Citation: Maryam Keram, Ma Haiyan. Non-symmetric β-Diketiminate Magnesium Complexes as Initiators for Ring-Opening Polymerization/Copolymerization of Lactide, ε-Caprolactone[J]. Acta Chimica Sinica, ;2018, 76(2): 121-132. doi: 10.6023/A17090442 shu

Non-symmetric β-Diketiminate Magnesium Complexes as Initiators for Ring-Opening Polymerization/Copolymerization of Lactide, ε-Caprolactone

  • Corresponding author: Ma Haiyan, haiyanma@ecust.edu.cn
  • Received Date: 28 September 2017
    Available Online: 2 February 2018

    Fund Project: the National Natural Science Foundation of China 21474028the National Natural Science Foundation of China 21074032Project supported by the National Natural Science Foundation of China (Nos. 21074032, 21474028)

Figures(7)

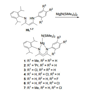
  • Magnesium silylamido complexes 1~7 bearing non-symmetric β-diketiminate ligands were synthesized via the reactions of corresponding proligands HL1~7 with one equivalent of Mg[N(SiMe3)2]2 at 80℃ in toluene. All complexes were characterized by 1H NMR, 13C NMR and elemental analysis. The monomeric nature of complexes 1 and 5 in the solid state was further confirmed by X-ray diffraction studies. In both complexes, the metal center is tri-coordinated by the β-diketiminate ligand and one silylamido group. The very close bond lengths of two Mg-N bonds as well as close C-N distances of the chelate ring indicate significant delocalization. The apparent deviation of the magnesium center from the ligand backbone plane suggests a certain ηn-coordination nature of the ligand to the metal center. These magnesium silylamido complexes showed good catalytic activities for the ring-opening polymerization of rac-lactide under ambient conditions, and could polymerize 300 equivalents of rac-lactide to high molecular weight polymers within short time in THF. The solvent effect played a critical role during the polymerization process. All complexes showed higher catalytic activity in THF than in toluene. Taking complex 2 as an example, a monomer conversion of 96% could be achieved within 10 min in THF, whereas a conversion of 80% could only be achieved within extended polymerization time of 210 min in toluene (Table 1, Entries 6 and 9, [LA]0/[Mg]0=100). Upon the addition of isopropanol, the activities of magnesium silylamido complexes 1~7 increased significantly. For instance, when the polymerization runs were carried in THF in the presence of isopropanol, the reaction time could be reduced to 10~20 min even with a high molar ratio of[LA]0/[Mg]0=300. Moreover, the type and location of the substituent(s) on the N-aryl group of the β-diketiminate ligand exerts a significant influence on the catalytic activity of the corresponding complex toward the polymerization of rac-lactide. In the absence of excess isopropanol, the introduction of sterically demanding substituent to the ortho-position of N-aryl ring leads to a decrease of the polymerization activity; but the influence of electron-withdrawing group is different in different solvents (toluene or THF). These magnesium complexes could produce heterotactic polymers in THF (Pr=0.64~0.80) and atactic polymers in toluene (Pr=0.45~0.58). Magnesium complexes 1~7 also displayed high catalytic activities for the ring-opening polymerization (ROP) of ε-caprolactone, among them complexes bearing β-diketiminate ligand with bulky ortho-substituted N-aryl rings showed higher activities. Generally, the ROPs of ε-caprolactone initiated by these magnesium silylamido complexes were not well-controlled, giving moderately distributed polymers (Mw/Mn=1.37~1.67). Additionally, diblock copolymers of L-lactide and ε-caprolactone were obtained by using 2 as the initiator via both sequential feeding of two monomers (in either order) and the one-pot method. The formation of diblock copolymers were verified by 1H NMR, 13C NMR, DSC and GPC analysis.
  • 加载中
    1. [1]

      Mecking, S. Angew. Chem., Int. Ed. 2004, 43, 1078.  doi: 10.1002/(ISSN)1521-3773

    2. [2]

      Tsuji, H. Macromol. Biosci. 2005, 5, 569.  doi: 10.1002/(ISSN)1616-5195

    3. [3]

      Fukushima, K.; Kimura, Y. Polym. Int. 2006, 55, 626.  doi: 10.1002/(ISSN)1097-0126

    4. [4]

      Woodruff, M. A.; Hutmacher, D. W. Prog. Polym. Sci. 2010, 35(10), 1217.  doi: 10.1016/j.progpolymsci.2010.04.002

    5. [5]

      Ye, W.-P.; Chien, Y. W. J. Control. Release 1996, 41(3), 259.  doi: 10.1016/0168-3659(96)01330-2

    6. [6]

      Huang, M.-H.; Li, S.; Vert, M. Polymer 2004, 45(26), 8675.  doi: 10.1016/j.polymer.2004.10.054

    7. [7]

      Guo, B.; Glavas, L.; Albertsson, A.-C. Prog. Polym. Sci. 2013, 38(9), 1263.  doi: 10.1016/j.progpolymsci.2013.06.003

    8. [8]

      Dechy-Cabaret, O.; Martin-Vaca, B.; Bourissou, D. Chem. Rev. 2004, 104, 6147.  doi: 10.1021/cr040002s

    9. [9]

      Platel, R. H.; Hodgson, L. M.; Williams, C. K. Polym. Rev. 2008, 48, 11.  doi: 10.1080/15583720701834166

    10. [10]

      Thomas, C. M. Chem. Soc. Rev. 2010, 39, 165.  doi: 10.1039/B810065A

    11. [11]

      Stanford, M. J.; Dove, A. P. Chem. Soc. Rev. 2010, 39, 486.  doi: 10.1039/B815104K

    12. [12]

      Dijkstra, P. J.; Du, H.; Feijen, J. Polym. Chem. 2011, 2, 520.  doi: 10.1039/C0PY00204F

    13. [13]

      Wei, Y.; Wang, S.; Zhou, S. Dalton Trans. 2016, 45, 4471.  doi: 10.1039/C5DT04240B

    14. [14]

      Pappalardo, D.; Annunziata, L.; Pellecchia, C. Macromolecules 2009, 42, 6056.  doi: 10.1021/ma9010439

    15. [15]

      Nomura, N.; Akita, A.; Ishii, R.; Mizuno, M. J. Am. Chem. Soc. 2010, 132, 1750.  doi: 10.1021/ja9089395

    16. [16]

      Qian, F.; Liu, K.; Ma, H. Chin. J. Catal. 2011, 32, 189 (in Chinese).
       

    17. [17]

      Wang, Y.; Ma, H. Chem. Commun. 2012, 48, 6729.  doi: 10.1039/c2cc31716h

    18. [18]

      Li, G.; Lamberti, M.; Pappalardo, D.; Pellecchia, C. Macromolecules 2012, 45, 8614.  doi: 10.1021/ma3019848

    19. [19]

      Cross, E. D.; Allan, L. E. N.; Decken, A.; Shaver, M. P. J. Polym. Sci. Part A: Polym. Chem. 2013, 51, 1137.  doi: 10.1002/pola.26476

    20. [20]

      Liu, Y.; Dong, W.-S. Liu, J.-Y.; Li, Y.-S. Dalton Trans. 2014, 43, 2244.  doi: 10.1039/C3DT52712C

    21. [21]

      Kan, C.; Ma, H. RSC Adv. 2016, 6, 47402.  doi: 10.1039/C6RA07374C

    22. [22]

      Meléndez, D. O.; Castro-Osma, J. A.; Lara-Sánchez, A.; Rojas, R. S.; Otero, A. J. Polym. Sci., Part A: Polym. Chem. 2017, 55, 2397.  doi: 10.1002/pola.v55.14

    23. [23]

      Darensbourg, D. J.; Karroonnirum, O. Macromolecules 2010, 43, 8880.  doi: 10.1021/ma101784y

    24. [24]

      Wei, Z.; Liu, L.; Wang, P.; Gao, J.; Qi, M. Acta Polym. Sinica 2008, 10, 947 (in Chinese).  doi: 10.3321/j.issn:1000-3304.2008.10.004

    25. [25]

      Pappuru, S.; Chakraborty, D.; Sundar, J. V.; Roymuhury, S. K.; Ramkumar, V.; Subramanian, V.; Chand, D. K. Polymer 2016, 102, 231.  doi: 10.1016/j.polymer.2016.08.007

    26. [26]

      Olsén, P.; Borke, T.; Odelius, K.; Albertsson, A.-C. Biomacromolecules 2013, 14, 2883.  doi: 10.1021/bm400733e

    27. [27]

      Radano, C. P.; Baker, G. L.; Smith, M. R. Ⅲ. J. Am. Chem. Soc. 2000, 122, 1552.  doi: 10.1021/ja9930519

    28. [28]

      Zhong, Z.-Y.; Dijkstra, P. J.; Feijen, J. Angew. Chem., Int. Ed. 2002, 41, 4510.  doi: 10.1002/1521-3773(20021202)41:23<4510::AID-ANIE4510>3.0.CO;2-L

    29. [29]

      Zhong, Z.-Y.; Dijkstra P. J.; Feijen, J. J. Am. Chem. Soc. 2003, 125, 11291.  doi: 10.1021/ja0347585

    30. [30]

      Nomura, N.; Ishii, R.; Akakura, M.; Aoi, K. J. Am. Chem. Soc. 2002, 124, 5938.  doi: 10.1021/ja0175789

    31. [31]

      Ovitt, T. M.; Coates, G. W. J. Am. Chem. Soc. 2002, 124, 1316.  doi: 10.1021/ja012052+

    32. [32]

      Tang, Z.-H.; Chen, X.-S.; Pang, X.; Yang, Y.-K.; Zhang, X.-F.; Jing, X.-B. Biomacromolecules 2004, 5, 965.  doi: 10.1021/bm034467o

    33. [33]

      Hormnientry, P.; Marshall, E. L.; Gibson, V. C.; White, A. J. P.; Williams, D. J. J. Am. Chem. Soc. 2004, 126, 2688.  doi: 10.1021/ja038757o

    34. [34]

      Dagorne, S.; Le-Bideau, F.; Welter, R.; Bellemin-Laponnaz, S.; Maisse-Francoise, A. Chem.-Eur. J. 2007, 13, 3202.  doi: 10.1002/(ISSN)1521-3765

    35. [35]

      Nomura, N.; Ishii, R.; Yamamoto, Y.; Kondo, T. Chem.-Eur. J. 2007, 13, 4433.  doi: 10.1002/(ISSN)1521-3765

    36. [36]

      Du, H.; Pang, X.; Yu, H.; Zhuang, X.; Chen, X.; Cui, D.; Wang, X.; Jing, X. Macromolecules 2007, 40, 1904.  doi: 10.1021/ma062194u

    37. [37]

      Gong, S.; Ma, H. Dalton Trans. 2008, 25, 3345.
       

    38. [38]

      Qian, F.; Liu, K.-Y.; Ma, H. Dalton Trans. 2010, 39, 8071.  doi: 10.1039/c0dt00272k

    39. [39]

      Chen, H.-L.; Dutta, S.; Huang, P.-H.; Lin, C.-C. Organometallics 2012, 31, 2016.  doi: 10.1021/om201281w

    40. [40]

      Hild, F.; Neehaul, N.; Bier, F.; Wirsum, M.; Gourlaouen, C.; Dagorne, S. Organometallics 2013, 32, 587.  doi: 10.1021/om3011068

    41. [41]

      Altaf, C. T.; Wang, H.; Keram, M.; Yang, Y.; Ma, H. Polyhedron 2014, 81, 11.  doi: 10.1016/j.poly.2014.05.055

    42. [42]

      Pilone, A.; Press, K.; Goldberg, I.; Kol, M.; Mazzeo, M.; Lamberti, M. J. Am. Chem. Soc. 2014, 136, 2940.  doi: 10.1021/ja412798x

    43. [43]

      Qu, Z.; Li, X.; Pang, X.; Duan, R.; Gao, B.; Chen, X. Chem. J. Chin. Univ. 2014, 35(3), 626 (in Chinese).
       

    44. [44]

      Marlier, E. E.; Macaranas, J. A.; Marell, D. J.; Dunbar, C. R.; Johnson, M. A.; DePorre, Y.; Miranda, M. O.; Neisen, B. D.; Cramer, C. J.; Hillmyer, M. A.; Tolman, W. B. ACS Catal. 2016, 6, 1215.  doi: 10.1021/acscatal.5b02607

    45. [45]

      Xi, Y.; Rajendran, N. M.; Zhang, W.-J.; Sun, Y.; Lei, M.; Sun, W.-H. ChemistrySelect 2016, 1, 5660.  doi: 10.1002/slct.201601517

    46. [46]

      Rajendran, N. M.; Xi, Y.; Zhang, W.-J.; Braunstein, P.; Liang, T. L.; Sun, W.-H. Inorg. Chem. Front. 2016, 3, 1317.  doi: 10.1039/C6QI00177G

    47. [47]

      Jia, B.; Hao, J.-S.; Tong, H.-B.; Wei, X.-H.; Zhou, M.-S.; Liu, D.-S. Chin. J. Inorg. Chem. 2017, 33(10), 1876.  doi: 10.11862/CJIC.2017.221

    48. [48]

      Cheng, M.; Attygalle, A. B.; Lobkovsky, E. B.; Coates, G. W. J. Am. Chem. Soc. 1999, 121, 11583.  doi: 10.1021/ja992678o

    49. [49]

      Chamberlain, B.; Cheng, M.; Moore, D.; Ovitt, T.; Lobkovsky, E.; Coates. G. J. Am. Chem. Soc. 2001, 123, 3229.  doi: 10.1021/ja003851f

    50. [50]

      Chisholm, M. H.; Gallucci, J.; Phomphrai, K. Inorg. Chem. 2002, 41, 2785.  doi: 10.1021/ic020148e

    51. [51]

      Williams, C. K.; Breyfogle, L. E.; Choi, S. K.; Nam, W.; Young, V. G.; Hillmyer, M. A.; Tolman, W. B. J. Am. Chem. Soc. 2003, 125, 11350.  doi: 10.1021/ja0359512

    52. [52]

      Dove, A. P.; Gibson, V. C.; Marshall, E. L.; White, A. J. P.; Williams, D. J. Dalton Trans. 2004, 570.
       

    53. [53]

      Chisholm, M. H.; Gallucci, J. C.; Phomphrai, K. Inorg. Chem. 2005, 44, 8004.  doi: 10.1021/ic048363d

    54. [54]

      Hua, J.; Yang, J.; Hu, Y.; Wei, J.; Li, S. Acta Chim. Sinica 2008, 66, 2730 (in Chinese).  doi: 10.3321/j.issn:0567-7351.2008.24.012
       

    55. [55]

      Huang, Y.; Hung, W.-C.; Liao, M.-Y.; Tsai, T.-E.; Peng, Y.-L.; Lin, C.-C. J. Polym. Sci., Part A, Polym. Chem. 2009, 47, 2318.  doi: 10.1002/pola.v47:9

    56. [56]

      Xu, X.; Chen, Y.; Zou, G.; Ma, Z.; Li, G. J. Organomet. Chem. 2010, 695, 1155.  doi: 10.1016/j.jorganchem.2010.01.023

    57. [57]

      Wang, L.; Ma, H. Dalton Trans. 2010, 39, 7897.  doi: 10.1039/c0dt00250j

    58. [58]

      Song, S.; Zhang, X.; Ma, H.; Yang, Y. Dalton Trans. 2012, 41, 3266.  doi: 10.1039/c2dt11767c

    59. [59]

      Chuang, H.-J.; Chen, H.-L.; Huang, B.-H.; Tsai, T.-E.; Huang, P.-L.; Liao, T.-T.; Lin, C.-C. J. Polym. Sci., Part A, Polym. Chem. 2013, 51, 1185.  doi: 10.1002/pola.26486

    60. [60]

      Whitehorne, T. J. J.; Vabre, B.; Schaper, F. Dalton Trans. 2014, 43, 6339.  doi: 10.1039/C3DT53278J

    61. [61]

      Wang, H.; Ma, H. Chem. Commun. 2013, 49, 8686.  doi: 10.1039/c3cc44980g

    62. [62]

      Wang, H.; Yang, Y.; Ma, H. Macromolecules 2014, 47, 7750.  doi: 10.1021/ma501896r

    63. [63]

      Mou, Z.; Liu, B.; Wang, M.; Xie, H.; Li, P.; Li, L.; Li, S.; Cui, D. Chem. Commun. 2014, 50, 11411.  doi: 10.1039/C4CC05033A

    64. [64]

      Abbina, S.; Du, G. ACS Macro Lett. 2014, 3, 689.  doi: 10.1021/mz5002959

    65. [65]

      Yang, Y.; Wang, H.; Ma, H. Inorg. Chem. 2015, 54, 5839.  doi: 10.1021/acs.inorgchem.5b00558

    66. [66]

      Wang, H.; Yang, Y.; Ma, H. Inorg. Chem. 2016, 55, 7356.  doi: 10.1021/acs.inorgchem.6b00378

    67. [67]

      Rosen, T.; Popowski, Y.; Goldberg, I.; Kol, M. Chem.-Eur. J. 2016, 22, 11533.  doi: 10.1002/chem.201601979

    68. [68]

      Huang, M.; Ma, H. Dalton Trans. 2015, 44, 12420.  doi: 10.1039/C5DT00158G

    69. [69]

      Huang, M.; Ma, H. Eur. J. Inorg. Chem. 2016, 3791.

    70. [70]

      Thevenon, A.; Romain, C.; Bennington, M. S.; White, A. J. P.; Davidson, H. J.; Brooker, S.; Williams, C. K. Angew. Chem., Int. Ed. 2016, 55, 8680.  doi: 10.1002/anie.201602930

    71. [71]

      Akpan, E. D.; Ojwach, S. O.; Omondi, B.; Nyamoria, V. O. New J. Chem. 2016, 40, 3499.  doi: 10.1039/C5NJ03159A

    72. [72]

      Keram, M.; Ma, H. Appl. Organomet. Chem. 2017, 3893.
       

    73. [73]

      Jędrzkiewicz, D.; Adamus, G.; Kwiecień, M.; John, Ł.; Ejfler. J. Inorg. Chem. 2017, 56, 1349.  doi: 10.1021/acs.inorgchem.6b02439

    74. [74]

      Bai, J.; Xiao, X.; Zhang, Y.; Chao, J.; Chen, X. Dalton Trans. 2017, 46, 9846.  doi: 10.1039/C7DT01877K

    75. [75]

      Wang, L.; Ma, H. Macromolecules 2010, 43, 6535.  doi: 10.1021/ma101263g

    76. [76]

      Chisholm, M.; Choojun, K.; Gallucci, J.; Wambua, P. Chem. Sci. 2012, 3, 3445.  doi: 10.1039/c2sc21017g

    77. [77]

      Wang, Y.; Zhao, W.; Liu, X.; Cui, D.; Chen, Y.-X. E. Macromolecules 2012, 45, 6957.  doi: 10.1021/ma3007625

    78. [78]

      Song, S.; Ma, H.; Yang, Y. Dalton Trans. 2013, 42, 14200.  doi: 10.1039/c3dt51344k

    79. [79]

      Xie, H.; Mou, Z.; Liu, B.; Li, P.; Rong, W.; Li, S.; Cui, D. Organometallics 2014, 33, 722.  doi: 10.1021/om401056s

    80. [80]

      Walton, M. J.; Lancaster, S. J.; Redshaw, C. ChemCatChem 2014, 6, 1892.  doi: 10.1002/cctc.v6.7

    81. [81]

      Yang, Y.; Wang, H.; Ma, H. Polyhedron 2016, 117, 569.  doi: 10.1016/j.poly.2016.06.036

    82. [82]

      Wang, H.; Guo, J.; Yang, Y.; Ma, H. Dalton Trans. 2016, 45, 10942.  doi: 10.1039/C6DT01126H

    83. [83]

      Rosen, T.; Goldberg, I.; Venditto, V.; Kol, M. J. Am. Chem. Soc. 2016, 138, 12041.  doi: 10.1021/jacs.6b07287

    84. [84]

      Rosen, T.; Goldberg, I.; Navarra, W.; Venditto, V.; Kol, M. Chem. Sci. 2017, 8, 5476.  doi: 10.1039/C7SC01514C

    85. [85]

      Chisholm, M. H.; Gallucci, J. C.; Phomphrai, K. Chem. Commun. 2003, 48.

    86. [86]

      Chisholm, M. H.; Gallucci, J. C.; Phomphrai, K. Inorg. Chem. 2004, 43, 6717.  doi: 10.1021/ic0490730

    87. [87]

      Darensbourg, D. J.; Choi, W.; Karroonnirun, O.; Bhuvanesh, N. Macromolecules 2008, 41, 3493.  doi: 10.1021/ma800078t

    88. [88]

      Chen, H.-Y.; Tang, H.-Y.; Lin, C.-C. Polymer 2007, 48, 2257.  doi: 10.1016/j.polymer.2007.02.030

    89. [89]

      Bhattacharjee, J.; Harinath, A.; Nayek, H. P.; Sarkar, A.; Panda, T. K. Chem.-Eur. J. 2017, 24, 9319.
       

    90. [90]

      Douglas, A. F.; Patrick, B. O.; Mehrkhodavandi, P. Angew. Chem., Int. Ed. 2008, 120, 2322.  doi: 10.1002/(ISSN)1521-3757

    91. [91]

      Yu, I.; Acosta-Ramírez, A.; Mehrkhodavandi, P. J. Am. Chem. Soc. 2012, 134, 12758.  doi: 10.1021/ja3048046

    92. [92]

      Aluthge, D. C.; Patrick, B. O.; Mehrkhodavandi, P. Chem. Commun. 2013, 49, 4295.  doi: 10.1039/C2CC33519K

    93. [93]

      Aluthge, D. C.; Ahn, J. M.; Mehrkhodavandi, P. Chem. Sci. 2015, 6, 5284.  doi: 10.1039/C5SC01584G

    94. [94]

      Myers, D.; White, A. J. P.; Forsyth, C. M.; Bown, M.; Williams, C. K. Angew. Chem., Int. Ed. 2017, 56, 5277.  doi: 10.1002/anie.201701745

    95. [95]

      Ebrahimi, T.; Aluthge, D. C.; Patrick, B. O.; Hatzikiriakos, S. G.; Mehrkhodavandi, P. ACS Catal. 2017, 7, 6413.  doi: 10.1021/acscatal.7b01939

    96. [96]

      Zhang, J.; Xiong, J.; Sun, Y.; Tang, N.; Wu, J. Macromolecules 2014, 47, 7789.  doi: 10.1021/ma502000y

    97. [97]

      Dai, Z.; Sun, Y.; Xiong, J.; Pan, X.; Wu, J. ACS Macro Lett. 2015, 4, 556.  doi: 10.1021/acsmacrolett.5b00209

    98. [98]

      Sun, Y.; Xiong, J.; Dai, Z.; Pan, X.; Tang, N.; Wu, J. Inorg. Chem. 2016, 55, 136.  doi: 10.1021/acs.inorgchem.5b02709

    99. [99]

      Chen, C.; Cui, Y.; Mao, X.; Pan, X.; Wu, J. Macromolecules 2017, 50, 83.  doi: 10.1021/acs.macromol.6b02271

    100. [100]

      Romain, C.; Brelot, L.; Bellemin-Laponnaz, S.; Dagorne, S. Organometallics 2010, 29, 1191.
       

    101. [101]

      Whitelaw, E.; Jones, M.; Mahon, M. Inorg. Chem. 2010, 49, 7176.  doi: 10.1021/ic1010488

    102. [102]

      Whitelaw, E.; Davidson, M.; Jones, M. Chem. Commun. 2011, 47, 10004.  doi: 10.1039/c1cc13910j

    103. [103]

      Stopper, A.; Okuda, J.; Kol, M. Macromolecules 2012, 45, 698.  doi: 10.1021/ma2023364

    104. [104]

      Jones, M. D.; Hancock, S. L.; McKeown, P.; Schafer, P. M.; Buchard, A.; Thomas, L. H.; Mahon, M. F.; Lowe, J. P. Chem. Commun. 2014, 50, 15967.  doi: 10.1039/C4CC07871C

    105. [105]

      Mandal, M.; Chakraborty, D.; Ramkumar, V. RSC Adv. 2015, 5, 28536.  doi: 10.1039/C4RA17201A

    106. [106]

      Jones, M. D.; Brady, L.; McKeown, P.; Buchard, A.; Schafer, P. M.; Thomas, L. H.; Mahon, M. F.; Woodman, T. J.; Lowe, J. P. Chem. Sci. 2015, 6, 5034.  doi: 10.1039/C5SC01819F

    107. [107]

      Pappuru, S.; Chakraborty, D.; Ramkumar, V.; Chand, D. K. Polymer 2017, 123, 267.  doi: 10.1016/j.polymer.2017.06.073

    108. [108]

      Cai, C.-X.; Amgoune, A.; Lehmann, C. W.; Carpentier, J.-F. Chem. Commun. 2004, 330.
       

    109. [109]

      Ma, H.; Spaniol, T.; Okuda, J. Angew. Chem., Int. Ed. 2006, 45, 7818.  doi: 10.1002/(ISSN)1521-3773

    110. [110]

      Amgoune, A.; Thomas, C. M.; Roisnel, T.; Carpentier, J.-F. Chem.-Eur. J. 2006, 12, 169.  doi: 10.1002/(ISSN)1521-3765

    111. [111]

      Liu, X.; Shang, X.; Tang, T.; Cui, D.; Chen, X.; Jing, X. Organometallics 2007, 26, 2747.  doi: 10.1021/om0700359

    112. [112]

      Arnold, P. L.; Buffet, J. C.; Blaudeck, R.; Sujecki, S.; Blake, A. J.; Wilson, C. Angew. Chem., Int. Ed. 2008, 47, 6033.  doi: 10.1002/anie.v47:32

    113. [113]

      Zhang, Z.; Xu, X.; Sun, S.; Yao, Y.; Zhang, Y.; Shen, Q. Chem. Commun. 2009, 7414.
       

    114. [114]

      Dyer, H. E.; Huijser, S.; Susperregui, N.; Bonnet, F.; Schwarz, A. D.; Duchateau, R.; Maron, L.; Mountford, P. Organometallics 2010, 29, 3602.  doi: 10.1021/om100513j

    115. [115]

      Clark, L.; Cushion, M.; Dyer, H.; Schwarz, A.; Duchateau, R.; Mountford, P. Chem. Commun. 2010, 46, 273.  doi: 10.1039/B919162C

    116. [116]

      Bing, X.; Yao, Y.-M. Chin. J. Inorg. Chem. 2011, 27, 1805 (in Chinese).
       

    117. [117]

      Yang, S.; Du, Z.; Zhang, Y.; Shen, Q. Chem. Commun. 2012, 48, 9780.  doi: 10.1039/c2cc34451c

    118. [118]

      Cao, T.-P.-A.; Buchard, A.; Goff, X.-F.-L.; Auffrant, A.; Williams, C. K. Inorg. Chem. 2012, 51, 2157.  doi: 10.1021/ic202015z

    119. [119]

      Bakewell, C.; Cao, T.-P.-A.; Long, N.-J.; Goff, X.-F.-L.; Auffrant, A.; Williams, C. K. J. Am. Chem. Soc. 2012, 134, 20577.  doi: 10.1021/ja310003v

    120. [120]

      Bie, Z.-Y.; Zheng, H.; Pan, Y.-W.; Ye, Y. J. Zhejiang Univ. (Sci. Ed.) 2013, 40(6), 650 (in Chinese).
       

    121. [121]

      Bakewell, C.; White, A. J. P.; Long, N.-J.; Williams, C. K. Angew. Chem., Int. Ed. 2014, 53, 9226.  doi: 10.1002/anie.201403643

    122. [122]

      Bakewell, C.; White, A. J. P.; Long, N.-J.; Williams, C. K. Inorg. Chem. 2015, 54, 2204.  doi: 10.1021/ic5027015

    123. [123]

      Xu, T.-Q.; Yang, G.-W.; Liu, C.; Lu, X.-B. Macromolecules 2017, 50, 515.  doi: 10.1021/acs.macromol.6b02439

    124. [124]

      Wei, Z.-Y.; Liu, L.; Yu, F.-Y.; Wang, P.; Qu, C.; Qi, M. Polym. Bull. 2008, 61, 407.  doi: 10.1007/s00289-008-0964-0

    125. [125]

      Wang, S.; Lu, L.; Gruetzmacher, J.; Currier, B.; Yaszemski, M. Macromolecules 2005, 38, 7358.  doi: 10.1021/ma050884c

  • 加载中
    1. [1]

      Jiayu Gu Siqi Wang Jun Ling . Kinetics of Living Copolymerization: A Brief Discussion. University Chemistry, 2025, 40(4): 100-107. doi: 10.12461/PKU.DXHX202406012

    2. [2]

      Anqiu LIULong LINDezhi ZHANGJunyu LEIKefeng WANGWei ZHANGJunpeng ZHUANGHaijun HAO . Synthesis, structures, and catalytic activity of aluminum and zinc complexes chelated by 2-((2,6-dimethylphenyl)amino)ethanolate. Chinese Journal of Inorganic Chemistry, 2024, 40(4): 791-798. doi: 10.11862/CJIC.20230424

    3. [3]

      Hongling Yuan Jialin Xie Jiawei Wang Jixiang Zhao Jiayan Liu Qing Feng Wei Qi Min Liu . Cyclic Olefin Copolymer (COC): The Agile Vanguard in the Realm of Materials. University Chemistry, 2024, 39(7): 294-298. doi: 10.12461/PKU.DXHX202311041

    4. [4]

      Linjie ZHUXufeng LIU . Synthesis, characterization and electrocatalytic hydrogen evolution of two di-iron complexes containing a phosphine ligand with a pendant amine. Chinese Journal of Inorganic Chemistry, 2025, 41(5): 939-947. doi: 10.11862/CJIC.20240416

    5. [5]

      Zhongxin YUWei SONGYang LIUYuxue DINGFanhao MENGShuju WANGLixin YOU . Fluorescence sensing on chlortetracycline of a Zn-coordination polymer based on mixed ligands. Chinese Journal of Inorganic Chemistry, 2024, 40(12): 2415-2421. doi: 10.11862/CJIC.20240304

    6. [6]

      Xiao SANGQi LIUJianping LANG . Synthesis, structure, and fluorescence properties of Zn(Ⅱ) coordination polymers containing tetra-alkenylpyridine ligands. Chinese Journal of Inorganic Chemistry, 2024, 40(11): 2124-2132. doi: 10.11862/CJIC.20240158

    7. [7]

      Ruiying WANGHui WANGFenglan CHAIZhinan ZUOBenlai WU . Three-dimensional homochiral Eu(Ⅲ) coordination polymer and its amino acid configuration recognition. Chinese Journal of Inorganic Chemistry, 2025, 41(5): 877-884. doi: 10.11862/CJIC.20250052

    8. [8]

      Yuxia Luo Xiaoyu Xie Fangfang Chen . 药物递送魔法师——分子印迹聚合物. University Chemistry, 2025, 40(8): 202-210. doi: 10.12461/PKU.DXHX202409129

    9. [9]

      南开大学师唯/华北电力大学(保定)刘景维:二维配位聚合物中有序的亲锂冠醚位点用于无枝晶锂沉积

      . CCS Chemistry, 2025, 7(0): -.

    10. [10]

      Bao Jia Yunzhe Ke Shiyue Sun Dongxue Yu Ying Liu Shuaishuai Ding . Innovative Experimental Teaching for the Preparation and Modification of Conductive Organic Polymer Thin Films in Undergraduate Courses. University Chemistry, 2024, 39(10): 271-282. doi: 10.12461/PKU.DXHX202404121

    11. [11]

      Xuefei Leng Yanshai Wang Hai Wang Shengyang Tao . The In-Depth integration of “Industry-University-Research” in the Exploration and Practice of “Comprehensive Training in Polymer Engineering”. University Chemistry, 2025, 40(4): 66-71. doi: 10.12461/PKU.DXHX202405105

    12. [12]

      Ke QiuFengmei WangMochou LiaoKerun ZhuJiawei ChenWei ZhangYongyao XiaXiaoli DongFei Wang . A Fumed SiO2-based Composite Hydrogel Polymer Electrolyte for Near-Neutral Zinc-Air Batteries. Acta Physico-Chimica Sinica, 2024, 40(3): 2304036-0. doi: 10.3866/PKU.WHXB202304036

    13. [13]

      Minghui WuMarkus MühlinghausXuechao LiChaojie XuQiang ChenHaiming ZhangKlaus MüllenLifeng Chi . On-Surface Synthesis of Chevron-Shaped Conjugated Ladder Polymers Consisting of Benzo[a]azulene Units. Acta Physico-Chimica Sinica, 2024, 40(8): 2307024-0. doi: 10.3866/PKU.WHXB202307024

    14. [14]

      Chunyuan KangXiaoyu LiFan YangBai Yang . Ionic-bond crosslinked carbonized polymer dots for tunable and enhanced room temperature phosphorescence. Acta Physico-Chimica Sinica, 2026, 42(1): 100156-0. doi: 10.1016/j.actphy.2025.100156

    15. [15]

      Chi Li Jichao Wan Qiyu Long Hui Lv Ying XiongN-Heterocyclic Carbene (NHC)-Catalyzed Amidation of Aldehydes with Nitroso Compounds. University Chemistry, 2024, 39(5): 388-395. doi: 10.3866/PKU.DXHX202312016

    16. [16]

      Yuanyi Lu Jun Zhao Hongshuang Li . Silver-Catalyzed Ring-Opening Minisci Reaction: Developing a Teaching Experiment Suitable for Undergraduates. University Chemistry, 2024, 39(11): 225-231. doi: 10.3866/PKU.DXHX202401088

    17. [17]

      Xinhao Yan Guoliang Hu Ruixi Chen Hongyu Liu Qizhi Yao Jiao Li Lingling Li . Polyethylene Glycol-Ammonium Sulfate-Nitroso R Salt System for the Separation of Cobalt (II). University Chemistry, 2024, 39(6): 287-294. doi: 10.3866/PKU.DXHX202310073

    18. [18]

      Junjie Zhang Yue Wang Qiuhan Wu Ruquan Shen Han Liu Xinhua Duan . Preparation and Selective Separation of Lightweight Magnetic Molecularly Imprinted Polymers for Trace Tetracycline Detection in Milk. University Chemistry, 2024, 39(5): 251-257. doi: 10.3866/PKU.DXHX202311084

    19. [19]

      Fanpeng MengFei ZhaoJingkai LinJinsheng ZhaoHuayang ZhangShaobin Wang . Optimizing interfacial electric fields in carbon nitride nanosheet/spherical conjugated polymer S-scheme heterojunction for hydrogen evolution. Acta Physico-Chimica Sinica, 2025, 41(8): 100095-0. doi: 10.1016/j.actphy.2025.100095

    20. [20]

      Xingchao ZhaoXiaoming LiMing LiuZijin ZhaoKaixuan YangPengtian LiuHaolan ZhangJintai LiXiaoling MaQi YaoYanming SunFujun Zhang . Photomultiplication-Type All-Polymer Photodetectors and Their Applications in Photoplethysmography Sensor. Acta Physico-Chimica Sinica, 2025, 41(1): 100007-0. doi: 10.3866/PKU.WHXB202311021

Metrics
  • PDF Downloads(12)
  • Abstract views(3975)
  • HTML views(928)

通讯作者: 陈斌, bchen63@163.com
  • 1. 

    沈阳化工大学材料科学与工程学院 沈阳 110142

  1. 本站搜索
  2. 百度学术搜索
  3. 万方数据库搜索
  4. CNKI搜索
Address:Zhongguancun North First Street 2,100190 Beijing, PR China Tel: +86-010-82449177-888
Powered By info@rhhz.net

/

DownLoad:  Full-Size Img  PowerPoint
Return