Synthetic Studies toward Neopeltolide:A Potent Anti-cancer Natural Product
- Corresponding author: Yang Zhen, yangzhen09@usx.edu.cn
Citation:
Yu Jiangfan, Feng Ruokun, Yang Zhen. Synthetic Studies toward Neopeltolide:A Potent Anti-cancer Natural Product[J]. Chinese Journal of Organic Chemistry,
;2017, 37(10): 2526-2543.
doi:
10.6023/cjoc201703017
Wright, A. E.; Botelho, J. C.; Guzman, E.; Harmody, D.; Linley, P.; McCarthy, P. J.; Pitts, T. P.; Pomponi, S. A.; Reed, J. K. J. Nat. Prod. 2007, 70, 412.
doi: 10.1021/np060597h
For total syntheses of leucascandrolide A, see:
(a) Hornberger, K. R.; Hamblett, C. L.; Leighton, J. L. J. Am. Chem. Soc. 2000, 122, 12894.
(b) Wang, Y.; Janjic, J. S.; Kozmin, A. J. Am. Chem. Soc. 2002, 124, 13670.
(c) Fettes, A.; Carreira, E. M. Angew. Chem., Int. Ed. 2002, 41, 4098.
(d) Paterson, I.; Tudge, M. Angew. Chem., Int. Ed. 2003, 42, 343.
(e) Fettes, A.; Carreira, E. M. J. Org. Chem. 2003, 68, 9274.
(f) Paterson, I.; Tudge, M. Tetrahedron 2003, 59, 6833.
(g) Wang, Y.; Janjic, J. S.; Kozmin, A. Pure Appl. Chem. 2005, 77, 1161.
(h) Su, Q.; Dakin, L. A.; Panek, J. S. J. Org. Chem. 2007, 72, 2.
(ⅰ) Van Orden, L. J.; Patterson, B. D.; Rychnovsky, S. D. J. Org. Chem. 2007, 72, 5784. For syntheses of the leucascandrolide A macrolide, see:
(j) Kopecky, D. J.; Rychnovsky, S. D. J. Am. Chem. Soc. 2001, 123, 8420.
(k) Wipf, P.; Reeves, J. T. Chem. Commun. 2002, 2066.
(l) Williams, D. R.; Plummer, S.; Patnaik, V. S. Angew. Chem., Int. Ed. 2003, 42, 3934.
(m) Williams, D. R.; Patnaik, V. S.; Plummer, S. Org. Lett. 2003, 5, 5035.
(n) Crimmins, M. T.; Siliphaivanh, P. Org. Lett. 2003, 5, 4641.
(o) FerriM, L.; Reymond, S.; Capdevielle, P.; Cossy, J. Org. Lett. 2007, 9, 2461. Other reports of leucascandrolide A fragments include:
(p) Crimmins, M. T.; Carroll, C. A.; King, B. W. Org. Lett. 2000, 2, 597.
(q) Kozmin, S. A. Org. Lett. 2001, 3, 755.
(r) Dakin, L. A.; Langille, N. F.; Panek, J. S. J. Org. Chem. 2002, 67, 6812.
(s) Wipf, P.; Graham, T. H. J. Org. Chem. 2001, 66, 3242.
(a) Ulanovskaya, O. A.; Janjic, J.; Suzuki, M.; Sabharwal, S. S.; Schumacker, P. T.; Kron, S. J.; Kozmin, S. A. Nat. Chem. Biol. 2008, 4, 418.
(b) Vintonyak, V. V.; Kunze, F. S.; Maier, M. E. Chem.-Eur. J. 2008, 14, 11132.
(c) Custar, D. W.; Zabawa, T. P.; Hines, J.; Crews, C. M.; Scheidt, K. A. J. Am. Chem. Soc. 2009, 131, 12406.
(d) Fuwa, H.; Saito, A.; Naito, S.; Konoki, K.; Yotsu-Yamashita, M.; Sasaki, M. Chem.-Eur. J. 2009, 15, 12807.
(e) Cui, Y.; Tu, W.; Floreancig, P. E. Tetrahedron 2010, 66, 4867.
(f) Cui, Y.; Balachandran, R.; Day, B. W.; Floreancig, P. E. J. Org. Chem. 2012, 77, 2225.
(g) Fuwa, H.; KawakamiA, K.; Noto, K.; Muto, T.; Suga, Y.; Konoki, K.; Yotsu-Yamashita, M.; Sasaki, M. Chem.-Eur. J. 2013, 19, 8100.
(h) D'Ambrosio, M.; Guerriero, A.; Debitus, C.; Pietra, F. Helv. Chim. Acta 1996, 79, 51.
(ⅰ) Fuwa, H.; Sato, M.; Sasaki, M. Mar. Drugs 2014, 12, 5576.
(a) Youngsaye, W.; Lowe, J. T.; Pohlki, F.; Ralifo, P.; Panek, J. S. Angew. Chem., Int. Ed. 2007, 46, 9211.
(b) Custar, D. W.; Zabawa, T. P.; Scheidt, K. A. J. Am. Chem. Soc. 2008, 130, 804.
(c) Woo, S. K.; Kwon, M. S.; Lee, E. Angew. Chem., Int. Ed. 2008, 47, 3242.
(d) Paterson, I.; Miller, N. A. Chem. Commun. 2008, 4708.
(e) Fuwa, H.; Naito, S.; Goto, T.; Sasaki, M. Angew. Chem., Int. Ed. 2008, 47, 4737.
(f) Guinchard, X.; Roulland, E. Org. Lett. 2009, 11, 4700.
(g) Ghosh, A. K.; Shurrush, K. A.; Dawson, Z. L. Org. Biomol. Chem. 2013, 11, 7768.
(h) Yu, M.; Schrock, R. R.; Hoveyda, A. H. Angew. Chem., Int. Ed. 2015, 54, 215.
(a) Vintonyak, V. V.; Maier, M. E.Org. Lett. 2008, 10, 1239.
(b) Kartika, R.; Gruffi, T. R.; Taylor, R. E. Org. Lett. 2008, 10, 5047.
(c) Tu, W.; Floreancig, P. E. Angew. Chem., Int. Ed. 2009, 48, 4567.
(d) Kim, H.; Park, Y.; Hong, J. Angew. Chem., Int. Ed. 2009, 48, 7577.
(e) Yadav, J. S.; Krishana, G. G.; Kumar, S. N. Tetrahedron 2010, 66, 480.
(f) Fuwa, H.; Saito, A.; Sasaki, M. Angew. Chem., Int. Ed. 2010, 49, 3041.
(g) Martinez-Solorio, D.; Jennings, M. P. J. Org. Chem. 2010, 75, 4095.
(h) Yang, Z.; Zhang, B.; Zhao, G.; Yang, J.; Xie, X.; She, X. Org. Lett. 2011, 13, 5916.
(ⅰ) Raghavan, S.; Samanta, P. K. Org. Lett. 2012, 14, 2346.
(j) Sharma, G. V. M.; Reddy, S. V.; Ramakrishna, K. V. S. Org. Biomol. Chem. 2012, 10, 3689.
(k) Athe, S.; Chandrasekhar, B.; Roy, S.; Pradhan, T. K.; Ghosh, S. J. Org. Chem. 2012, 77, 9840.
(a) Gallon, J.; Reymond, S.; Cossy, J. C. R. Chim. 2008, 1463.
(b) Bai, Y.; Dai, M. J. Curr. Org. Chem. 2015, 19, 871.
(c) Fuwa, H. Mar. Drugs, 2016, 14, 65.
Evans, D. A.; Hoveyda, A. H. J. Am. Chem. Soc. 1990, 112, 6447.
doi: 10.1021/ja00173a071
(a) Omura, K.; Swern, D. Tetrahedron 1978, 34, 1651.
(b) Huang, S. L.; Omura, K.; Swern, D.; Further, D. Synthesis 1978, 297.
(a) Paterson, I.; Gibson, K. R.; Oballa, R. M. Tetrahedron Lett. 1996, 37, 8585.
(b) Evans, D. A.; Coleman, P. J. J. Org. Chem. 1997, 62, 788.
Chen, K. M.; Hardtmann, G. E.; Prasad, K.; Repic, O.; Shapiro, M. J. Tetrahedron Lett. 1987, 28, 155.
doi: 10.1016/S0040-4039(00)95673-9
Noyori, R. Angew. Chem., Int. Ed. 2002, 41, 2008.
doi: 10.1002/1521-3773(20020617)41:12<2008::AID-ANIE2008>3.0.CO;2-4
Zakharkin, L. I.; Khorlina, I. M. Tetrahedron Lett. 1962, 3, 619.
doi: 10.1016/S0040-4039(00)70918-X
Keck, G. E.; Boden, E. P.; Mabury, S. A. J. Org. Chem. 1985, 50, 709.
doi: 10.1021/jo00205a036
Arrayás, R. G.; Adrio, J.; Carretero, J. C. Angew. Chem., Int. Ed. 2006, 45, 7674.
doi: 10.1002/(ISSN)1521-3773
(a) Kraus, G. A.; Taschner, M. J. J. Org. Chem. 1980, 45, 1175.
(b) Bal, B. S.; Childers, W. E.; Pinnick, H. W. Tetrahedron 1981, 37, 2091.
(a) Inanaga, J.; Hirata, K.; Saeki, H.; Katsuki, T.; Yamaguchi, M. Bull. Chem. Soc. Jpn. 1979, 52, 1989.
(b) Yeung, K.-S.; Paterson, I. Chem. Rev. 2005, 105, 4237.
(c) Parenty, A.; Moreau, X.; Campagne, J. M. Chem. Rev. 2006, 106, 911.
Tamao, K.; Maeda, K.; Tanaka, T.; Ito, Y. Tetrahedron Lett. 1988, 29, 6955.
doi: 10.1016/S0040-4039(00)88485-3
(a) Goossen, L. J.; Paetzold, J.; Koley, D. Chem. Commun. 2003, 706.
(b) Neveux, M.; Bruneau, C.; Dixneuf, P. H. J. Chem. Soc., Perkin Trans. 11991, 1197.
Brown, H. C.; Jadhav, P. K. J. Am. Chem. Soc. 1981, 105, 2092.
Connon, S. J.; Blechert, S. Angew. Chem., Int. Ed. 2003, 42, 1900.
doi: 10.1002/anie.200200556
Duprat de Paule, S.; Jeulin, S.; Ratovelomanana-Vidal, V.; Genêt, J.-P.; Champion, N.; Dellis, P. Eur. J. Org. Chem. 2003, 1931.
Lee, K.-C.; Lin, M.-J.; Loh, T.-P. Chem. Commun. 2004, 2456.
Vugts, D. J.; Veum, L.; al-Mafraji, K.; Lemmens, R.; Schmitz, R. F.; de Kanter, F. J. J.; Groen, M. B.; Hanefeld, U.; Orru, R. V. A. Eur. J. Org. Chem. 2006, 1672.
Brown, H. C.; Jadhav, P. K.; Perumal, P. T. Tetrahedron Lett. 1984, 25, 5111.
doi: 10.1016/S0040-4039(01)81537-9
Ouellet, S. G.; Tuttle, J. B.; MacMillan, D. W. C. J. Am. Chem. Soc. 2005, 127, 32.
doi: 10.1021/ja043834g
Dossetter, A. G.; Jamison, T. F.; Jacobsen, E. N. Angew. Chem., Int. Ed. 1999, 38, 2398.
doi: 10.1002/(ISSN)1521-3773
Ito, H.; Inoue, T.; Iguchi, K. Org. Lett. 2008, 10, 3873.
doi: 10.1021/ol801395q
Jadhav, P. K.; Bhat, K. S.; Perumal, P. T.; Brown, H. C. J. Org. Chem. 1986, 51, 432.
doi: 10.1021/jo00354a003
Yu, W.; Mei, Y.; Kang, Y.; Hua, Z.; Jin, Z. Org. Lett. 2004, 6, 3217.
doi: 10.1021/ol0400342
Masamune, S.; Roush, W. R.; Blanchette, M. A.; Choy, W.; Davis, J. T.; Essenfeld, A. P.; Sakai, T. Tetrahedron Lett. 1984, 25, 2183.
doi: 10.1016/S0040-4039(01)80205-7
Inanaga, J.; Hirata, K.; Saeki, H.; Katsuki, T.; Yamaguchi, M. Bull. Chem. Soc. Jpn. 1990, 55, 7.
Nahm, S.; Weinreb, S. M. Tetrahedron Lett. 1981, 22, 3815.
doi: 10.1016/S0040-4039(01)91316-4
Myers, A. G.; Yang, B. H.; Chen, H.; McKinstry, L.; Kopecky, D. J.; Gleason, J. L. J. Am. Chem. Soc. 1997, 119, 6496.
doi: 10.1021/ja970402f
Demico, A.; Margarita, R.; Parlanti, L.; Vescovi, A.; Piancatelli, G. J. Org. Chem. 1997, 62, 6974.
doi: 10.1021/jo971046m
Lee, C.-L. K.; Lee, C.-H. A.; Tan, K.-T.; Loh, T. -P. Org. Lett. 2004, 6, 1281.
doi: 10.1021/ol049633z
(a) Breit, B. Chem. Commun. 1997, 591.
(b) Breit, B. Eur. J. Org. Chem. 1998, 63, 1123.
For reviews, see:
(a) Hoveyda, A. H.; Zhugralin, A. R. Nature 2007, 450, 243.
(b) Gradillas, A.; Perez-Castells, J. Angew. Chem., Int. Ed. 2006, 45, 6086.
(c) Nicolaou, K. C.; Bulger, P. G.; Sarlah, D. Angew. Chem., Int. Ed. 2005, 44, 4490.
(d) Deiters, A.; Martin, S. F. Chem. Rev. 2004, 104, 2199.
(f) Rstner, A. F. Angew. Chem., Int. Ed. 2000, 39, 3012, and references therein.
Yu, W.; Mei, Y.; Kang, Y.; Hua, Z.; Jin, Z. Org. Lett. 2004, 6, 3217.
doi: 10.1021/ol0400342
Laganis, E. D.; Chenard, B. L. Tetrahedron Lett. 1984, 25, 5831.
doi: 10.1016/S0040-4039(01)81697-X
Hong, S. H.; Sanders, H. P.; Lee, C. W.; Grubbs, R. H. J. Am. Chem. Soc. 2005, 127, 17160.
doi: 10.1021/ja052939w
(a) Wu, H.; Radomkit, S.; O'Brien, J. M.; Hoveyda, A. H. J. Am. Chem. Soc. 2012, 134, 8277.
(b) Radomkit, S.; Hoveyda, A. H. Angew. Chem., Int. Ed. 2014, 53, 3387.
Wang, C.; Haeffner, F.; Schrock, R. R.; Hoveyda, A. H. Angew. Chem., Int. Ed. 2013, 52, 1939.
doi: 10.1002/anie.v52.7
Smith Ⅲ, A. B.; Adams, C. M.; Kozmin, S. A.; Paone, D. V. J. Am. Chem. Soc. 2001, 123, 5925.
doi: 10.1021/ja0106164
Kolb, H. C.; VanNieuwenhze, M. S.; Sharpless, K. B. Chem. Rev. 1994, 94, 2483.
doi: 10.1021/cr00032a009
Hicks, D. R.; Fraser-Reid, B. Synthesis 1974, 203.
Shiina, I.; Fukui, H.; Sasaki, A. Nat. Protoc. 2007, 2, 2312.
doi: 10.1038/nprot.2007.316
(a) Tokunaga, M.; Larrow, J. F.; Kakiuchi, F.; Jacobsen, E. N. Science 1997, 277, 936.
(b) Schaus, S. E.; Brandes, B. D.; Larrow, J. F.; Tokunaga, M.; Hansen, K. B.; Gould, A. E.; Furrow, M. E.; Jacobsen, E. N. J. Am. Chem. Soc. 2002, 124, 1307.
Chakraborty, T. K.; Chattopadhyay, A. K. J. Org. Chem. 2008, 73, 3578.
doi: 10.1021/jo800181n
Blanchette, M. A.; Choy, W.; Davis, J. T.; Essenfeld, A. P.; Masamune, S.; Roush, W. R.; Sakai, T. Tetrahedron Lett. 1984, 25, 2183.
doi: 10.1016/S0040-4039(01)80205-7
Bal, B. S.; Childers, W. E.; Pinnick, H. W. Tetrahedron 1981, 37, 2091.
doi: 10.1016/S0040-4020(01)97963-3
Liu, K.; Taylor, R. E.; Kartika, R. Org. Lett. 2006, 8, 5393.
doi: 10.1021/ol0623318
Nahm, S.; Weinreb, S. M. Tetrahedron Lett. 1981, 22, 3815.
doi: 10.1016/S0040-4039(01)91316-4
Dess, D. B.; Martin, J. C. J. Org. Chem. 1983, 48, 4155.
doi: 10.1021/jo00170a070
Burgos, C. H.; Canales, E.; Matos, K.; Soderquist, J. A. J. Am. Chem. Soc. 2005, 127, 8044.
doi: 10.1021/ja043612i
Inanaga, J.; Baba, Y.; Hanamoto, T. Chem. Lett. 1993, 241.
Lee, E. Pure Appl. Chem. 2005, 77, 2073.
Schaus, S. E.; Branalt, J.; Jacobsen, E. N. J. Org. Chem. 1998, 63, 403.
doi: 10.1021/jo971758c
Luche, J. L. J. Am. Chem. Soc. 1978, 100, 2226.
doi: 10.1021/ja00475a040
Ireland, R. E.; Wipf, P.; Armstrong, J. D., Ⅲ J. Org. Chem. 1991, 56, 650.
doi: 10.1021/jo00002a030
Mori, G.; Kuwahar, S. Tetrahedron 1982, 38, 521.
doi: 10.1016/0040-4020(82)80096-3
(a) Trost, B. M.; Kondo, Y. Tetrahedron Lett. 1991, 32, 1613.
(b) Walsh, T. F.; Toupence, R. B.; Ujjainwalla, F.; Young, J. R.; Goulet, M. T. Tetrahedron 2001, 57, 5233.
(a) Lu, Y.; Kim, I. S.; Hassan, A.; Del Valle, D. J.; Krische, M. J. Angew. Chem., Int. Ed. 2009, 48, 5018.
(b) Han, S. B.; Hassan, A.; Kim, I. S.; Krische, M. J. J. Am. Chem. Soc. 2010, 132, 15559.
(a) Yang, Z.; Xie, X. G.; Jing, P.; Zhao, G. Y.; Zheng, J. Y.; Zhao, C. G.; She, X. G. Org. Biomol. Chem. 2011, 9, 984.
(b) White, J. D.; Hong, J.; Robarge, L. A. Tetrahedron Lett. 1999, 40, 1463.
(c) Hornberger, K. R.; Hamblett, C. L.; Leighton, J. L. J. Am. Chem. Soc. 2000, 122, 12894.
(a) Scholl, M.; Ding, S.; Lee, C. W.; Grubbs, R. H. Org. Lett. 1999, 1, 953.
(b) Hanessian, S.; Giroux, S.; Larsson, A. Org. Lett. 2006, 8, 5481.
(c) Seden, P. T.; Charmant, J. P. H.; Willis, C. L. Org. Lett. 2008, 10, 1637.
Shiina, I.; Kubota, M.; Oshiumi, H.; Hashizume, M. J. Org. Chem. 2004, 69, 1822.
doi: 10.1021/jo030367x
Denmark, S. E.; Fujimori, S. J. Am. Chem. Soc. 2005, 127, 8971.
doi: 10.1021/ja052226d
(a) Garegg, P. G.; Samuclson, B. Synthesis 1979, 813.
(b) Garegg, P. J. Pure Appl. Chem. 1984, 56, 845.
Jang, K. P.; Choi, S. Y.; Chung, Y. K.; Lee, E. Org. Lett. 2011, 13, 2476.
doi: 10.1021/ol2007296
(a) Evans, D. A.; Bender, S. L.; Morris, J. J. Am. Chem. Soc. 1988, 110, 2506.
(b) Blanchette, M. A.; Malamas, M. S.; Nantz, M. H.; Roberts, J. C.; Somfai, P.; Whritenour, D. C.; Masamune, S.; Kageyama, M.; Tamura, T. J. Org. Chem. 1989, 54, 2817.
(c) de Koning, C. B.; Green, I. R.; Michael, J. P.; Oliveira, J. R. Tetrahedron 2001, 57, 9623.
(d) Liu, B.; Zhou, W.-S. Tetrahedron Lett. 2003, 44, 4933.
Bai, Y.; Davis, D. C.; Dai, M. Angew. Chem., Int. Ed. 2014, 53, 6519.
doi: 10.1002/anie.201403006
Zihao Guo , Shichen Ma , Kin Shing Chan . 烯烃环化反应中6电子试剂的等瓣相似性和等电子关系. University Chemistry, 2025, 40(6): 160-166. doi: 10.12461/PKU.DXHX202408038
Aili Feng , Xin Lu , Peng Liu , Dongju Zhang . Computational Chemistry Study of Acid-Catalyzed Esterification Reactions between Carboxylic Acids and Alcohols. University Chemistry, 2025, 40(3): 92-99. doi: 10.12461/PKU.DXHX202405072
Zhenxing Liu , Jiaen Hu , Zishi Cheng , Xinqi Hao . 基础有机化学教学中烯烃的氧化反应. University Chemistry, 2025, 40(6): 139-144. doi: 10.12461/PKU.DXHX202408107
Weina Wang , Lixia Feng , Fengyi Liu , Wenliang Wang . Computational Chemistry Experiments in Facilitating the Study of Organic Reaction Mechanism: A Case Study of Electrophilic Addition of HCl to Asymmetric Alkenes. University Chemistry, 2025, 40(3): 206-214. doi: 10.12461/PKU.DXHX202407022
Yu Dai , Xueting Sun , Haoyu Wu , Naizhu Li , Guoe Cheng , Xiaojin Zhang , Fan Xia . Determination of the Michaelis Constant for Gold Nanozyme-Catalyzed Decomposition of Hydrogen Peroxide. University Chemistry, 2025, 40(5): 351-356. doi: 10.12461/PKU.DXHX202407052
Jiaxun Wu , Mingde Li , Li Dang . The R eaction of Metal Selenium Complexes with Olefins as a Tutorial Case Study for Analyzing Molecular Orbital Interaction Modes. University Chemistry, 2025, 40(3): 108-115. doi: 10.12461/PKU.DXHX202405098
Xiyuan Zhang , Rui Dong , Yang Yang , Jiapeng Ding , Zhiwei Miao . Palladium-Catalyzed Tandem Cyclization of 4-Vinylbenzoxazinone and Indene-2-carbaldehyde: A Comprehensive Organic Chemistry Experiment. University Chemistry, 2025, 40(9): 361-367. doi: 10.12461/PKU.DXHX202410062
Danqing Wu , Jiajun Liu , Tianyu Li , Dazhen Xu , Zhiwei Miao . Research Progress on the Simultaneous Construction of C—O and C—X Bonds via 1,2-Difunctionalization of Olefins through Radical Pathways. University Chemistry, 2024, 39(11): 146-157. doi: 10.12461/PKU.DXHX202403087
Xudong Liu , Huili Fan , Junping Xiao , Min Yang , Yan Li . Teaching Approaches to the AE + AN Mechanism of Electrophilic Addition Reactions between Olefins and Inorganic Acids in Organic Chemistry. University Chemistry, 2025, 40(7): 367-372. doi: 10.12461/PKU.DXHX202409041
Wentao Lin , Wenfeng Wang , Yaofeng Yuan , Chunfa Xu . Concerted Nucleophilic Aromatic Substitution Reactions. University Chemistry, 2024, 39(6): 226-230. doi: 10.3866/PKU.DXHX202310095
Zhi Chai , Huashan Huang , Xukai Shi , Yujing Lan , Zhentao Yuan , Hong Yan . Wittig反应的立体选择性. University Chemistry, 2025, 40(8): 192-201. doi: 10.12461/PKU.DXHX202410046
Heng Zhang . Determination of All Rate Constants in the Enzyme Catalyzed Reactions Based on Michaelis-Menten Mechanism. University Chemistry, 2024, 39(4): 395-400. doi: 10.3866/PKU.DXHX202310047
Yuting Zhang , Zhiqian Wang . Methods and Case Studies for In-Depth Learning of the Aldol Reaction Based on Its Reversible Nature. University Chemistry, 2024, 39(7): 377-380. doi: 10.3866/PKU.DXHX202311037
Ruitong Zhang , Zhiqiang Zeng , Xiaoguang Zhang . Improvement of Ethyl Acetate Saponification Reaction and Iodine Clock Reaction Experiments. University Chemistry, 2024, 39(8): 197-203. doi: 10.3866/PKU.DXHX202312004
Yuan Chun , Lijun Yang , Jinyue Yang , Wei Gao . Ideological and Political Design of BZ Oscillatory Reaction Experiment. University Chemistry, 2024, 39(2): 72-76. doi: 10.3866/PKU.DXHX202308072
Shiyan Cheng , Yonghong Ruan , Lei Gong , Yumei Lin . Research Advances in Friedel-Crafts Alkylation Reaction. University Chemistry, 2024, 39(10): 408-415. doi: 10.12461/PKU.DXHX202403024
Huijuan Liao , Yulin Xiao , Dong Xue , Mingyu Yang , Jianyang Dong . Synthesis of 1-Benzyl Isoquinoline via the Minisci Reaction. University Chemistry, 2025, 40(7): 294-299. doi: 10.12461/PKU.DXHX202409092
Bolin Sun , Jie Chen , Ling Zhou . 乙烯型卤代烃的亲核取代反应. University Chemistry, 2025, 40(8): 152-157. doi: 10.12461/PKU.DXHX202410032
Shiqian WEI , Xinyu TIAN , Hong LIU , Maoxia CHEN , Fan TANG , Qiang FAN , Weifeng FAN , Yu HU . Oxygen reduction reaction/oxygen evolution reaction catalytic performances of different active sites on nitrogen-doped graphene loaded with iron single atoms. Chinese Journal of Inorganic Chemistry, 2025, 41(9): 1776-1788. doi: 10.11862/CJIC.20250102
Feiya Cao , Qixin Wang , Pu Li , Zhirong Xing , Ziyu Song , Heng Zhang , Zhibin Zhou , Wenfang Feng . Magnesium-Ion Conducting Electrolyte Based on Grignard Reaction: Synthesis and Properties. University Chemistry, 2024, 39(3): 359-368. doi: 10.3866/PKU.DXHX202308094
Reagents and conditions: (a) (ⅰ) BH3•SMe2, THF; (ⅱ) TBDPSCl, DMF; (ⅲ) DIBAL-H, Et2O, -78oC; (ⅳ) 1, 3-propanedithiol, I2, CHCl3, 68% (over 4 steps). (b) (ⅰ) t-BuLi, THF, 5, -78oC; (ⅱ) CaCO3, MeI, MeCN/H2O, 50% (over 2 steps). (c) (ⅰ) Zr(Ot-Bu)4, i-PrCHO, -78oC. (ⅱ) Me3OBF4, Proton Sponge, CH2Cl2, 90%. (ⅲ) 49% HF in H2O, MeCN, r.t., 91%. (ⅳ) (COCl)2, DMSO, CH2Cl2, Et3N, -78oC to r.t., 73% (over 4 steps). (d) 8, TfOH, CH2Cl2, benzene, -78oC, 75% (dr 10:1). (e) (ⅰ) NaCN, DMF, 60oC, 84%; (ⅱ) DIBAL-H, Et2O, -78 oC, 96%; (ⅲ) DIBAL-H, CH2Cl2, -78oC, 60%; (f) (ⅰ) NaClO2, NaH2PO4•H2O, t-BuOH, H2O, 85%. (ⅱ) 2, 4, 6-trichlorobenzoyl chloride, toluene, DMAP, Et3N, 44%; (g) (ⅰ) Hg(O2CCF3)2, then NaBH4, 63% (d.r. > 20:1); (ⅱ) 12, EDCI, HOBT•H2O, CH2Cl2, 99%; (ⅲ) 18-crown-6, KHMDS, -78oC, then 13, 85oC, 62%
Reagents and conditions: (a) (ⅰ) CF3CO2H, 0 ℃, aq. NH4OH; (ⅱ) BnOC(NH)CCl3, TfOH (cat.); (ⅲ) PdCl2, CuCl2, DMF, H2O, O2 (64% for 3 steps). (b) (ⅰ) 16, Cy2BCl, Et3N; (ⅱ) PPh3MeBr, KHMDS, then HCl quench (75% for 2 steps). (c) (ⅰ) Et2BOMe, NaBH4; (ⅱ) TMSOK, Et2O; (ⅲ) 2, 4, 6-trichlorobenzoyl chloride, toluene, DMAP, Et3N (55% for 3 steps). (d) (ⅰ) H2, Pd/C; (ⅱ) p-NO2C6H4CO2H, PPh3, DEAD; (ⅲ) K2CO3, MeOH; (ⅳ) Me3OBF4; (ⅴ) H2, Pd(OH)2 (41% for 5 steps). (e) 20, PPh3, DIAD, 83%
Reagents and conditions: (a) (ⅰ) (S)-BINAP, Ru(Ⅱ), H2; (ⅱ) TBDPSCl, Imidazole; (ⅲ) DIBAL-H, -78 oC (90% for 3 steps). (b) (ⅰ) 22, CH2Cl2; (ⅱ) Me3OBF4; (c) (ⅰ) OsO4, NMO; (ⅱ) NaIO4, MeOH (70% for 4 steps). (d) Ph3P=CHCOSEt, CH2Cl2; (ⅱ) MeMgBr, CuBr•SMe2, (S, R)-Josiphos (86% for 2 steps). (e) (ⅰ) Et3SiH, Pd/C; (ⅱ) 27, TFA, -5oC; (ⅲ) K2CO3, MeOH (62% for 3 steps). (f) (ⅰ) MOMCl, DIPEA; (ⅱ) H2, Pd/C; (ⅲ) DMP, NaHCO3; (ⅳ) NaClO2, NaH2PO4(86% for 4 steps); (g) (ⅰ) TBAF, THF; (ⅱ) Yamaguchi lactonization; (ⅲ) HCl (80% for 3 steps); (h) 20, PPh3, DIAD, 80%
Reagents and conditions: (a) (ⅰ) NaH, Cl3CCN, Et2O, 0 ℃, 100%; (ⅱ) 31, TfOH, cyclohexane, 77%; (b) 33, CuI, i-Pr2NH, [(Ph3P)2PdCl2], 89%; (c) [Pt(DVDS)], THF, then H2O2, KF, Bu4NF, KHCO3, DMF, 40 ℃, 57% (67% based on starting-material purity); (d) (ⅰ) EtCHO, SmI2, THF, -10℃, 77%; (ⅱ) Me3OBF4, proton sponge, CH2Cl2, 0 ℃, 93%; (e) (ⅰ) LiOH, H2O, MeOH, 45 ℃; (ⅱ) Et3N, 2, 4, 6-Cl3BzCl, THF, then DMAP, toluene, 65 ℃, 72% (two steps). (f) HOAc, Na2CO3, [{Ru(p-cymene)Cl2}2], 1-decyne, (2-furyl)3P, toluene, 80 ℃, 82%. (g) DDQ, 2, 6-Cl2Py, LiClO4, DCE, 65%. (h) H2, Pd/C, EtOH, 74%. (ⅰ) NaBH4, MeOH, 95%. (ⅱ) 20, PPh3, DIAD, 93%
Reagents and conditions: (a) (ⅰ) (+)-Ipc2BOMe, allylMgBr; (ⅱ) MPMOC(=NH)CCl3, La(OTf)3. (b) (ⅰ) Grubbs' Ⅱ, methyl acrylate; (ⅱ) DIBALH, -78 ℃ (45% for 4 steps). (c) (ⅰ) (-)-DET, Ti(Oi-Pr)4, t-BuO2H; (ⅱ) PPh3, I2; (ⅲ) Zn, AcOH (73% for 3 steps). (d) (ⅰ) BOMCl, DIPEA; (ⅱ) DDQ, pH 7 buffer (72% for 2 steps). (e) (ⅰ) Ac2O, Et3N, DMAP; (ⅱ) KHDMS, (PhO)2P(O)Cl, -78 ℃; (f) (ⅰ) B-MeO-9-BBN, t-BuLi, then 47, Pd(PPh3)4; (ⅱ) Grubbs Ⅱ, 70 ℃; (ⅲ) H2, Pd/C, EtOAc (63% for 3 steps); (g) (ⅰ) TBAF, THF; (ⅱ) SO3•Pyr., Et3N, DMSO; (h) (ⅰ) NaClO2, NaH2PO4, t-BuOH; (ⅱ) TMSCHN2, MeOH (86% for 4 steps). (ⅰ) (ⅰ) DDQ, pH=7 buffer; (ⅱ) TMSOK, Et2O; (ⅲ) Yamaguchi lactonization (92% for 3 steps). (j) H2, Pd(OH)2/C; (k) 20, PPh3, DIAD, 61%
Reagents and conditions: (a) (ⅰ) (R)-(+)-Synphos-Ru(Ⅱ), H2; (ⅱ) MeNH(OMe)•HCl, AlMe3(87% for 2 steps). (b) (ⅰ) (2-methylallyl)magnesium chloride; (ⅱ) PhCHO, SmI2 (68% for 2 steps). (c) (ⅰ) acryloyl chloride, DIPEA; (ⅱ) Grubbs Ⅱ, reflux (83% for 2 steps). (d) H2, Pd/C, then, PPTS, n-PrOH; (ⅱ) MeO3BF4; (ⅲ) DIBALH, -78 ℃ (69% for 3 steps). (e) InBr3, 56%, 77%. (f) [CpRu(MeCN)3]PF6, but-3-enal, AcOH, 28%~58%. (g) (ⅰ) OsO4, NaIO4; (ⅱ) NaClO2, KH2PO4; (ⅲ) Yamaguchi lactonization; (ⅳ) NaBH4, MeOH (73% for 4 steps). (h) 20, PPh3, DIAD, 75%
Reagents and conditions: (a) (ⅰ) (S)-BINAP-Ru(Ⅱ), H2; (ⅱ) TBSCl, DMF; (ⅲ) DIBALH, -78 ℃ (76% for 3 steps). (b) (ⅰ) (-)-Ipc2B(2-methylallyl); (ⅱ) NaH, MeI (77% for 2 steps). (c) (ⅰ) O3, DMS; (ⅱ) (OMe)2POCH2CO2Me, NaH (68% for 2 steps). (d) (ⅰ) DIBALH, -78 ℃; (ⅱ) DMP, NaHCO3; (ⅲ) 62, Hantzch ester, dr=3:1 (86% for 3 steps). (e) 65, 4 Å MS, 8 d, CHCl3, 78%. (f) (ⅰ) DDQ, pH 7 buffer; (ⅱ) DMP, NaHCO3; (ⅲ) NaClO2, NaH2PO4; (ⅳ) TBAF, THF (88% for 4 steps). (g) (ⅰ) Yamaguchi lactonization; (ⅱ) NaBH4, MeOH (79% for 2 steps). (h) 20, PPh3, DIAD, 53%
Reagents and conditions: (a) (ⅰ) Lipase PS-30, n-PrOH; (ⅱ) BH3•Me2S, THF (98% for 2 steps). (b) (ⅰ) Swern oxidation; (ⅱ) (CH2OH)2, PPTS (89% for 2 steps). (c) (ⅰ) LiAlH4, Et2O; (ⅱ) OsO4, NaIO4; (ⅲ) (+)-Ipc2BOMe, allylMgBr (58% for 3 steps). (d) (ⅰ) NaH, MeI; (ⅱ) OsO4, NaIO4; (ⅲ) (-)-Ipc2BOMe AllylMgBr (64% for 3 steps). (e) (ⅰ) PPTS, AcOH; (ⅱ) LiCl, DIPEA; MeCOCH2P(O)(OMe)2; (ⅲ) TESOTf, Et3N (81% for 3 steps). (f) 74, TFA, 4 Å MS, 75, 83%; (g) (ⅰ) (CH2OH)2, PTSA; (ⅱ) NaCN, DMF (48% for 2 steps). (h) (ⅰ) 10% NaOH, EtOH; (ⅱ) PTSA, acetone (74% for 2 steps). (ⅰ) Yamaguchi esterification, 40%; (j) (ⅰ) Pd/C, H2; (ⅱ) NaBH4, EtOH (71% for 2 steps). (k) 20, PPh3, DIAD, 78%
Reagents and conditions: (a) (ⅰ) (OMe)MeNH2Cl, THF, i-PrMgBr; (ⅱ) PMB-OC(NH)CCl3, PPTS (68% for 2 steps). (b) (ⅰ) 82, t-BuLi; (ⅱ) DDQ, buffer. (c) (ⅰ) SmI2, PhCHO; (ⅱ) MeOTf, DTBMP; (ⅲ) K2CO3, MeOH (29% from 81). (d) (ⅰ) 85, Yamaguchi condition; (ⅱ) HF•pyridine; (ⅲ) TEMPO, H5C6I(OAc)2 (76% for 3 steps). (e) (ⅰ) Sc(OTf)3, CaSO4; (ⅱ) DMSO, H2O (21% for 2 steps). (f) (ⅰ) NaBH4, MeOH; (ⅱ) 20, DIAD, Ph3P (76% for 2 steps).
Reagents and conditions: (a) (ⅰ) 87, CSA, CH2Cl2; (ⅱ) NaH, BnBr, TBAI, THF/DMF (5:1); (ⅲ) O3, CH2Cl2, -78 ℃, Ph3P (49% for 3 steps). (b) (ⅰ) CH2C(CH3)CH2TMS, TiCl4, -78 ℃; (ⅱ) 89, DCC, DMAP, CH2Cl2 (78% for 2 steps). (c) (ⅰ) Rh(CO)2(acac), H2/CO; (ⅱ) H2SO4, HC(OMe)3; (ⅲ) KOH, EtOH; (ⅳ) NaH, MeI (40% for 4 steps). (d) (ⅰ) H2, Pd/C, MeOH; (ⅱ) 92, DCC, DMAP; (ⅲ) DDQ, pH 7 buffer (81% for 3 steps). (e) (ⅰ) TESOTf, TMSOAc; (ⅱ) K2CO3, MeOH (68% for 2 steps). (f) 20, DIAD, Ph3P, 79%
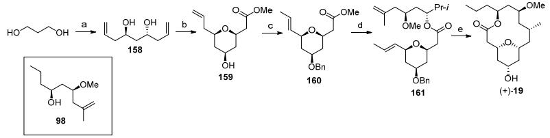
Reagents and conditions: (a) (ⅰ) TBSCl, imidazole; (ⅱ) OsO4, NaIO4 (58% for 2 steps). (b) (ⅰ) (+)-Ipc2BOMe, allylMgBr; (ⅱ) Grubbs' Ⅱ, methyl acrylate (78% for 2 steps). (c) (ⅰ) BOMCl, DIPEA; (ⅱ) TBAF, THF (90% for 2 steps). (d) (ⅰ) DBU, toluene; (ⅱ) TMSOK, Et2O; (ⅲ)98, Yamaguchi esterification (38% for 3 steps). (e) (ⅰ) Grubbs' Ⅱ, toluene, 1, 4-benzoquinone; (ⅱ) H2, Pd/C, Pd(OH)2/C (79% for 2 steps)
Reagents and conditions: (a) 101 (7.5 mol%), B2(pin)2, NaBO3, MeOH, THF, 86% (er=95:5). (b) (ⅰ) (2-methylallyl)magnesium chloride, PPTS, CH2Cl2; (ⅱ) SmI2, PhCHO; (ⅱ) Me3OBF4, proton sponge; (ⅲ) KOH, MeOH (53% from 52). (c) 1-(vinyloxy)butane, 103 (0.6 mol%), benzene, 88%, (er=99:1). (d) (ⅰ) 1.0 mol/L HCl, THF; (ⅱ) NaClO2, NaH2PO4 (86% for 2 steps). (e) EDC, DMAP, Et3N, 88%. (f) (ⅰ) 107 (8.0 mol%), toluene, 89%, (Z/E > 98:2). (g) (ⅰ) Pd/C, H2, EtOH; (ⅱ) 20, DIAD, Ph3P (68% for 2 steps)
Reagents and conditions: (a) 110 (3.0 mol%), vinyl-B(pin), 86% (Z:E > 98:2). (b) Pd(dppf)Cl2 (10 mol%), 112, 82%. (c) (ⅰ) PPh3, CBr4, 2, 6-lutidine, 81%; (ⅱ) CuCN (50 mol%), allylMgBr, 70%. (d) Z-2-butene-1, 4-diol, 115 (10 mol%), 70%. (e) (ⅰ) Dess-Martin, NaHCO3; (ⅱ) NaClO2, NaH2PO4•H2O, t-BuOH, H2O, 85% (75% for 2 steps)
Reagents and conditions: (a) (ⅰ) n-BuLi, THF, 1 h, then (R)-5-iodo-4-methylpenten; (ⅱ) n-BuLi, THF, then (R)-epichlorohydrin (66% for 2 steps). (b) (ⅰ) EtMgBr, CuI; (ⅱ) MeI, CaCO3 (84% for 2 steps). (c) (ⅰ) PhCHO, SmI2; (ⅱ) MeO3BF4 (81% for 2 steps). (d) (ⅰ) AD mix-β; (ⅱ) NaH, N-p-toluene sulfonylimidazole (85% for 2 steps). (e) (ⅰ) n-BuLi, HMPA, THF, 122, 75%; (f) MnO2, 3 h, then dimethyltriazolium iodide, MnO2, DBU, MeOH; (ⅱ) 0.1 mol/L LiOH, MeOH/THF (V:V=1:3) (77% for 2 steps). (g) (ⅰ) MNBA, CH2Cl2; (ⅱ) MeI, CaCO3; (ⅲ) NaBH4, MeOH (57% for 3 steps)
Reagents and conditions: (a) (ⅰ) TBDPSCl, DMF, imidazole; (ⅱ) mCPBA, CH2Cl2; (ⅲ) (S, S)-(Salen)Co(Ⅲ)(OAc), H2O; (b) (ⅰ) AcCl, -78 ℃; (ⅱ) MsCl, Et3N; (ⅲ) K2CO3, MeOH (71% from 125); (c) (ⅰ) vinylmagnesium bromide, CuI, THF, -40~0 ℃; (ⅱ) KH, MeI (81% for 2 steps); (ⅲ) (R, R)-(Salen)Co(Ⅲ)(OAc), H2O (60% from 126A). (d) (ⅰ) EtMgBr, CuI; (ⅱ) BnO(NH)CCl3, CF3SO3H; (ⅲ) TBAF, THF (77% for 3 steps). (e) (ⅰ) TsCl, Et3N; (ⅱ) NaCN, NaI; (ⅲ) DIBAL-H, -78 ℃ (75% for 3 steps). (f) 130, LiCl, DIPEA, 77%. (g) (ⅰ) HF-Py, CH3CN; (ⅱ) Pd(CH3CN)4BF4, CH2Cl2, r.t. (38% for 2 steps). (h) (ⅰ) Pd/C, H2; (ⅱ) TEMPO, BAIB; (ⅲ) NaClO2, KH2PO4; (ⅳ) Yamaguchi lactonization (61% for 4 steps)
Reagents and conditions: (a) (ⅰ) BH3•SMe2, THF; (ⅱ) (OMe)MeNH2Cl, i-PrMgCl; (ⅲ) DMP, NaHCO3 (86% for 3 steps). (b) (ⅰ) 134, BF3•Et2O; (ⅱ) BOMCl, DIPEA (55% for 2 steps). (c) 136, n-BuLi, LiDBB, 92%. (d) (ⅰ) SmI2, PhCHO; (ⅱ) Me3OBF4, Proton sponge (79% for 2 steps). (e) ICl, Na2S2O3, 71%. (f) (ⅰ) ethyl propiolate, Bu3P; (ⅱ) AIBN, n-Bu3SnH (93% for 2 steps). (g) (ⅰ) KOH, MeOH; (ⅱ) TCBCl, Et3N, DMAP; (ⅲ) H2, Pd/C (83% for 3 steps)
Reagents and conditions: (a) (ⅰ) 143, Hantzch ester; (ⅱ) TBME, TFA, 144, (S, S)-(Salen) (56% for 2 steps). (b) (ⅰ) NaBH4, CeCl3; (ⅱ) Ac2O, TEA (91% for 2 steps). (c) (ⅰ) LDA, TMSCl; (ⅱ) etheral CH2N2 (90% for 2 steps). (d) (ⅰ) LAH, THF; (ⅱ) TBSCl; (ⅲ) LDBB, THF, -78 ℃, then 148 (51% for 3 steps). (e) (ⅰ) IBX, DMSO; (ⅱ) TBAF, THF (81% for 2 steps). (f) (ⅰ) isobutanal, -50 ℃, Zr(Oi-Bu)4; (ⅱ) NaH, MeI (75% for 2 steps). (g) (ⅰ) K2CO3, MeOH; (ⅱ) PhI(OAc)2, TEMPO; (ⅲ) NaClO2, NaH2PO4; (ⅳ) Yamaguchi lactonization (39% for 4 steps). (h) Hg(OTFA)2, THF, 24 h, then NaBH4, aq. NaOH, 24 h, 60%
Reagents and conditions: (a) (ⅰ) NaH, BnBr, TBAI; (ⅱ) H2O2, (PhSe)2, t-BuO2H, CH2Cl2 (74% for 2 steps). (b) O3, -78 ℃, Me2S, 88%. (c) (S)-pent-4-ene-1, 2-diol, TFA, CH2Cl2then K2CO3, CH3OH, 56%. (d) (ⅰ) TsCl, Et3N, CH2Cl2; (ⅱ) TBDPSCl, DMAP, imidazole; (ⅲ) NaI, reflux (84% for 3 steps). (e) Zn, EtOH, reflux, 96%. (f) (ⅰ) Me3OBF4, CH2Cl2; (ⅱ) H2, Raney nickel, EtOH; (ⅲ) DMP, NaHCO3, CH2Cl2; (ⅳ) PTSA, CH(OMe)3, CH3OH (56% for 5 steps)
Reagents and conditions: (a) [Ir(cod)Cl]2, (R)-Cl, OMe-BIPHEP, allyl acetate, 70%. (b) PdCl2, CuCl2, CO, CH3CN, MeOH, r.t., 4 h, 83%. (c) (ⅰ) BnO(NH=C)CCl3, CF3SO3H; (ⅱ) Grubbs' Ⅱ, MeOH, 60 ℃ (73% for 2 steps). (d) (ⅰ) LiOH, MeOH; (ⅱ) 98, MNBA, DMAP (87% for 2 steps). (e) (ⅰ) Hoveyda-Grubbs' Ⅱ, toluene, 80 ℃; (ⅱ) Pd/C, H2, EtOH (53% for 2 steps)
Reagents and conditions: (a) (ⅰ) n-propyl bromide, Mg, -40 ℃; (ⅱ) (COCl)2, DMSO, Et3N, -78 ℃; (ⅲ) LiAlH4, LiI; (ⅳ) TBDPSCl, imidazole (46% for 4 steps). (b) (ⅰ) CuCl2, CH3CN; (ⅱ) BzCl, Bu2SnO; (ⅲ) TsCl, Et3N; (ⅳ) K2CO3, MeOH (58% for 4 steps). (c) (ⅰ) n-BuLi, BF3•Et2O; (ⅱ) MeI, NaH; (ⅲ) PPTS, MeOH (41% for 3 steps). (d) (ⅰ) Red-Al, Et2O; (ⅱ) (-)DIPT, Ti(Oi-Pr)4; (ⅲ) Me3Al, hexane (60% for 3 steps). (e) PPh3, imidazole, I2, 70%. (f) TBAF, THF, 84%
Reagents and conditions: (a) (ⅰ) (-)-DIPT, Ti(OiPr)4, C6H5C(CH3)2OOH, 4 Å MS; (ⅱ) Red-Al, THF, 0 ℃~r.t. (68% for 2 steps). (b) (ⅰ) p-anisaldehyde dimethyl acetal, PPTS, CH2Cl2; (ⅱ) DIBALH, CH2Cl2; (ⅲ) TBDPSCl, imidazole, CH2Cl2 (63% for 3 steps). (c) (ⅰ) CuCl2·2H2O, CH3CN; (ⅱ) p-TsCl, Bu2SnO, Et3N, CH2Cl2; (ⅲ) K2CO3, MeOH (62% for 3 steps). (d) (ⅰ) vinyl magnesium bromide, CuI, THF, -20 ℃; (ⅱ) MOMCl, DIPEA, DMAP (75% for 2 steps). (e) (ⅰ) TBAF, THF; (ⅱ) TEMPO, BAIB (60% for 2 steps). (f) (ⅰ) 152, DCC, DMAP, CH2Cl2; (ⅱ) Grubb's Ⅱ, CH2Cl2 (44% for 2 steps). (g) (ⅰ) DDQ, CH2Cl2; (ⅱ) Hg(CF3COO)2, CH2Cl2, KBr (76% for 2 steps). (h) (ⅰ) n-Bu3SnH, AIBN, toluene, reflux; (ⅱ) conc. HCl, MeOH (80% for 2 steps)
Reagents and conditions: (a) Pd(OAc)2, CuCl2, CO, 4 Å MS, DCE, 58%; (b) (ⅰ) HCl; (ⅱ) NaBH4 (72% for two steps); (c) 20, DIAD, Ph3P, 56%