Citation: Song Hao, Liu Xiaoyu, Qin Yong. Advances on Nitrogen-centered Radical Chemistry:A Photocatalytic N-H Bond Activation Approach[J]. Acta Chimica Sinica, ;2017, 75(12): 1137-1149. doi: 10.6023/A17080384 shu

Advances on Nitrogen-centered Radical Chemistry:A Photocatalytic N-H Bond Activation Approach

  • Corresponding author: Qin Yong, yongqin@scu.edu.cn
  • Received Date: 23 August 2017
    Available Online: 28 December 2017

    Fund Project: the National Science and Technology Major Projects for "Major New Drugs Innovation and Development" 2017ZX09101005-009-002the National Natural Science Foundation of China 21732005Project supported by the National Natural Science Foundation of China (Nos. 21572140, 21732005) and the National Science and Technology Major Projects for "Major New Drugs Innovation and Development" (No. 2017ZX09101005-009-002)the National Natural Science Foundation of China 21572140

Figures(12)

  • Nitrogen-centered radicals are highly reactive intermediates, which provide new opportunities for designing new chemical reactions and preparing nitrogen-containing molecules. Direct generation of nitrogen-centered radicals via activation of N-H bonds under photocatalytic conditions has emerged as a green, efficient, and economical process, where significant progress has been made with methodology development in very recent years. In this paper, we highlight the important advances in this area that were reported since 2016.
  • 加载中
    1. [1]

      For selected reviews on the N-radical chemistry, see: (a) Zard, S. Z. Chem. Soc. Rev. 2008, 37, 1603.(b) Stella, L. In Radicals in Organic Synthesis, Vol. 2, Eds.: Renaud, P.; Sibi, M. P., Wiley, New York, 2001, p. 407.(c) Quiclet-Sire, B.; Zard, S. Z. Beilstein J. Org. Chem. 2013, 9, 557.

    2. [2]

      For selected examples, see:(a) Lessard, J.; Cote, R.; Mackiewicz, P.; Furstoss, R.; Waegell, B. J. Org. Chem. 1978, 43, 3750.(b) Boivin, J.; Fouquet, E.; Schiano, A.-M.; Zard, S. Z. Tetrahedron 1994, 50, 1769.(c) Gennet, D.; Zard, S. Z.; Zhang, H. Chem. Commun. 2003, 1870.(d) Lu, H.; Li, C. Tetrahedron Lett. 2005, 46, 5983.(e) Guin, J.; Fr hlich, R.; Studer, A. Angew. Chem. Int. Ed. 2008, 47, 779.

    3. [3]

      For selected examples, see:(a) Sherman, E. S.; Chemler, S. R.; Tan, T. B.; Gerlits, O. Org. Lett. 2004, 6, 1573.(b) Sherman, E. S.; Fuller, P. H.; Kasi, D.; Chemler, S. R. J. Org. Chem. 2007, 72, 3896.(c) Zeng, W.; Chemler, S. R. J. Am. Chem. Soc. 2007, 129, 12948.(d) Zhu, X.; Wang, Y.-F.; Ren, W.; Zhang, F.-L.; Chiba, S. Org. Lett. 2013, 15, 3214.(e) Zhu, M.-K.; Chen, Y.-C.; Loh, T. P. Chem. Eur. J. 2013, 19, 5250.(f) Duan, X.-Y.; Zhou, N.-N.; Fang, R.; Yang, X.-L.; Yu, W.; Han, B. Angew. Chem. Int. Ed. 2014, 53, 3158.(g) Duan, X. Y.; Yang, X. L.; Jia, P. P.; Zhang, M.; Han, B. Org. Lett. 2015, 17, 6022.

    4. [4]

      For selected reviews on the visible light photocatalysis, see: (a) Xuan, J. ; Xiao, W. -J. Angew. Chem. Int. Ed. 2012, 51, 6828. (b) Shi, L. ; Xia, W. -J. Chem. Soc. Rev. 2012, 41, 7687. (c) Prier, C. K. ; Rankic, D. A. ; Macmillan, D. W. Chem. Rev. 2013, 113, 5322. (d) Xi, Y. -M. ; Yi, H. ; Lei, A. -W. Org. Biomol. Chem. 2013, 11, 2387. (e) Schultz, D. M. ; Yoon, T. P. Science 2014, 343, 985. (f) Xuan, J. ; Zhang, Z. -G. ; Xiao, W. -J. Angew. Chem. Int. Ed. 2015, 54, 15632. (g) Karkas, M. D. ; Porco Jr., J. A. ; Stephenson, C. R. Chem. Rev. 2016, 116, 9683. (h) Romero, N. A. ; Nicewicz, D. A. Chem. Rev. 2016, 116, 10075. (i) Chen, J. -R. ; Hu, X. -Q. ; Lu, L. -Q. ; Xiao, W. -J. Acc. Chem. Res. 2016, 49, 1911. (j) Liu, Y. ; Song, R. ; Li, J. Sci. China Chem. 2016, 59, 161. (k) Zhang, J. ; Chen, Y. Acta Chim. Sinica 2017, 75, 41(in Chinese). (张晶, 陈以昀, 化学学报, 2017, 75, 41. )(l) Chen, J. -R. ; Yan, D. -M. ; Wei, Q. ; Xiao, W. -J. ChemPhotoChem 2017, 1, 148.

    5. [5]

      For recent reviews, see:(a) Chen, J.-R.; Hu, X. Q.; Lu, L.-Q.; Xiao, W.-J. Chem. Soc. Rev. 2016, 45, 2044.(b) Xiong, T.; Zhang, Q. Chem. Soc. Rev. 2016, 45, 3069.(c) Gentry, E. C.; Knowles, R. R. Acc. Chem. Res. 2016, 49, 1546.(d) Nguyen, L. Q.; Knowles, R. R. ACS Catal. 2016, 6, 2894.(e) K rk s, M. D. ACS Catal. 2017, 7, 4999.

    6. [6]

      For recent reviews, see:(a) Gensch, T.; Hopkinson, M. N.; Glorius, F.; Wencel-Delord, J. Chem. Soc. Rev. 2016, 45, 2900.(b) Zhu, R.-Y.; Farmer, M. E.; Chen, Y.-Q.; Yu, J.-Q. Angew. Chem. Int. Ed. 2016, 55, 10578.(c) Della Ca', N.; Fontana, M.; Motti, E.; Catellani, M. Acc. Chem. Res. 2016, 49, 1389.(d) He, J.; Wasa, M.; Chan, K. S. L.; Shao, Q.; Yu, J.-Q. Chem. Rev. 2017, 117, 8754.

    7. [7]

      For selected examples, see:(a) Qin, Q.; Yu, S. Org. Lett. 2015, 17, 1894.(b) Hollister, K. A.; Conner, E. S.; Spell, M. L.; Deveaux, K.; Maneval, L.; Beal, M. W.; Ragains, J. R. Angew. Chem. Int. Ed. 2015, 54, 7837.(c) Huang, F.-Q.; Dong, X.; Qi, L.-W.; Zhang, B. Tetrahedron Lett. 2016, 57, 1600.(d) Zhang, J.; Li, Y.; Zhang, F.; Hu, C.; Chen, Y. Angew. Chem. Int. Ed. 2016, 55, 1872.(e) Wang, C.; Harms, K.; Meggers, E. Angew. Chem. Int. Ed. 2016, 55, 13495.(f) Shaaban, S.; Oh, J.; Maulide, N. Org. Lett. 2016, 18, 345.(g) Parasram, M.; Chuentragool, P.; Sarkar, D.; Gevorgyan, V. J. Am. Chem. Soc. 2016, 138, 6340.(h) Hu, X.-Q.; Chen, J.-R.; Xiao, W.-J. Angew. Chem. Int. Ed. 2017, 56, 1960.

    8. [8]

      Choi, G. J.; Zhu, Q.; Miller, D. C.; Gu, C. J.; Knowles, R. R. Nature 2016, 539, 268.  doi: 10.1038/nature19811

    9. [9]

      Chu, J. C. K.; Rovis, T. Nature 2016, 539, 272.  doi: 10.1038/nature19810

    10. [10]

      Zhang, L.; Meggers, E. Acc. Chem. Res. 2017, 50, 320.  doi: 10.1021/acs.accounts.6b00586

    11. [11]

      Zhou, Z.; Li, Y.; Han, B.; Gong, L.; Meggers, E. Chem. Sci. 2017, 8, 5757.  doi: 10.1039/C7SC02031G

    12. [12]

      Yuan, W.; Zhou, Z.; Gong, L.; Meggers, E. Chem. Commun. 2017, 53, 8964.  doi: 10.1039/C7CC04941B

    13. [13]

      For a recent review, see: Huang, L.; Arndt, M.; Goo en, K.; Heydt, H.; Goo en, L. J. Chem. Rev. 2015, 115, 2596.  doi: 10.1021/cr300389u

    14. [14]

      Musacchio, A. J.; Lainhart, B. C.; Zhang, X.; Naguib, S. G.; Sherwood, T. C.; Knowles, R. R. Science 2017, 355, 727.  doi: 10.1126/science.aal3010

    15. [15]

      For a recent review, see: Chen, Z.-M.; Zhang, X.-M.; Tu, Y.-Q. Chem. Soc. Rev. 2015, 44, 5220.  doi: 10.1039/C4CS00467A

    16. [16]

      Shu, W.; Genoux, A.; Li, Z.; Nevado, C. Angew. Chem. Int. Ed. 2017, 56, 10521.  doi: 10.1002/anie.v56.35

    17. [17]

      (a) Hu, X. -Q. ; Chen, J. -R. ; Wei, Q. ; Liu, F. -L. ; Deng, Q. -H. ; Beauchemin, A. M. ; Xiao, W. -J. Angew. Chem. Int. Ed. 2014, 53, 12163. (b) Hu, X. -Q. ; Qi, X. ; Chen, J. -R. ; Zhao, Q. -Q. ; Wei, Q. ; Lan, Y. ; Xiao, W. -J. Nat. Commun. 2016, 7, 11188. (c) Zhao, Q. -Q. ; Hu, X. -Q. ; Yang, M. -N. ; Chen, J. -R. ; Xiao, W. -J. Chem. Commun. 2016, 52, 12749. (d) Hu, X. -Q. ; Chen, J. ; Chen, J. -R. ; Yan, D. -M. ; Xiao, W. -J. Chem. Eur. J. 2016, 22, 14141. (e) Zhao, Q. -Q. ; Chen, J. ; Yan, D. -M. ; Chen, J. -R. ; Xiao, W. -J. Org. Lett. 2017, 19, 3620. (f) Yu, X. ; Zhou, F. ; Chen, J. ; Xiao, W. Acta Chim. Sinica 2017, 75, 86(in Chinese). (余晓叶, 周帆, 陈加荣, 肖文精, 化学学报, 2017, 75, 86. )

    18. [18]

      Tong, K.; Liu, X.; Zhang, Y.; Yu, S. Chem. Eur. J. 2016, 22, 15669.  doi: 10.1002/chem.201604014

    19. [19]

      Ito, E.; Fukushima, T.; Kawakami, T.; Murakami, K.; Itami, K. Chem 2017, 2, 383.  doi: 10.1016/j.chempr.2017.02.006

    20. [20]

      (a) Zhao, Y.; Huang, B.; Yang, C.; Xia, W. Org. Lett. 2016, 18, 3326. (b) Zhao, Y.; Huang, B.; Yang, C.; Li, B.; Gou, B.; Xia, W. ACS Catal. 2017, 7, 2446.

    21. [21]

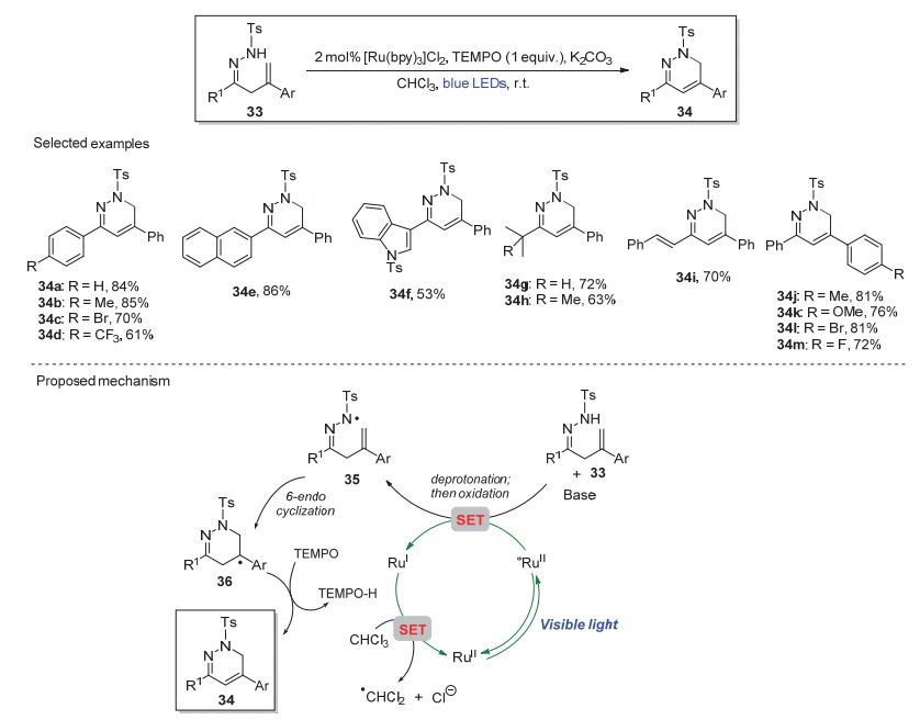
      Wang, X.; Xia, D.; Qin, W.; Zhou, R.; Zhou, X.; Zhou, Q.; Liu, W.; Dai, X.; Wang, H.; Wang, S.; Tan, L.; Zhang, D.; Song, H.; Liu, X.-Y.; Qin, Y. Chem 2017, 2, 803.  doi: 10.1016/j.chempr.2017.04.007

  • 加载中
    1. [1]

      Bing LIUHuang ZHANGHongliang HANChangwen HUYinglei ZHANG . Visible light degradation of methylene blue from water by triangle Au@TiO2 mesoporous catalyst. Chinese Journal of Inorganic Chemistry, 2024, 40(5): 941-952. doi: 10.11862/CJIC.20230398

    2. [2]

      Renxiao Liang Zhe Zhong Zhangling Jin Lijuan Shi Yixia Jia . A Palladium/Chiral Phosphoric Acid Relay Catalysis for the One-Pot Three-Step Synthesis of Chiral Tetrahydroquinoline. University Chemistry, 2024, 39(5): 209-217. doi: 10.3866/PKU.DXHX202311024

    3. [3]

      Xianghai SongXiaoying LiuZhixiang RenXiang LiuMei WangYuanfeng WuWeiqiang ZhouZhi ZhuPengwei Huo . Insights into the greatly improved catalytic performance of N-doped BiOBr for CO2 photoreduction. Acta Physico-Chimica Sinica, 2025, 41(6): 100055-0. doi: 10.1016/j.actphy.2025.100055

    4. [4]

      Aoyun MengZhenhua LiGuoyuan XiongZhen LiJinfeng Zhang . S-scheme heterojunction Al6Si2O13/BiOBr with enhanced charge transfer effect for efficient and stable photocatalytic degradation of triazophos and dichlorvos pesticides. Acta Physico-Chimica Sinica, 2026, 42(5): 100186-0. doi: 10.1016/j.actphy.2025.100186

    5. [5]

      Fangxuan LiuZiyan LiuGuowei ZhouTingting GaoWenyu LiuBin Sun . 中空结构光催化剂. Acta Physico-Chimica Sinica, 2025, 41(7): 100071-0. doi: 10.1016/j.actphy.2025.100071

    6. [6]

      Tongyan Yu Pan Xu . Visible-Light Photocatalyzed Radical Rearrangement Reaction. University Chemistry, 2025, 40(7): 169-176. doi: 10.12461/PKU.DXHX202409070

    7. [7]

      Dan Liu . 可见光-有机小分子协同催化的不对称自由基反应研究进展. University Chemistry, 2025, 40(6): 118-128. doi: 10.12461/PKU.DXHX202408101

    8. [8]

      Xian-Wei LvXinyuan DingJiaxing GongXuhuan YanDayong HuangJianxin GengZhong-Yong Yuan . Research progress on orbital hybridization in photocatalysis and electrocatalysis. Acta Physico-Chimica Sinica, 2026, 42(2): 100151-0. doi: 10.1016/j.actphy.2025.100151

    9. [9]

      Qiang ZHAOZhinan GUOShuying LIJunli WANGZuopeng LIZhifang JIAKewei WANGYong GUO . Cu2O/Bi2MoO6 Z-type heterojunction: Construction and photocatalytic degradation properties. Chinese Journal of Inorganic Chemistry, 2024, 40(5): 885-894. doi: 10.11862/CJIC.20230435

    10. [10]

      Yaping ZHANGTongchen WUYun ZHENGBizhou LIN . Z-scheme heterojunction β-Bi2O3 pillared CoAl layered double hydroxide nanohybrid: Fabrication and photocatalytic degradation property. Chinese Journal of Inorganic Chemistry, 2025, 41(3): 531-539. doi: 10.11862/CJIC.20240256

    11. [11]

      Tengyue ZHANGJingjing FENGZili LIANGJia′nan DAIJing MA . Optimization of C-doped BiVO4 performance for tetracycline degradation using response surface methodology-assisted orthogonal experiments. Chinese Journal of Inorganic Chemistry, 2025, 41(12): 2561-2574. doi: 10.11862/CJIC.20250104

    12. [12]

      Xinzhe HUANGLihui XUYue YANGLiming WANGZhangyong LIUZhongjian WANG . Preparation and visible light responsive photocatalytic properties of BiSbO4/BiOBr. Chinese Journal of Inorganic Chemistry, 2025, 41(2): 284-292. doi: 10.11862/CJIC.20240212

    13. [13]

      Xiaofei ZhangShanhao XuZhiyuan WangLong HeTiangcheng HuangYongming XuYucui BianYike LiHaijun ChenZhongjun Li . Surface doping of graphene into BiOCl for efficient photocatalytic amine coupling under visible light. Acta Physico-Chimica Sinica, 2026, 42(5): 100202-0. doi: 10.1016/j.actphy.2025.100202

    14. [14]

      Jiajia Li Xiangyu Zhang Zhihan Yuan Zhengyang Qian Jian Zhu . 3D Printing Based on Photo-Induced Reversible Addition-Fragmentation Chain Transfer Polymerization. University Chemistry, 2024, 39(5): 11-19. doi: 10.3866/PKU.DXHX202309073

    15. [15]

      Yinjie XuSuiqin LiLihao LiuJiahui HeKai LiMengxin WangShuying ZhaoChun LiZhengbin ZhangXing ZhongJianguo Wang . Enhanced Electrocatalytic Oxidation of Sterols using the Synergistic Effect of NiFe-MOF and Aminoxyl Radicals. Acta Physico-Chimica Sinica, 2024, 40(3): 2305012-0. doi: 10.3866/PKU.WHXB202305012

    16. [16]

      Bo YANGGongxuan LÜJiantai MA . Nickel phosphide modified phosphorus doped gallium oxide for visible light photocatalytic water splitting to hydrogen. Chinese Journal of Inorganic Chemistry, 2024, 40(4): 736-750. doi: 10.11862/CJIC.20230346

    17. [17]

      Huiwei DingBo PengZhihao WangQiaofeng Han . Advances in Metal or Nonmetal Modification of Bismuth-Based Photocatalysts. Acta Physico-Chimica Sinica, 2024, 40(4): 2305048-0. doi: 10.3866/PKU.WHXB202305048

    18. [18]

      Yushan CaiFang-Xing Xiao . Revisiting MXenes-based Photocatalysis Landscape: Progress, Challenges, and Future Perspectives. Acta Physico-Chimica Sinica, 2024, 40(8): 2306048-0. doi: 10.3866/PKU.WHXB202306048

    19. [19]

      Yuanyin CuiJinfeng ZhangHailiang ChuLixian SunKai Dai . Rational Design of Bismuth Based Photocatalysts for Solar Energy Conversion. Acta Physico-Chimica Sinica, 2024, 40(12): 2405016-0. doi: 10.3866/PKU.WHXB202405016

    20. [20]

      Yurong Tang Yunren Shi Yi Xu Bo Qin Yanqin Xu Yunfei Cai . Innovative Experiment and Course Transformation Practice of Visible-Light-Mediated Photocatalytic Synthesis of Isoquinolinone. University Chemistry, 2024, 39(5): 296-306. doi: 10.3866/PKU.DXHX202311087

Metrics
  • PDF Downloads(408)
  • Abstract views(9645)
  • HTML views(4100)

通讯作者: 陈斌, bchen63@163.com
  • 1. 

    沈阳化工大学材料科学与工程学院 沈阳 110142

  1. 本站搜索
  2. 百度学术搜索
  3. 万方数据库搜索
  4. CNKI搜索
Address:Zhongguancun North First Street 2,100190 Beijing, PR China Tel: +86-010-82449177-888
Powered By info@rhhz.net

/

DownLoad:  Full-Size Img  PowerPoint
Return