Citation: Han Ting, Cathy K. W. Jim, Jacky W. Y. Lam, Tang Ben Zhong. Polyynes with Aggregation-Induced Emission Characteristics: Synthesis and Their Photonic Properties[J]. Acta Chimica Sinica, ;2016, 74(11): 877-884. doi: 10.6023/A16070348 shu

Polyynes with Aggregation-Induced Emission Characteristics: Synthesis and Their Photonic Properties

  • Corresponding author: Jacky W. Y. Lam, chjacky@ust.hk Tang Ben Zhong, tangbenz@ust.hk
  • Han, Ting and Cathy K. W. Jim contributed equally to this work
  • Received Date: 16 July 2016

    Fund Project: National Basic Research Program of China 973 Programthe National Natural Science Foundation of China 21490570and the Innovation and Technology Commission ITC-CNERC14S01the Research Grants Council of Hong Kong 16305014the University Grants Committee of Hong Kong AoE/P-03/08the Research Grants Council of Hong Kong 16303815B.Z.T. thanks the support of the Guangdong Innovative Research Team Program 201101C0105067115National Basic Research Program of China 2013CB834701the National Natural Science Foundation of China 21490574the Research Grants Council of Hong Kong 604913National Basic Research Program of China 2013CB834702

Figures(11)

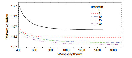
  • Tetraphenylethene-containing diacetylenes are synthesized and their homopolymerizations are catalyzed by CuCl in o-dichlorobenzene, furnishing linear polyynes in high isolated yields. All polymers possess good solubility in common organic solvents and enjoy high thermal stability. Whereas they are practically non-emissive when molecularly dissolved in good solvents, they become highly emissive when aggregated as nanoparticle suspensions in poor solvents or fabricated into thin films in the solid state, demonstrating a novel phenomenon of aggregation-induced emission. The polymers are highly transparent, allowing almost all light in the entire visible spectral region to transmit through. Thin films of the polymers show high refractive indices (n=1.7787~1.6543) in the wavelength region of 400~1700 nm and very low chromatic aberrations (D'=0.0003). Their n values can be modulated and their thin films can be crosslinked by UV irradiation, generating fluorescent patterns with high resolutions.
  • 加载中
    1. [1]

      Cheuk, K. K. L.; Li, B. S.; Tang, B. Z. In Encyclopedia of Nanoscience and Nanotechnology, Vol. 8, Ed.:Nalwa, H. S., American Scientific Publishers, California, 2004, pp. 703~713; (b) Lam, J. W. Y.; Tang, B. Z. J. Polym. Sci. Part A:Polym. Chem. 2003, 41, 2607; (c) Cheuk, K. K. L.; Li, B. S.; Tang, B. Z. Curr. Trends Polym. Sci. 2002, 7, 41. (d) Tang, B. Z. Polym. News 2001, 26, 262; (e) Li, Z.; Dong, Y. Q.; Qin, A. J.; Lam, J. W. Y.; Dong, Y. P.; Yuan, W. Z.; Sun, J. Z.; Hua, J. L.; Wong, K. S.; Tang, B. Z. Macromolecules 2006, 39, 467.

    2. [2]

      Liu, J. Z.; Lam, J. W. Y.; Tang, B. Z. Chem. Rev. 2009, 109, 5799; (b) Zhou, L.; Jiang, H. F.; Huang, J. M.; Tang, J. Y. Chinese J. Org. Chem. 2006, 26, 1. (周磊, 江焕峰, 黄精美, 唐金玉, 有机化学, 2006, 26, 1.); (c) Hӓuβler, M.; Lam, J. W. Y.; Qin, A.; Tse, K. K. C.; Li, M. K. S.; Liu, J.; Jim, C. K. W.; Gao, P.; Tang, B. Z. Chem. Commun. 2007, 2584; (d) Qin, A.; Lam, J. W. Y.; Dong, H.; Lu, W.; Jim, C. K. W.; Dong, Y. Q.; Hӓuβler, M.; Sung, H. H. Y.; Williams, I. D.; Wong, G. K. L.; Tang, B. Z. Macromolecules 2007, 40, 4879; (e) Dong, H.; Zheng, R.; Lam, J. W. Y.; Hӓuβler, M.; Tang, B. Z. Macromolecules 2005, 38, 6382; (f) Jim, C. K. W.; Qin, A.; Lam, J. W. Y.; Hӓuβler, M.; Liu, J.; Yuen, M. M. F.; Kim, J. K.; Ng, K. A.; Tang, B. Z. Macromolecules 2009, 42, 4099.

    3. [3]

      Jakubiak, R.; Collison, C. J.; Wan, W. C.; Rothberg, L. J.; Hsieh, B. R. J. Phys. Chem. A 1999, 103, 2394.
       

    4. [4]

      Luo, J.; Xie, Z.; Lam, J. W. Y.; Cheng, L.; Chen, H.; Qiu, C.; Kwok, H. S.; Zhao, X.; Liu, Q.; Zhu, D.; Tang, B. Z. Chem. Commun. 2001, 1740.

    5. [5]

      Qian, L. J.; Tong, B.; Zhi, J. G.; Yang, F.; Shen, J. B.; Shi, J. B.; Dong, Y. P. Acta Chim. Sinica 2008, 66, 1134. (钱立军, 佟斌, 支俊格, 杨帆, 申进波, 石建兵, 董宇平, 化学学报, 2008, 66, 1134.); (b) Xun, Z. Q.; Tang, H. Y.; Zeng, Y.; Chen, J. P.; Yu, T. J.; Zhang, X. H.; Li, Y. Acta Chim. Sinica 2015, 73, 819. (寻知庆, 唐海云, 曾毅, 陈金平, 于天君, 张小辉, 李嫕, 化学学报, 2015, 73, 819.); (c) Mei, J.; Leung, N. L. C.; Kwok, R. T. K.; Lam, J. W. Y.; Tang, B. Z. Chem. Rev. 2015, 115, 11718; (d) Zhang, Y. H.; Kong, L. W.; Shi, J. B.; Tong, B.; Zhi, J. G.; Feng, X.; Dong, Y. P. Chin. J. Chem. 2015, 33, 701.

    6. [6]

      Hu, R. R.; Leung, N. L. C.; Tang, B. Z. Chem. Soc. Rev. 2014, 43, 4494; (b) Wu, W. B.; Tang, R. L.; Li, Q. Q.; Li, Z. Chem. Soc. Rev. 2015, 44, 3997; (c) Hu, R. R.; Li, W. Z.; Tang, B. Z. Macromol. Chem. Phys. 2016, 217, 213.

    7. [7]

      Qin, A.; Lam, J. W. Y.; Tang, L.; Jim, C. K. W.; Zhao, H.; Sun, J.; Tang, B. Z. Macromolecules 2009, 42, 1421; (b) Qin, A.; Tang, L.; Lam, J. W. Y.; Jim, C. K. W.; Yu, Y.; Zhao, H.; Sun, J.; Tang, B. Z. Adv. Funct. Mater. 2009, 19, 1891.

    8. [8]

      Ogawa, T. Prog. Polym. Sci. 1995, 20, 943; (b) Hay, A. S. J. Polym. Sci. Part A:Polym. Chem. 1998, 36, 505; (c) Siemsen, P.; Livingston, R. C.; Diederich, F. Angew. Chem. Int. Ed. 2000, 39, 2633; (d) Bunz, U. H. F. Chem. Rev. 2000, 100, 1605.

    9. [9]

      Higashihara, T.; Ueda, M. Macromolecules 2015, 48, 1915; (b) You, N.-H.; Suzuki, Y.; Higashihara, T.; Ando, S.; Ueda, M. Polymer 2009, 50, 789.

    10. [10]

      Hӓuβler, M.; Lam, J. W. Y.; Qin, A.; Tse, K. K. C.; Li, M. K. S.; Liu, J.; Jim, C. K. W.; Gao, P.; Tang, B. Z. Chem. Commun. 2007, 2584; (b) Liu, J.-G.; Ueda, M. J. Mater. Chem. 2009, 19, 8907.

    11. [11]

      Raman, C. V. Proc. Ind. Acad. Sci. 1950, 31A, 141; (b) Inoue, T.; Okamoto, H.; Osaki, K. Macromolecules 1991, 24, 5670; (c) Inoue, T.; Hwang, E.-J.; Osaki, K. Polymer 1997, 38, 1029.

    12. [12]

      Wei, Q.; Pötzsch, R.; Liu, X. L.; Komber, H.; Kiriy, A.; Voit, B.; Will, P.-A.; Lenk, S.; Reineke, S. Adv. Funct. Mater. 2016, 26, 2545.  doi: 10.1002/adfm.v26.15

    13. [13]

      Yang, C. J.; Jenekhe, S. A. Chem. Mater. 1995, 7, 1276; (b) Yang, C. J.; Jenekhe, S. A. Chem. Mater. 1994, 6, 196; (c) Liu, Y. J.; Lam, J. W. Y.; Tang, B. Z. Natl. Sci. Rev. 2015, 2, 493; (d) Han, T.; Deng, H. Q.; Yu, C. Y. Y.; Gui, C.; Song, Z. G.; Kowk, R. T. K.; Lam, J. W. Y.; Tang, B. Z. Polym. Chem. 2016, 7, 2501.

    14. [14]

      Chu, J. B.; Huang, S. M.; Zhu, H. B.; Xu, X. B.; Sun, Z.; Chen, Y. W.; Huang, F. Q. J. Non-Cryst. Solids 2008, 354, 5480; (b) Chan, C. Y. K.; Lam, J. W. Y.; Jim, C. K. W.; Sung, H. H. Y.; Williams, I. D.; Tang, B. Z. Macromolecules 2013, 46, 9494.

    15. [15]

      Campbell, M.; Sharp, D. N.; Harrison, M. T.; Denning, R. G.; Turberfield, A. J. Nature 2000, 404, 53; (b) Li, Z. A.; Jiang, Z. Q.; Ye, S. H.; Jim, C. K. W.; Yu, G.; Liu, Y. Q.; Qin, J. G.; Tang, B. Z.; Li, Z. J. Mater. Chem. 2011, 21, 14663.

  • 加载中
    1. [1]

      Ruoqian Zhang Chaoqun Mu Yali Hou Mingming Zhang . 四苯乙烯基多组分金属有机笼的构筑及其固态发光性能研究. University Chemistry, 2025, 40(8): 277-283. doi: 10.12461/PKU.DXHX202410027

    2. [2]

      Hongxia Yan Rui Wu Weixu Feng Yan Zhao Yi Yan . Innovation Inspired by Classical Chemistry: Luminescent Hyperbranched Polysiloxanes. University Chemistry, 2025, 40(4): 154-159. doi: 10.12461/PKU.DXHX202409010

    3. [3]

      Xinrong Wu Yingying Ren Jianxue Wang Lijin Yang Jia Jia Nan Li Na Zhao . 聚光捕胺——高灵敏胺响应型聚集诱导发光探针的合成及传感应用. University Chemistry, 2026, 41(5): 180-189. doi: 10.12461/PKU.DXHX202509129

    4. [4]

      Pan Li Huguo Shen Cong Hua Jinjie Fang Xiangying Chi Quan Jiang Zichen Feng Ye Kang Bin Zheng . Synthesis and Characterization of an Aggregation-Induced Emission-Active Organic Cage Molecule: A Proposed Comprehensive Chemistry Experiment. University Chemistry, 2025, 40(11): 337-345. doi: 10.12461/PKU.DXHX202502083

    5. [5]

      Yubin Su Chenyu Yao Shuyan Chen Lisha Xu Min Peng Yawen Wang Yu Peng Jianfeng Zheng . 一种聚集诱导发光荧光探针的合成及其在指纹显影中的应用——本科生综合性化学实验探索. University Chemistry, 2026, 41(5): 70-78. doi: 10.12461/PKU.DXHX202511031

    6. [6]

      Rui Gao Ying Zhou Yifan Hu Siyuan Chen Shouhong Xu Qianfu Luo Wenqing Zhang . Design, Synthesis and Performance Experiment of Novel Photoswitchable Hybrid Tetraarylethenes. University Chemistry, 2024, 39(5): 125-133. doi: 10.3866/PKU.DXHX202310050

    7. [7]

      Yanyang Li Zongpei Zhang Kai Li Shuangquan Zang . Ideological and Political Design for the Comprehensive Experiment of the Synthesis and Aggregation-Induced Emission (AIE) Performance Study of Salicylaldehyde Schiff-Base. University Chemistry, 2024, 39(2): 105-109. doi: 10.3866/PKU.DXHX202307020

    8. [8]

      Senqiang Zhu Ruohan Li Yujia Yang Jinzhi Liao Rui Liu . 聚光成辉——Suzuki偶联反应高效制备聚集诱导发射荧光分子及其潜指纹识别应用. University Chemistry, 2026, 41(5): 109-119. doi: 10.12461/PKU.DXHX202511066

    9. [9]

      Hongxia Yan Weixu Feng Junyan Yao Wei Tian Rui Wang . Illuminating the Teaching of Science and Engineering Graduate Courses with “Curriculum Ideology and Politics”. University Chemistry, 2024, 39(6): 122-127. doi: 10.3866/PKU.DXHX202310059

    10. [10]

      Pengli GUANRenhu BAIXiuling SUNBin LIU . Trianiline-derived aggregation-induced emission luminogen probe for lipase detection and cell imaging. Chinese Journal of Inorganic Chemistry, 2025, 41(9): 1817-1826. doi: 10.11862/CJIC.20250058

    11. [11]

      Yi DINGPeiyu LIAOJianhua JIAMingliang TONG . Structure and photoluminescence modulation of silver(Ⅰ)-tetra(pyridin-4-yl)ethene metal-organic frameworks by substituted benzoates. Chinese Journal of Inorganic Chemistry, 2025, 41(1): 141-148. doi: 10.11862/CJIC.20240393

    12. [12]

      Chengqian Mao Yanghan Chen Haotong Bai Junru Huang Junpeng Zhuang . Photodimerization of Styrylpyridinium Salt and Its Application in Silk Screen Printing. University Chemistry, 2024, 39(5): 354-362. doi: 10.3866/PKU.DXHX202312014

    13. [13]

      Qiaorong RU . Synthesis and characterization of tripyridine functionalized polyionic liquid luminescent materials. Chinese Journal of Inorganic Chemistry, 2026, 42(1): 111-119. doi: 10.11862/CJIC.20250121

    14. [14]

      Dingwen CHENSiheng YANGHaiyan FUHua CHENXueli ZHENGWeichao XUEJiaqi XURuixiang LI . NiOOH-mediated synthesis of gold nanoaggregates for electrocatalytic performance for selective oxidation of glycerol to glycolate. Chinese Journal of Inorganic Chemistry, 2025, 41(11): 2317-2326. doi: 10.11862/CJIC.20250053

    15. [15]

      Zhen FANJiayan WANGWenhao ZHUXiuchun ZHANGYang WANGHao LIZeyuan WANGSongzhi ZHENGWeihai SUN . Fabrication of CsPbBr3 perovskite solar cells using buried polyvinylidene fluorideinterface modification method. Chinese Journal of Inorganic Chemistry, 2025, 41(12): 2464-2478. doi: 10.11862/CJIC.20250191

    16. [16]

      Yingtong FANYujin YAOShouhao WANYihang SHENXiang GAOCuie ZHAO . Construction of copper tetrakis(4-carboxyphenyl)porphyrin/silver nanowire composite electrode for flexible and transparent supercapacitors. Chinese Journal of Inorganic Chemistry, 2025, 41(7): 1309-1317. doi: 10.11862/CJIC.20250043

    17. [17]

      Ranhui Fu Shixin Zhou Ran Ji Feifei Gao Hui Xu . 季膦盐合成实验的改进与拓展——水相一步法合成乙基三苯基溴化膦及其力致发光锰配合物的制备及表征. University Chemistry, 2026, 41(5): 252-263. doi: 10.12461/PKU.DXHX202510018

    18. [18]

      Yafei Wang Yan Zhang Wei Li Tingting Wang Jiexuan Yang Hui He Ying Guan Yongjun Zhang . The Secret Dance of Colors: Exploring How Colloidal Crystals Refract Beautiful Light and Shadows. University Chemistry, 2026, 41(4): 417-423. doi: 10.12461/PKU.DXHX202504026

    19. [19]

      Jie ZHAOSen LIUQikang YINXiaoqing LUZhaojie WANG . Theoretical calculation of selective adsorption and separation of CO2 by alkali metal modified naphthalene/naphthalenediyne. Chinese Journal of Inorganic Chemistry, 2024, 40(3): 515-522. doi: 10.11862/CJIC.20230385

    20. [20]

      Dongheng WANGSi LIShuangquan ZANG . Construction of chiral alkynyl silver chains and modulation of chiral optical properties. Chinese Journal of Inorganic Chemistry, 2025, 41(1): 131-140. doi: 10.11862/CJIC.20240379

Metrics
  • PDF Downloads(0)
  • Abstract views(2998)
  • HTML views(400)

通讯作者: 陈斌, bchen63@163.com
  • 1. 

    沈阳化工大学材料科学与工程学院 沈阳 110142

  1. 本站搜索
  2. 百度学术搜索
  3. 万方数据库搜索
  4. CNKI搜索
Address:Zhongguancun North First Street 2,100190 Beijing, PR China Tel: +86-010-82449177-888
Powered By info@rhhz.net

/

DownLoad:  Full-Size Img  PowerPoint
Return