含有PA时产生显著的“turn off”响应, 而其他NAE对其影响较小.这是因为PA的LUMO轨道能量远低于POP-9的能量, 两者之间经PET过程, 产生猝灭响应.当膜厚度为5 nm时, 对PA的猝灭常数高达4.0×105 L/mol.真空状态下, 在80 ℃加热1 h, 除去PA与CH3CN后, POP-9可循环检测PA.
图式 2
1.2 对金属离子、阴离子等的荧光传感应用
多孔有机聚合物荧光材料不仅能用于检测NAE, 还能检测金属离子[27].通过三氯代芳环类化合物与芳基多胺类化合物的缩合反应, 可合成传感金属离子的POPs.例如, 李百艳课题组[33]通过2, 5, 8-三氯庚嗪环与四(对氨基苯基)甲烷(6)的聚合反应, 合成了微孔型的POP-10 (Eq. 8). POP-10加到含金属离子的溶液中, 当溶液中含Fe3+时产生明显的猝灭响应, 而对其他离子的猝灭率低于25%, 表明其对Fe3+表现出高选择性的传感性能, 检测限为8.9×10-5 mol/L.这是由Fe3+与POP-10骨架中杂环上N原子的强配位作用引起的.传感后的POP-10先通过离心, 然后在H2O、THF的洗脱作用下循环检测Fe3+.此外, POP-10的悬浊液对1, 4-二氧六环产生“turn on”响应, 随着1, 4-二氧六环含量增加, 荧光逐渐增强, 因此POP-10也可用于传感1, 4-二氧六环.
芳基多胺与多芳基醛的缩合反应, 也可用来合成传感金属离子的POPs材料.例如, McGrier课题组[34]通过含芳基多胺类化合物7与含羟基的联苯二甲醛8的醛胺缩合反应, 合成了系列POPs(如POP-11, Eq. 9). POPs骨架中C=N与OH形成氢键, 经激发态分子内电子转移(ESIPT)过程产生荧光.在POP-11的THF溶液中滴加金属离子至过量的1.8×10-4 mol/L, 当溶液中含Cu2+、Pd2+时均产生猝灭响应.这是因为Cu2+、Pd2+与N原子配位后, 抑制了分子内的ESIPT效应, 故它们是一类能荧光传感Cu2+、Pd2+的POPs材料.
(8) (9) 随着POPs材料发展, 阴离子POPs荧光传感器也逐渐出现, 特别是含有芳基硼烷结构的POPs材料用于氟离子的检测有较多的报道.例如, 张帆课题组[35]利用溴代芳基硼烷9与硼酸酯类化合物的金属催化偶联反应, 合成了B-π-N类的POP-12 (Eq. 10). POP-12的分子内电荷转移(ICT)效应更容易发生, 使其绝对荧光量子产率为0.13.在POP-12的THF悬浊液中滴加四丁基氟化铵(TBAF)时, 产生荧光猝灭现象.这是由F-与POP-12结构上的B原子发生配位作用, 抑制了POP-12内ICT效应引起的, 故POP-12能实现F-的荧光传感.
(10) 类似地, 刘晓明课题组[36]通过Suzuki-Miyaura偶联反应合成了能检测F-的POPs材料, 其在含三氟乙醚的THF溶液、THF、丙酮、水的依次洗脱作用下, 可用于循环检测与去除F-离子. Maji课题组[37]通过溴代芳基硼烷与4, 4'-二乙炔基联苯的Sonogashira偶联反应, 也合成了能荧光传感F-的POPs材料, 其在THF/H2O悬浊液中对F-产生“turn on”响应, 当F-稀释到3.5×10-3 mol/L时, 荧光信号明显增强, 对F-的检测限为2.6×10-6 mol/L.
卤代芳基化合物之间的Yamamoto偶联反应, 也可构建对阴离子具有传感性能的POPs材料.例如, 李小菊课题组[38]以溴化苯基咪唑鎓盐和化合物5为原料, 控制不同反应条件, 合成了系列POPs材料(如POP-13, Eq. 11).固态POP-13在365 nm波长激发下, 最强荧光发射峰位于595 nm处.当在Cr2O72-溶液中加入1 equiv. POP-13时, 5 min后溶液褪色; 同时, POP-13产生“turn off”的荧光响应, 且荧光信号不受Cl-、SO42-等阴离子干扰.这是因为Cr2O72-的电子转移跃迁使得POP-13骨架中的π-π*跃迁的能量降低, 导致荧光猝灭.当加入2 equiv. POP-13时, 5 min后POP-13对Cr2O72-吸附率高达96%, 故POP-13是一种能传感与去除Cr2O72-的POPs材料.
(11) 除了能对NAE、金属离子、阴离子进行荧光传感外, 还有其他荧光传感应用[39].特别是利用微孔型POPs的超吸收能力[40], 还能实现POPs材料对一些挥发性有机物(VOC)的荧光传感[41].例如, Hirao课题组[42]通过卤代芳基化合物1与四苯乙烯型芳基硼酸酯的Suzuki- Miyaura偶联反应, 合成了POP-14 (Eq. 12). POP-14的荧光性能良好, 对苯、邻二甲苯等富电子VOC液体, 能产生“turn on”响应.不仅如此, 这些VOC分子的尺寸越小、电子云密度越大, POP-14的荧光越强, 且增强的荧光强度与它们在己烷溶液中的含量呈现很好的线性关系.这是因为这些VOC分子尺寸小、易扩散到POP-14孔隙中, 抑制了苯环的旋转.当POP-14置于富电子VOC饱和蒸气中时, 也产生“turn on”响应, 且响应时间短, 响应信号明显.当POP-14加入到硝基苯、苯胺等缺电子VOC的蒸气中时, 则产生“turn off”响应, 对硝基苯的猝灭率为83%, 这是因为POP-14与缺电子VOC发生了电子转移过程.
(12) 最近喻桂朋课题组[43]通过Friedel-Crafts反应与Scholl脱氢偶联反应, 合成了系列微孔型的POPs材料.它们在400 nm波长激发下, 荧光发射峰位于587~619 nm处.当这些POPs置于甲苯饱和蒸气中时, 荧光增强; 而置于硝基苯饱和蒸气中时, 2 min后荧光强度明显下降.因此, 它们对富电子的VOC产生“turn on”响应, 对缺电子的VOC呈“turn off”响应, 这主要由POPs与VOC分子间的电荷转移(CT)效应引起.
可见, 无定型POPs荧光材料作为较早出现的荧光材料, 其框架构建较易进行, 且其合成多采用金属催化的偶联反应来进行.但是, 金属催化剂的残留, 会对环境造成污染.同时, 无定型POPs材料的构建具有较强的随机性, 这在一定程度上限制了该类传感器的定向检测应用.
2. 晶型含配位键多孔有机聚合物材料
2.1 对硝基芳香化合物的荧光传感应用
晶型含配位键的多孔有机聚合物一般以金属离子作为节点, 与有机配体通过配位作用组合而成多孔、有序的晶型聚合物, 主要是金属有机框架(MOFs)[4].掺杂了稀土金属离子的MOFs荧光性能突出, 在气体吸附与分离、均相催化、光电材料等领域应用广泛[5, 44, 45].近些年来, MOFs材料在荧光传感领域的应用逐步被发掘, 可应用于NAE、金属离子、阴离子等的荧光传感.
晶型的荧光MOFs类多孔材料在NAE的荧光传感方面有广泛应用[46], 特别是以芳基羧酸、芳基胺类化合物等为有机配体的MOFs材料[47].例如, 李静课题组[48]以2, 6-萘二甲酸、1, 2-二(4-吡啶基)乙烯为有机配体和荧光团, 在DMF溶液中与Zn(NO3)2•6H2O反应, 合成了具有荧光性能的MOF-1.当MOF-1置于PA、DNT等缺电子分子的饱和蒸气中, 产生不同程度的“turn off”荧光响应.当置于苯、甲苯、乙苯等富电子分子的饱和蒸气中, 产生“turn on”荧光响应.同时, MOF-1对分析物的紫外吸收峰也产生不同的影响, 使缺电子分子的紫外吸收峰产生红移, 使富电子分子的紫外吸收峰产生蓝移, 主要是因为MOF-1与分析物之间存在电子转移, 使其结构中的电子云发生再分配.因此, MOF-1可用于NAE等物质的荧光传感.
芳基羧酸类化合物作配体和荧光团的报道虽然很多[49], 但其他具有共轭结构的有机配体也可兼做荧光团.例如, 赵亮课题组[50]以9, 10-二(1H-咪唑基)蒽(10) (图 1)、1, 4-萘二甲酸为有机配体, 在H2O/MeOH/DMA溶液中反应, 合成了能传感PA的MOF-2. MOF-2在380 nm波长激发下, 其最大荧光发射峰位于428 nm.在其DMF悬浊液中滴加NAE时, 产生不同程度的荧光猝灭现象.当PA滴加到0.22 mol/L时, 荧光几乎完全猝灭, 且荧光发射峰红移了38 nm, 从而实现MOF-2对PA选择性检测.这得益于MOF-2与PA间PET过程及能量转移.
图 1
类似地, 马录芳课题组[51]以含吡啶基的芳基乙烷11和4, 4', 4''-三羧基三苯胺(12)为有机配体(图 1), 在N, N-二甲基乙酰胺(DMA)溶液中与Zn(NO3)2•6H2O反应, 合成了MOF-3. MOF-3的化学稳定性好, 其多孔框架中的孔道与外界相通, 有利于对NAE的传感.当固态的MOF-3置于NAE饱和蒸气中时, 5 min后对2-硝基苯酚(NP)、硝基苯(NB)的猝灭率超过85%, 而对其他NAE的猝灭率较小.这是因为MOF-3与NP、NB间存在CT效应.在乙醇的洗脱作用下, MOF-3能循环用于检测NAE.
随着MOFs材料的发展, 出现了含两种金属离子的混合MOFs材料, 也可用于NAE的荧光传感.例如, 亓秀娟课题组[52]以对苯二甲酸、9-蒽甲酸为有机配体, 与Cd(OAc)2•2H2O、Li2CO3在MeOH/DMA溶液中反应, 合成了MOF-4. MOF-4中含d10结构的金属离子、共轭的有机配体, 使其具有良好的荧光性质, 在429 nm处产生一个强的荧光发射峰, 且在450 nm有一个肩峰.在其悬浊液中滴加NAE时, 除1, 3, 5-三硝基苯(TNB)外, 均产生不同程度的“turn off”响应.当滴加PA时, 产生显著的猝灭响应, 猝灭率为86%, 且对PA的检测限为6.74× 10-8 mol/L, 而对其他NAE的猝灭率均小于33%.这得益于MOF-4与PA之间荧光共振能量转移(FRET)与PET过程.此外, MOF-4可裸眼识别TNB, 滴加TNB时溶液颜色由无色变为粉红色, 故MOF-4也可用于检测TNB.
实际上, 通过合成后期修饰法, 可把荧光团引入MOFs结构中, 使其荧光性能更好[53].例如, Biswas课题组[54]以2-氨基对苯二甲酸为有机配体, 先与ZrOCl2• 8H2O在DMA溶液中反应, 合成了以Zr4+为中心的MOFs, 再通过醛胺缩合反应引入芘荧光团, 得到荧光强度增强了3倍的MOF-5 (Eq. 13).在MOF-5的水浊液中滴加NAE时, 对PA的荧光猝灭率为88%, 猝灭常数为3.1×104 L/mol, 对其他NAE的猝灭率较低.当与其他NAE共存时, 它们对PA的荧光信号干扰较少.这是因为MOF-5与PA之间存在的PET、FRET过程. MOF-5对PA的检测限为2.1×10-7 mol/L, 且在水的洗脱作用下可循环用于检测PA.
(13) 2.2 对金属离子的荧光传感应用
近些年来, 荧光MOFs材料对金属离子的传感应用也有大量报道[55], 特别是对Fe3+的荧光传感[56], 且合成时常用多羧基芳香酸为有机配体[57, 58].例如, 曹大鹏课题组[59]以化合物13 (图 2)和2-氨基对苯二甲酸为有机配体与荧光团, 与Zn(NO3)2•6H2O在N, N-二乙基甲酰胺溶液中反应, 合成了功能化的MOF-6. MOF-6结构中含共轭结构较大的有机配体, 荧光性能较好, 在370 nm波长激发下, 其荧光特征发射峰位于491 nm处.在MOF-6的DMF溶液中加入金属离子时, 产生不同程度的猝灭响应, 其中对Fe3+的猝灭现象最明显. MOF-6对Fe3+的猝灭常数是Cr3+的29.5倍, 可实现对Fe3+选择性荧光传感.这是因为MOF-6与Fe3+发生配位作用后, 电子从MOF-6结构上的N原子转移到Fe3+上, 发生了能量转移.经CH2Cl2洗脱后, MOF-6可用于循环检测Fe3+.
图 2
不仅是N原子, 一些含有S原子的有机配体, 在合成检测Fe3+的荧光MOFs材料中也较为常见[60].例如, 郑和根课题组[61]以化合物14 (图 2)和4, 4'-联苯二甲酸为配体, 与Cd(NO3)2•6H2O在CH3CN/DMF溶液中反应, 合成了MOF-7. MOF-7骨架中的Cd2+含d10轨道, 且有机配体中的甲硫基可作助色基团, 使其最大荧光发射峰位于472 nm. MOF-7的溶液对Fe3+具有“turn off”响应, 当Fe3+浓度为5.0×10-5 mol/L时, 猝灭常数为3.6×104 mol/L.同时, MOF-7对其他金属离子也产生“turn off”响应, 但荧光猝灭率远低于24%, 故MOF-7能用于Fe3+的选择性检测.
基于镧系金属离子的荧光MOFs材料也可检测金属离子[62], 并且可利用其来源于镧系金属离子电子跃迁产生的荧光来检测Fe3+[63].例如, 李立存课题组[64]以化合物15(图 2)为有机配体, 与镧系氧化物在DMF/H2O溶液中反应, 合成了系列含自由羧基的镧系MOFs材料.当所用的氧化物为Eu2O3时, 合成了MOF-8.由于Eu3+中的5d0轨道到fJ (J=1, 2, 3, 4)轨道间存在电子跃迁, 固态的MOF-8在395 nm波长激发下, 荧光特征发射峰位于593~699 nm处.在MOF-8的悬浊液中滴加金属离子, 当溶液中含Fe3+时, 位于615 nm的荧光发射峰明显减弱, 猝灭常数为1.9×104 L/mol, 检测限为1.7×10-7 mol/L.这是因为Fe3+能与MOF-8中未参与配位的羧基发生配位作用, 使Eu3+与有机配体间的能量转移受到干扰, 从而产生猝灭响应.因此, MOF-8是一种能选择性地检测Fe3+的MOFs材料.
含有N原子的芳基羧酸类配体不仅可以制备检测Fe3+的MOFs材料[65], 也可合成用于传感Cu2+的MOFs材料[66].例如, 李东升[67]课题组以含吡啶基的间苯二甲酸16(图 2)为有机配体, 与Tb(NO3)3•6H2O在DMF/H2O溶液中反应, 合成了MOF-9.在327 nm波长激发下, MOF-9产生蓝色荧光, 其框架中N原子可作为与金属离子的结合位点, 有利于对金属离子的荧光识别.在MOF-9的DMF悬浊液中滴加金属离子, 滴加含Cu2+的溶液时, 产生明显的“turn off”响应, 猝灭常数为2.0×10-3 L/mol; 而其他金属离子对其荧光无显著影响.这是因为配体16中的N原子作为Lewis碱能与作为Lewis酸的Cu2+发生强的配位作用, 使配体16与Cu2+的f轨道间的能量转移减弱.因此, MOF-9是一种能荧光识别Cu2+的MOFs材料.
芳基羧酸类配体亦能制备检测其他金属离子的荧光MOFs材料[68].例如, Mahata课题组[69]以4, 4'-二苯醚二甲酸和3, 5-二氨基-1, 2, 4-三氮唑为配体和荧光团, 与Co(NO3)2•6H2O在NaOH溶液中反应, 合成了MOF-10. MOF-10的水悬浊液在283 nm波长的激发下, 最大荧光发射峰位于407 nm处.在MOF-10的悬浊液中滴加金属离子, 对Al3+产生“turn on”响应, 荧光增强了约6.3倍, 荧光发射峰蓝移了24 nm.这是因为三氮唑环上的N—H键与Al3+通过相互作用, 把N原子上的H置换出来, 形成三氮唑酸根负离子, 使得体系中的电子云密度增加.因此, MOF-10能高选择性地检测Al3+, 检测限为2.1×10-6 mol/L, 远低于美国环境保护署对饮用水中Al3+含量的最低要求.
此外, 通过后期合成修饰的方法也可合成检测金属离子的MOFs材料[70].例如, Shahat课题组[71]先通过含氨基的羧酸类化合物与AlCl3•6H2O在DMF溶液中反应, 生成一种黄色沉淀, 其在CH3OH溶液中活化后, 再与茚三酮在EtOH溶液中反应, 合成了功能化MOF-11 (Eq. 14), 能实现对Hg2+的选择性检测与吸附.
(14) 2.3 对阴离子、易挥发性有机物等的荧光传感应用
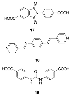
晶型的荧光MOFs材料不仅可用于NAE、金属离子的荧光传感, 还能用于阴离子等的荧光传感[72].例如, Velmathi课题组[73]以化合物17(图 3)为配体, 在DMF溶液中与Zn(OAc)2•2H2O反应, 合成了对
${\rm{CrO}}_4^{2 - }$ 具有荧光传感作用的MOF-12.在MOF-12的悬浊液中滴加${\rm{CrO}}_4^{2 - }$ , 在372 nm处出现新的紫外吸收峰, 同时产生荧光猝灭响应.当滴加其他阴离子时, 对MOF-12的紫外吸收峰影响较小.这是因为MOF-12的有机配体与${\rm{CrO}}_4^{2 - }$ 间存在相互作用, 并伴随着能量转移. MOF-12对${\rm{CrO}}_4^{2 - }$ 的检测限为8.57×10-6 mol/L, pH耐受范围为6~13, 故MOF-12是一种能传感${\rm{CrO}}_4^{2 - }$ 的MOFs材料.图 3
此外, 一些MOFs材料能用于羰基化合物的荧光传感[74], 其中吡啶结构常见于有机配体[75].例如, Morsali等[76]以含吡啶基的亚胺类化合物18和芳基羧酸类化合物19(图 3)为有机配体与荧光团, 与Zn(NO3)2•6H2O反应, 合成了MOF-13.在320 nm波长激发下, 荧光特征发射峰位于460 nm处. MOF-13中N-H键与C=O键上的O原子易形成氢键, 所以MOF-13对羰基化合物易产生“turn off”响应. MOF-13对1, 4-萘二醌、苯醌的猝灭常数分别为5.87×103、3.67×103 L/mol.
以2-氨基对苯二甲酸为有机配体, 能合成对醛类化合物具有荧光传感功能的MOFs材料.例如, 黄金萍课题组[77]通过溶剂热法合成了以Eu3+、Zr4+为中心金属离子的混合金属有机框架材料MOF-14.当MOF-14置于有机溶剂中, 其甲醛悬浊液使位于455 nm的荧光发射峰红移至465 nm, 且荧光显著增强, 而其他有机溶剂对其荧光信号的影响小.这是因为MOF-14的氨基含孤对电子, 使其在光的作用下与醛基发生电子转移. MOF-14对甲醛的检测限为6.7×10-6 mol/L. MOF-14先经过甲醇洗涤作用、高温加热脱除甲醛后, 可循环用于检测甲醛分子.
近年来, 也有利用荧光MOFs材料检测有机溶剂的报道[78], 包括对常见溶剂DMF等的荧光传感[79].其中, 利用各种有机功能配体(如四苯乙烯类化合物[80])构建荧光MOFs材料检测芳烃有机溶剂的报道最多[81].例如, 李光华课题组[82]以4-(3-吡啶基)苯甲酸为有机配体, 通过溶剂热法与Tb(NO3)3、CuI反应, 合成了MOF-15.由于Tb3+中电子跃迁的影响, MOF-15的荧光发射峰位于487~620 nm.在365 nm紫外灯下, 可裸眼观察到置于不同有机溶剂中的MOF-15对于分子尺寸较小的苯、甲苯、对二甲苯液体, 产生“turn on”响应, 且呈现不同的颜色.这是因为分子尺寸小的富电子有机溶剂能进入MOF-15的框架内部, 对其结构造成影响, 导致荧光颜色改变.但是, 溶剂分子尺寸较大时, 只能进入部分孔隙较大的孔, 对其结构影响较小, 只能影响其荧光强度, 不影响荧光颜色, 故MOF-15是一种能用于裸眼识别有机溶剂的MOFs材料.
气体荧光传感材料一直引人注目[83], 其中一些用于传感H2S的荧光MOFs材料报道较多[84].例如, 王红课题组[85]以含氨基的对苯二甲酸为有机配体, 与FeCl3•6H2O在DMF溶液中反应, 合成了MOF-16.当MOF-16置于无机盐或有机盐溶液中时, 对NaHS产生“turn on”响应, 荧光增强了82倍, 而其他盐溶液对其荧光影响较小.这是因为在NaHS溶液中, MOF-16的框架被破坏, 有机配体发生解离, 从而导致其荧光增强.同样地, MOF-16对H2S气体也产生“turn on”响应, 检测限为1.0×10-5 mol/L.
基于荧光MOFs材料对其他气体的荧光传感也有报道[86].例如, 崔元靖课题组[87]以均苯三甲酸为有机配体, 先合成以In3+为中心金属离子的MOFs, 然后置于Tb(NO3)3的DMF溶液中, 合成了含混合金属离子的MOF-17.在285 nm波长激发下, MOF-17的荧光特征发射峰位于546 nm处.由于MOF-17的有机配体与进入其孔道的O2发生碰撞导致其三重态失活, 从而产生“turn off”响应, 猝灭率88%.在N2洗脱作用下, MOF-17能循环用于O2的荧光传感.
整体而言, MOFs荧光材料的传感应用相对成熟, 其传感性能主要由骨架中的有机配体是否含有与分析物的结合位点所决定, 可以进行一定的定向设计.但是, MOFs骨架中的金属离子多为重金属离子, 在检测时可能会对环境造成一定的影响.
3. 晶型共价有机框架材料
共价有机框架(COFs)是一种新型的多孔有机结构, 其骨架一般由硼、碳、氮、氧、硅等轻元素通过共价键键合而成, 如B—O、C—N、B—N、B—Si—O等[88, 89].构建COFs材料的结构单元必须包括以下两个要素:一是其合成反应类型是热力学上的可逆反应, 二是其组建的框架满足几何学稳定的条件. COFs材料的制备方法一般包括溶剂热法、离子热法和微波法[90]. COFs具有结构规整、孔道均一、密度小、稳定性好等特点[91~93], 在气体储存与分离、催化、光电材料等领域具有广阔的应用前景[88, 90, 94].当COFs中存在较大的共轭体系时, 其荧光性能比较突出, 可应用于对爆炸物、金属离子、气体等物质的荧光传感[95, 96].
3.1 对爆炸物的荧光传感应用
近年来, 一些COFs在爆炸物的荧光传感方面具有良好的选择性与较高的灵敏度.一般来说, 利用芳基醛与胺类化合物的亚胺缩合反应[97], 能构建稳定性较好且对PA等NAE有荧光传感作用的席夫碱类COFs, 是因为席夫碱类COFs荧光材料的骨架中含有N原子, 可作为与NAE作用时氢键的结合位点.
例如, 江东林课题组[98]通过对称的四醛基芘衍生物20与肼发生亚胺缩合反应, 合成了基于吖嗪的高结晶度二维席夫碱类COF-1 (Eq. 15).在COF-1骨架中, 芘作为荧光团, 通过吖嗪基团相互连接, 延长了π共轭体系.在470 nm波长下激发COF-1产生了黄色荧光, 且在522 nm处出现荧光最大发射峰.与此同时, 由于吖嗪基团还提供了氢键的作用位点N原子, 使COF-1能够在乙腈溶液中以氢键的方式选择性地与PA相结合, 通过硝基的拉电子作用降低COF-1的π电子密度, 引起荧光猝灭响应.对PA的猝灭常数为7.8×104 L/mol, 而对其它NAE的猝灭常数远小于PA, 故COF-1对PA的荧光传感具有较高的灵敏度与选择性.
同样地, Banerjee课题组[99]也构建了应用于PA检测的席夫碱类COFs荧光材料.但是, 他们使用的二氨基化合物是含有酰亚胺结构化合物, 并且多醛基化合物是对称的含有三个醛基的化合物21, 它们之间的缩合反应合成了稳定性较好的材料COF-2 (Eq. 16).为了减少分子层间堆积产生的荧光猝灭效应, 通过对COF-2的超声处理, 可使堆积程度最小化的同时层间电子密度的有效性也最大化, 产生更强荧光的共价有机纳米片(CONs).这些CONs在异丙醇中形成的悬浊液与PA以氢键方式相互作用后, 电荷转移发生在复合物内, 产生荧光猝灭响应, 故COF-2的CONs能选择性识别PA, 对PA的猝灭常数为2.6×104 L/mol.此外, 固体CONs粉末对PA产生“turn on”的荧光响应, 荧光由暗蓝色迅速变为亮黄色, 这得益于PA的质子化作用对CONs表面堆积的影响, 故COF-2的CONs试纸条可成功实现对PA的可逆检测, 检测限为1.0×10-3 mol/L.
不仅如此, 通过对称的含有三个氨基的芳类化合物与多醛基化合物21的缩合反应, 可以得到新的亚胺型材料COF-3 (Eq. 17), 并且类似的三氨基化合物与三醛基化合物反应可得到其他的COFs材料.其中, COF-3在检测应用中效果最好. COF-3的乙腈溶液在285 nm波长激发下, 位于425 nm左右处出现荧光发射宽峰.加入NAE时, 唯有0.06 mol/L的PA对COF-3的荧光猝灭率接近80%, 而其他NAE对COF-3的荧光猝灭率远低于80%.这是由PA与COF-3上的N原子间存在质子转移引起.对PA的猝灭常数为5.9×10-4 mol/L, 故COF-3能够选择性地对PA进行荧光传感[100].
(15) (16) (17) 在国内, 汪成课题组[101]以化合物6为四氨基化合物, 与四醛基化合物22发生亚胺缩合反应, 可得到一种三维材料COF-4, 它是一种不溶于普通有机溶剂的黄色粉末(Eq. 18).由于COF-4骨架中存在孤立的芘结构单元可作为生色团, 固态COF-4在紫外灯下显黄绿色荧光, 且通过408 nm波长激发, 在484 nm处出现最大荧光发射峰.在COF-4的DMF悬浊液中加入PA时, 出现明显的荧光猝灭响应, 当滴加PA到0.08 mol/L荧光猝灭率即达75%, 对PA的猝灭常数为3.4×104 L/mol, 故COF-4能灵敏地实现对PA的荧光传感.
最近, Loh课题组[102]通过对称的四氨基芘类化合物23与四苯乙烯基醛的醛胺缩合反应, 合成了二维的COF-5 (Eq. 19).在365 nm紫外灯下, COF-5的THF悬浊液产生蓝色荧光, 荧光特征发射峰位于462 nm, 且绝对荧光量子产率为0.16.当在COF-5的THF悬浊液中滴加NAE时, 对PA产生明显的荧光猝灭响应.当PA滴加到0.043 mol/L时, 荧光猝灭率达96%, 而对其他NAE猝灭率低于20%.这是因为COF-5中亚胺基上的N原子与PA的羟基通过氢键作用形成复合物, 从而发生静态荧光猝灭.因此, COF-5能实现对PA的选择性检测.
(18) (19) 微波辅助法也是合成亚胺型COFs的一种手段.例如, 裘灵光课题组[103]在DMSO溶液中利用280 W微波辅助, 通过三聚氰胺与对苯二甲醛的快速缩聚反应, 合成了三聚氰胺类COFs, 其结构中激发态的荧光网络作为电子给体与缺电子的硝基化合物之间存在电荷转移, 协同聚合物分子中的三嗪环与硝基芳香化合物苯环的π-π堆积作用, 使其能对硝基爆炸物进行荧光传感.
除了胺类化合物与芳基醛的亚胺缩合反应外, 也可通过多臂芳基胺与酸酐类化合物的酰亚胺化反应构建对NAE有荧光传感作用COFs.例如, 鲜跃仲课题组[104]以氨基类卟啉化合物24与苝四甲酸二酐25为前体, 经发生酰亚胺化反应, 合成了含酰亚胺结构的COF-6 (Eq. 20).为了减少分子堆积导致的荧光猝灭效应, COF-6在乙醇溶液中超声处理后, 得到荧光量子产率提高了0.08的聚酰亚胺CONs, 其荧光发射峰出现在500 nm处.当PA滴加到该CONs的乙醇溶液中时, 发生显著的荧光猝灭响应.这是由于PA中硝基的吸电子作用, 使电荷在PA与COF-6的CONs形成的复合物内发生转移, 并协同内滤效应(IFE)引起的. COF-6的CONs能实现对PA的选择性识别, 其猝灭常数为1.0×107 L/mol, 对PA检测限为2.5×10-7 mol/L.
3.2 对金属离子的荧光传感应用
重金属离子毒性大, 含量超标会破坏土壤、水质等生态环境, 严重威胁着人的身体健康与生命安全, 故对于环境中金属离子的传感识别一直以来都是研究的热点[105].近年来, 随着COFs材料的不断发展[106], 这类新兴的有机多孔材料在对金属离子荧光传感方面的应用也渐渐被发掘.目前, 应用较多的也是亚胺型和酰亚胺型的COFs材料.
王为课题组[107]将含有乙硫基的酰肼类化合物与均苯三甲醛发生醛胺缩合反应, 合成了功能化的含硫COF-7 (Eq. 21).由于COF-7结构中的硫醚柔性链使分子层与层之间扭曲堆积, 进而有效避免了由ACQ效应引起的荧光猝灭, 固态COF-7的最大荧光发射峰出现在460 nm处, 且COF-7的有机溶剂悬浊液在450 nm处也有较强的荧光.利用硫原子与Hg2+之间良好的配位作用, COF-7在乙腈溶液中能够检测Hg2+, 产生由电子转移引起的荧光猝灭响应, 检测限为1.2×10-7 mol/L.此外, COF-7还可应用于吸附稀溶液中的Hg2+, 去除率达98%.用Na2S溶液可置换出原本被吸附在COF-7上Hg2+, 故COF-7也成功表现出对Hg2+的循环检测与去除性能.
类似地, 刘晓明课题组[108]通过水合肼与三羟基芳基醛类化合物的缩合反应, 合成了COF-8 (Eq. 22).由于分子内的氢键作用, COF-8具有良好的结晶度与化学稳定性.同时, 结构中的叔丁基调节了层间π-π相互作用, 使COF-8的荧光性能得以提高, 绝对荧光量子产率达到0.10.在COF-8的THF溶液中加不同金属离子或阴离子时, 仅Cu2+能使其荧光发生猝灭, 而其他金属离子和阴离子对其无影响.这是因为COF-8骨架中的N、O原子能够与Cu2+选择性配位, 再经PET过程使荧光产生猝灭, 从而实现Cu2+的选择性检测. COF-8对Cu2+的猝灭常数为3.8×104 mol/L, 检测限为3.1× 10-7 mol/L, 而对溶剂检测环境的pH的耐受范围为5~11.在COF-8与Cu2+形成配合物后, 加入EDTA•2Na可使Cu2+从COF-8中解离, 荧光恢复.因此, COF-8是一种可循环检测Cu2+的荧光材料.
最近, 杨武课题组[109]通过直接加热三聚氰胺与苯四甲酸二酐的混合物, 使其发生酰亚胺化反应后, 得到了浅黄色块状固体COFs材料; 当反应物为三聚氰胺与萘四甲酸二酐26时, 在更高的温度下反应, 可获得黄绿色COF-9 (Eq. 23).它们的荧光受到溶剂化效应的影响, 其中COF-9在乙腈溶液中荧光最强.在COF-9的乙腈溶液中加入不同金属离子时, 虽然都能产生不同程度的荧光猝灭, 但Fe3+的荧光猝灭率最高, 检测限为0.2×10-7 mol/L.
(20) (21) (22) 3.3 对气体、水等的荧光传感应用
COFs作为一种新型的多孔有机材料, 由于其孔径的特征, 对气体具有选择性吸附的作用, 特别对温室气体CO2的吸附, 尤为突出.例如, Roy等[110]从芳香二酸酐化合物出发, 与5-氨基间苯二甲酸发生可逆的亚胺化反应, 得到芳基酰亚胺的四羧酸前体.在惰性气体的保护下, 芳基四胺类前体化合物27首先在多聚磷酸(PPA)中180 ℃共热6 h, 再与四羧酸前体化合物220 ℃发生脱水缩合反应, 48 h后得到一类含有苯并咪唑基团的COFs, 如COF-10 (Eq. 24).这一类COFs具有较大的孔径与比表面积, 其中, COF-10能够在298 K下选择性地吸附混合气体中的二氧化碳.
(23) (24) 随着COFs材料的发展, COFs还能用于对气体的荧光传感.例如, 江东林课题组[111]利用含四苯乙烯基的硼酸与对称的1, 2, 4, 5-苯四酚之间的脱水缩合反应, 合成了COF-11 (Eq. 25).在COF-11的甲苯或环己烷溶液中通入氨气后, 荧光发生猝灭, 这是因为硼酸酯基团能与NH3发生Lewis酸碱作用, 引起荧光变化.其中, 在COF-11的环己烷溶液中, COF-11对氨气的猝灭常数为6.3×1014 L/mol.因此, COF-11可灵敏地检测NH3, 检测限达到低于5.9×10-5 mol/L的级别.
COFs不仅能对NAE[112]、金属离子、气体荧光传感, 还能对有机溶剂中的水产生荧光响应.例如, 严秀平课题组[113]利用三苯基胺类化合物与2, 5-二羟基-对苯二甲醛之间的缩合反应, 合成了结晶度高的COF-12 (Eq. 26).由于分子内的氢键作用引起的激发态电子转移(ESIPT)效应, COF-12在有机溶剂中出现两个主要的荧光发射峰, 分别位于500和590 nm处.随着溶剂中水含量的增加, COF-12在590 nm处的荧光强度增强, 而在500 nm处的荧光强度则明显减弱, 呈现比率型变化. COF-12在含水质量分数为10%的不同有机溶剂中, 两处荧光发射峰强度的比率于1 min内达到稳定, 这表明COF-12对水能够作出快速的荧光响应.此外, 在乙醇溶液中, COF-12对水的检测限为0.006%, 在THF溶液中则为0.026%.因此, COF-12是一个可快速、灵敏地检测有机溶剂中的水的比率型荧光COFs传感器.
COFs对具有爆炸性的过氧化物三过氧化三丙酮的荧光传感也有报道.例如, Perepichka课题组[114]利用羰基化合物与对苯二胺之间的反应, 合成了具有大共轭结构的COF-13 (Eq. 27). COF-13在CH2Cl2中形成的悬浊液呈现橙色荧光, 荧光特征峰出现在450 nm处.当三过氧化三丙酮的CH2Cl2溶液滴加到COF-13的悬浊液时, 荧光发生猝灭, 此时猝灭常数为3.3×104 L/mol.荧光猝灭可能由COF-13的烯胺基团被三过氧化三丙酮氧化引起.同时, COF-13对H2O2等其它过氧化物没有荧光猝灭响应, 表明COF-13对三过氧化三丙酮具有较好的选择性.
(25) (26) (27) 此外, COFs荧光材料在pH的传感方面也有应用.例如, 刘晓明课题组[115]利用含甲氧基的芳酰肼类化合物与含酚醛类化合物的缩合反应, 合成了对pH具有荧光传感响应的COFs材料.在水溶液中, 当pH值低于4.5时, 其位于428 nm处的荧光发射峰随着pH值的下降而增强, 同时荧光发射峰发生蓝移.这可能是由于在酸性溶液中, COFs骨架中的N原子发生了质子化作用.在碱性条件下(pH值为9.0~13.0), 随着pH值增大, COFs骨架中的N原子易发生去质子化作用导致荧光强度逐渐减弱.值得关注的是, 在酸性和碱性条件下, 该框架较稳定, 且能循环用于检测pH.
相比之下, COFs荧光材料合成多采用溶剂热法, 其骨架由轻元素组成, 构建过程相对较少涉及到重金属, 且拥有结构规整、结晶度与孔隙度高、稳定性好等优点, 有利于其对分析物的传感.但是, 基于更多易得的有机物单体, 巧妙构建具有特定结构、荧光性能好的COFs荧光材料并进行传感应用, 仍是一个挑战.
4. 结束语
总之, 多孔有机聚合物荧光材料不断发展, 它们在NAE、金属离子、阴离子、气体、溶剂等各个方面的荧光传感应用越来越丰富.相比于小分子荧光传感器, 多孔有机聚合物荧光探针能够容纳更多的分析物, 且一些传感器在传感的同时能达到除去污染物的目的, 或者简单处理后可以循环利用, 这些都促进了荧光化学传感器的发展.
从材料的设计与合成来说, 多孔有机聚合物荧光材料的功能化分为合成前期功能化与合成后期功能化.针对分析物的特点, 可选择含不同官能团的分子为原料或有机配体, 以构建对特定分析物具有荧光传感功能的多孔有机聚合物荧光材料, 即为合成前期功能化.相反, 合成后期功能化就是先构建多孔的框架, 再经过系列反应引入特定官能团, 以达到对分析物的传感目的.
从荧光的来源分析, 除部分MOFs材料的荧光来源于稀土金属离子中的电子跃迁外, 多孔有机聚合物荧光材料的荧光主要来源于共轭的有机配体, 特别是含大共轭结构的芳基醛、硼酸类化合物、卤代芳基化合物等常用的荧光原料.
因此, 整体对比而言, COFs作为一种新型的多孔有机聚合物材料, 相比于其他的荧光性POPs材料, 更具有化学性质相对稳定、结构规整、可塑性高等优点, 特别是其避免使用金属的特点将会引领多孔有机聚合物材料在荧光化学传感器中应用的绿色化潮流.但目前这方面的研究相对偏少, 故值得重视和加强.
-
-
[1]
Das, S.; Heasman, P.; Ben. T.; Qiu, S. L. Chem. Rev. 2017, 117, 1515. doi: 10.1021/acs.chemrev.6b00439
-
[2]
Dalapati, S.; Gu, C.; Jiang, D. L. Small 2016, 12, 6513. doi: 10.1002/smll.v12.47
-
[3]
Tan, L. X.; Tan, B. Chem. Soc. Rev. 2017, 46, 3322. doi: 10.1039/C6CS00851H
-
[4]
Zhang, W. J.; Aguila, B.; Ma, S. Q. J. Mater. Chem. A 2017, 5, 8795. doi: 10.1039/C6TA11168H
-
[5]
Kreno, L. E.; Leong, K.; Farha, O. K.; Allendorf, M.; Van Duyne, R. P.; Hupp, J. T. Chem. Rev. 2012, 112, 1105. doi: 10.1021/cr200324t
-
[6]
Wu, D. C.; Xu, F.; Sun. B.; Fu, R. W.; He, H. K.; Matyjaszewski, K. Chem. Rev. 2012, 112, 3959. doi: 10.1021/cr200440z
-
[7]
Xu, Y. H.; Jin, S. B.; Xu, H.; Nagai, A.; Jiang, D. L. Chem. Soc. Rev. 2013, 42, 8012. doi: 10.1039/c3cs60160a
-
[8]
Lustig, W. P.; Mukherjee, S.; Rudd, N. D.; Desai, A. V.; Li, J.; Ghosh, S. K. Chem. Soc. Rev. 2017, 46, 3242. doi: 10.1039/C6CS00930A
-
[9]
Ren, X. M.; Kong, S. N.; Shu, Q. D.; Shu, M. H. Chin. J. Chem. 2016, 34, 373. doi: 10.1002/cjoc.201500797
-
[10]
孔胜男, Abaid Ullah Malik, 钱雪峰, 舒谋海, 肖文德, 有机化学, 2018, 38, 656. http://sioc-journal.cn/Jwk_yjhx/CN/abstract/abstract346360.shtmlKong, S. N.; Malik, A. U. Qian, X. F.; Shu, M. H.; Xiao, W. D. Chin. J. Org. Chem. 2018, 38, 656(in Chinese). http://sioc-journal.cn/Jwk_yjhx/CN/abstract/abstract346360.shtml
-
[11]
Geng, T.-M.; Li, D.-K.; Zhu, Z.-M.; Zhang, W.-Y.; Ye, S.-N.; Zhu, H.; Wang, Z.-Q. Anal. Chim. Acta 2018, 1011, 77. doi: 10.1016/j.aca.2018.01.002
-
[12]
Zheng, T.-R.; Blatov, V. A.; Zhang, Y.-Q.; Yang, C.-H.; Qian, L.-L.; Li, K.; Li, B.-L.; Wu, B. J. Lumin. 2018, 199, 162.
-
[13]
Chen, L.; He, L. W.; Ma, F. Y.; Liu, W.; Wang, Y. X.; Silver, M. A; Chen, L. H.; Zhu, L.; Gui, D. X.; Juan, D. W.; Chai, Z. F.; Wang, S. A. ACS Appl. Mater. Interfaces 2018, 10, 15364 doi: 10.1021/acsami.8b05484
-
[14]
Patra, A.; Scherf, U. Chem.-Eur. J. 2012, 18, 10074. doi: 10.1002/chem.201200804
-
[15]
Jiang, J. X.; Trewin, A.; Adams, D. J.; Cooper, A. I. Chem. Sci. 2011, 2, 1777. doi: 10.1039/c1sc00329a
-
[16]
Dong, J. Q.; Zhang, K.; Li, X.; Qian, Y. H.; Zhu, H.; Yuan, D. Q.; Xu, Q. H.; Jiang, J. W.; Zhao, D. Nat. Commun. 2017, 8, 1142. doi: 10.1038/s41467-017-01293-x
-
[17]
Long, Y. Y.; Chen, H. B.; Wang, H. M.; Peng, Z.; Yang, Y. F.; Zhang, G. Q.; Li, N.; Liu, F.; Pei, J. Anal. Chim. Acta 2012, 744, 82. doi: 10.1016/j.aca.2012.07.028
-
[18]
Sun, L. B.; Zou, Y. C.; Liang, Z. Q.; Yu, J. H.; Xu, R. R. Polym. Chem. 2014, 5, 471. doi: 10.1039/C3PY00980G
-
[19]
Sun, L. B.; Liang, Z. Q.; Yu, J. H.; Xu, R. R. Polym. Chem. 2013, 4, 1932. doi: 10.1039/c2py21034g
-
[20]
Geng, T.-M.; Zhu, H.; Song, W.; Zhu, F.; Wang, Y. J. Mater. Sci. 2016, 51, 4104. doi: 10.1007/s10853-016-9732-y
-
[21]
Novotney, J. L.; Dichtel, W. R. ACS Macro Lett. 2013, 2, 423. doi: 10.1021/mz4000249
-
[22]
Bandyopadhyay, S.; Pallavi, P.; Anil, A. G.; Patra, A. Polym. Chem. 2015, 6, 3775. doi: 10.1039/C5PY00235D
-
[23]
Deshmukh, A.; Bandyopadhyay, S.; James, A.; Patra, A. J. Mater. Chem. C 2016, 4, 4427. doi: 10.1039/C6TC00599C
-
[24]
Geng, T.-M.; Y, S. N.; Wang, Y.; Zhu, H.; Wang, X.; Liu, X. Talanta 2017, 165, 282. doi: 10.1016/j.talanta.2016.12.046
-
[25]
Xu, B. W.; Xu, . Y. X.; Wang, X. C.; Li, H. B.; Wu, X. F; Tong, H.; Wang, L. X. Polym. Chem. 2013, 4, 5056. doi: 10.1039/c3py00806a
-
[26]
Sang, N. N.; Zhan, C. X.; Cao, D. P. J. Mater. Chem. A 2015, 3, 92. doi: 10.1039/C4TA04903A
-
[27]
Cui, Y. Z.; Liu, Y. C.; Liu, J. C.; Du, J. F.; Yu, Y.; Wang, S.; Liang, Z. Q.; Yu, J. H. Polym. Chem. 2017, 8, 4842. doi: 10.1039/C7PY00856B
-
[28]
Yuan, K.; Guo-Wang, P. Y.; Hu, T.; Shi, L.; Zeng, R.; Forster, M.; Pichler, T.; Chen, Y. W.; Scherf, U. Chem. Mater. 2015, 27, 7403. doi: 10.1021/acs.chemmater.5b03290
-
[29]
Geng, T. M.; Zhu, Z. M.; Wang, X.; Xia, H. Y.; Wang, Y.; Li, D. K. Sens. Actuators B 2017, 244, 334. doi: 10.1016/j.snb.2017.01.005
-
[30]
Gu, C.; Huang, N.; Gao, J.; Xu, F.; Xu, Y. H.; Jiang, D. L. Angew. Chem., Int. Ed. 2014, 53, 4850. doi: 10.1002/anie.201402141
-
[31]
Liu, X. M.; Xu, Y. H.; Jiang, D. L. J. Am. Chem. Soc. 2012, 134, 8738. doi: 10.1021/ja303448r
-
[32]
Gu, C.; Huang, N.; Wu, Y.; Xu, H.; Jiang, D. L. Angew. Chem., Int. Ed. 2015, 54, 11540. doi: 10.1002/anie.201504786
-
[33]
Ma, D. X.; Li, B. Y.; Cui, Z. H.; Liu, K.; Chen, C. L.; Li, G. H.; Hua, J.; Ma, B. H.; Shi, Z.; Feng, S. H. ACS Appl. Mater. Interfaces 2016, 8, 24097. doi: 10.1021/acsami.6b07470
-
[34]
Jagadesan, P.; Eder, G.; McGrier, P. L. J. Mater. Chem. C 2017, 5, 5676. doi: 10.1039/C7TC00123A
-
[35]
Zhao, W. X.; Zhuang, X. D.; Wu, D. Q.; Zhang, F.; Gehrig, D.; Laquai, F.; Feng, X. L. J. Mater. Chem. A 2013, 1, 13878. doi: 10.1039/c3ta13334f
-
[36]
Li, Z. P.; Li, H.; Xia, H.; Ding, X. S.; Luo, X. L.; Liu, X. M.; Mu, Y. Chem.-Eur. J. 2015, 21, 17355. doi: 10.1002/chem.201502241
-
[37]
Suresh, V. M.; Bandyopadhyay, A.; Roy, S.; Pati, S. K.; Maji, T. K. Chem.-Eur. J. 2015, 21, 10799. doi: 10.1002/chem.v21.30
-
[38]
Su, Y. Q.; Wang, Y. X.; Li, X. J.; Li, X. X.; Wang, R. H. ACS Appl. Mater. Interfaces 2016, 8, 18904. doi: 10.1021/acsami.6b05918
-
[39]
Lee, W. E.; Lee, C. L.; Sakaguchi, T.; Fujiki, M.; Kwak, G. Macromolecules 2011, 44, 432. doi: 10.1021/ma102798j
-
[40]
Rao, K. V.; Mohapatra, S.; Maji, T. K.; George, S. J. Chem.-Eur. J. 2012, 18, 4505. doi: 10.1002/chem.201103750
-
[41]
Bonillo, B.; Sprick, R. S.; Cooper, A. I. Chem. Mater. 2016, 28, 3469. doi: 10.1021/acs.chemmater.6b01195
-
[42]
Dong, J. Q.; Tummanapelli, A. K.; Ying, S. M.; Hirao, H.; Zhao, D. Chem. Mater. 2016, 28, 7889. doi: 10.1021/acs.chemmater.6b03376
-
[43]
Gu, S.; Guo, J.; Huang, Q.; He, J. Q.; Fu, Y.; Kuang, G. C.; Pan, C. Y.; Yu, G. P. Macromolecules 2017, 50, 8512. doi: 10.1021/acs.macromol.7b01857
-
[44]
Li, B.; Wen, H.-M.; Cui, Y. J.; Zhou, W.; Qian, G. D.; Chen, B. L. Adv. Mater. 2016, 28, 8819. doi: 10.1002/adma.v28.40
-
[45]
Cui, Y. J.; Yue, Y. F.; Qian, G. D.; Chen, B. L. Chem. Rev. 2012, 112, 1126. doi: 10.1021/cr200101d
-
[46]
Suresh, V. M.; Chatterjee, S.; Modak, R.; Tiwari, V.; Patel, A. B.; Kundu, T. K.; Maji, T. K. J. Phys. Chem. C 2014, 118, 12241.
-
[47]
Vellingiri, K.; Boukhyalov, D. W.; Pandey, S. K.; Deep, A.; Kim, K. H. Sens. Actuators B 2017, 245, 305. doi: 10.1016/j.snb.2017.01.126
-
[48]
Hu, Z. C.; Pramanik, S.; Tan, K.; Zheng, C.; Liu, W.; Zhang, X.; Chabal, Y. J.; Li, J. Cryst. Growth Des. 2013, 13, 4204. doi: 10.1021/cg4012185
-
[49]
Ye, J. W.; Wang, X. X.; Bogale, R. F.; Zhao, L. M.; Cheng, H.; Gong, W. T.; Zhao, J. Z.; Ning, G. L. Sens. Actuators B 2015, 210, 566. doi: 10.1016/j.snb.2014.12.132
-
[50]
Li, X.; Yang, L.; Zhao, L.; Wang, X. L.; Shao, K. Z.; Su, Z. M. Cryst. Growth Des. 2016, 16, 4374. doi: 10.1021/acs.cgd.6b00482
-
[51]
Wu, X. X.; Fu, H. R.; Han, M. L.; Zhou, Z.; Ma, L. F. Cryst. Growth Des. 2017, 17, 6041. doi: 10.1021/acs.cgd.7b01155
-
[52]
Qi, X. J.; Jin, Y. H.; Li, N.; Wang, Z.; Wang, K. C.; Zhang, Q. H. Chem. Commun. 2017, 53, 10318. doi: 10.1039/C7CC05345B
-
[53]
Bagheri, M.; Masoomi, M. Y.; Morsali, A. Sens. Actuators B 2017, 243, 353. doi: 10.1016/j.snb.2016.11.144
-
[54]
Dalapati, R.; Biswas, S. Sens. Actuators B 2017, 239, 759. doi: 10.1016/j.snb.2016.08.045
-
[55]
Zhao, S.-S.; Yang, J.; Liu. Y.-Y.; Ma, J.-F. Inorg. Chem. 2016, 55, 2261. doi: 10.1021/acs.inorgchem.5b02666
-
[56]
Weng, H.; Yan, B. Sens. Actuators B 2016, 228, 702. doi: 10.1016/j.snb.2016.01.101
-
[57]
Bogale, R. F.; Chen, Y. Z.; Ye, J. W.; Yang, Y. Y.; Rauf, A.; Duan, L. Y.; Tian, P.; Ning, G. L. Sens. Actuators B 2017 245, 171. doi: 10.1016/j.snb.2017.01.177
-
[58]
Xu, H.; Hu, H.-C.; Cao, C.-S.; Zhao, B. Inorg. Chem. 2015, 54, 4585. doi: 10.1021/acs.inorgchem.5b00113
-
[59]
Xiang, Z. H.; Fang, C. Q.; Leng, S. H.; Cao, D. P. J. Mater. Chem. A 2014, 2, 7662. doi: 10.1039/c4ta00313f
-
[60]
Wang, F. Q.; Yu, Z. C.; Wang, C. M.; Xu, K. H.; Yu, J. G.; Zhang, J. X.; Fu, Y. Y.; Li, X. Y.; Zhao, Y. N. Sens. Actuators B 2017, 239, 688. doi: 10.1016/j.snb.2016.08.067
-
[61]
Chen, S. G.; Shi, Z. Z.; Qin, L.; Jia, H. L.; Zheng, H. G. Cryst. Growth Des. 2017, 17. 67. doi: 10.1021/acs.cgd.6b01197
-
[62]
Lian, C.; Chen, Y.; Li, S.; Hao, M. Y.; Gao, F.; Yang, L. R. J. Alloys Compd. 2017, 702, 303. doi: 10.1016/j.jallcom.2017.01.260
-
[63]
Sun, Z.; Yang, M.; Ma, Y.; Li, L. C. Cryst. Growth Des. 2017, 17, 4326. doi: 10.1021/acs.cgd.7b00638
-
[64]
Sun, Z.; Li, Y. G.; Ma, Y.; Li, L. C. Dyes Pigm. 2017, 146, 263. doi: 10.1016/j.dyepig.2017.07.015
-
[65]
Das, A.; Biswas, S. Sens. Actuators B 2017, 250, 121. doi: 10.1016/j.snb.2017.04.047
-
[66]
Liu, C.; Yan, B. Sens. Actuators B 2016, 235, 541. doi: 10.1016/j.snb.2016.05.127
-
[67]
Zhao, J.; Wang, Y. N.; Dong, W. W.; Wu, Y. P.; Li, D. S.; Zhang, Q. C. Inorg. Chem. 2016, 55, 3265. doi: 10.1021/acs.inorgchem.5b02294
-
[68]
Xu, X. Y.; Yan, B. Sens. Actuators B 2016, 222, 347. doi: 10.1016/j.snb.2015.08.082
-
[69]
Singha, D. K.; Mahata, P. Inorg. Chem. 2015, 54, 6373. doi: 10.1021/acs.inorgchem.5b00688
-
[70]
Wang, M. L.; Meng, G. W. Sens. Actuators B 2017, 243, 1137. doi: 10.1016/j.snb.2016.12.092
-
[71]
Shahat, A.; Abd Elsalam, S.; Herrero-Martinez, J. M.; Simo-Alfonso, E. F.; Ramis-Ramos, G. Sens. Actuators B 2017, 25, 164.
-
[72]
Zhou, J.-M.; Shi, W.; Xu, N.; Cheng, P. Inorg. Chem. 2013, 52, 8082. doi: 10.1021/ic400770j
-
[73]
Minmini, R.; Naha, S.; Velmath, S. Sens. Actuators B 2017, 251, 644. doi: 10.1016/j.snb.2017.05.087
-
[74]
Vellingiri, K.; Deep, A.; Kim, K. H.; Boukhvalov, D. W.; Kumar, P.; Yao, Q. Sens. Actuators B 2017, 241, 938. doi: 10.1016/j.snb.2016.11.017
-
[75]
Wu, Z. L.; Dong, J.; Ni. W, Y.; Zhang, B. W.; Cui, J. Z.; Zhao, B. Inorg. Chem. 2015, 54, 5266. doi: 10.1021/acs.inorgchem.5b00240
-
[76]
Tehrani, A. A.; Abbasi, H.; Esrafili, L.; Morsali, A. Sens. Actuators B 2018, 256, 706. doi: 10.1016/j.snb.2017.09.211
-
[77]
Li, C. M.; Huang, J. P.; Zhu, H. L.; Liu, L. L.; Feng, Y. M.; Hu, G.; Yu, X. B. Sens. Actuators B 2017, 253, 275. doi: 10.1016/j.snb.2017.06.064
-
[78]
Wanderley, M. M.; Wang, C.; Wu, C.-D.; Lin, W. B. J. Am. Chem. Soc. 2012, 134, 9050. doi: 10.1021/ja302110d
-
[79]
Feng, X.; Feng, Y. Q.; Guo, N.; Sun, Y. L.; Zhang, T.; Ma, L. F.; Wang, L. Y. Inorg. Chem. 2017, 56, 1713. doi: 10.1021/acs.inorgchem.6b02851
-
[80]
Yan, X. Z.; Wang, H. Z.; Hauke, C. E.; Cook, T. R.; Wang, M.; Saha, M. L.; Zhou, Z. X.; Zhang, M. M.; Li, X. P.; Huang, H. J. Am. Chem. Soc. 2015, 137, 15276. doi: 10.1021/jacs.5b10130
-
[81]
Jackson, S. L.; Rananaware, A.; Rix, C.; Bhosale, V.; Latham, K. Cryst. Growth Des. 2016, 16, 3067. doi: 10.1021/acs.cgd.6b00428
-
[82]
Zeng, G.; Xing, S. H.; Wang, X. R.; Yang, Y. L.; Ma, D. X.; Liang, H. W.; Gao, L.; Hua, J.; Li, G. H.; Shi, Z. Inorg. Chem. 2016, 55, 1089. doi: 10.1021/acs.inorgchem.5b02193
-
[83]
Yanai, N.; Kitayama, K.; Hijikata, Y.; Sato, H.; Matsuda, R.; Kubota, Y.; Takata, M.; Mizuno, M.; Uemura, T.; Kitagawa, S. Nat. Mater. 2011, 10, 787. doi: 10.1038/nmat3104
-
[84]
Dalapati, R.; Balaji, S. N.; Trivedi, V.; Khamari, L.; Biswas, S. Sens. Actuators B 2017, 245, 1039. doi: 10.1016/j.snb.2017.02.005
-
[85]
Cao, Y. Y.; Guo, X. F.; Wang, H. Sens. Actuators B 2017, 243, 8. doi: 10.1016/j.snb.2016.11.085
-
[86]
Shustova, N. B.; Cozzolino, A. F.; Reineke, S.; Baldo, M.; Dinca, M. J. Am. Chem. Soc. 2013, 135, 13326. doi: 10.1021/ja407778a
-
[87]
Dou, Z. S.; Yu, J. C.; Cui, Y. J.; Yang, Y.; Wang, Z. Y.; Yang, D. R.; Qian, G. D. J. Am. Chem. Soc. 2014, 136, 5527. doi: 10.1021/ja411224j
-
[88]
Waller, P. J.; Gandara, F.; Yaghi, O. M. Acc. Chem. Res. 2015, 48, 3053. doi: 10.1021/acs.accounts.5b00369
-
[89]
Segura, J. L.; Mancheno, M. J.; Zamora, F. Chem. Soc. Rev. 2016, 45, 5635. doi: 10.1039/C5CS00878F
-
[90]
Feng, X.; Ding, X. S.; Jiang, D. L. Chem. Soc. Rev. 2012, 41, 6010. doi: 10.1039/c2cs35157a
-
[91]
Diercks, C. S.; Yaghi, O. M. Science 2017, 355, eaal1585. doi: 10.1126/science.aal1585
-
[92]
Lu, Q. Y.; Ma, Y. C.; Li, H.; Guan, X. Y.; Yusran, Y.; Xue, M.; Fang, Q. R.; Yan, Y. S.; Qiu, S. L.; Valtchev, V. Angew. Chem., Int. Ed. 2018, 57, 6042. doi: 10.1002/anie.v57.21
-
[93]
Nguyen, V.; Grunwald, M. J. Am. Chem. Soc. 2018, 140. 3306. doi: 10.1021/jacs.7b12529
-
[94]
Ding, S. Y.; Wang, W. Chem. Soc. Rev. 2013, 42, 548. doi: 10.1039/C2CS35072F
-
[95]
Xue, R.; Guo, H.; Wang, T.; Gong, L.; Wang, Y. N.; Ai, J. B.; Huang, D. D.; Chen, H. Q.; Yang, W. Anal. Methods 2017, 9, 3737. doi: 10.1039/C7AY01261F
-
[96]
Fang, Q. R.; Zhuang, Z. B.; Gu, S.; Kaspar, R. B.; Zheng, J.; Wang, J. H.; Qiu, S. L.; Yan, Y. S. Nat. Commun. 2014, 5:4503. doi: 10.1038/ncomms5503
-
[97]
Zhang, G.; Tsujimoto, M.; Packwood, D.; Duong, N. T.; Nishiyama, Y.; Kadota, K.; Kitagawa, S.; Horike, S. J. Am. Chem. Soc. 2018, 140, 2602. doi: 10.1021/jacs.7b12350
-
[98]
Dalapati, S.; Jin, S. B.; Gao, J.; Xu, Y. H.; Nagai, A.; Jiang, D. L. J. Am. Chem. Soc. 2013, 135, 17310. doi: 10.1021/ja4103293
-
[99]
Das, G.; Biswal, B. P.; Kandambeth, S.; Venkatesh, V.; Kaur, G.; Addicoat, G.; Heine, T.; Vermab, S.; Banerjee, R. Chem. Sci. 2015, 6, 3931. doi: 10.1039/C5SC00512D
-
[100]
Kaleeswaran, D.; Vishnoi, P.; Murugavel, R. J. Mater. Chem. C 2015, 3, 7159. doi: 10.1039/C5TC00670H
-
[101]
Lin, G. Q.; Ding, H. M.; Yuan, D. Q.; Wang, B. S.; Wang. C. J. Am. Chem. Soc. 2016, 138, 3302. doi: 10.1021/jacs.6b00652
-
[102]
Gao, Q.; Li, X.; Ning, G.-H.; Leng, K.; Tian, B. B.; Liu, C. B.; Tang, W.; Xu, H.-S.; Loh, K. P. Chem. Commun. 2018, 54, 2349. http://www.ncbi.nlm.nih.gov/pubmed/29435533
-
[103]
Zhang, W.; Qiu, L.-G.; Yuan, Y.-P.; Xie, A.-J.; Shen, Y.-H.; Zhu, J.-F. J. Hazard. Mater. 2012, 221, 147.
-
[104]
Zhang, C. L.; Zhang, S. M.; Yan, Y. H.; Xia, F.; Huang, A. N.; Xian, Y. Z. ACS Appl. Mater. Interfaces 2017, 9, 13415. doi: 10.1021/acsami.6b16423
-
[105]
Jiang, K.; Wu, Y.-C.; Wu, H.-Q.; Li, S.-L.; Luo, S.-H.; Wang, Z.-Y. J. Photochem. Photobiol. A 2018, 350, 52. doi: 10.1016/j.jphotochem.2017.09.065
-
[106]
Guan, X. Y.; Ma, Y. C.; Li, H.; Yusran, Y.; Xue, M.; Fang, Q, R, ; Yan, Y. S.; Valtchev, V.; Qiu, S. L. J. Am. Chem. Soc. 2018, 140, 4494. doi: 10.1021/jacs.8b01320
-
[107]
Ding, S. Y.; Dong, M.; Wang, Y. W.; Chen, Y. T.; Wang, H. Z.; Su, C. Y.; Wang, W. J. Am. Chem. Soc. 2016, 138, 3031. doi: 10.1021/jacs.5b10754
-
[108]
Li, Z. P.; Zhang, Y. W.; Xia, H.; Mu, Y.; Liu, X. M. Chem. Commun. 2016, 52, 6613. doi: 10.1039/C6CC01476C
-
[109]
Wang, T.; Xue, R.; Chen, H. Q.; Shi, P. L.; Lei, X.; Wei, Y. L.; Guo, H.; Yang, W. New J. Chem. 2017, 41, 14272. doi: 10.1039/C7NJ02134H
-
[110]
Roy, A.; Mondal, S.; Halder, A.; Banerjee, A.; Ghoshal, D. Paul, A.; Malik, S. Eur. Polym. J. 2017, 93, 448. doi: 10.1016/j.eurpolymj.2017.06.028
-
[111]
Dalapati, S.; Jin, E.; Addicoat, M.; Heine, T.; Jiang, D. L. J. Am. Chem. Soc. 2016, 138, 5797. doi: 10.1021/jacs.6b02700
-
[112]
Zhu, M.-W.; Xu, S.-Q.; Wang, X.-Z.; Chen, Y. Q.; Dai, L. Y.; Zhao, X. Chem. Commun. 2018, 54, 2308. doi: 10.1039/C8CC00203G
-
[113]
Qian, H. L.; Dai, C.; Yang, C. X.; Yan, X. P. ACS Appl. Mater. Interfaces 2017, 9, 24999. doi: 10.1021/acsami.7b08060
-
[114]
Rao, M.; Fang, Y.; De Feyter, S.; Perepichka, D. F. J. Am. Chem. Soc. 2017, 139, 2421. doi: 10.1021/jacs.6b12005
-
[115]
Zhang, Y. W.; Shen, X. C.; Feng, X.; Xia, H.; Mu, Y.; Liu, X. M. Chem. Commun. 2016, 52, 11088. doi: 10.1039/C6CC05748A
-
[1]
-

计量
- PDF下载量: 88
- 文章访问数: 6367
- HTML全文浏览量: 1440