Citation: Junfeng Huang, Chenyang Li, Xiaoyun Hu, Jun Fan, Binran Zhao, Enzhou Liu. K2HPO4-mediated Photocatalytic H2 Production over NiCoP/RP Heterojunction[J]. Chinese Journal of Structural Chemistry, ;2022, 41(6): 220606. doi: 10.14102/j.cnki.0254-5861.2021-0055 shu

K2HPO4-mediated Photocatalytic H2 Production over NiCoP/RP Heterojunction

Figures(6)

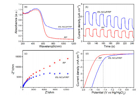
  • In this work, bimetallic NiCoP nanoparticles (NPs) were firstly prepared by a solvothermal method using red phosphorus (RP) as P source, and it was combined with RP nanosheets via a physical grinding process. Investigation indicates that NiCoP has better charge transfer ability and faster H2 releasing kinetics than the corresponding single metal phosphides alone. 6 wt% NiCoP/RP exhibits an excellent H2 evolution activity in 20 vol.% triethanol-amine/water solution under a 300W Xe-lamp irradiation, and the corresponding H2 production rate is 1535.6 μmol·g-1·h-1, which is 7.4, 3.2 and 2.6 times higher than those of pure RP, 6 wt% Co2P/RP and 6 wt% Ni2P/RP, respectively. In addition, we demonstrate that K2HPO4 can further enhance the H2 evolution kinetics by inducing a new H+ reduction path, when appropriate K2HPO4 is introduced into the reaction solution. The H2 production rate of 6 wt% NiCoP/RP is boosted from 1535.6 to 2793.9 μmol·g-1·h-1 due to the easier combination between H+ and electrons with the assistance of HPO42-. It is 13.4 times higher than that of pure RP. This work demonstrates that bimetallic phosphides with suitable electrolytes can greatly enhance the photocatalytic H2 evolution efficiency.
  • 加载中
    1. [1]

      Xu, F.; Meng, K.; Cheng, B.; Wang, S.; Xu, J.; Yu, J. Unique S-scheme heterojunctions in self-assembled TiO2/CsPbBr3 hybrids for CO2 photoreduction. Nat. Commun. 2020, 11, 4613.  doi: 10.1038/s41467-020-18350-7

    2. [2]

      Liang, Z.; Shen, R.; Ng, Y. H.; Zhang, P.; Xiang, Q.; Li, X. A review on 2D MoS2 cocatalysts in photocatalytic H2 production. J. Mater. Sci. Technol. 2020, 56, 89-121.  doi: 10.1016/j.jmst.2020.04.032

    3. [3]

      Jiang, Z.; Chen, Q.; Zheng, Q.; Shen, R.; Zhang, P.; Li, X. Constructing 1D/2D Schottky-based heterojunctions between Mn0.2Cd0.8S nanorods and Ti3C2 nanosheets for boosted photocatalytic H2 evolution. Acta Phys. Chim. Sin. 2021, 37, 2010059.

    4. [4]

      Fujishima, A.; Honda, K. Electrochemical photolysis of water at a semiconductor electrode. Nature 1972, 238, 37-38.

    5. [5]

      Xu, J.; Huang, J.; Wang, Z.; Zhu, Y. Enhanced visible-light photocatalytic degradation and disinfection performance of oxidized nanoporous g-C3N4 via decoration with graphene oxide quantum dots. Chin. J. Catal. 2020, 41, 474-484.

    6. [6]

      Xia, Y.; Yu, J. Reaction: rational design of highly active photocatalysts for CO2 conversion. Chem. 2020, 6, 1035-1042.  doi: 10.1016/j.chempr.2020.02.014

    7. [7]

      Ren, D.; Shen, R.; Jiang, Z.; Lu, X.; Li, X. Highly efficient visible-light photocatalytic H2 evolution over 2D-2D CdS/Cu7S4 layered heterojunctions. Chin. J. Catal. 2020, 41, 31-40.  doi: 10.1016/S1872-2067(19)63467-4

    8. [8]

      Yu, J.; Li, X.; Ong, W. J.; Zhang, L. Design and fabrication of advanced photocatalysts. Acta Phys. Chim. Sin. 2021, 37, 2012043.

    9. [9]

      Wang, Z.; Hong, J.; Ng, S. F.; Liu, W.; Huang, J.; Chen, P.; Ong, W. J. recent progress of perovskite oxide in emerging photocatalysis landscape: water splitting, CO2 reduction, and N2 fixation. Acta. Phys. Chim. Sin. 2021, 37, 2011033.

    10. [10]

      Xia, P.; Cao, S.; Zhu, B.; Liu, M.; Shi, M.; Yu, J.; Zhang Y. Designing a 0D/2D S-scheme heterojunction over polymeric carbon nitride for visible-light photocatalytic inactivation of bacteria. Angew. Chem. Int. Ed. 2020, 59, 5218-5225.  doi: 10.1002/anie.201916012

    11. [11]

      Lin, W. C.; Jayakumar, J.; Chang, C. L.; Ting, L. Y.; Elsayed, M. H.; Abdellah, M.; Zheng, K.; Elewa, A. M.; Lin, Y. T.; Liu, J. J.; Wang, W. S.; Lu, C. Y.; Chou, H. H. Effect of energy bandgap and sacrificial agents of cyclopentadithiophene-based polymers for enhanced photocatalytic hydrogen evolution. Appl. Catal. B Environ. 2021, 298, 120577.  doi: 10.1016/j.apcatb.2021.120577

    12. [12]

      Wang, R.; Shi, M.; Xu, F.; Qiu, Y.; Zhang, P.; Shen, K.; Zhao, Q.; Yu, J.; Zhang, Y. Graphdiyne-modified TiO2 nanofibers with osteoinductive and enhanced photocatalytic antibacterial activities to prevent implant infection. Nat. Commun. 2020, 11, 4465.

    13. [13]

      Chen, B. B.; Liu, S. Q.; Weng, S. X. Template-free polyoxometalate-assisted synthesis of Au/ZnO hollow sphere hererostructures for photocatalytic water purification. Chin. J. Struct. Chem. 2018, 37, 924-936.

    14. [14]

      Wang, Y. Q.; Liu, Y.; Zhang, M. X.; Min, F. F. Electronic, magnetic and photocatalytic properties in (Fe, Ni)-codoped SrTiO3 with and without oxygen vacancies: a first-principles study. Chin. J. Struct. Chem. 2018, 37, 1025-1036.

    15. [15]

      Lei, Z.; Ma, X.; Hu, X.; Fan, J.; Liu, E. Enhancement of photocatalytic h2-evolution kinetics through the dual cocatalyst activity of Ni2P-NiS-decorated g-C3N4 heterojunctions. Acta Phys. Chim. Sin. 2022, 38, 2110049.

    16. [16]

      Shen, R.; Ren, D.; Ding, Y.; Guan, Y.; Ng, Y. H.; Zhang P.; Li, X. Nanostructured CdS for efficient photocatalytic H2 evolution: a review. Sci. China Mater. 2020, 63, 2153-2188.

    17. [17]

      Feng, K.; Xue, W.; Hu, X.; Fan, J.; Liu, E. Z-scheme CdSe/ZnSe he-terojunction for efficient photocatalytic hydrogen evolution. Colloids Surf. A 2021, 622, 126633.

    18. [18]

      Liu, D.; Chen, S.; Li, R.; Peng, T. Review of Z-scheme heterojunctions for photocatalytic energy conversion. Acta Phys. Chim. Sin. 2021, 37, 2010017.

    19. [19]

      Wang, F.; Ng, W. K. H.; Yu, J. C.; Zhu, H.; Li, C.; Zhang, L.; Liu, Z.; Li, Q. Red phosphorus: an elemental photocatalyst for hydrogen formation from water. Appl. Catal. B Environ. 2012, 111-112, 409-414.

    20. [20]

      Zhu, Y.; Ren, J.; Zhang, X.; Yang, D. Elemental red phosphorus-based materials for photocatalytic water purification and hydrogen production. Nanoscale 2020, 12, 13297.

    21. [21]

      Hu, Z.; Yuan, L.; Liu, Z.; Shen, Z.; Yu, J. C. An elemental phosphorus photocatalyst with a record high hydrogen evolution efficiency. Angew. Chem. Int. Ed. 2016, 55, 1-7.

    22. [22]

      Jia, J.; Bai, X.; Zhang, Q.; Hu, X.; Liu, E.; Fan, J. Porous honeycomb-like NiSe2/red phosphorus heteroarchitectures for photocatalytic hydrogen production. Nanoscale 2020, 12, 5636.

    23. [23]

      Kuang, P.; Sayed, M.; Fan, J.; Cheng, B.; Yu, J. 3D Graphene-based H2-production photocatalyst and electrocatalyst. Adv. Energy Mater. 2020, 10, 1903802.

    24. [24]

      Ren, Z.; Li, D.; Xue, Q.; Li, J.; Sun, Y.; Zhang, R.; Zhai, Y.; Liu, Y. Facile fabrication nano-sized red phosphorus with enhanced photocatalytic activity by hydrothermal and ultrasonic method. Catal. Today 2020, 340, 115-120.

    25. [25]

      Xu, Q.; Zhang, L.; Cheng, B.; Fan, J.; Yu, J. S-scheme heterojunction photocatalyst. Chem. 2020, 6, 1543-1559.

    26. [26]

      Li, Y.; Zhang, M.; Zhou, L.; Yang, S.; Wu, Z.; Ma, Y. Recent advances in surface-modified g-C3N4-based photocatalysts for H2 production and CO2 reduction. Acta Phys. Chim. Sin. 2021, 37, 2009030.

    27. [27]

      Tang, S.; Xia, Y.; Fan, J.; Cheng, B.; Yu, J.; Ho, W. Enhanced photocatalytic H2 production performance of CdS hollow spheres using C and Pt as bi-cocatalysts. Chin. J. Catal. 2021, 42, 743-752.

    28. [28]

      Wang, P.; Cao, Y.; Xu, S.; Yu, H. Boosting the H2-evolution performance of TiO2/Au photocatalyst by the facile addition of thiourea molecules. Appl. Surf. Sci. 2020, 532, 147420.

    29. [29]

      Liu, M. M.; Ying, S. M.; Chen, B. G.; Guo, H. X.; Huang, X. G. Ag@g-C3N4 nanocomposite: an efficient catalyst inducing the reduction of 4-nitrophenol. Chin. J. Struct. Chem. 2021, 40, 1372-1378.

    30. [30]

      Tong, R.; Ng, K. W.; Wang, X.; Wang, S.; Wang, X.; Pan, H. Two-dimensional materials as novel co-catalysts for efficient solar-driven hydrogen production. J. Mater. Chem. A 2020, 8, 23202.

    31. [31]

      Shen, R.; He, K.; Zhang, A.; Li, N.; Ng, Y. H.; Zhang, P.; Hu, J.; Li, X. In-situ construction of metallic Ni3C@Ni core-shell cocatalysts over g-C3N4 nanosheets for shell-thickness-dependent photocatalytic H2 production. Appl. Catal. B-Environ. 2021, 291, 120104.

    32. [32]

      Wu, Y.; Wang, H.; Ji, S.; Pollet, B. G.; Wang, X.; Wang, R. Engineered porous Ni2P-nanoparticle/Ni2P-nanosheet arrays via the Kirkendall effect and Ostwald ripening towards efficient overall water splitting. Nano Res. 2020, 13, 2098-2105.

    33. [33]

      Sun, H.; Xue, W.; Fan, J.; Liu, E.; Yu, Q. Preparation of Ni12P5-decorated Cd0.5Zn0.5S for efficient photocatalytic H2 evolution. J. Alloys Compd. 2021, 854, 156951.

    34. [34]

      Ali, A.; Liu, Y.; Mo, R.; Chen, P.; Shen, P. K. Facile one-step in-situ encapsulation of non-noble metal Co2P nanoparticles embedded into B, N, P tri-doped carbon nanotubes for efficient hydrogen evolution reaction. Int. J. Hydrogen Energy 2020, 45, 24312-24321.

    35. [35]

      Fu, Z.; Ma, X.; Xia, B.; Hu, X.; Fan, J.; Liu, E. Efficient photocatalytic H2 evolution over Cu and Cu3P co-modified TiO2 nanosheet. Int. J. Hydrogen Energy 2021, 46, 19373-19384.

    36. [36]

      Pan, J.; Ou, W.; Li, S.; Chen, Y.; Li, H.; Liu, Y.; Wang, J.; Song, C.; Zheng, Y.; Li, C. Photocatalytic hydrogen production enhancement of Z-Scheme CdS quantum dots/Ni2P/Black Ti3+-TiO2 nanotubes with dual-functional Ni2P nanosheets. Int. J. Hydrogen Energy 2020, 45, 33478-33490.

    37. [37]

      Ray, A.; Sultana, S.; Paramanik, L.; Parida, K. M. Recent advances in phase, size, and morphology-oriented nanostructured nickel phosphide for overall water splitting. J. Mater. Chem. A 2020, 8, 19196-19245.

    38. [38]

      Ren, D.; Liang, Z.; Ng, Y. H.; Zhang, P.; Xiang, Q.; Li, X. Strongly coupled 2D-2D nanojunctions between P-doped Ni2S (Ni2SP) cocatalysts and CdS nanosheets for efficient photocatalytic H2 evolution. Chem. Eng. J. 2020, 390, 124496.

    39. [39]

      Yan, X.; Wang, G.; Zhang, Y.; Guo, Q.; Jin, Z. 3D layered nano-flower MoSx anchored with CoP nanoparticles form double proton adsorption site for enhanced photocatalytic hydrogen evolution under visible light driven. Int. J. Hydrogen Energy 2020, 45, 2578-2592.

    40. [40]

      Cai, J.; Song, Y.; Zang, Y.; Niu, S.; Wu, Y.; Xie, Y.; Zheng, X.; Liu, Y.; Lin, Y.; Liu, X.; Wang, G.; Qian, Y. N-induced lattice contraction generally boosts the hydrogen evolution catalysis of P-rich metal phosphides. Sci. Adv. 2020, 6, 8113.

    41. [41]

      Zhang, Y.; Wang, J.; Shi, X.; Zhang, P.; Ning, W.; Li, W.; Wei, C.; Miao, S. Prolonged-photoresponse-lifetime Ni2P nanocrystalline with highly exposed (001) for efficient photoelectrocatalytic hydrogen evolution. Inorg. Chem. 2021, 60, 16439-16446.

    42. [42]

      Zhang, J.; Zhou, H.; Liu, Y.; Zhang, J.; Cui, Y.; Li, J.; Lian, J.; Wang, G.; Jiang, Q. Interface engineering of CoP3/Ni2P for boosting the wide pH range water-splitting activity. ACS Appl. Mater. Inter. 2021, 13, 52598-52609.

    43. [43]

      Sun, Y.; Ren, Z.; Liu, Y.; Fu, R. Facile synthesis of ultrathin red phosphorus nanosheets with excellent photocatalytic performances. Mater. Lett. 2019, 236, 542-546.

    44. [44]

      Li, C.; Fu, M.; Wang, Y.; Liu, E.; Fan, J.; Hu, X. In situ synthesis of Co2P-decorated red phosphorus nanosheets for efficient photocatalytic H2 evolution. Catal. Sci. Technol. 2020, 10, 2221-2230.

    45. [45]

      Bi, L.; Gao, X.; Zhang, L.; Wang, D.; Zou, X.; Xie, T. Enhanced photo-catalytic hydrogen evolution of NiCoP/g-C3N4 with improved separation efficiency and charge transfer efficiency. ChemSusChem. 2018, 11, 276-284.

    46. [46]

      Liang, L. L.; Song, G.; Liu, Z.; Chen, J. P.; Xie, L. J.; Jia, H.; Kong, Q. Q.; Sun, G. H.; Chen, C. M. Constructing Ni12P5/Ni2P heterostructures to boost interfacial polarization for enhanced microwave absorption performance. ACS Appl. Mater. Inter. 2020, 12, 52208-52220.

    47. [47]

      Tang, C.; Zhang, R.; Lu, W.; Wang, Z.; Liu, D.; Hao, S.; Du, G.; Asiri, A. M.; Sun, X. Energy-saving electrolytic hydrogen generation: Ni2P nanoarray as a high-performance non-noble-metal electrocatalyst. Angew. Chem. Int. Ed. 2017, 56, 842-846.

    48. [48]

      Sun, X.; Liu, H.; Xu, G.; Bai, J.; Li, C. Embedding Co2P nanoparticles into N & P co-doped carbon fibers for hydrogen evolution reaction and supercapacitor. Int. J. Hydrogen Energy 2021, 46, 1560-1568.

    49. [49]

      Cao, H.; Wang, T.; Minja, A. C.; Jiang, D.; Du, P. NiCoP nanoparticles anchored on CdS nanorods for enhanced hydrogen production by visible light-driven formic acid dehydrogenation. Int. J. Hydrogen Energy 2021, 46, 32435-32444.

    50. [50]

      Zhang, Y.; Mollon, G.; Descartes, S. Significance of third body rheology in friction at a dry sliding interface observed by a multibody meshfree model: influence of cohesion between particles. Tribol. Int. 2020, 145, 106188.

    51. [51]

      Bai, J.; Zhou, P.; Xu, P.; Deng, Y.; Zhou, Q. Synergy of dopants and porous structures in graphitic carbon nitride for efficient photocatalytic H2 evolution. Ceram. Int. 2021, 47, 4043-4048.

    52. [52]

      Chen, Y.; Xu, Y.; Lin, D.; Luo, Y.; Xue, H.; Chen, Q. Insight into superior visible light photocatalytic activity for degradation of dye over corner-truncated cubic Ag2O decorated TiO2 hollow nanofibers. Chin. J. Struct. Chem. 2020, 39, 588-597.

    53. [53]

      Qin, Z.; Chen, Y.; Huang, Z.; Su, J.; Guo, L. A bifunctional NiCoP-based core/shell cocatalyst to promote separate photocatalytic hydrogen and oxygen generation over graphitic carbon nitride. J. Mater. Chem. A. 2017, 5, 19025.

    54. [54]

      Du, C.; Yang, L.; Yang, F.; Cheng, G.; Luo, W. Nest-like NiCoP for highly efficient overall water splitting. ACS Catal. 2017, 7, 4131-4137.

    55. [55]

      Dang, T.; Zhang, G.; Li, Q.; Cao, Z.; Zhang, G.; Duan, H. Ultrathin hetero-nanosheets assembled hollow Ni-Co-P/C for hybrid supercapacitors with enhanced rate capability and cyclic stability. J. Colloid Interface Sci. 2020, 577, 368-378.

    56. [56]

      Yu, C.; Xu, F.; Luo, L.; Abbo, H. S.; Titinchi, S. J. J.; Shen, P. K.; Tsiakaras, P.; Yin, S. Bimetallic Ni-Co phosphide nanosheets self-supported on nickel foam as high-performance electrocatalyst for hydrogen evolution reaction. Electrochim. Acta 2019, 317, 191-198.

    57. [57]

      Ray, C.; Lee, S. C.; Jin, B.; Kundu, A.; Park, J. H.; Jun, S. C. Stacked porous iron-doped nickel cobalt phosphide nanoparticle: an efficient and stable water splitting electrocatalyst. ACS Sustain. Chen. Eng. 2018, 6, 6146-6156.

    58. [58]

      Wang, Y.; Shen, G.; Zhang, Y.; Pan, L.; Zhang, X.; Zou, J. J. Visible-light-induced unbalanced charge on NiCoP/TiO2 sensitized system for rapid H2 generation from hydrolysis of ammonia borane. Appl. Catal. B Environ. 2020, 260, 118183.

    59. [59]

      Qi, L.; Dong, K.; Zeng, T.; Liu, J.; Fan, J.; Hu, X.; Jia, W.; Liu, E. Three-dimensional red phosphorus: a promising photocatalyst with excellent adsorption and reduction performance. Catal. Today 2018, 314, 42-51.

    60. [60]

      Zeng, L.; Sun, K.; Wang, X.; Liu, Y.; Pan, Y.; Liu, Z.; Cao, D.; Song, Y.; Liu, S.; Liu, C. Three-dimensional-networked Ni2P/Ni3S2 hetero-nanoflake arrays for highly enhanced electrochemical overall-water-splitting activity. Nano Energy 2018, 51, 26-36.

    61. [61]

      Zhang, J.; Liao, H.; Sun, S. Construction of 1D/1D WO3 nanorod/TiO2 nanobelt hybrid heterostructure for photocatalytic application. Chin. J. Struct. Chem. 2020, 39, 1019-1028.

    62. [62]

      Zhai, C.; Zhu, M.; Ren, F.; Yao, Z.; Du, Y.; Yang, P. Enhanced photoelectrocatalytic performance of titanium dioxide/carbon cloth based photoelectrodes by graphene modification under visible-light irradiation. J. Hazard. Mater. 2013, 263, 291-298.

    63. [63]

      Xue, W.; Bai, X.; Tian, J.; Ma, X.; Hu, X.; Fan, J.; Liu, E. Enhanced photocatalytic H2 evolution on ultrathin Cd0.5Zn0.5S nanosheets without a hole scavenger: combined analysis of surface reaction kinetics and energy-level alignment. Chem. Eng. J. 2022, 428, 132608.

    64. [64]

      Zhang, K.; Fujitsuka, M.; Du, Y.; Majima, T. 2D/2D heterostructured CdS/WS2 with efficient charge separation improving H2 evolution under visible light irradiation. ACS Appl. Mater. Interfaces 2018, 10, 20458-20466.

    65. [65]

      Liu, H.; Su, P.; Jin, Z.; Ma, Q. Enhanced hydrogen evolution over sea-urchin-structure NiCoP decorated ZnCdS photocatalyst. Catal. Lett. 2020, 150, 2937-2950.

    66. [66]

      Zhang, X.; Wu, A.; Wang, X.; Tian, C.; An, R.; Fu, H. Porous NiCoP nanosheets as efficient and stable positive electrodes for advanced asymmetric supercapacitors. J. Mater. Chem. A 2018, 6, 17905.

    67. [67]

      Liang, H.; Gandi, A. N.; Anjum, D. H.; Wang, X.; Schwingenschlögl, U.; Alshareef, H. N. Plasma-assisted synthesis of NiCoP for efficient overall water splitting. Nano Lett. 2016, 16, 7718-7725.

    68. [68]

      Lai, C.; Liu, X.; Wang, Y.; Cao, C.; Yin, Y.; Yang, H.; Qi, X.; Zhong, S.; Hou, X.; Liang, T. Modulating ternary Mo-Ni-P by electronic reconfiguration and morphology engineering for boosting all-pH electrocatalytic overall water splitting. Electrochim. Acta 2020, 330, 135294.

    69. [69]

      Shi, L.; Chang, K.; Zhang, H.; Hai, X.; Yang, L.; Wang, T.; Ye, J. Drastic enhancement of photocatalytic activities over phosphoric acid protonated porous g-C3N4 nanosheets under visible light. Small 2016, 12, 4431-4439.

    70. [70]

      Liu, G.; Wang, T.; Zhang, H.; Meng, X.; Hao, D.; Chang, K.; Li, P.; Kako, T.; Ye, J. Nature-inspired environmental "phosphorylation" boosts photocatalytic H2 production over carbon nitride nanosheets under visible-light irradiation. Angew. Chem. Int. Ed. 2015, 54, 13561-13565.

  • 加载中
    1. [1]

      Mingze ANBingbing ZHANGZhao YANGHao PUWeijie CHENBin XUESheng WANGXiaoyan DINGLulu SHI . Construction of an S-scheme g-C3N4/TiO2 heterostructure for tetracycline degradation and hydrogen production. Chinese Journal of Inorganic Chemistry, 2026, 42(4): 843-860. doi: 10.11862/CJIC.20250301

    2. [2]

      Jun LIHuipeng LIHua ZHAOQinlong LIU . Preparation and photocatalytic performance of AgNi bimetallic modified polyhedral bismuth vanadate. Chinese Journal of Inorganic Chemistry, 2024, 40(3): 601-612. doi: 10.11862/CJIC.20230401

    3. [3]

      Fei ZHOUXiaolin JIA . Co3O4/TiO2 composite photocatalyst: Preparation and synergistic degradation performance of toluene. Chinese Journal of Inorganic Chemistry, 2024, 40(11): 2232-2240. doi: 10.11862/CJIC.20240236

    4. [4]

      Xiaofan ZHANGYu DUANMeijie SHINan LURenhong LIXiaoqing YAN . Z-scheme Co3O4/BiOBr heterojunction for efficient photoreduction CO2 reduction. Chinese Journal of Inorganic Chemistry, 2025, 41(9): 1878-1888. doi: 10.11862/CJIC.20250079

    5. [5]

      Qi HUANGYouyi WANGZhujian MAOZhonghui YEWeihan CHENJui-yeh RAUJian HUANG . Enhanced photocatalytic tetracycline degradation via 2D CdS/Ti3AlC2 MAX heterostructure. Chinese Journal of Inorganic Chemistry, 2025, 41(11): 2385-2398. doi: 10.11862/CJIC.20250159

    6. [6]

      Ruilong WANGJinlong MAOGuoxia JINJianping MAHaiying WANGJie QIN . 2-Cyanobenzyl-substituted [FeFe]-hydrogenase compounds: Preparation, characterization, and photocatalytic H2-production performance. Chinese Journal of Inorganic Chemistry, 2026, 42(4): 817-825. doi: 10.11862/CJIC.20250376

    7. [7]

      Lixing LUShaoxian LIUJian XUZiqi JINJiongjia CHENGJiyang ZHAOFubo WANGHaiying WANG . [FeFe]-hydrogenase-containing compound and its photocatalytic H2-production performance. Chinese Journal of Inorganic Chemistry, 2025, 41(12): 2584-2590. doi: 10.11862/CJIC.20250200

    8. [8]

      Ruolin CHENGYue WANGFei YANGHuagen LIANGShijian LU . Application of metal-organic frameworks (MOFs) in photocatalytic CO2 cycloaddition reaction: A mini review. Chinese Journal of Inorganic Chemistry, 2025, 41(12): 2429-2440. doi: 10.11862/CJIC.20250242

    9. [9]

      Ruru MAYingjie SONGYahui LIErmin ZHOUDeqiang LIXiaojuan HUANGJun LI . Synergistic nitrogen doping and carbon support in TiO2 for enhanced photocatalytic degradation of methylene blue and oxytetracycline. Chinese Journal of Inorganic Chemistry, 2026, 42(3): 641-656. doi: 10.11862/CJIC.20250221

    10. [10]

      Wenda WANGJinku MAYuzhu WEIShuaishuai MA . Waste biomass-derived carbon modified porous graphite carbon nitride heterojunction for efficient photodegradation of oxytetracycline in seawater. Chinese Journal of Inorganic Chemistry, 2024, 40(4): 809-822. doi: 10.11862/CJIC.20230353

    11. [11]

      Huirong LIUHao XUDunru ZHUJunyong ZHANGChunhua GONGJingli XIE . Syntheses, structures, photochromic and photocatalytic properties of two viologen-polyoxometalate hybrid materials. Chinese Journal of Inorganic Chemistry, 2024, 40(7): 1368-1376. doi: 10.11862/CJIC.20240066

    12. [12]

      Min ZHUYuxin WANGXiao LIYaxu XUJunwen ZHUZihao WANGYu ZHUXiaochen HUANGDan XUMonsur Showkot Hossain Abul . Construction of AgVO3/ZIF-8 composites for enhanced degradation of tetracycline. Chinese Journal of Inorganic Chemistry, 2025, 41(5): 994-1006. doi: 10.11862/CJIC.20240392

    13. [13]

      Jin ZHANGYuting WANGBin YUYuxin ZHONGYufeng ZHANG . Corn straw-derived carbon/BiOBr composite: Synthesis and photocatalytic degradation performance for rhodamine B. Chinese Journal of Inorganic Chemistry, 2025, 41(7): 1397-1408. doi: 10.11862/CJIC.20250028

    14. [14]

      Abiduweili Sikandaier Yukun Zhu Dongjiang Yang . In-situ decorated cobalt phosphide cocatalyst on Hittorf's phosphorus triggering efficient photocatalytic hydrogen production. Chinese Journal of Structural Chemistry, 2024, 43(2): 100242-100242. doi: 10.1016/j.cjsc.2024.100242

    15. [15]

      Yingqi BAIHua ZHAOHuipeng LIXinran RENJun LI . Perovskite LaCoO3/g-C3N4 heterojunction: Construction and photocatalytic degradation properties. Chinese Journal of Inorganic Chemistry, 2025, 41(3): 480-490. doi: 10.11862/CJIC.20240259

    16. [16]

      Huiying ZHANGPing LIWeixia DONGZhiwen HUQifu BAOQizheng DONGMingmin BAIWenqi LI . Photocatalytic performance of spheroidal nano Bi4Ti3O12 prepared by surfactant-assisted hydrothermal reaction. Chinese Journal of Inorganic Chemistry, 2026, 42(3): 551-561. doi: 10.11862/CJIC.20250269

    17. [17]

      Ruolin CHENGHaoran WANGJing RENYingying MAHuagen LIANG . Efficient photocatalytic CO2 cycloaddition over W18O49/NH2-UiO-66 composite catalyst. Chinese Journal of Inorganic Chemistry, 2024, 40(3): 523-532. doi: 10.11862/CJIC.20230349

    18. [18]

      Kun WANGWenrui LIUPeng JIANGYuhang SONGLihua CHENZhao DENG . Hierarchical hollow structured BiOBr-Pt catalysts for photocatalytic CO2 reduction. Chinese Journal of Inorganic Chemistry, 2024, 40(7): 1270-1278. doi: 10.11862/CJIC.20240037

    19. [19]

      Zhuo WANGJunshan ZHANGShaoyan YANGLingyan ZHOUYedi LIYuanpei LAN . Preparation and photocatalytic performance of CeO2-reduced graphene oxide by thermal decomposition. Chinese Journal of Inorganic Chemistry, 2024, 40(9): 1708-1718. doi: 10.11862/CJIC.20240067

    20. [20]

      Ronghui LI . Photocatalysis performance of nitrogen-doped CeO2 thin films via ion beam-assisted deposition. Chinese Journal of Inorganic Chemistry, 2025, 41(6): 1123-1130. doi: 10.11862/CJIC.20240440

Metrics
  • PDF Downloads(11)
  • Abstract views(1570)
  • HTML views(56)

通讯作者: 陈斌, bchen63@163.com
  • 1. 

    沈阳化工大学材料科学与工程学院 沈阳 110142

  1. 本站搜索
  2. 百度学术搜索
  3. 万方数据库搜索
  4. CNKI搜索
Address:Zhongguancun North First Street 2,100190 Beijing, PR China Tel: +86-010-82449177-888
Powered By info@rhhz.net

/

DownLoad:  Full-Size Img  PowerPoint
Return