Citation: Tang Haoming, Huo Xiaohong, Meng Qinghua, Zhang Wanbin. Palladium-Catalyzed Allylic C—H Functionalization: The Development of New Catalytic Systems[J]. Acta Chimica Sinica, ;2016, 74(3): 219-233. doi: 10.6023/A16020078 shu

Palladium-Catalyzed Allylic C—H Functionalization: The Development of New Catalytic Systems

  • Corresponding author: Meng Qinghua, wanbin@sjtu.edu.cn Zhang Wanbin, wanbin@sjtu.edu.cn
  • Received Date: 3 February 2016

    Fund Project: National Natural Science Foundation of China 21232004

Figures(27)

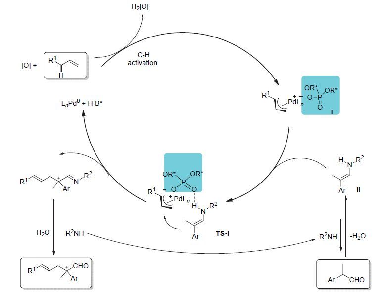
  • Palladium-catalyzed allylic substitution is one of the most important methodologies for the construction of C—C and C—X bonds, and has been widely applied in the synthesis of bioactive natural and pharmaceutical products. Tremendous progress has been made towards the development of increasingly elaborate nucleophiles and catalysts to facilitate the aforementioned reaction. Despite significant advances, Pd-catalyzed allylic substitution reactions remain limited to substrates possessing a good leaving group such as a carboxylate, carbonate, phosphate, or other related derivatives on the allylic moiety. Allylic alcohols and amines have also gained attention for use as substrates for Pd-catalyzed allylic substitutions, because of their use in aiding waste minimization and sustainability. Allyl groups containing allylic C—H bond(s) widely are present in numerous commercially available organic compounds and various kinds of intermediates for chemical synthesis. There is no doubt that the transformation of allylic C—H bonds into new C—C and C—X bonds is an ideal method to introduce new functional groups into molecules to construct more complex structures. However, allylic C—H functionalizations catalyzed by transition-metals are more challenging than allylic alcohols and other related allyl substrates, due to the difficult cleavage of the C—H bond and the need for a suitable oxidant. Recently, some significant advances have been reported by chemists and so Pd-catalyzed allylic C—H activations for the construction of C—C and C—X bonds have become a hot topic in the chemical community. A series of novel reactions based on new catalytic systems have been developed to produce useful molecules and complex natural products. The control of branch/linear selectivity and enantioselectivity has also been realized in the latest reports. Related work in this field is reviewed in this paper from the viewpoint of alkene substrates and nucleophiles. Pd(Ⅱ)-catalyzed asymmetric allylic C—H functionalizations are also introduced. The advantages and disadvantages of different kinds of catalytic systems (including DMSO, bissulfoxide, PPh3 and phosphoramidate as ligands) are discussed. Finally, pathways for future developments have been proposed.
  • 加载中
    1. [1]

      Godleski, S. A. In Comprehensive Organic Synthesis, Eds.: Trost, B. M.; Fleming, I., Pergamon Press, New York, 1991, p. 585.(b) Tsuji, J. Transition Metal Reagents and Catalysts, Wiley, New York, 2000.(c) Trost, B. M.; Crawley, M. L. Chem. Rev. 2003, 103, 2921.(d) Trost, B. M.; Machacek, M. R.; Aponick, A. Acc. Chem. Res. 2006, 39, 747.(e) Lu, Z.; Ma, S. Angew. Chem., Int. Ed. 2008, 47, 258.

    2. [2]

       

    3. [3]

      For selected recent papers:(a) Ozawa, F.; Okamoto, H.; Kawagishi, K.; Yamamoto, S.; Minami, T.; Yoshifuji, M. J. Am. Chem. Soc. 2002, 124, 10968.(b) Jiang, G.; List, B. Angew. Chem., Int. Ed. 2011, 50, 9471.(c) Zhao, X.; Liu, D.; Guo, H.; Liu, Y.; Zhang, W. J. Am. Chem. Soc. 2011, 133, 19354.(d) Wu, X.-S.; Chen, Y.; Li, M.-B.; Zhou, M.-G.; Tian, S.-K. J. Am. Chem. Soc. 2012, 134, 14694.(e) Li, M.-B.; Wang, Y.; Tian, S.-K. Angew. Chem., Int. Ed. 2012, 51, 2968.(f) Tao, Z.-L.; Zhang, W.-Q.; Chen, D.-F.; Adele, A. Gong, L.-Z. J. Am. Chem. Soc. 2013, 135, 9255.(g) Huo, X.; Yang, G.; Liu, D.; Liu, Y.; Gridnev, I. D.; Zhang, W. Angew. Chem., Int. Ed. 2014, 53, 6776.(h) Banerjee, D.; Junge, K.; Beller, M. Angew. Chem., Int. Ed. 2014, 53, 13049.(i) Huo, X.; Quan, M.; Yang, G.; Zhao, X.; Liu, D.; Liu, Y.; Zhang, W. Org. Lett. 2014, 16, 1570.(j) Wu, X.; Lin, H.-C.; Li, M.-L.; Li, L.-L.; Han. Z.-Y.; Gong, L.-Z. J. Am. Chem. Soc. 2015, 137, 13476. 

    4. [4]

    5. [5]

      Parshall, G.; Wilkinson, G. Inorg. Chem. 1962, 1, 896.

    6. [6]

      Trost, B. M.; Fullerton, T. J. Am. Chem. Soc. 1973, 95, 292. 

    7. [7]

      Beccalli, E.; Broggini, G.; Martinelli, M.; Sottocornola, S. Chem. Rev. 2007, 107, 5318.

    8. [8]

      Heumann, A.; Reglier, M.; Waegell, B. Angew. Chem., Int. Ed. Eng. 1982, 21, 366.(b) Heumann, A.; Kermark, B. Angew. Chem., Int. Ed. Engl. 1984, 23, 453.(c) McMurry, J.; Kocovsky, P. Tetrahedron Lett. 1984, 25, 4187. 

    9. [9]

      Franzén, J.; Backväll, J.-E. J. Am. Chem. Soc. 2003, 125, 6056.

    10. [10]

      Piera, J.; Närhi, K.; Backväll, J.-E. Angew. Chem., Int. Ed. 2006, 45, 6914.

    11. [11]

      Chen, M. S.; White, M. C. J. Am. Chem. Soc. 2004, 126, 1346. 

    12. [12]

      Fraunhoffer, K. J.; Prabagaran, N.; Sirois, L. E.; White, M. C. J. Am. Chem. Soc. 2006, 128, 9032. 

    13. [13]

      Covell, D. J.; Vermeulen, N. A.; Laben, N. A.; White, M. C. Angew. Chem., Int. Ed. 2006, 45, 8217. 

    14. [14]

      Gormisky, P.; White, M. C. J. Am. Chem. Soc. 2011, 133, 12584. 

    15. [15]

      Osberger, T. J.; White, M. C. J. Am. Chem. Soc. 2014, 136, 11176. 

    16. [16]

      Ammann, S. E.; Rice, G. T.; White, M. J. Am. Chem. Soc. 2014, 136, 10834. 

    17. [17]

      Fraunhoffer, K. J.; White, M. C. J. Am. Chem. Soc. 2007, 129, 7274. 

    18. [18]

      Wu, L.; Qiu, S.; Liu, G. Org. Lett. 2009, 11, 2707.

    19. [19]

      Rice, G. T.; White, M. C. J. Am. Chem. Soc. 2009, 131, 11707. 

    20. [20]

      Strambeanu, I. I.; White, M. C. J. Am. Chem. Soc. 2013, 135, 12032. 

    21. [21]

      Liu, G.; Yin, G.; Wu, L. Angew. Chem., Int. Ed. 2008, 47, 4733. 

    22. [22]

      Reed, S. A.; White, M. C. J. Am. Chem. Soc. 2008, 130, 3316. 

    23. [23]

      Du, H.; Yuan, W.; Zhao, B.; Shi, Y. J. Am. Chem. Soc. 2007, 129, 7496.(b) Du, H.; Zhao, B.; Shi, Y. J. Am. Chem. Soc. 2008, 130, 8590. 

    24. [24]

      Lin, S.; Song, C.-X.; Cai, G.-X.; Wang, W.-H.; Shi, Z.-J. J. Am. Chem. Soc. 2008, 130, 12901.

    25. [25]

      Young, A. J.; White, M. C. J. Am. Chem. Soc. 2008, 130, 14090. 

    26. [26]

      Young, A. J.; White, M. C. Angew. Chem., Int. Ed. 2011, 50, 6824. 

    27. [27]

      Howell, J. M.; Liu, W.; Young, A. J.; White, M. C. J. Am. Chem. Soc. 2014, 136, 5750. 

    28. [28]

      Trost, B. M.; Hansmann, M. M.; Thaisrivongs, D. A. Angew. Chem., Int. Ed. 2012, 51, 4950. 

    29. [29]

      Trost, B. M.; Thaisrivongs, D. A.; Hansmann, M. M. Angew. Chem., Int. Ed. 2012, 51, 11522. 

    30. [30]

      Covell, D. J.; White, M. C. Angew. Chem., Int. Ed. 2008, 47, 6448. 

    31. [31]

      Wang, P.-S.; Liu, P.; Zhai, Y.-J.; Lin, H.-C.; Han, Z.-Y.; Gong, L.-Z. J. Am. Chem. Soc. 2015, 137, 12732.

    32. [32]

      Trost, B. M.; Thaisrivongs, D. A.; Donckele, E. J. Angew. Chem., Int. Ed. 2013, 52, 1523. 

    33. [33]

      Tang, S.; Wu, X.; Liao, W.; Liu, K.; Liu, C.; Luo, S.; Lei, A. Org. Lett. 2014, 16, 3584.

    34. [34]

      Wang, P.-S.; Lin, H.-C.; Zhai, Y.-J.; Han, Z.-Y.; Gong, L.-Z. Angew. Chem., Int. Ed. 2014, 53, 12218.

  • 加载中
    1. [1]

      Xiyuan Zhang Rui Dong Yang Yang Jiapeng Ding Zhiwei Miao . Palladium-Catalyzed Tandem Cyclization of 4-Vinylbenzoxazinone and Indene-2-carbaldehyde: A Comprehensive Organic Chemistry Experiment. University Chemistry, 2025, 40(9): 361-367. doi: 10.12461/PKU.DXHX202410062

    2. [2]

      Lewang YuanYaoyao PengZong-Jie GuanYu Fang . Insights into the development of 2D covalent organic frameworks as photocatalysts in organic synthesis. Acta Physico-Chimica Sinica, 2025, 41(8): 100086-0. doi: 10.1016/j.actphy.2025.100086

    3. [3]

      Tingbo Wang Yao Luo Bingyan Hu Ruiyuan Liu Jing Miao Huizhe Lu . Quantitative Computational Study on the Claisen Rearrangement Reaction of Allyl Phenyl Ethers: An Introduction to a Computational Chemistry Experiment. University Chemistry, 2024, 39(11): 278-285. doi: 10.12461/PKU.DXHX202403082

    4. [4]

      Renxiao Liang Zhe Zhong Zhangling Jin Lijuan Shi Yixia Jia . A Palladium/Chiral Phosphoric Acid Relay Catalysis for the One-Pot Three-Step Synthesis of Chiral Tetrahydroquinoline. University Chemistry, 2024, 39(5): 209-217. doi: 10.3866/PKU.DXHX202311024

    5. [5]

      Xiaofei ZhangShanhao XuZhiyuan WangLong HeTiangcheng HuangYongming XuYucui BianYike LiHaijun ChenZhongjun Li . Surface doping of graphene into BiOCl for efficient photocatalytic amine coupling under visible light. Acta Physico-Chimica Sinica, 2026, 42(5): 100202-0. doi: 10.1016/j.actphy.2025.100202

    6. [6]

      Shiqian WEIXinyu TIANHong LIUMaoxia CHENFan TANGQiang FANWeifeng FANYu HU . Oxygen reduction reaction/oxygen evolution reaction catalytic performances of different active sites on nitrogen-doped graphene loaded with iron single atoms. Chinese Journal of Inorganic Chemistry, 2025, 41(9): 1776-1788. doi: 10.11862/CJIC.20250102

    7. [7]

      Lili Jiang Shaoyu Zheng Xuejiao Liu Xiaomin Xie . Copper-Catalyzed Oxidative Coupling Reactions for the Synthesis of Aryl Sulfones: A Fundamental and Exploratory Experiment for Undergraduate Teaching. University Chemistry, 2025, 40(7): 267-276. doi: 10.12461/PKU.DXHX202408004

    8. [8]

      Haoyu SunDun LiYuanyuan MinYingying WangYanyun MaYiqun ZhengHongwen Huang . Hierarchical Palladium-Copper-Silver Porous Nanoflowers as Efficient Electrocatalysts for CO2 Reduction to C2+ Products. Acta Physico-Chimica Sinica, 2024, 40(6): 2307007-0. doi: 10.3866/PKU.WHXB202307007

    9. [9]

      Pengzi Wang Wenjing Xiao Jiarong Chen . Copper-Catalyzed C―O Bond Formation by Kharasch-Sosnovsky-Type Reaction. University Chemistry, 2025, 40(4): 239-244. doi: 10.12461/PKU.DXHX202406090

    10. [10]

      Danqing Wu Jiajun Liu Tianyu Li Dazhen Xu Zhiwei Miao . Research Progress on the Simultaneous Construction of C—O and C—X Bonds via 1,2-Difunctionalization of Olefins through Radical Pathways. University Chemistry, 2024, 39(11): 146-157. doi: 10.12461/PKU.DXHX202403087

    11. [11]

      Yi YangXin ZhouMiaoli GuBei ChengZhen WuJianjun Zhang . Femtosecond transient absorption spectroscopy investigation on ultrafast electron transfer in S-scheme ZnO/CdIn2S4 photocatalyst for H2O2 production and benzylamine oxidation. Acta Physico-Chimica Sinica, 2025, 41(6): 100064-0. doi: 10.1016/j.actphy.2025.100064

    12. [12]

      Wei ZhongDan ZhengYuanxin OuAiyun MengYaorong Su . Simultaneously Improving Inter-Plane Crystallization and Incorporating K Atoms in g-C3N4 Photocatalyst for Highly-Efficient H2O2 Photosynthesis. Acta Physico-Chimica Sinica, 2024, 40(11): 2406005-0. doi: 10.3866/PKU.WHXB202406005

    13. [13]

      Jiaqi ANYunle LIUJianxuan SHANGYan GUOCe LIUFanlong ZENGAnyang LIWenyuan WANG . Reactivity of extremely bulky silylaminogermylene chloride and bonding analysis of a cubic tetragermylene. Chinese Journal of Inorganic Chemistry, 2024, 40(8): 1511-1518. doi: 10.11862/CJIC.20240072

    14. [14]

      Lu ZhuoranLi ShengkaiLu YuxuanWang ShuangyinZou Yuqin . Cleavage of C―C Bonds for Biomass Upgrading on Transition Metal Electrocatalysts. Acta Physico-Chimica Sinica, 2024, 40(4): 2306003-0. doi: 10.3866/PKU.WHXB202306003

    15. [15]

      CCS Chemistry | 超分子活化底物自由基促进高效选择性光催化氧化

      . CCS Chemistry, 2025, 7(10.31635/ccschem.025.202405229): -.

    16. [16]

      Ke QIAOYanlin LIShengli HUANGGuoyu YANG . Advancements in asymmetric catalysis employing chiral iridium (ruthenium) complexes. Chinese Journal of Inorganic Chemistry, 2024, 40(11): 2091-2104. doi: 10.11862/CJIC.20240265

    17. [17]

      Jingkun YuXue YongAng CaoSiyu Lu . Bi-Layer Single Atom Catalysts Boosted Nitrate-to-Ammonia Electroreduction with High Activity and Selectivity. Acta Physico-Chimica Sinica, 2024, 40(6): 2307015-0. doi: 10.3866/PKU.WHXB202307015

    18. [18]

      Xinyu XuJiale LuBo SuJiayi ChenXiong ChenSibo Wang . Steering charge dynamics and surface reactivity for photocatalytic selective methane oxidation to ethane over Au/Ti-CeO2. Acta Physico-Chimica Sinica, 2025, 41(11): 100153-0. doi: 10.1016/j.actphy.2025.100153

    19. [19]

      Heng ChenLonghui NieKai XuYiqiong YangCaihong Fang . Remarkable Photocatalytic H2O2 Production Efficiency over Ultrathin g-C3N4 Nanosheet with Large Surface Area and Enhanced Crystallinity by Two-Step Calcination. Acta Physico-Chimica Sinica, 2024, 40(11): 2406019-0. doi: 10.3866/PKU.WHXB202406019

    20. [20]

      Zhiqiang XINGJinling LIUMingmin SULei ZHANGLijun YANG . CoNi dual-single-atom catalyst for electrocatalytic H2O2 production and in situ electro-Fenton degradation of pollutants. Chinese Journal of Inorganic Chemistry, 2025, 41(12): 2479-2490. doi: 10.11862/CJIC.20250181

Metrics
  • PDF Downloads(0)
  • Abstract views(4493)
  • HTML views(861)

通讯作者: 陈斌, bchen63@163.com
  • 1. 

    沈阳化工大学材料科学与工程学院 沈阳 110142

  1. 本站搜索
  2. 百度学术搜索
  3. 万方数据库搜索
  4. CNKI搜索
Address:Zhongguancun North First Street 2,100190 Beijing, PR China Tel: +86-010-82449177-888
Powered By info@rhhz.net

/

DownLoad:  Full-Size Img  PowerPoint
Return