Citation: Li Zhewei, Wang Qianyue, Pu Min, Yang Zuoyin, Lei Ming. Theoretical Study on Nitrogenous Heterocyclic Assisted Aldimine Condensation[J]. Acta Chimica Sinica, ;2020, 78(5): 437-443. doi: 10.6023/A19110413 shu

Theoretical Study on Nitrogenous Heterocyclic Assisted Aldimine Condensation

  • Corresponding author: Pu Min, pumin@mail.buct.edu.cn Lei Ming, leim@mail.buct.edu.cn
  • Received Date: 26 November 2019
    Available Online: 8 April 2020

    Fund Project: Project supported by the National Natural Science Foundation of China (No. 21672018), the State Key Laboratory of Physical Chemistry of Solid Surfaces (Xiamen University) (No. 201811) and the Fundamental Research Funds for the Central Universities (No. XK1802-6)the State Key Laboratory of Physical Chemistry of Solid Surfaces (Xiamen University) 201811the National Natural Science Foundation of China 21672018the Fundamental Research Funds for the Central Universities XK1802-6

Figures(7)

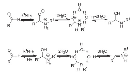
  • Imines and the intermediate methylamine by the aldimine condensation of primary amines with aldehydes have a potential application in the field of pharmacy, life science, catalysis, material science, etc. In this reaction, the hydrogen transfer in the dehydration step normally prefers the pathway via a water bridge in aqueous solution or a directly dehydration in organic solvent. It is a different mechanism for the aldimine condensation of amine owning neighbouring nitrogenous heterocycle. Herein we investigated the mechanism of aldimine condensation of primary amine containing nitrogenous heterocycle with aldehyde in dichloromethane under acidic conditions using density functional theory (DFT) at ωB97X-D/6-31++G(d, p) level, the calculated results show that compared with specific acid catalysis, the heterocyclic nitrogen with stronger basicity is easier to be protonated than the oxygen of carbonyl group. The whole reaction proceeds two hydrogen transfer steps via nitrogen bridge owning an energy span of 13.08 kcal/mol. The rate-determing step is the second hydrogen transfer step. In each step the heterocyclic nitrogen is a bridge to assist the hydrogen transfer, which could reduce the free energy barrier of the aldimine condensation. It is unfavorable for the reaction pathway via directly hydrogen transfer with a four-membered ring transition state owning a free energy barrier of 32.73 kcal/mol, and the reaction pathway via a water bridge is not located. Meanwhile, the energy barriers increased for systems in which the N atom in heterocycle of primary amine is replaced by P/As atoms. The rate-determining step changes from the second hydrogen transfer step for N system to the first hydrogen transfer step for As system. The position effect of adjacent nitrogen atom is also investigated. The γ position owns the highest reactivity of the aldimine condensation, which implies that the ring strain plays an important role in the aldimine condensation of primary amine containing nitrogenous heterocycle with aldehyde. This theoretical study may provide insights to unveil the nature of aldimine condensation of aldehyde and primary amine owning nitrogeneous heterocycle.
  • 加载中
    1. [1]

      Schiff, H. Justus Liebigs Ann. Chem. 1864, 131, 118.  doi: 10.1002/jlac.18641310113

    2. [2]

      Leth, L. A.; Naesborg, L.; Reyes-Rodriguez, G. J.; Tobiesen, H. N.; Iversen, M. V.; Jorgensen, K. A. J. Am. Chem. Soc. 2018, 140, 12687.  doi: 10.1021/jacs.8b07394

    3. [3]

      Rezayee, N. M.; Lauridsen, V. H.; Naesborg, L.; Nguyen, T. V. Q.; Tobiesen, H. N.; Jorgensen, K. A. Chem. Sci. 2019, 10, 3586.  doi: 10.1039/C9SC00196D

    4. [4]

      Liu, Y.; Yue, X.; Luo, C.; Zhang, L.; Lei, M. Energy Environ. Mater. 2019, 2, 292.  doi: 10.1002/eem2.12050

    5. [5]

      Stana, A.; Enache, A.; Vodnar, D. C.; Nastasa, C.; Benedec, D.; Ionut, I.; Login, C.; Marc, G.; Oniga, O.; Tiperciuc, B. Molecules 2016, 21, 1595.  doi: 10.3390/molecules21111595

    6. [6]

      Hong, M.; Min, J.; Wang, S. Chin. J. Org. Chem. 2018, 38, 1907(in Chinese).
       

    7. [7]

      Li, Y.; Jia, F.; Ma, L.; Li, Z. Acta Chim. Sinica 2015, 73, 1311(in Chinese).  doi: 10.3969/j.issn.0253-2409.2015.11.005
       

    8. [8]

      Hu, S.-B.; Chen, M.-W.; Zhai, X.-Y.; Zhou, Y.-G. Acta Chim. Sinica 2018, 76, 103(in Chinese).
       

    9. [9]

      Wang, H.; Huang, L. Chin. J. Org. Chem. 2019, 39, 883(in Chinese).
       

    10. [10]

      Xiao, M.; Yue, X.; Xu, R.; Tang, W.; Xue, D.; Li, C.; Lei, M.; Xiao, J.; Wang, C. Angew. Chem., Int. Ed. 2019, 58, 10528.  doi: 10.1002/anie.201905870

    11. [11]

      Santerre, G. M.; Hansrote, C. J.; Crowell, T. I. J. Am. Chem. Soc. 1958, 80, 1254.  doi: 10.1021/ja01538a056

    12. [12]

      Martin, R. B. J. Phys. Chem. 1964, 68, 1369.  doi: 10.1021/j100788a017

    13. [13]

      Makela, M. J.; Korpela, T. K. Chem. Soc. Rev. 1983, 12, 309.  doi: 10.1039/CS9831200309

    14. [14]

      Jencks, W. P. Prog. Phys. Org. Chem. 1964, 2, 63.

    15. [15]

      Hine, J.; Via, F. A.; Gotkis, J. K.; Craig, J. C. J. Am. Chem. Soc. 1970, 92, 5186.  doi: 10.1021/ja00720a031

    16. [16]

      Sayer, J. M.; Pinsky, B.; Schonbrunn, A.; Washtien, W. J. Am. Chem. Soc. 1974, 96, 7998.  doi: 10.1021/ja00833a027

    17. [17]

      Rosenberg, S.; Silver, S. M.; Sayer, J. M.; Jencks, W. P. J. Am. Chem. Soc. 1974, 96, 7986.  doi: 10.1021/ja00833a026

    18. [18]

      Williams, I. H. J. Am. Chem. Soc. 1987, 109, 6299.  doi: 10.1021/ja00255a012

    19. [19]

      Hall, N. E.; Smith, B. J. J. Phys. Chem. A 1998, 102, 4930.  doi: 10.1021/jp9810825

    20. [20]

      Jencks, W. P. J. Am. Chem. Soc. 1959, 81, 475.  doi: 10.1021/ja01511a053

    21. [21]

      Jencks, W. P. Acc. Chem. Res. 1976, 9, 425.  doi: 10.1021/ar50108a001

    22. [22]

      Sayer, J. M.; Jencks, W. P. J. Am. Chem. Soc. 1973, 95, 5637.  doi: 10.1021/ja00798a031

    23. [23]

      Ding, Y. Q.; Cui, Y. Z.; Li, T. D. J. Phys. Chem. A 2015, 119, 4252.  doi: 10.1021/acs.jpca.5b02186

    24. [24]

      Salva, A.; Donoso, J.; Frau, J.; Muñoz, F. J. Phys. Chem. A 2003, 107, 9409.  doi: 10.1021/jp034769k

    25. [25]

      Ortega-Castro, J.; Adrover, M.; Frau, J.; Salva, A.; Donoso, J.; Muñoz, F. J. Phys. Chem. A 2010, 114, 4634.  doi: 10.1021/jp909156m

    26. [26]

      Casasnovas, R.; Salvà, A.; Frau, J.; Donoso, J.; Muñoz, F. Chem. Phys. 2009, 355, 149.  doi: 10.1016/j.chemphys.2008.12.006

    27. [27]

      Solis-Calero, C.; Ortega-Castro, J.; Muñoz, F. J. Phys. Chem. B 2010, 114, 15879.  doi: 10.1021/jp1088367

    28. [28]

      Kirmizialtin, S.; Yildiz, B. S.; Yildiz, I. J. Phys. Org. Chem. 2017, 30, 1.

    29. [29]

      Ciaccia, M.; Di Stefano, S. Org. Biomol. Chem. 2015, 13, 646.  doi: 10.1039/C4OB02110J

    30. [30]

      Hooley, R. J.; Iwasawa, T.; Rebek, J., Jr. J. Am. Chem. Soc. 2007, 129, 15330.  doi: 10.1021/ja0759343

    31. [31]

      Ciaccia, M.; Cacciapaglia, R.; Mencarelli, P.; Mandolini, L.; Di Stefano, S. Chem. Sci. 2013, 4, 2253.  doi: 10.1039/c3sc50277e

    32. [32]

      Chai, J.-D.; Head-Gordon, M. Phys. Chem. Chem. Phys. 2008, 10, 6615.  doi: 10.1039/b810189b

    33. [33]

      Marenich, A. V.; Cramer, C. J.; Truhlar, D. G. J. Phys. Chem. B 2009, 113, 6378.  doi: 10.1021/jp810292n

    34. [34]

      Hratchian, H. P.; Schlegel, H. B. J. Chem. Phys. 2004, 120, 9918.  doi: 10.1063/1.1724823

    35. [35]

      Mayer, I. Chem. Phys. Lett. 1983, 97, 270.  doi: 10.1016/0009-2614(83)80005-0

    36. [36]

      Wiberg, K. B. Tetrahedron 1968, 24, 1083.  doi: 10.1016/0040-4020(68)88057-3

    37. [37]

      Lu, T.; Chen, F. J. Comput. Chem. 2012, 33, 580.  doi: 10.1002/jcc.22885

    38. [38]

      Frisch, M. J.; Trucks, G. W.; Schlegel, H. B.; Scuseria, G. E.; Robb, M. A.; Cheeseman, J. R.; Scalmani, G.; Barone, V.; Mennucci, B.; Petersson, G. A.; Nakatsuji, H.; Caricato, M.; Li, X.; Hratchian, H. P.; Izmaylov, A. F.; Bloino, J.; Zheng, G.; Sonnenberg, J. L.; Hada, M.; Ehara, M.; Toyota, K.; Fukuda, R.; Hasegawa, J.; Ishida, M.; Nakajima, T.; Honda, Y.; Kitao, O.; Nakai, H.; Vreven, T.; Montgomery Jr., J. A.; Peralta, J. E.; Ogliaro, F.; Bearpark, M.; Heyd, J. J.; Brothers, E.; Kudin, K. N.; Staroverov, V. N.; Keith, T.; Kobayashi, R.; Normand, J.; Raghavachari, K.; Rendell, A.; Burant, J. C.; Iyengar, S. S.; Tomasi, J.; Cossi, M.; Rega, N.; Millam, J. M.; Klene, M.; Knox, J. E.; Cross, J. B.; Bakken, V.; Adamo, C.; Jaramillo, J.; Gomperts, R.; Stratmann, R. E.; Yazyev, O.; Austin, A. J.; Cammi, R.; Pomelli, C.; Ochterski, J. W.; Martin, R. L.; Morokuma, K.; Zakrzewski, V. G.; Voth, G. A.; Salvador, P.; Dannenberg, J. J.; Dapprich, S.; Daniels, A. D.; Farkas, O.; Foresman, J. B.; Ortiz, J. V.; Cioslowski, J.; Fox, D. J. Gaussian 09, Revision B. 01. Gaussian, Inc., Wallingford, 2010.

    39. [39]

      Legault, C. Y. CYLview, 1.0b, Université de Sherbrooke, 2009, http://www.cylview.org.

  • 加载中
    1. [1]

      Hao XURuopeng LIPeixia YANGAnmin LIUJie BAI . Regulation mechanism of halogen axial coordination atoms on the oxygen reduction activity of Fe-N4 site: A density functional theory study. Chinese Journal of Inorganic Chemistry, 2025, 41(4): 695-701. doi: 10.11862/CJIC.20240302

    2. [2]

      Wei SunYongjing WangKun XiangSaishuai BaiHaitao WangJing ZouArramelJizhou Jiang . CoP Decorated on Ti3C2Tx MXene Nanocomposites as Robust Electrocatalyst for Hydrogen Evolution Reaction. Acta Physico-Chimica Sinica, 2024, 40(8): 2308015-0. doi: 10.3866/PKU.WHXB202308015

    3. [3]

      Xinwan ZhaoYue CaoMinjun LeiZhiliang JinTsubaki Noritatsu . Constructing S-scheme heterojunctions by integrating covalent organic frameworks with transition metal sulfides for efficient noble-metal-free photocatalytic hydrogen evolution. Acta Physico-Chimica Sinica, 2025, 41(12): 100152-0. doi: 10.1016/j.actphy.2025.100152

    4. [4]

      Kaifu Zhang Shan Gao Bin Yang . Application of Theoretical Calculation with Fun Practice in Raman Spectroscopy Experimental Teaching. University Chemistry, 2025, 40(3): 62-67. doi: 10.12461/PKU.DXHX202404045

    5. [5]

      Jie ZHAOSen LIUQikang YINXiaoqing LUZhaojie WANG . Theoretical calculation of selective adsorption and separation of CO2 by alkali metal modified naphthalene/naphthalenediyne. Chinese Journal of Inorganic Chemistry, 2024, 40(3): 515-522. doi: 10.11862/CJIC.20230385

    6. [6]

      Jie ZHAOHuili ZHANGXiaoqing LUZhaojie WANG . Theoretical calculations of CO2 capture and separation by functional groups modified 2D covalent organic framework. Chinese Journal of Inorganic Chemistry, 2025, 41(2): 275-283. doi: 10.11862/CJIC.20240213

    7. [7]

      Yupeng TANGHaiying YANGFan JINNan LI . Hydrogen storage properties of C6S6Li6: A density functional theory study. Chinese Journal of Inorganic Chemistry, 2025, 41(9): 1827-1839. doi: 10.11862/CJIC.20240460

    8. [8]

      Weina Wang Lixia Feng Fengyi Liu Wenliang Wang . Computational Chemistry Experiments in Facilitating the Study of Organic Reaction Mechanism: A Case Study of Electrophilic Addition of HCl to Asymmetric Alkenes. University Chemistry, 2025, 40(3): 206-214. doi: 10.12461/PKU.DXHX202407022

    9. [9]

      Tongqi Ye Yanqing Wang Qi Wang Huaiping Cong Xianghua Kong Yuewen Ye . Reform of Classical Thermodynamics Curriculum from the Perspective of Computational Chemistry. University Chemistry, 2025, 40(7): 387-392. doi: 10.12461/PKU.DXHX202409128

    10. [10]

      Xiaochen ZhangFei YuJie Ma . Cutting-Edge Applications of Multi-Angle Numerical Simulations for Capacitive Deionization. Acta Physico-Chimica Sinica, 2024, 40(11): 2311026-0. doi: 10.3866/PKU.WHXB202311026

    11. [11]

      Chi Li Jichao Wan Qiyu Long Hui Lv Ying XiongN-Heterocyclic Carbene (NHC)-Catalyzed Amidation of Aldehydes with Nitroso Compounds. University Chemistry, 2024, 39(5): 388-395. doi: 10.3866/PKU.DXHX202312016

    12. [12]

      Meifeng Zhu Jin Cheng Kai Huang Cheng Lian Shouhong Xu Honglai Liu . Classical Density Functional Theory for Understanding Electrochemical Interface. University Chemistry, 2025, 40(3): 148-152. doi: 10.12461/PKU.DXHX202405166

    13. [13]

      Yi YangXin ZhouMiaoli GuBei ChengZhen WuJianjun Zhang . Femtosecond transient absorption spectroscopy investigation on ultrafast electron transfer in S-scheme ZnO/CdIn2S4 photocatalyst for H2O2 production and benzylamine oxidation. Acta Physico-Chimica Sinica, 2025, 41(6): 100064-0. doi: 10.1016/j.actphy.2025.100064

    14. [14]

      Weikang WangYadong WuJianjun ZhangKai MengJinhe LiLele WangQinqin Liu . Green H2O2 synthesis via melamine-foam supported S-scheme Cd0.5Zn0.5In2S4/S-doped carbon nitride heterojunction: synergistic interfacial charge transfer and local photothermal effect. Acta Physico-Chimica Sinica, 2025, 41(8): 100093-0. doi: 10.1016/j.actphy.2025.100093

    15. [15]

      Maitri BhattacharjeeRekha Boruah SmritiR. N. Dutta PurkayasthaWaldemar ManiukiewiczShubhamoy ChowdhuryDebasish MaitiTamanna Akhtar . Synthesis, structural characterization, bio-activity, and density functional theory calculation on Cu(Ⅱ) complexes with hydrazone-based Schiff base ligands. Chinese Journal of Inorganic Chemistry, 2024, 40(7): 1409-1422. doi: 10.11862/CJIC.20240007

    16. [16]

      Zhengkun QINZicong PANHui TIANWanyi ZHANGMingxing SONG . A series of iridium(Ⅲ) complexes with fluorophenyl isoquinoline ligand and low-efficiency roll-off properties: A density functional theory study. Chinese Journal of Inorganic Chemistry, 2025, 41(6): 1235-1244. doi: 10.11862/CJIC.20240429

    17. [17]

      Xiuyun Wang Jiashuo Cheng Yiming Wang Haoyu Wu Yan Su Yuzhuo Gao Xiaoyu Liu Mingyu Zhao Chunyan Wang Miao Cui Wenfeng Jiang . Improvement of Sodium Ferric Ethylenediaminetetraacetate (NaFeEDTA) Iron Supplement Preparation Experiment. University Chemistry, 2024, 39(2): 340-346. doi: 10.3866/PKU.DXHX202308067

    18. [18]

      Fei Liu Dong-Yang Zhao Kai Sun Ting-Ting Yu Xin Wang . Comprehensive Experimental Design for Photochemical Synthesis, Analysis, and Characterization of Seleno-Containing Medium-Sized N-Heterocycles. University Chemistry, 2024, 39(3): 369-375. doi: 10.3866/PKU.DXHX202309047

    19. [19]

      Yongpo Zhang Xinfeng Li Yafei Song Mengyao Sun Congcong Yin Chunyan Gao Jinzhong Zhao . Synthesis of Chlorine-Bridged Binuclear Cu(I) Complexes Based on Conjugation-Driven Cu(II) Oxidized Secondary Amines. University Chemistry, 2024, 39(5): 44-51. doi: 10.3866/PKU.DXHX202309092

    20. [20]

      Zongsheng LIYichao WANGYujie WANGWenhao ZHUXiaoyao YINWudan YANGSongzhi ZHENGWeihai SUN . Preparation of CsPbBr3 perovskite solar cells via bottom interface modification with methylammonium chloride. Chinese Journal of Inorganic Chemistry, 2025, 41(9): 1805-1816. doi: 10.11862/CJIC.20250066

Metrics
  • PDF Downloads(92)
  • Abstract views(8074)
  • HTML views(2382)

通讯作者: 陈斌, bchen63@163.com
  • 1. 

    沈阳化工大学材料科学与工程学院 沈阳 110142

  1. 本站搜索
  2. 百度学术搜索
  3. 万方数据库搜索
  4. CNKI搜索
Address:Zhongguancun North First Street 2,100190 Beijing, PR China Tel: +86-010-82449177-888
Powered By info@rhhz.net

/

DownLoad:  Full-Size Img  PowerPoint
Return