Citation: Zhou Qianxiong, Wang Xuesong. Advances in Ru (Ⅱ)-based Photoactivated Chemotherapy Agents[J]. Acta Chimica Sinica, ;2017, 75(1): 49-59. doi: 10.6023/A16090470 shu

Advances in Ru (Ⅱ)-based Photoactivated Chemotherapy Agents

  • Corresponding author: Zhou Qianxiong, zhouqianxiong@mail.ipc.ac.cn Wang Xuesong, xswang@mail.ipc.ac.cn
  • Received Date: 5 September 2016

    Fund Project: the National Natural Science Foundation of China 21273259the National Natural Science Foundation of China 21571181

Figures(11)

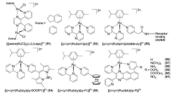
  • Many Ru (Ⅱ) complexes can undergo photoinduced ligand dissociation in aqueous solutions, and the formed aqua Ru (Ⅱ) species may bind to DNA covalently. This property has been applied to develop novel photoactivated chemotherapy (PACT) agents for cancer treatment in recent years. By finely tuning ligand structures and coordination configurations, PACT may realize highly selective and on-demand release of active species in cancer tissues, leading to an improved efficacy and diminished side effects. In this review, the progress in Ru (Ⅱ)-based PACT agents was fully discussed and a perspective for their future development was included.
  • 加载中
    1. [1]

      Romero-Canelón, I.; Sadler, P. J. Inorg. Chem. 2013, 52, 12276.  doi: 10.1021/ic400835n

    2. [2]

      Mjos, K. D.; Orvig, C. Chem. Rev. 2014, 114, 4540.  doi: 10.1021/cr400460s

    3. [3]

      Gaynor, D.; Griffith, D. M. Dalton Trans. 2012, 41, 13239.  doi: 10.1039/c2dt31601c

    4. [4]

      Liu, Y.; Chen, X.; Zhang, L.; Sun, D.; Zhou, Y.; Chen, L.; Liu, J. Acta Chim. Sinica 2014, 72, 473 (in Chinese).  doi: 10.6023/A13101092
       

    5. [5]

      Zhou, S.; Xue, X.; Jiang, B.; Lu, C.; Tian, Y.; Jiang, M. Acta Chim. Sinica 2011, 69, 2335 (in Chinese).
       

    6. [6]

      Xia, Q.; He, Q.; Xu, D.; Li, X.; Sun, D. Acta Chim. Sinica 2010, 68, 775 (in Chinese).
       

    7. [7]

      Yin, F.-L.; Shen, J.; Zou, J.-J.; Li, R.-C.; Acta Chim. Sinica 2003, 61, 556 (in Chinese).
       

    8. [8]

      Rosenberg, B.; Vancamp, L.; Krigas, T. Nature 1965, 205, 698.  doi: 10.1038/205698a0

    9. [9]

      Rosenberg, B.; VanCamp, L.; Trosko, J. E.; Mansour, V. H. Nature 1969, 222, 385.  doi: 10.1038/222385a0

    10. [10]

      Wheate, N. J.; Walker, S.; Craig, G. E.; Oun, R. Dalton Trans. 2010, 39, 8113.  doi: 10.1039/c0dt00292e

    11. [11]

      Bugarčić, Ž. D.; Bogojeski, J.; Petrović, B.; Hochreuther, S.; van Eldik, R. Dalton Trans. 2012, 41, 12329.  doi: 10.1039/c2dt31045g

    12. [12]

      Fanelli, M.; Formica, M.; Fusi, V.; Giorgi, L.; Micheloni, M.; Paoli, P. Coord. Chem. Rev. 2016, 310, 41.  doi: 10.1016/j.ccr.2015.11.004

    13. [13]

      Johnstone, T. C.; Suntharalingam, K.; Lippard, S. J. Chem. Rev. 2016, 116, 3436.  doi: 10.1021/acs.chemrev.5b00597

    14. [14]

      Mackay, F. S.; Woods, J. A.; Heringova, P.; Kašpárková, J.; Pi-zarro, A. M.; Moggach, S. A.; Parsons, S.; Brabec, V.; Sadler, P. J. Proc. Natl. Acad. Sci. U. S. A. 2007, 104, 20743.  doi: 10.1073/pnas.0707742105

    15. [15]

      Farrer, N. J.; Woods, J. A.; Salassa, L.; Zhao, Y.; Robinson, K. S.; Clarkson, G.; Mackay, F. S.; Sadler, P. J. Angew. Chem. Int. Ed. 2010, 49, 8905.  doi: 10.1002/anie.v49.47

    16. [16]

      Kasparkova, J.; Kostrhunova, H.; Novakova, O.; Křikavová, R.; Vančo, J.; Trávníčk, Z.; Brabec, V. Angew. Chem. Int. Ed. 2015, 54, 14478.  doi: 10.1002/anie.201506533

    17. [17]

      Glazer, E. C. Isr. J. Chem. 2013, 53, 391.  doi: 10.1002/ijch.v53.6/7

    18. [18]

      Farrer, N. J.; Salassa, L.; Sadler, P. J. Dalton Trans. 2009, 10690.

    19. [19]

      Detty, M. R.; Gibson, S. L.; Wagner, S. J. J. Med. Chem. 2004, 47, 3897.  doi: 10.1021/jm040074b

    20. [20]

      Brown, J. M.; Wilson, W. R. Nat. Rev. Cancer 2004, 4, 437.  doi: 10.1038/nrc1367

    21. [21]

      Minchinton, A. I.; Tannock, I. F. Nat. Rev. Cancer 2006, 6, 583.  doi: 10.1038/nrc1893

    22. [22]

      Knoll, J. D.; Turro, C. Coord. Chem. Rev. 2015, 282-283, 110.  doi: 10.1016/j.ccr.2014.05.018

    23. [23]

      Gianferrara, T.; Bratsos, I.; Alessio, E. Dalton Trans. 2009, 7588.

    24. [24]

      Lincoln, R.; Kohler, L.; Monro, S.; Yin, H.; Stephenson, M.; Zong, R.; Chouai, A.; Dorsey, C.; Hennigar, R.; Thummel, R. P.; McFarland, S. A. J. Am. Chem. Soc. 2013, 135, 17161.  doi: 10.1021/ja408426z

    25. [25]

      Sun, Y.; Joyce, L. E.; Dickson, N. M.; Turro, C. Chem. Commun. 2010, 46, 2426.  doi: 10.1039/b925574e

    26. [26]

      Zhou, Q. X.; Lei, W. H.; Chen, J. R.; Li, C.; Hou, Y. J.; Wang, X. S.; Zhang, B. W. Chem.-Eur. J. 2010, 16, 3157.  doi: 10.1002/chem.v16:10

    27. [27]

      Zhou, Q. X.; Lei, W. H.; Sun, Y.; Chen, J. R.; Li, C.; Hou, Y. J.; Wang, X. S.; Zhang, B. W. Inorg. Chem. 2010, 49, 4729.  doi: 10.1021/ic100193w

    28. [28]

      Zhou, Q. X.; Yang, F.; Lei, W. H.; Chen, J. R.; Li, C.; Hou, Y. J.; Ai, X. C.; Zhang, J. P.; Wang, X. S.; Zhang, B. W. J. Phys. Chem. B 2009, 113, 11521.  doi: 10.1021/jp905506w

    29. [29]

      Liu, Y.; Hammitt, R.; Lutterman, D. A.; Joyce, L. E.; Thummel, R. P.; Turro, C. Inorg. Chem. 2009, 48, 375.  doi: 10.1021/ic801636u

    30. [30]

      Poteet, S. A.; Majewski, M. B.; Breitbach, Z. S.; Griffith, C. A.; Singh, S.; Armstrong, D. W.; Wolf, M. O.; MacDonnell, F. M. J. Am. Chem. Soc. 2013, 135, 2419.  doi: 10.1021/ja3106863

    31. [31]

      Vanderlinden, W.; Blunt, M.; David, C. C.; Moucheron, C.; Kirsch-De Mesmaeker, A.; De Feyter, S. J. Am. Chem. Soc. 2012, 134, 10214.  doi: 10.1021/ja303091q

    32. [32]

      Boggio-Pasqua, M.; Vicendo, P.; Oubal, M.; Alary, F.; Heully, J.-L. Chem.-Eur. J. 2009, 15, 2759.  doi: 10.1002/chem.v15:12

    33. [33]

      Lecomte, J.-P.; Kirsch-De Mesmaeker, A.; Feeney, M. M.; Kelly, J. M. Inorg. Chem. 1995, 34, 6481.  doi: 10.1021/ic00130a013

    34. [34]

      Zayat, L.; Calero, C.; Alborés P.; Baraldo, L.; Etchenique, R. J. Am. Chem. Soc. 2003, 125, 882.  doi: 10.1021/ja0278943

    35. [35]

      Bonnet, S.; Limburg, B.; Meeldijk, J. D.; Klein Gebbink, R. J. M.; Killian, J. A. J. Am. Chem. Soc. 2011, 133, 252.  doi: 10.1021/ja105025m

    36. [36]

      Respondek, T.; Garner, R. N.; Herroon, M. K.; Podgorski, I.; Turro, C.; Kodanko, J. J. J. Am. Chem. Soc. 2011, 133, 17164.  doi: 10.1021/ja208084s

    37. [37]

      Miguel, V. S.; Álvarez, M.; Filevich, O.; Etchenique, R.; del Campo, A. Langmuir 2012, 28, 1217.  doi: 10.1021/la2033687

    38. [38]

      Mosquera, J.; Sánchez, M. R.; Mascareñas, J. L.; Vázquez, M. E. Chem. Commun. 2015, 51, 5501.  doi: 10.1039/C4CC08049A

    39. [39]

      Nakanishi, K.; Koshiyama, T.; Iba, S.; Ohba, M. Dalton Trans. 2015, 44, 14200.  doi: 10.1039/C5DT02352A

    40. [40]

      Griepenburg, J. C.; Rapp, T. L.; Carroll, P. J.; Eberwineb, J.; Dmochowski, I. J. Chem. Sci. 2015, 6, 2342.  doi: 10.1039/C4SC03990D

    41. [41]

      Li, A.; White, J. K.; Arora, K.; Herroon, M. K.; Martin, P. D.; Bernhard Schlegel, H.; Podgorski, I.; Turro, C.; Kodanko, J. J. Inorg. Chem. 2016, 55, 10.  doi: 10.1021/acs.inorgchem.5b02600

    42. [42]

      Sharma, R.; Knoll, J. D.; Ancona, N.; Martin, P. D.; Turro, C.; Kodanko, J. J. Inorg. Chem. 2015, 54, 1901.  doi: 10.1021/ic502791y

    43. [43]

      Ford, P. C. Coord. Chem. Rev. 1982, 44, 61.  doi: 10.1016/S0010-8545(00)80517-2

    44. [44]

      Tfouni, E. Coord. Chem. Rev. 2000, 196, 281.  doi: 10.1016/S0010-8545(99)00200-3

    45. [45]

      Van Houten, J.; Watts, R. J. Inorg. Chem. 1978, 17, 3381.  doi: 10.1021/ic50190a016

    46. [46]

      Durante, V. A.; Ford, P. C. Inorg. Chem. 1979, 18, 588.  doi: 10.1021/ic50193a013

    47. [47]

      Singh, T. N.; Turro, C. Inorg. Chem. 2004, 43, 7260.  doi: 10.1021/ic049075k

    48. [48]

      Rillema, D. P.; Blanton, C. B.; Shaver, R. J.; Jackman, D. C.; Boldaji, M.; Bundy, S.; Worl, L. A.; Meyer, T. J. Inorg. Chem. 1992, 31, 1600.  doi: 10.1021/ic00035a016

    49. [49]

      Liu, Y.; Turner, D. B.; Singh, T. N.; Angeles-Boza, A. M.; Chouai, A.; Dunbar, K. R.; Turro, C. J. Am. Chem. Soc. 2009, 131, 26.  doi: 10.1021/ja806860w

    50. [50]

      Arora, K.; White, J. K. Sharma, R.; Mazumder, S.; Martin, P. D.; Schlegel, H. B.; Turro, C.; Kodanko, J. K. Inorg. Chem. 2016, 55, 6968.  doi: 10.1021/acs.inorgchem.6b00650

    51. [51]

      Knoll, J. D.; Albani, B. A.; Durr, C. B.; Turro, C. J. Phys. Chem. A 2014, 118, 10603.  doi: 10.1021/jp5057732

    52. [52]

      Albani, B. A.; Durr, C. B.; Turro, C. J. Phys. Chem. A 2013, 117, 13885.  doi: 10.1021/jp4085684

    53. [53]

      Garner, R. N.; Joyce, L. E.; Turro, C. Inorg. Chem. 2011, 50, 4384.  doi: 10.1021/ic102482c

    54. [54]

      Howerton, B. S.; Heidary, D. K.; Glazer, E. C. J. Am. Chem. Soc. 2012, 134, 8324.  doi: 10.1021/ja3009677

    55. [55]

      Hidayatullah, A. N.; Wachter, E.; Heidary, D. K.; Parkin, S.; Glazer, E. C. Inorg. Chem. 2014, 53, 10030.  doi: 10.1021/ic5017164

    56. [56]

      Wachter, E.; Heidary, D. K.; Howerton, B. S.; Parkin, S.; Glazer, E. C. Chem. Commun. 2012, 48, 9649.  doi: 10.1039/c2cc33359g

    57. [57]

      Dickerson, M.; Howerton, B.; Baeb, Y.; Glazer, E. C. J. Mater. Chem. B 2016, 4, 394.  doi: 10.1039/C5TB01613D

    58. [58]

      Friedman, A. E.; Chambron, J.-C.; Sauvage, J.-P.; Turro, N. J.; Barton, J. K. J. Am. Chem. Soc. 1990, 112, 4960.  doi: 10.1021/ja00168a052

    59. [59]

      Wachter, E.; Howerton, B. S.; Hall, E. C.; Parkin, S.; Glazer, E. C. Chem. Commun. 2014, 50, 311.  doi: 10.1039/C3CC47269H

    60. [60]

      Wachter, E.; Glazer, E. C. J. Phys. Chem. A 2014, 118, 10474.  doi: 10.1021/jp504249a

    61. [61]

      Wachter, E.; Moyá, D.; Parkin, S.; Glazer, E. C. Chem.-Eur. J. 2016, 22, 550.  doi: 10.1002/chem.201503203

    62. [62]

      Cleare, M. J.; Hoeschele, J. D. Bioinorg. Chem. 1973, 2, 187.  doi: 10.1016/S0006-3061(00)80249-5

    63. [63]

      Farrell, N. Transition Metal Complexes as Drugs and Chemotherapeutic Agents, Kluwer, Dordrecht, Netherlands, 1989.

    64. [64]

      Van Rixel, V. H. S; Siewert, B.; Hopkins, S. L.; Askes, S. H. C.; Busemann, A.; Siegler, M. A.; Bonnet, S. Chem. Sci. 2016, 7, 4922.  doi: 10.1039/C6SC00167J

    65. [65]

      Wachter, E.; Zamora, A.; Heidary, D. K.; Ruizb, J.; Glazer, E. C. Chem. Commun. 2016, 52, 10121.  doi: 10.1039/C6CC04813G

    66. [66]

      Dąbrowski, J. M.; Arnaut, L. G. Photochem. Photobiol. Sci. 2015, 14, 1765.  doi: 10.1039/C5PP00132C

    67. [67]

      Sears, R. B.; Joyce, L. E.; Ojaimi, M.; Gallucci, J. C.; Thummel, R. P.; Turro, C. J. Inorg. Biochem. 2013, 121, 77.  doi: 10.1016/j.jinorgbio.2012.12.003

    68. [68]

      Albani, B. A.; Peña, B.; Dunbar, K. R.; Turro, C. Photochem. Photobiol. Sci. 2014, 13, 272.  doi: 10.1039/C3PP50327E

    69. [69]

      Huang, H.; Zhang, P.; Chen, Y.; Ji, L.; Chao, H. Dalton Trans. 2015, 44, 15602.  doi: 10.1039/C5DT02446C

    70. [70]

      Ruminski, R. R.; Degroff, C.; Smith, S. J. Inorg. Chem. 1992, 31, 3325.  doi: 10.1021/ic00041a031

    71. [71]

      Rillema, D. P.; Mack, K. B. Inorg. Chem. 1982, 21, 3849.  doi: 10.1021/ic00140a053

    72. [72]

      Ernst, S.; Kasack, V.; Kaim, W. Inorg. Chem. 1988, 27, 1146.  doi: 10.1021/ic00280a010

    73. [73]

      Albani, B. A.; Peña, B.; Saha, S.; White, J. K.; Schaeffer, A. M.; Dunbar, K. R.; Turro, C. Chem. Commun. 2015, 51, 16522.  doi: 10.1039/C5CC04913J

    74. [74]

      Chen, Y.; Jiang, G.; Zhou, Q.; Zhang, Y.; Li, K.; Zheng, Y.; Zhang, B.; Wang, X. RSC Adv. 2016, 6, 23804.  doi: 10.1039/C6RA03396B

    75. [75]

      Greenough, S. E.; Horbury, M. D.; Smith, N. A.; Sadler, P. J.; Paterson, M. J.; Stavros, V. G. ChemPhysChem 2016, 17, 221.  doi: 10.1002/cphc.201501075

    76. [76]

      Albani, B. A.; Peña, B.; Leed, N. A.; Paula, N. A. B. G. D.; Pavani, C.; Baptista, M. S.; Dunbar, K. R.; Turro, C. J. Am. Chem. Soc. 2014, 136, 17095.  doi: 10.1021/ja508272h

    77. [77]

      Knoll, J. D.; Albani, B. A.; Turro, C. Chem. Commun. 2015, 51, 8777.  doi: 10.1039/C5CC01865J

    78. [78]

      Knoll, J. D.; Albani, B. A.; Turro, C. Acc. Chem. Res. 2015, 48, 2280.  doi: 10.1021/acs.accounts.5b00227

    79. [79]

      Loftus, L. M.; White, J. K.; Albani, B. A.; kohler, L.; Kodanko, J. K.; Thummel, R. P.; Dunba, K. R.; Turro, C. Chem.-Eur. J. 2016, 22, 3704.  doi: 10.1002/chem.201504800

    80. [80]

      Zheng, Y.; Zhou, Q.-X.; Lei, W.-H.; Hou, Y.-J.; Li, K.; Chen, Y.-J.; Zhang, B.-W.; Wang, X.-S. Chem. Commun. 2015, 51, 428.  doi: 10.1039/C4CC06552B

    81. [81]

      Zheng, Y.; Zhou, Q.-X.; Zhang, Y.-Y.; Li, C.; Hou, Y.-J.; Wang, X.-S. Dalton Trans. 2016, 45, 2897.  doi: 10.1039/C5DT03694A

    82. [82]

      Gamer, B. N.; Gallucci, J. C.; Dunbar, K. R.; Turro, C. Inorg. Chem. 2011, 50, 9213.  doi: 10.1021/ic201615u

    83. [83]

      Sgambellone, M. A.; David, A.; Garner, R. N.; Dunbar, K. R.; Turro, C. J. Am. Chem. Soc. 2013, 135, 11274.  doi: 10.1021/ja4045604

    84. [84]

      Respondek, T.; Garmer, R. N.; Herroon, M. K.; Podgorski, I.; Turro, C.; Kodanko, J. J. J. Am. Chem. Soc. 2011, 133, 17164.  doi: 10.1021/ja208084s

    85. [85]

      Respondek, T.; Sharma, R.; Herroon, M. K.; Garmer, R. N.; Knoll, J. D.; Cueny, E.; Turro, C.; Podgorski, I.; Kodanko, J. J. Chem MedChem 2014, 9, 1306.

    86. [86]

      Ramalho, S. D.; Sharma, R.; White, J. K.; Aggarwal, N.; Chalasani, A.; Sameni, M.; Moin, K.; Vieira, P. C.; Turro, C.; Kodanko, J. J.; Sloane, B. F. Plos One 2015, DOI:10.1371/journal.pone.0142527

    87. [87]

      Zhou, Q.-X.; Zheng, Y.; Wang, T.-J.; Chen, Y.-J.; Li, K.; Zhang, Y.-Y.; Li. C.; Hou, Y.-J.; Wang, X.-S. Chem. Commun. 2015, 51, 10684.  doi: 10.1039/C5CC03291A

    88. [88]

      Magennis, S. W.; Habtemariam, A.; Novakova, O.; Henry, J. B.; Meier, S.; Parsons, S.; Oswald, L. D. H.; Brabec, V.; Sadler, P. J. Inorg. Chem. 2007, 46, 5059.  doi: 10.1021/ic062111q

    89. [89]

      Betanzos-Lara, S.; Salassa, L.; Habtemariam, A.; Sadler, P. J. Chem. Commun. 2009, 43, 6622.

    90. [90]

      Barragán, F.; López-Senín, P.; Salassa, L.; Betanzos-Lara, S.; Habtemariam, A.; Moreno, V.; Sadler, P. J.; Marchán, V. J. Am. Chem. Soc. 2011, 133, 14098.  doi: 10.1021/ja205235m

    91. [91]

      Zhou, Q.-X.; Lei, W.-H.; Hou, Y.-J.; Chen, Y.-J.; Li, C.; Zhang, B.-W.; Wang, X.-S. Dalton Trans. 2013, 42, 2786.  doi: 10.1039/C2DT32527F

    92. [92]

      Wang, T.-J.; Zhou, Q.-X.; Zhang, Y.-Y.; Zheng, Y.; Wang, W.-B.; Hou, Y.-J.; Jiang, G.-Y.; Cheng, X.-X.; Wang, X.-S. RSC Adv. 2016, 6, 45652.  doi: 10.1039/C6RA05182K

    93. [93]

      Chen, Y.-J.; Lei, W.-H.; Jiang, G.-Y.; Hou, Y.-J.; Li, C.; Zhang, B.-W.; Zhou, Q.-X.; Wang, X.-S. Dalton Trans. 2014, 43, 15375.  doi: 10.1039/C4DT01755B

    94. [94]

      Chen, Y.-J.; Lei, W.-H.; Hou, Y.-J.; Li, C.; Jiang, G.-Y.; Zhang, B.-W.; Zhou, Q.-X.; Wang, X.-S. Dalton Trans. 2015, 44, 7347.  doi: 10.1039/C5DT00939A

    95. [95]

      Chen, Y.-M.; Jiang, G.-Y.; Wang, X.-S. Imaging Sci. Photochem. 2016, 34, 297 (in Chinese).

  • 加载中
    1. [1]

      Fa Wang Yu Chen Hui Chao . Ruthenium(II) Complexes as Photoactivated Chemo-Prodrugs for Hypoxic Tumor Therapy. University Chemistry, 2025, 40(7): 200-212. doi: 10.12461/PKU.DXHX202410024

    2. [2]

      Qilu DULi ZHAOPeng NIEBo XU . Synthesis and characterization of osmium-germyl complexes stabilized by triphenyl ligands. Chinese Journal of Inorganic Chemistry, 2024, 40(6): 1088-1094. doi: 10.11862/CJIC.20240006

    3. [3]

      Linjie ZHUXufeng LIU . Electrocatalytic hydrogen evolution performance of tetra-iron complexes with bridging diphosphine ligands. Chinese Journal of Inorganic Chemistry, 2025, 41(2): 321-328. doi: 10.11862/CJIC.20240207

    4. [4]

      Hongjie SHENHaozhe MIAOYuhe YANGYinghua LIDeguang HUANGXiaofeng ZHANG . Synthesis, crystal structure, and fluorescence properties of two Cu(Ⅰ) complexes based on pyridyl ligand. Chinese Journal of Inorganic Chemistry, 2025, 41(5): 855-863. doi: 10.11862/CJIC.20250009

    5. [5]

      Ke QIAOYanlin LIShengli HUANGGuoyu YANG . Advancements in asymmetric catalysis employing chiral iridium (ruthenium) complexes. Chinese Journal of Inorganic Chemistry, 2024, 40(11): 2091-2104. doi: 10.11862/CJIC.20240265

    6. [6]

      Yingchun ZHANGYiwei SHIRuijie YANGXin WANGZhiguo SONGMin WANG . Dual ligands manganese complexes based on benzene sulfonic acid and 2, 2′-bipyridine: Structure and catalytic properties and mechanism in Mannich reaction. Chinese Journal of Inorganic Chemistry, 2024, 40(8): 1501-1510. doi: 10.11862/CJIC.20240078

    7. [7]

      Linjie ZHUXufeng LIU . Synthesis, characterization and electrocatalytic hydrogen evolution of two di-iron complexes containing a phosphine ligand with a pendant amine. Chinese Journal of Inorganic Chemistry, 2025, 41(5): 939-947. doi: 10.11862/CJIC.20240416

    8. [8]

      Zhengqi SHENHanxue LIULin HOUMeng RENXiangyu DAIYating ZHANGZhi SUChao GEXuling XUEHongke LIU . A dual-pathway synergistic inhibition strategy based on ruthenium/iridium metal complexes targeting GPX4 and DHODH: Mechanism of directly activating ferroptosis in leukemia cells. Chinese Journal of Inorganic Chemistry, 2026, 42(2): 271-283. doi: 10.11862/CJIC.20250230

    9. [9]

      Zhongxin YUWei SONGYang LIUYuxue DINGFanhao MENGShuju WANGLixin YOU . Fluorescence sensing on chlortetracycline of a Zn-coordination polymer based on mixed ligands. Chinese Journal of Inorganic Chemistry, 2024, 40(12): 2415-2421. doi: 10.11862/CJIC.20240304

    10. [10]

      Xiao SANGQi LIUJianping LANG . Synthesis, structure, and fluorescence properties of Zn(Ⅱ) coordination polymers containing tetra-alkenylpyridine ligands. Chinese Journal of Inorganic Chemistry, 2024, 40(11): 2124-2132. doi: 10.11862/CJIC.20240158

    11. [11]

      Xinxin YUYongxing LIUXiaohong YIMiao CHANGFei WANGPeng WANGChongchen WANG . Photocatalytic peroxydisulfate activation for degrading organic pollutants over the zero-valent iron recovered from subway tunnels. Chinese Journal of Inorganic Chemistry, 2025, 41(5): 864-876. doi: 10.11862/CJIC.20240438

    12. [12]

      Xiaowu Zhang Pai Liu Qishen Huang Shufeng Pang Zhiming Gao Yunhong Zhang . Acid-Base Dissociation Equilibrium in Multiphase System: Effect of Gas. University Chemistry, 2024, 39(4): 387-394. doi: 10.3866/PKU.DXHX202310021

    13. [13]

      Xiaowei TANGShiquan XIAOJingwen SUNYu ZHUXiaoting CHENHaiyan ZHANG . A zinc complex for the detection of anthrax biomarker. Chinese Journal of Inorganic Chemistry, 2024, 40(10): 1850-1860. doi: 10.11862/CJIC.20240173

    14. [14]

      Haitang WANGYanni LINGXiaqing MAYuxin CHENRui ZHANGKeyi WANGYing ZHANGWenmin WANG . Construction, crystal structures, and biological activities of two Ln3 complexes. Chinese Journal of Inorganic Chemistry, 2024, 40(8): 1474-1482. doi: 10.11862/CJIC.20240188

    15. [15]

      Wei Li Ze Chang Meihui Yu Ying Zhang . Curriculum Ideological and Political Design of Piezoelectricity Measurement Experiments of Coordination Compounds. University Chemistry, 2024, 39(2): 77-82. doi: 10.3866/PKU.DXHX202308004

    16. [16]

      Ji Qi Jianan Zhu Yanxu Zhang Jiahao Yang Chunting Zhang . Visible Color Change of Copper (II) Complexes in Reversible SCSC Transformation: The Effect of Structure on Color. University Chemistry, 2024, 39(3): 43-57. doi: 10.3866/PKU.DXHX202307050

    17. [17]

      Cunling Ye Xitong Zhao Hongfang Wang Zhike Wang . A Formula for the Calculation of Complex Concentrations Arising from Side Reactions and Its Applications. University Chemistry, 2024, 39(4): 382-386. doi: 10.3866/PKU.DXHX202310043

    18. [18]

      Keweiyang Zhang Zihan Fan Liyuan Xiao Haitao Long Jing Jing . Unveiling Crystal Field Theory: Preparation, Characterization, and Performance Assessment of Nickel Macrocyclic Complexes. University Chemistry, 2024, 39(5): 163-171. doi: 10.3866/PKU.DXHX202310084

    19. [19]

      Tianyun Chen Ruilin Xiao Xinsheng Gu Yunyi Shao Qiujun Lu . Synthesis, Crystal Structure, and Mechanoluminescence Properties of Lanthanide-Based Organometallic Complexes. University Chemistry, 2024, 39(5): 363-370. doi: 10.3866/PKU.DXHX202312017

    20. [20]

      Wenjing ZHANGXiaoqing WANGZhipeng LIU . Recent developments of inorganic metal complex-based photothermal materials and their applications in photothermal therapy. Chinese Journal of Inorganic Chemistry, 2024, 40(12): 2356-2372. doi: 10.11862/CJIC.20240254

Metrics
  • PDF Downloads(45)
  • Abstract views(3403)
  • HTML views(742)

通讯作者: 陈斌, bchen63@163.com
  • 1. 

    沈阳化工大学材料科学与工程学院 沈阳 110142

  1. 本站搜索
  2. 百度学术搜索
  3. 万方数据库搜索
  4. CNKI搜索
Address:Zhongguancun North First Street 2,100190 Beijing, PR China Tel: +86-010-82449177-888
Powered By info@rhhz.net

/

DownLoad:  Full-Size Img  PowerPoint
Return