Citation: Khan Ijaz, Li Hongfang, Wu Xue, Zhang Yong Jian. Asymmetric Decarboxylative Cycloaddition of Vinylethylene Carbonates with Aldehydes by Cooperative Catalysis of Palladium Complex and Chiral Squaramide[J]. Acta Chimica Sinica, ;2018, 76(11): 874-877. doi: 10.6023/A18070291 shu

Asymmetric Decarboxylative Cycloaddition of Vinylethylene Carbonates with Aldehydes by Cooperative Catalysis of Palladium Complex and Chiral Squaramide

  • Corresponding author: Zhang Yong Jian, yjian@sjtu.edu.cn
  • Received Date: 20 July 2018
    Available Online: 7 November 2018

    Fund Project: the National Natural Science Foundation of China 21572130Project supported by the National Natural Science Foundation of China (No. 21572130)

Figures(3)

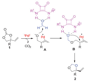
  • Chiral tertiary alcohols are ubiquitous in medicinally relevant agents and biologically active natural products. Although some catalytic asymmetric approaches for the synthesis of chiral tertiary alcohols have been reported, the development of efficient methods for enantioselective construction of tertiary alcohols is still highly appealing. Most recently, we have developed Pd-catalyzed asymmetric decarboxylative cycloaddition of vinylethylene carbonates (VECs) with formaldehyde to construct tertiary alcohol derivatives. The reaction was catalyzed by the chiral palladium complex with a chiral phosphoramidite to afford methylene acetal protected tertiary vinylglycols in high efficiency. Since the pioneer works by Gong and Takemoto respectively for the allylic substitution under cooperative catalysis of palladium complex and chiral phase-transfer catalyst, the asymmetric allylic substitution synergistically catalyzed by transition metal and organocatalyst has recently attracted a great deal of attention. However, there have been no reports on the combination of transition-metal and squaramide for the allylic alkylation. In this communication, we will report the asymmetric decarboxylative cycloaddition of VECs with formaldehyde under cooperative catalytic system of achiral palladium complex and chiral squaramide. With combination of palladium complex in situ generated from Pd2(dba)3·CHCl3 (2.5 mol%) and achiral phosphine ligand L4 (10 mol%) and chiral squaramide OC2 (25 mol%) as cooperative catalysts, the reaction of VECs with paraformaldehyde (10 equiv.) proceeded smoothly to give desired tertiary alcohol derivatives in good yields (51%~65%) with moderate enantioselectivities (62%~79% ee). The reaction conditions are also suitable for the reaction of VEC with electronic deficient arylaldehydes to afford desired products in high yields with good enantioselectivities, although the catalytic system is less effective for the control of the diastereoselectivities. Although the enantioselectivity of the reaction is not significantly high, we firstly demonstrated that the chiral induction for the cycloaddition reaction could be achieved under the cooperative catalytic system of achiral palladium complex and chiral squaramide. The detail reaction mechanism and stereochemical outcome are currently underway, and will be reported in due course.
  • 加载中
    1. [1]

      For reviews, see: (a) Shibasaki, M.; Kanai, M. Chem. Rev. 2008, 108, 2853. (b) Corey, E. J.; Guzman-Perez, A. Angew. Chem., Int. Ed. 1998, 37, 388.

    2. [2]

      For reviews, see: (a) Kolb, H. C.; Sharpless, K. B. In Transition Metals for Organic Synthesis, 2nd ed., Eds.: Beller, M.; Bolm, C., WILEY-VCH, Weinheim, 2004, p. 275. (b) Becker, H.; Sharpless, K. B. In Asymmetric Oxidation Reactions, Ed.: Katsuki, T., Oxford University Press, Oxford, 2001, p. 81.

    3. [3]

      For reviews, see: (a) Wong, O. A.; Shi, Y. Chem. Rev. 2008, 108, 3958. (b) Katsuki, T. Adv. Synth. Catal. 2002, 344, 131. (c) Johnson, R. A.; Sharpless, K. B. In Catalytic Asymmetric Synthesis, 2nd ed., Ed.: Ojima, I., WILEY-VCH, New York, 2000, p. 231.

    4. [4]

      For selected recent examples for catalytic asymmetric synthesis of tertiary alcohols, see: (a) Kim, J. H.; Čorić, I.; Palumbo, C.; List, B. J. Am. Chem. Soc. 2015, 137, 1778. (b) Shibatomi, K.; Kotozaki, M.; Sasaki, N.; Fujisawa, I.; Iwasa, S. Chem. - Eur. J. 2015, 21, 14095. (c) Pulis, A. P.; Aggarwal, V. K. J. Am. Chem. Soc. 2012, 123, 7570. (d) Russo, A.; Fusco, C. D.; Lattanzi, A. RSC Adv. 2012, 2, 385. (e) Gourdet, B.; Lam, H. W. Angew. Chem., Int. Ed. 2010, 49, 8733. (f) Schipper, D. J.; Rousseaux, S.; Fagnou, K. Angew. Chem., Int. Ed. 2009, 48, 8343. (g) You, Z.; Hoveyda, A. H.; Snapper, M. L. Angew. Chem., Int. Ed. 2009, 48, 547. (h) Checa, B.; Gálvez, E.; Parelló, R.; Sau, M.; Romea, P.; Urpí, F.; Font-Bardia, M.; Solans, X. Org. Lett. 2009, 11, 2193. (i) Stymiest, J. L.; Bagutski, V.; French, R. M.; Aggarwal, V. K. Nature 2008, 456, 778. (j) Jung, B.; Kang, S. H. Proc. Natl. Acad. Sci. U. S. A. 2007, 104, 1471. (k) Jung, B.; Hong, M. S.; Kang, S. H. Angew. Chem., Int. Ed. 2007, 46, 2616. (l) Zhang, K.; Peng, Q.; Hou, X.-L.; Wu, Y.-D. Angew. Chem., Int. Ed. 2008, 47, 1741. (m) Lalonde, M. P.; Chen, Y.; Jacobsen, E. N. Angew. Chem., Int. Ed. 2006, 45, 6366. (n) Teng, X.; Cefalo, D. R.; Schrock, R. R.; Hoveyda, A. H. J. Am. Chem. Soc. 2002, 124, 10779. (o) Deng, D.; Zhang, Y.; Sun, A.; Sai, K.; Hu, Y. Chin. J. Org. Chem. 2018, 38, 1185. (p) Liu, Y.-L.; Yin, X.-P.; Zhou, J. Chin. J. Chem. 2018, 36, 321.

    5. [5]

      (a) Hartwig, J. F. Allylic Substitution, University Science Books, Sausalito, CA, 2010. (b) Lu, Z.; Ma, S. Angew. Chem., Int. Ed. 2008, 47, 258. (c) Trost, B. M.; Crawley, M. L.; Chem. Rev. 2003, 103, 2921.

    6. [6]

      For Pd-catalyzed asymmetric intramolecular allylic etherification of phenol allylic carbonates for the synthesis of chiral chromans, see: (a) Trost, B. M.; Shen, H. C.; Dong, L.; Surivet, J.-P.; Sylvain, C. J. Am. Chem. Soc. 2004, 126, 11966. (b) Trost, B. M.; Shen, H. C.; Surivet, J.-P. J. Am. Chem. Soc. 2004, 126, 12565. (c) Trost, B. M.; Shen, H. C.; Dong, L.; Surivet, J.-P. J. Am. Chem. Soc. 2003, 125, 9276. (d) Trost, B. M.; Asakawa, N. Synthesis 1999, 1491. (e) Mizuguchi, E.; Achiwa, K. Chem. Pharm. Bull. 1997, 45, 1209.

    7. [7]

      For Pd-catalyzed asymmetric intermolecular allylic etherification of phenols to 3, 3-disubstituted allylic carbonates, see: (a) Sawayama, A. M.; Tanaka, H.; Wandless, T. J. J. Org. Chem. 2004, 69, 8810. (b) Trost, B. M.; Toste, F. D. J. Am. Chem. Soc. 1998, 120, 9074.

    8. [8]

      (a) Trost, B. M.; McEachern, E. J.; Toste, F. D. J. Am. Chem. Soc. 1998, 120, 12702. (b) Trost, B. M.; Brown, B. S.; McEachern, E. J.; Kuhn, O. Chem. - Eur. J. 2003, 9, 4442.

    9. [9]

      (a) Khan, I.; Zhao, C.; Zhang, Y. J. Chem. Commun. 2018, 54, 4708. (b) Khan, A.; Khan, S.; Khan, I.; Zhao, C.; Mao, Y.; Chen, Y.; Zhang, Y. J. J. Am. Chem. Soc. 2017, 139, 10733. (c) Yang, L.; Khan, A.; Zheng, R.; Jin, L. Y.; Zhang, Y. J. Org. Lett. 2015, 17, 6230. (d) Khan, A.; Zhang, Y. J. Synlett 2015, 26, 853. (e) Khan, A.; Xing, J.; Zhao, J.; Kan, Y.; Zhang, W.; Zhang, Y. J. Chem. - Eur. J. 2015, 21, 120. (f) Khan, A.; Zheng, R.; Kan, Y.; Ye, J.; Xing, J.; Zhang, Y. J. Angew. Chem., Int. Ed. 2014, 53, 6439. (g) Khan, A.; Yang, L.; Xu, J.; Jin, L. Y.; Zhang, Y. J. Angew. Chem., Int. Ed. 2014, 53, 11257.

    10. [10]

    11. [11]

      Chen, G.; Deng, Y.; Gong, L.; Mi, A.; Cui, X.; Jiang, Y.; Choi, M. C. K.; Chan, A. S. C. Tetrahedron: Asymmetry 2001, 12, 1567.  doi: 10.1016/S0957-4166(01)00276-2

    12. [12]

      Nakoji, M.; Kanayama, T.; Okino, T.; Takemoto, Y. Org. Lett. 2001, 3, 3329.  doi: 10.1021/ol016567h

    13. [13]

    14. [14]

      (a) Konishi, H.; Lam, T. Y.; Malerich, J. P.; Rawal, V. H. Org. Lett. 2010, 12, 2028. (b) Zhu, Y.; Malerich, J. P.; Rawal, V. H. Angew. Chem., Int. Ed. 2010, 49, 153.

  • 加载中
    1. [1]

      Shihui Shi Haoyu Li Shaojie Han Yifan Yao Siqi Liu . Regioselectively Synthesis of Halogenated Arenes via Self-Assembly and Synergistic Catalysis Strategy. University Chemistry, 2024, 39(5): 336-344. doi: 10.3866/PKU.DXHX202312002

    2. [2]

      Xiyuan Zhang Rui Dong Yang Yang Jiapeng Ding Zhiwei Miao . Palladium-Catalyzed Tandem Cyclization of 4-Vinylbenzoxazinone and Indene-2-carbaldehyde: A Comprehensive Organic Chemistry Experiment. University Chemistry, 2025, 40(9): 361-367. doi: 10.12461/PKU.DXHX202410062

    3. [3]

      Anqun LAIQiaoyu WUQingqing LIANGQiyong LIGuowen DONGYongjie DINGJia′nan CHENQing YANZhonghua PANWangchuan XIAO . Electrocatalytic water oxidation properties of Nd-Co polynuclear complexes. Chinese Journal of Inorganic Chemistry, 2025, 41(12): 2527-2535. doi: 10.11862/CJIC.20250151

    4. [4]

      Qiangqiang SUNPengcheng ZHAORuoyu WUBaoyue CAO . Multistage microporous bifunctional catalyst constructed by P-doped nickel-based sulfide ultra-thin nanosheets for energy-efficient hydrogen production from water electrolysis. Chinese Journal of Inorganic Chemistry, 2024, 40(6): 1151-1161. doi: 10.11862/CJIC.20230454

    5. [5]

      Ke QIAOYanlin LIShengli HUANGGuoyu YANG . Advancements in asymmetric catalysis employing chiral iridium (ruthenium) complexes. Chinese Journal of Inorganic Chemistry, 2024, 40(11): 2091-2104. doi: 10.11862/CJIC.20240265

    6. [6]

      Renxiao Liang Zhe Zhong Zhangling Jin Lijuan Shi Yixia Jia . A Palladium/Chiral Phosphoric Acid Relay Catalysis for the One-Pot Three-Step Synthesis of Chiral Tetrahydroquinoline. University Chemistry, 2024, 39(5): 209-217. doi: 10.3866/PKU.DXHX202311024

    7. [7]

      Dan Liu . 可见光-有机小分子协同催化的不对称自由基反应研究进展. University Chemistry, 2025, 40(6): 118-128. doi: 10.12461/PKU.DXHX202408101

    8. [8]

      Hong Lu Yidie Zhai Xingxing Cheng Yujia Gao Qing Wei Hao Wei . Advancements and Expansions in the Proline-Catalyzed Asymmetric Aldol Reaction. University Chemistry, 2024, 39(5): 154-162. doi: 10.3866/PKU.DXHX202310074

    9. [9]

      Dongheng WANGSi LIShuangquan ZANG . Construction of chiral alkynyl silver chains and modulation of chiral optical properties. Chinese Journal of Inorganic Chemistry, 2025, 41(1): 131-140. doi: 10.11862/CJIC.20240379

    10. [10]

      Tingyu Zhu Hui Zhang Wenwei Zhang . Exploration and Practice of Ideological and Political Education in the Course of Experiments on Chemical Functional Molecules: Synthesis and Catalytic Performance Study of Chiral Mn(III)Cl-Salen Complex. University Chemistry, 2024, 39(4): 75-80. doi: 10.3866/PKU.DXHX202311011

    11. [11]

      Yan Li Xinze Wang Xue Yao Shouyun Yu . 基于激发态手性铜催化的烯烃EZ异构的动力学拆分——推荐一个本科生综合化学实验. University Chemistry, 2024, 39(5): 1-10. doi: 10.3866/PKU.DXHX202309053

    12. [12]

      Jin Tong Shuyan Yu . Crystal Engineering for Supramolecular Chirality. University Chemistry, 2024, 39(3): 86-93. doi: 10.3866/PKU.DXHX202308113

    13. [13]

      Qiuting Zhang Fan Wu Jin Liu Zian Lin . Chromatographic Stationary Phase and Chiral Separation Using Frame Materials. University Chemistry, 2025, 40(4): 291-298. doi: 10.12461/PKU.DXHX202405174

    14. [14]

      Conghao Shi Ranran Wang Juli Jiang Leyong Wang . The Illustration on Stereoisomers of Macrocycles Containing Multiple Chiral Centers via Tröger Base-based Macrocycles. University Chemistry, 2024, 39(7): 394-397. doi: 10.3866/PKU.DXHX202311034

    15. [15]

      Haiying Wang Andrew C.-H. Sue . How to Visually Identify Homochiral Crystals. University Chemistry, 2024, 39(3): 78-85. doi: 10.3866/PKU.DXHX202309004

    16. [16]

      Keying Qu Jie Li Ziqiu Lai Kai Chen . Unveiling the Mystery of Chirality from Tartaric Acid. University Chemistry, 2024, 39(9): 369-378. doi: 10.12461/PKU.DXHX202310091

    17. [17]

      Guilan He Yaofeng Yuan . 手性二茂铁双膦配体Xyliphos的合成及应用. University Chemistry, 2025, 40(8): 130-137. doi: 10.12461/PKU.DXHX202409122

    18. [18]

      Xilin Zhao Xingyu Tu Zongxuan Li Rui Dong Bo Jiang Zhiwei Miao . Research Progress in Enantioselective Synthesis of Axial Chiral Compounds. University Chemistry, 2024, 39(11): 158-173. doi: 10.12461/PKU.DXHX202403106

    19. [19]

      Ruiying WANGHui WANGFenglan CHAIZhinan ZUOBenlai WU . Three-dimensional homochiral Eu(Ⅲ) coordination polymer and its amino acid configuration recognition. Chinese Journal of Inorganic Chemistry, 2025, 41(5): 877-884. doi: 10.11862/CJIC.20250052

    20. [20]

      Yue Zhao Yanfei Li Tao Xiong . Copper Hydride-Catalyzed Nucleophilic Additions of Unsaturated Hydrocarbons to Aldehydes and Ketones. University Chemistry, 2024, 39(4): 280-285. doi: 10.3866/PKU.DXHX202309001

Metrics
  • PDF Downloads(15)
  • Abstract views(1461)
  • HTML views(202)

通讯作者: 陈斌, bchen63@163.com
  • 1. 

    沈阳化工大学材料科学与工程学院 沈阳 110142

  1. 本站搜索
  2. 百度学术搜索
  3. 万方数据库搜索
  4. CNKI搜索
Address:Zhongguancun North First Street 2,100190 Beijing, PR China Tel: +86-010-82449177-888
Powered By info@rhhz.net

/

DownLoad:  Full-Size Img  PowerPoint
Return